Next Article in Journal
A Novel Multiband Spectrum Sensing Method Based on Wavelets and the Higuchi Fractal Dimension
Previous Article in Journal
Detection of Glaze Icing Load and Temperature of Composite Insulators Using Fiber Bragg Grating
 
 
Font Type:
Arial Georgia Verdana
Font Size:
Aa Aa Aa
Line Spacing:
Column Width:
Background:
Article

Calibration of Linear Time-Varying Frequency Errors for Distributed ISAR Imaging Based on the Entropy Minimization Principle

1
National Laboratory of Radar Signal Processing, Xidian University, Xi’an 710071, China
2
College of Information and Computer, Taiyuan University of Technology, Taiyuan 030024, China
*
Author to whom correspondence should be addressed.
Sensors 2019, 19(6), 1323; https://doi.org/10.3390/s19061323
Submission received: 1 February 2019 / Revised: 6 March 2019 / Accepted: 12 March 2019 / Published: 16 March 2019
(This article belongs to the Section Remote Sensors)

Abstract

:
The inevitable frequency errors owing to the frequency mismatch of a transmitter and receiver oscillators could seriously deteriorate the imaging performance in distributed inverse synthetic aperture radar (ISAR) system. In this paper, for this issue, a novel method is proposed to calibrate the linear time-varying frequency errors (LTFE) between the transmitting node and the receiving node. The cost function is constructed based on the entropy minimization principle and the problem of LTFE calibration is transformed into cost function optimization. The frequency error coefficient, which minimizes the image entropy, is obtained by searching optimum solution in the solution space of cost function. Then, the original signal is calibrated by the frequency error coefficient. Finally, the effectiveness of the proposed method is demonstrated by simulation and real-data experiments.

1. Introduction

Inverse synthetic aperture radar (ISAR) is a type of all-weather, all-day, remote sensing radar [1,2] that plays a very important role in target imaging and recognition [3]. Multiple-input Multiple-output (MIMO) radar with widely separated antennas can be considered as a type of multistatic radar [4,5]. It is possible for this system to obtain spatial diversity of the targets’ radar cross section. Therefore, many scholars have studied multistatic ISAR and distributed MIMO-ISAR [6,7,8,9,10,11,12]. Compared with the traditional monostatic ISAR, distributed ISAR can achieve higher resolution and overcome some inherent drawbacks of monostatic ISAR by utilizing both spatial and temporal degrees of freedom. However, the frequency errors caused by frequency mismatch of the transmitter and the receiver oscillators become an important factor that restricts the application of distributed ISAR.
At present, the research studies on distributed ISAR are generally based on ideal conditions where the frequency errors between transmitter and receiver are not considered. The phase asynchronism caused by frequency errors in distributed radar system seriously degrades the performance of location [13], detection [14], and imaging. Literature, in the field of radar imaging, has studied the effect of frequency errors on multistatic SAR and MIMO radar imaging [15,16]. The first-order phase errors caused by the constant frequency errors only cause the image to shift in the cross-range direction without damaging the image quality. However, the quadratic phase errors caused by the linear time-varying frequency errors (LTFE) result in image defocus. Therefore, the calibration of the LTFE is mainly researched in this paper. In bistatic or multistatic SAR, phase synchronization is often achieved by designing special phase synchronization links to calibrate frequency errors, such as the direct-path echo method [17] and the pulse alternation method [18]. However, additional equipment is required to implement the frequency error calibration by these methods, which increases the complexity of the radar system. Few papers can be found in previous literature, in the field of frequency error calibration of distributed ISAR imaging.
In this paper, a method based on the entropy minimization principle is proposed to calibrate the LTFE. The image entropy is an important measure of image focusing performance. When the image entropy is smaller, the image focusing performance is better [19]. First, on the basis of the entropy minimization principle, the frequency error coefficient can be estimated by searching optimum solution in the solution space of cost function. Then, the original signal is calibrated by the estimated value of the frequency error coefficient. In the proposed method only radar echo is required and the additional hardware for the radar system is not required.
The remainder of this paper is organized as follows: The signal model of distributed ISAR and the imaging geometry are presented in Section 2. The basic idea of the proposed LTFE calibration method is explained in Section 3. The effectiveness of the proposed method will be demonstrated by simulation and real-data experiments in Section 4. Finally, our conclusions for this paper are summarized in Section 5.

