Dynamic pH Sensor with Embedded Calibration Scheme by Advanced CMOS FinFET Technology
Abstract
1. Introduction
2. Device Characteristic and Experimental Section
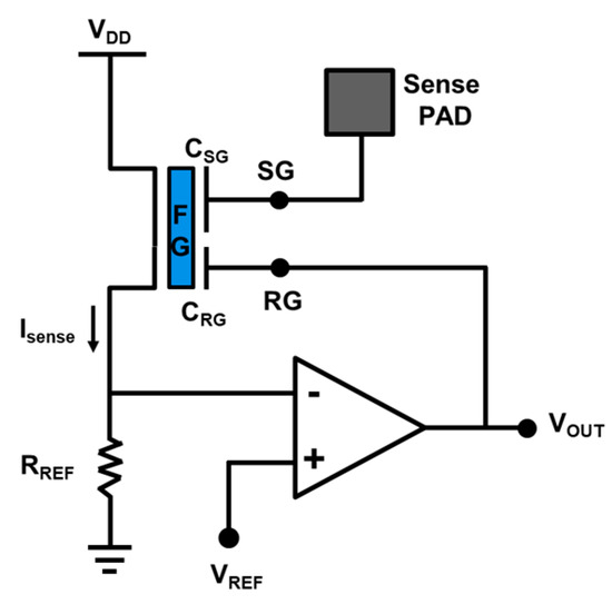
2.1. Device Structure and Operation Principle
2.2. Operation Principle
2.3. Experimental Setup
3. Results and Discussion
3.1. Measured Result and Readout Circuit Characteristics
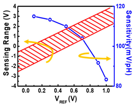
3.2. Calibration Operation Scheme and Performance
3.3. Self-Balanced Readout Circuit
3.4. Multiple Ion/pH Sensing Application
4. Conclusions
Author Contributions
Funding
Acknowledgments
Conflicts of Interest
References
- Ding, L.; Li, Z.; Ding, Q.; Shen, X.; Yuan, Y.; Huang, J. Microstructured Optical Fiber Based Chloride Ion Sensing Method for Concrete Health Monitoring. Sens. Actuators B Chem. 2018, 260, 763–769. [Google Scholar] [CrossRef]
- Awasthi, P.; Mukherjee, R.; Karea, S.P.; Das, S. Impedimetric Blood pH Sensor Based on MoS2–Nafion Coated Microelectrode. RSC Adv. 2016, 6, 102088–102095. [Google Scholar] [CrossRef]
- Kamm, D.E.; Strope, G.L. The Effects of Acidosis and Alkalosis on the Metabolism of Glutamine and Glutamate in Renal Cortex Slices. J. Clin. Investig. 1972, 51, 1251–1263. [Google Scholar] [CrossRef] [PubMed]
- Kellum, J.A. Determinants of Blood pH in Health and Disease. Crit. Care 2000, 4, 6–14. [Google Scholar] [CrossRef] [PubMed][Green Version]
- Kumar, S.; Bansod, B.S.; Thakur, R.; Jharwal, M.K. Soil pH Sensing Techniques and Technologies A Review. Int. J. Adv. Res. Electr. Electron. Instrum. Eng. 2015, 4, 4452–4456. [Google Scholar]
- Wilson, D.M.; Hoyt, S.; Janata, J.; Booksh, K.; Obando, L. Chemical Sensors for Portable, Handheld Field Instrument. IEEE Sens. J. 2001, 1, 256–274. [Google Scholar] [CrossRef]
- Sharma, P.; Padole, D.V. Design and Implementation Soil Analyser Using IoT. In Proceedings of the 2017 International Conference on Innovations in Information, Embedded and Communication Systems (ICIIECS), Coimbatore, India, 17–18 March 2017; pp. 1–5. [Google Scholar]
- Bergveld, P. Development of an Ion-Sensitive Solid-State Device for Neurophysiological Measurements. IEEE Trans. Biomed. Eng. 1970, BME-17, 70–71. [Google Scholar] [CrossRef]
- Sze, S.M.; Ng, K.K. Physics of Semiconductor Devices, 3rd ed.; John Wiley & Sons: Hoboken, NJ, USA, 2006. [Google Scholar]
- Yates, D.E.; Levine, S.; Healy, T.W. Site-Binding Model of the Electrical Double Layer at the Oxide/Water Interface. J. Chem. Soc. Faraday Trans. I 1974, 70, 1807–1818. [Google Scholar] [CrossRef]
- Meixner, L.K.; Koch, S. Simulation of ISFET Operation Based on the Site-Binding Model. Sens. Actuators B Chem. 1992, 6, 315–318. [Google Scholar] [CrossRef]
- Bandiziol, A.; Palestri, P.; Pittino, F.; Esseni, D.; Selmi, L. A TCAD-Based Methodology to Model the Site-Binding Charge at ISFET/Electrolyte Interfaces. IEEE Trans. Electron Devices 2015, 62, 3379–3386. [Google Scholar] [CrossRef]
- Parizi, K.B.; Yeh, A.J.; Poon, A.S.Y.; Wong, H.S.P. Exceeding Nernst Limit (59 mV/pH): CMOS-based pH Sensor for Autonomous Applications. In Proceedings of the 2012 International Electron Devices Meeting (IEEE-IEDM), San Francisco, CA, USA, 10–13 December 2012; pp. 24.7.1–24.7.4. [Google Scholar]
- van der Spiegel, J.; Lauks, I.; Chan, P.; Babic, D. The Extended Gate Chemically Sensitive Field Effect Transistor as Multi-Species Microprobe. Sens. Actuators 1983, 4, 291–298. [Google Scholar] [CrossRef]