2. Distributed ISAR System and Signal Model

The geometry of the distributed ISAR system and the signal model are introduced in this section. For simplicity and generality, two radars are used to construct the distributed ISAR systems. This model can be extended to the case of multiple radars.

2.1. The Geometry of Distributed ISAR System

The geometry of distributed ISAR system is shown in Figure 1. Radar 1 can transmit signals and receive signals, whereas radar 2 only receives signals. The O and k represent the reference center and generic scatterer on the target, respectively. The whole target is made up of K scatterers. The distance between the kth scatterer and the reference center O is r k , the initial angle between the kth scatterer and the X axis is θ k 0 . The initial distance between radar 1, radar 2, and the reference center O is R 1 and R 2 , respectively. ϕ n denotes the angle between the line of sight (LOS) of the nth radar and Y axis. It is equivalent to a monostatic radar in that radar 1 acts as transmitter and radar 2 as receiver. It is assumed that the moving target has been transformed into a turntable model after motion compensation and the target rotates around the reference center with constant angular speed of ω for both radars.

2.2. Distributed ISAR Signal Model with LTFE

According to the geometry of distributed ISAR, the sum of the distance from the ith radar and the jth radar to the kth scatterer can be expressed as:
R i j k ( t ) = 2 × ( R i j + r k sin ( θ k 0 α i j + ω t ) cos β i j )
where R i j = 1 2 ( R i + R j ) R i denotes the distance between the ith radar and the reference center O .
α i j = ( ϕ i + ϕ j ) / 2
β i j = ( ϕ i ϕ j ) / 2
The ith radar transmitter and the jth radar receiver can be equivalent to a monostatic radar, namely, the nth radar. So we can let α i j = α n , β i j = β n , R i j = R n . Then, the signal received by the nth radar (n = 0, …, N − 1) from the kth scatterer at time t is written as:
s n ( t ) = exp ( j 2 π λ R i j k ) = exp ( j 4 π λ [ R n + r k sin ( θ k 0 α n + ω t ) cos β n ] ) rect T ( t )
where rect T ( t ) = { 1 | t | 1 2 T 0 | t | > 1 2 T [5]. T is the total ISAR observation time for imaging. The rotation angle of target observed by the nth equivalent radar can be expressed as:
Δ θ = θ k n ( T / 2 ) θ k n ( T / 2 ) = ( θ k 0 α n + ω T / 2 ) ( θ k 0 α n ω T / 2 ) = ω T
where θ k n ( T / 2 ) represents the rotation angle of the kth scatterer at T / 2 observed by the nth equivalent radar and θ k n ( T / 2 ) is the rotation angle of the kth scatterer at T / 2 observed by the nth equivalent radar. When the rotation angle Δ θ is small, Equation (4) can be approximately expressed as:
s n ( t ) exp ( j 4 π λ [ R n + ( x r k ( n ) + x c r k ( n ) ω t ) cos β n ] ) rect T ( t )
where x r k ( n ) = r k sin ( θ k 0 α n ) and x c r k ( n ) = r k cos ( θ k 0 α n ) are range and cross-range position on the imaging projection plane of the nth equivalent radar, respectively. In Equations (4) and (6), it is assumed that the local oscillators of both receiver and transmitter are perfect without frequency errors. In the actual distributed ISAR system, the carrier frequencies of transmitter and receiver are not always equal when the ith radar transmits and the jth radar receives, so the phase errors will occur after mixing. Assuming that the actual carrier frequency of the ith radar transmitter is f c i and that of the jth radar receiver is f c j , the received signal of the nth equivalent radar after mixing can be rewritten as:
s n 1 ( t ) exp ( j 4 π λ [ R n + ( x r k ( n ) + x c r k ( n ) ω t ) cos β n ] )   exp ( j 2 π ( ( f c i f c j ) t ) ) rect T ( t )
The signal model with frequency errors is expressed in Equation (7). In this paper, we focus on the LTFE which can be defined as follow:
δ f = f c i f c j = f 0 ( 1 + ρ i t ) f 0 ( 1 ρ j t ) = f 0 ρ i t + f 0 ρ j t = ( A i + A j ) t
where ρ i and ρ j are stability of the ith transmitter oscillator and the jth receiver oscillator, respectively. In Equation (8), A i equals f 0 ρ i and A j equals f 0 ρ j . f 0 is the ideal carrier frequency of transmitter and receiver. After substituting Equation (8) into the second exponential term of Equation (7), we can get the following result:
exp ( j 2 π ( f c i f c j ) t ) = exp ( j 2 π ( A i + A j ) t 2 )
The quadratic phase term in Equation (9) is produced by the LTFE which is the main reason for the image defocusing. Therefore, the focus of this paper is to eliminate the influence of quadratic phase terms on distributed ISAR imaging by LTFE calibration. After substituting Equation (9) into Equation (7), the echo signal model with LTFE can be re-expressed as:
s n 1 ( t ) exp ( j 4 π λ [ R n + ( x r k ( n ) + x c r k ( n ) ω t ) cos β n ] )   exp ( j 2 π ( ( A i + A j ) t 2 ) ) rect T ( t )
According to Equation (6), it is known that there is a Fourier transform relationship between the cross-range coordinate and time t . The cross-range focusing can be achieved by Fourier transform. The target rotation angles of each radar during T are ω T . These rotation angles are not completely overlapping as different radars have different observation angles. Therefore, a larger aperture can be synthesized by rearranging and adding echo data of different radars. According to the fusion scheme in literature [5], the fusion signal can be expressed as:
s c o m b ( t ) = n = 1 N exp ( j 4 π λ R n ) s n ( t t n ) rect T n ( t t n + Δ t n )
where t n = ( α 1 + α N ) / 2 ω α n / ω , T n = ( α n 1 α n + 1 ) / 2 ω and Δ t n = ( α n 1 + α n + 1 ) / 4 ω α n / 2 ω , with α 0 = α 1 + ω T and α N + 1 = α N ω T . After processing the echo signal of each radar according to Equation (11), the global fused signal can be re-expressed as Equation (12):
s c o m b ( t ) = n = 1 N exp ( j 4 π λ [ r k sin ( θ k 0 + ω t α 1 + α N 2 ) cos β n ] ) rect T ( t t n ) rect T n ( t t n + Δ t n ) = exp ( 4 π λ [ r k sin ( θ k 0 + ω t α 1 + α N 2 ) cos β 0 ] ) n = 1 N rect T ( t t n ) rect T n ( t t n + Δ t n ) = exp ( 4 π λ [ r k sin ( θ k 0 + ω t α 1 + α N 2 ) cos β 0 ] ) rect T + ( α 1 α N ) / ω ( t )
β 0 , β n and β n 1 are assumed to be equal constants in Equation (12). In order to avoid gaps in the overall view angle, it is required that α n 1 α n ω T in Equations (11) and (12). According to Equation (12), it can be observed that the fusion result of multiple radar signals is equivalent to increasing the observation time of single radar. When there are LTFE, the fusion result of multiple radar signals is:
s c o m b 1 ( t ) = n = 1 N exp ( j 4 π λ R n ) s n 1 ( t t n ) rect T n ( t t n + Δ t n )
Comparing Equation (13) with Equation (11), the signal fusion in the presence of LTFE is equivalent to adding a quadratic phase term to the echo of each radar before signal fusion. If the quadratic phase term of the nth equivalent radar echo is not removed before signal fusion, it will still exist in the fusion signal, which will degrade the performance of fuse signal imaging. Therefore, the frequency errors of each equivalent radar echo signal should be calibrated before signal fusion.