- Batista, P.D.; Mulato, M. ZnO Extended-Gate Field-Effect Transistors as pH Sensors. Appl. Phys. Lett. 2005, 87, 143508. [Google Scholar] [CrossRef]
- Pullano, S.A.; Critello, C.D.; Mahbub, I.; Tasneem, N.T.; Shamsir, S.; Islam, S.K.; Greco, M.; Fiorillo, A.S. EGFET-Based Sensors for Bioanalytical Applications: A Review. Sensors 2018, 18, 4042. [Google Scholar] [CrossRef]
- Sabah, F.A. Effect of Light on the Sensitivity of CuS Thin Film EGFET Implemented as pH Sensor. Int. J. Electrochem. Sci. 2016, 11, 4380–4388. [Google Scholar] [CrossRef]
- Elyasi, A.; Fouladian, M.; Jamasb, S. Counteracting Threshold-Voltage Drift in Ion-Selective Field Effect Transistors (ISFETs) Using Threshold-Setting Ion Implantation. IEEE J. Electron Devices Soc. 2018, 6, 747–754. [Google Scholar] [CrossRef]
- Yuqing, M.; Jianguo, G.; Jianrong, C. Ion Sensitive Field Effect Transducer-Based Biosensors. Biotechnol. Adv. 2003, 21, 527–534. [Google Scholar] [CrossRef]
- Yuan, H.; Zhang, J.; Cao, C.; Zhang, G.; Zhang, S. Novel H⁺-Ion Sensor Based on a Gated Lateral BJT Pair. Sensors 2016, 16, 14. [Google Scholar] [CrossRef] [PubMed]
- Liou, P.C.; Tsung, H.E.; Wang, C.P.; Chueh, Y.L.; Chih, Y.D.; Chang, J.; Lin, C.J.; King, Y.C. High Resolution Ion Detector (HRID) by 16nm FinFET CMOS Technology. In Proceedings of the 2018 IEEE International Electron Devices Meeting (IEEE-IEDM), San Francisco, CA, USA, 1–5 December 2018; pp. 12.2.1–12.2.4. [Google Scholar]
- Liu, C.M.; Brennan, J., Jr.; Chan, K.; Guo, P.; Kordesch, A.V.; Su, K.Y. On the Capacitance Coupling Ratios of a Source-Side Injection Flash Memory Cell. Jpn. J. Appl. Phys. 2001, 40, 2958–2962. [Google Scholar] [CrossRef]
- Godoy, A.; Villanueva, J.A.L.; Tejada, J.A.J.; Palma, A.; Gámiz, F. A Simple Subthreshold Swing Model for Short Channel MOSFETs. Solid-State Electron. 2001, 45, 391–397. [Google Scholar] [CrossRef]
- Chiang, Y.F.; Chien, W.Y.; Chih, Y.D.; Chang, J.; Lin, C.J.; Chen, F.T. FinFET CMOS Logic Gates with Non-Volatile States for Reconfigurable Computing Systems. Integration 2018, in press. [Google Scholar] [CrossRef]
- Zhang, D. On the Low Frequency Noise in Ion Sensing. Ph.D. Thesis, Uppsala University, Uppsala, Sweden, 2017. [Google Scholar]
- Jin, B.; Lee, G.-Y.; Park, C.; Kim, D.; Choi, W.; Yoo, J.-W.; Pyun, J.-C.; Lee, J.-S. Electrical Characteristics and pH Response of a Parylene-H Sensing Membrane in a Si-Nanonet Ion-Sensitive Field-Effect Transistor. Sensors 2018, 18, 3892. [Google Scholar] [CrossRef]
- Teräväinen, S.; Haghbayan, M.H.; Rahmani, A.M.; Liljeberg, P.; Tenhunen, H. Software-Based on-Chip Thermal Sensor Calibration for DVFS-Enabled Many-Core Systems. In Proceedings of the 2015 IEEE International Symposium on Defect and Fault Tolerance in VLSI and Nanotechnology Systems (IEEE-DFTS), Amherst, MA, USA, 12–14 October 2015; pp. 35–40. [Google Scholar]
- Sohbati, M.; Toumazou, C. Dimension and Shape Effects on the ISFET Performance. IEEE Sens. J. 2015, 15, 1670–1679. [Google Scholar]
- Kaisti, M.; Zhang, Q.; Prabhu, A.; Lehmusvuori, A.; Rahman, A. An Ion-Sensitive Floating Gate FET Model: Operating Principles and Electrofluidic Gating. IEEE Trans. Electron Devices 2015, 62, 2628–2635. [Google Scholar] [CrossRef]
- Ciofi, C.; Crupi, F.; Pace, C.; Scandurra, G. How to Enlarge the Bandwidth without Increasing the Noise in OP-AMP-Based Transimpedance Amplifier. IEEE Trans. Instrum. Meas. 2006, 55, 814–819. [Google Scholar] [CrossRef]