3. Calibration Method of LTFE

In this section, the LTFE will be calibrated based on the entropy minimization principle. Here, H shown in Equation (14) is the frequency error calibration term:
H = exp ( j 2 π Δ A t 2 )
where Δ A is the frequency error coefficient. The expression of signal with LTFE in Equation (10) multiplied by Equation (14) is:
s n 1 c o m p e n ( t ) = s n 1 ( t ) × H exp ( j 4 π λ [ R n + ( x r k ( n ) + x c r k ( n ) ω t ) cos β n ] ) exp ( j 2 π ( ( A i + A j ) Δ A ) t 2 ) rect T ( t )
According to Equation (15), it is obvious that the LTFE is completely calibrated when ( A i + A j ) = Δ A , namely, quadratic phase coefficient is zero. Therefore, the key to this problem is to find an accurate Δ A to calibrate the original signal before signal fusion and imaging.
The quadratic phase errors produced by the LTFE can defocus the image, so the image entropy will increase. The image focusing performance is the best when the quadratic phase coefficient ( ( A i + A j ) Δ A ) is zero. In such a case, the image entropy also reaches minimum. The relationship between image entropy and quadratic phase coefficient is shown in Figure 2.
Figure 2 shows that the image entropy reaches minimum when the LTFE is calibrated by Δ A .
Therefore, the entropy minimization principle can be employed to estimate Δ A . For estimating Δ A , the image I 0 shown in Equation (16) needs to be obtained by Fourier transform:
I 0 = FT ( s n 1 c o m p e n ( t ) )
where FT (·) represents Fourier transform operation. Then, the entropy function is expressed as:
Entropy ( Δ A ) = m = 1 M n = 1 N I ( m , n ) ln [ I ( m , n ) ]
where I ( m , n ) = | I 0 ( m , n ) | / m = 1 M n = 1 N | I 0 ( m , n ) | . I 0 ( m , n ) is the gray value of the ( m , n ) point on the image I 0 . Image size is M × N . The LTFE calibration method proposed in this paper is to estimate the the frequency error coefficient by minimizing the image entropy. Then the estimated value of the frequency error coefficient is used to calibrate the LTFE of the original signal. Therefore, the entropy function can be used as the cost function. The problem of LTFE calibration can be treated as the problem of cost function optimization. The cost function is expressed as:
Δ A ^ = arg min Δ A { Entropy ( Δ A ) }
The frequency error coefficient Δ A can be obtained by searching the optimum solution in the solution space of the cost function in Equation (18). After calibrating the LTFE with the estimated value Δ A ^ , the signals are fused for further imaging. The imaging result will have a good focus performance.
The main steps of the proposed method are summarized as follows:
Step 1 
set the initial value, search scope and search step size of Δ A .
Step 2 
according to Equation (14) and (15), Δ A m in every search step is used to compensate the original signal ( Δ A m is the mth possible estimate value of Δ A ).
Step 3 
image with compensated signal and calculate image entropy E m .
Step 4 
complete the search in the whole search range of Δ A , compare the image entropy of all the imaging results, and select the Δ A m corresponding to the minimum entropy as the estimated value of Δ A .
Step 5 
calibrate the signal s n 1 ( t ^ , t m ) of the nth radar with the estimated value of Δ A obtained in step 4.
Step 6 
calibrate the echo signal of every equivalent radar, and fuse the signals for imaging finally according to the method of step 1–5.
The flow chart which illustrates the procedure of the proposed method is shown in Figure 3.

4. Numerical Simulation and Analysis

In this section, the effectiveness of the proposed method is demonstrated by simulation and real-data experiments. In the simulation, the simplest distributed ISAR system is used as shown in Figure 1. Radar 1 is a self-transmitting and self-receiving radar which has no frequency errors. Radar 2 receives signals transmitted by radar 1, therefore in this case, the LTFE caused by the frequency mismatch between the transmitter and the receiver oscillators must be calibrated. Then, the received signals of radar 1 and radar 2 are fused.

4.1. Simulation 1: The Effectiveness of the Proposed Method

Simulation parameters are given in Table 1.
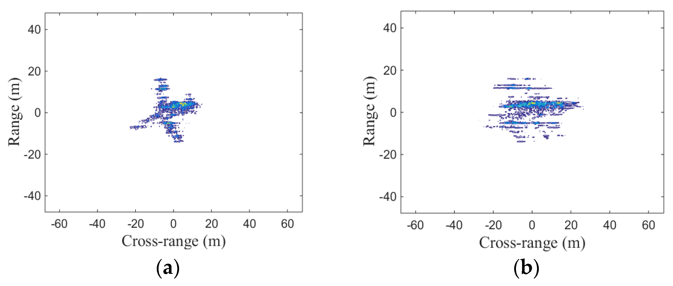
The target model used in the simulation is shown in Figure 4. In Figure 5, cross-range point spread function (PSF) with LTFE is compared with the calibrated one. It is demonstrated that the LTFE seriously deteriorate the spectrum of cross-range and the LTFE can be calibrated effectively by the proposed method. The performance of cross-range PSF is improved when the LTFE is calibrated by the proposed method. According to the two-dimensional imaging results shown in Figure 6, it can be seen that the focusing performance of Figure 6b is much better than that of Figure 6a.
Image entropy and image contrast [20] are two objective metrics used to evaluate image quality. In order to quantitatively prove the effectiveness of the proposed method from a mathematical point of view, we employ image entropy and image contrast to further explain the simulation results. The image entropy is defined in Equation (17). The image contrast is defined as follows:
contrast = E { ( | u m n | E { | u m n | } ) 2 } E { | u m n | }
where u m n is the amplitude of each pixel and E { } represents the mean operation. According to Equations (17) and (19), the image entropy and image contrast shown in Figure 5 are listed in Table 2 and Table 3, respectively.
Table 2 shows that the image entropy shown in Figure 5b is smaller than that shown in Figure 5a, in other words, the focusing performance shown in Figure 5b is better than that shown in Figure 5a.
The bigger the image contrast is, the better the image focusing performance is. Table 3 shows that the image entropy shown in Figure 5b is bigger than that shown in Figure 5a, which means that shown in Figure 5b has better focusing performance than that shown in Figure 5a. Both image entropy and image contrast prove that the focusing performance shown in Figure 5b is better than that shown in Figure 5a, namely, the LTFE can be calibrated effectively by the proposed method.
Similar to Figure 5, the image entropy and image contrast shown in Figure 6 are listed in Table 4 and Table 5, respectively.
As listed in Table 4 and Table 5, the image entropy shown in Figure 6b is smaller than that shown in Figure 6a, and the image contrast shown in Figure 6b is larger than that shown in Figure 6a. In other words, the focusing performance shown in Figure 6b is better. These simulation results demonstrate the effectiveness of the proposed method.

4.2. Simulation 2: Demonstration by Real-Data

The target model used in the simulation 1 is a scatterer model, which is not completely consistent with the true situation. Accordingly, Yake-42 real-data [21,22] is utilized to further demonstrate the effectiveness of the proposed method. The Yake-42 aircraft is 36.8 m in length and 34.88 m in width. It flies smoothly along a straight line at an altitude of 4 km from the ground. A ground-based imaging radar is used to acquire the echo data of the Yake-42 aircraft. Some important radar parameters of the Yake-42 real-data are listed in Table 6.
The Yake-42 real-data is a single-sensor data, so it cannot be directly used in distributed ISAR fusion imaging. We need to emulate the two sensors’ distributed ISAR acquisition with the Yake-42 real-data. To accomplish this, the Yake-42 real-data of 256 continuous pulses is divided into two parts. The data of one to 128 pulses is used as radar 1 echo data and the data of 129 to 256 pulses is used as radar 2 echo data. The Yake-42 data of 256 continuous pulses is equivalent to the echo data received simultaneously by two sensors during 1.28 s. In the true distributed ISAR system, echo data of radar 2 has frequency errors. However, Yake-42 data is received by a self-transmitting and self-receiving radar with no frequency errors. Therefore, it is necessary to add a LTFE term to the equivalent echo data of radar 2 and set the frequency error coefficient as 5 Hz/s2. The echo data of two sensors’ distributed ISAR system will be emulated based on the aforementioned processing. Then, the distributed ISAR real-data can be used to demonstrate the effectiveness of the proposed method.
Figure 7a shows the imaging result of distributed ISAR real-data without LTFE. It is obvious that the image has a good focusing performance. In practice, frequency errors inevitably exist in the distributed ISAR system because of the frequency mismatch between the transmitter and the receiver oscillators. Figure 7b shows the imaging result of distributed ISAR real-data with LTFE. It can be seen that the LTFE cause the image defocus and the imaging performance is seriously deteriorated. The imaging result of distributed ISAR real-data after calibrating the LTFE by the proposed method is shown in Figure 7c. The focusing performance shown in Figure 7c is better than that shown in Figure 7b, which demonstrates that the proposed method can effectively calibrate the LTFE and improve the imaging performance. It can be seen from the comparison of the imaging results of Figure 7a with Figure 7c, the proposed method is effective for the real-data. For further verification, the image entropy and image contrast are listed in Table 7 and Table 8, respectively.
The data in Table 7 and Table 8, show that the image entropy shown in Figure 7c is smaller than that shown in Figure 7b, while the image contrast shown in Figure 7c is bigger than that shown in Figure 7b. These two metrics demonstrate that the focusing performance shown in Figure 7c is better than that shown in Figure 7b and the proposed method in this paper can effectively calibrate the LTFE.
In order to prove that the proposed method can effectively calibrate the LTFE in different sizes, another experiment under the condition of large LTFE is shown in Figure 8. In this experiment, the frequency error coefficient is set as 15 Hz/s2.
Figure 8b shows that the image is completely out of focus when there is a large LTFE. As shown in Figure 8c, a well-focused image is obtained after calibrating the large LTFE by the method proposed in this paper. The image entropy and image contrast of Figure 8 are listed in Table 9 and Table 10, respectively.
The image entropy listed in Table 9 and the image contrast listed in Table 10 also prove that the focusing performance shown in Figure 8c is better than the focusing performance shown in Figure 8b, namely, the proposed method in this paper can still effectively calibrate LTFE and improve image performance under the condition of large LTFE.