- Zhu, Z.; Tumati, R.; Collins, S.; Smith, R.; Kotecki, D.E. A Low-noise Low-offset Op Amp in 0.35 μm CMOS Process. In Proceedings of the 2006 13th IEEE International Conference on Electronics, Circuits and Systems, Nice, France, 10–13 December 2006; pp. 624–627. [Google Scholar]
- Enz, C.C.; Temes, G.C. Circuit Techniques for Reducing the Effects of OP-AMP Imperfections: Autozeroing, Correlated Double Sampling, and Chopper Stabilization. Proc. IEEE 1996, 84, 1584–1614. [Google Scholar] [CrossRef]
- Thanapitak, S.; Pookaiyaudom, P.; Seelanan, P.; Lidgey, F.J.; Hayatleh, K.; Toumazou, C. Verification of ISFET Response Time for Millisecond Range Ion Stimulus Using Electronic Technique. Electron. Lett. 2011, 47, 586–588. [Google Scholar] [CrossRef]
- Mizutani, S.; Takahashi, S.; Kono, A.; Hattori, T.; Iwata, T.; Ishida, M.; Sawada, K. Development of Amperometric Ion Sensor Array for Multi-Ion Detection. In Proceedings of the 2015 IEEE SENSORS, Busan, South Korea, 1–4 November 2015; pp. 1–4. [Google Scholar]
- Melzer, K.; Bhatt, V.D.; Schuster, T.; Jaworska, E.; Maksymiuk, K.; Michalska, A.; Scarpa, G.; Lugli, P. Multi Ion-Sensor Arrays: Towards an “Electronic Tongue”. In Proceedings of the 2016 IEEE 16th International Conference on Nanotechnology (IEEE-NANO), Sendai, Japan, 22–25 August 2016; pp. 475–478. [Google Scholar]
- Chandrashekar, J.; Kuhn, C.; Oka, Y.; Yarmolinsky, D.A.; Hummler, E.; Ryba, N.J.P.; Zuker, C.S. The Cells and Peripheral Representation of Sodium Taste in Mice. Nature 2010, 464, 297–301. [Google Scholar]
- McLaughlin, S.; Margolskee, R.F. The Sense of Taste. Am. Sci. 1994, 82, 538–545. [Google Scholar]
- Hu, Y.; Moser, N.; Georgiou, P. A 32 × 32 ISFET Chemical Sensing Array with Integrated Trapped Charge and Gain Compensation. IEEE Sens. J. 2017, 17, 5276–5284. [Google Scholar] [CrossRef]
- Zeng, R.; Zhang, J.; Sun, C.; Xu, M.; Zhang, S.L.; Wu, D. A Reference-Less Semiconductor Ion Sensor. Sens. Actuators B Chem. 2018, 254, 102–109. [Google Scholar] [CrossRef]














© 2019 by the authors. Licensee MDPI, Basel, Switzerland. This article is an open access article distributed under the terms and conditions of the Creative Commons Attribution (CC BY) license (http://creativecommons.org/licenses/by/4.0/).
Share and Cite
Wang, C.-P.; Shen, Y.-C.; Liou, P.-C.; Chueh, Y.-L.; Chih, Y.-D.; Chang, J.; Lin, C.-J.; King, Y.-C. Dynamic pH Sensor with Embedded Calibration Scheme by Advanced CMOS FinFET Technology. Sensors 2019, 19, 1585. https://doi.org/10.3390/s19071585
Wang C-P, Shen Y-C, Liou P-C, Chueh Y-L, Chih Y-D, Chang J, Lin C-J, King Y-C. Dynamic pH Sensor with Embedded Calibration Scheme by Advanced CMOS FinFET Technology. Sensors. 2019; 19(7):1585. https://doi.org/10.3390/s19071585
Chicago/Turabian StyleWang, Chien-Ping, Ying-Chun Shen, Peng-Chun Liou, Yu-Lun Chueh, Yue-Der Chih, Jonathan Chang, Chrong-Jung Lin, and Ya-Chin King. 2019. "Dynamic pH Sensor with Embedded Calibration Scheme by Advanced CMOS FinFET Technology" Sensors 19, no. 7: 1585. https://doi.org/10.3390/s19071585
APA StyleWang, C.-P., Shen, Y.-C., Liou, P.-C., Chueh, Y.-L., Chih, Y.-D., Chang, J., Lin, C.-J., & King, Y.-C. (2019). Dynamic pH Sensor with Embedded Calibration Scheme by Advanced CMOS FinFET Technology. Sensors, 19(7), 1585. https://doi.org/10.3390/s19071585