5. Conclusions

Frequency errors in distributed ISAR systems degrade the image performance. For this issue in this paper, an error calibration method based on entropy minimization principle is proposed that can calibrate the LTFE of distributed ISAR system and realize phase synchronization. The distributed ISAR fusion imaging performance is improved significantly after calibrating the LTFE by the proposed method. Only radar echo is required in the proposed method so the additional hardware for the radar system is not required. The numerical simulation results show that the LTFE in the distributed ISAR can be calibrated effectively by the proposed method.

Author Contributions

All authors contributed a great deal of effort to this paper. H.K. provided the main idea, designed the algorithm, performed the experiments and wrote the paper. J.L., H.Z., Z.B. and Z.Y. supervised the analysis, edited the manuscript and provided many valuable suggestions to this study.

Funding

This work was supported by the National Natural Science Foundation of China under contract No. 61431016.

Conflicts of Interest

The authors declare no conflict of interest.

References

  1. Walker, J.L. Range-Doppler Imaging of Rotating Objects. IEEE Trans. Aerosp. Electron. Syst. 1980, 16, 23–52. [Google Scholar] [CrossRef]
  2. Wang, B.; Xu, S.; Wu, W.; Hu, P.; Chen, Z. Adaptive ISAR Imaging of Maneuvering Targets Based on a Modified Fourier Transform. Sensors 2018, 18, 1370. [Google Scholar] [CrossRef] [PubMed]
  3. Vespe, M.; Baker, C.J.; Griffiths, H.D. Automatic target recognition using multi-diversity radar. IET Radar Sonar Navig. 2007, 1, 470–478. [Google Scholar] [CrossRef]
  4. Haimovich, A.M.; Blum, R.S.; Cimini, L.J. MIMO Radar with Widely Separated Antennas. IEEE Signal Process. Mag. 2007, 25, 116–129. [Google Scholar] [CrossRef]
  5. Griffiths, H. Workshop on multistatic and MIMO radar. IEEE Aerosp. Electron. Syst. Mag. 2010, 25, 43–45. [Google Scholar] [CrossRef]
  6. Pastina, D.; Bucciarelli, M.; Lombardo, P. Multistatic and MIMO Distributed ISAR for Enhanced Cross-Range Resolution of Rotating Targets. IEEE Trans. Geosci. Remote Sens. 2010, 48, 3300–3317. [Google Scholar] [CrossRef]
  7. Brisken, S. Multistatic ISAR—Chances and challenges. In Proceedings of the International Radar Conference, Lille, France, 13–17 October 2014; IEEE: Washington, DC, USA, May 2015; pp. 1–6. [Google Scholar]
  8. Pastina, D.; Santi, F.; Bucciarelli, M. MIMO Distributed Imaging of Rotating Targets for Improved 2-D Resolution. IEEE Geosci. Remote Sens. Lett. 2015, 7, 190–194. [Google Scholar] [CrossRef]
  9. Li, Y.; Fu, Y.; Zhang, W. Distributed ISAR Sub-image Fusion of Nonuniform Rotating Target Based on Matching Fourier Transform. Sensors 2018, 18, 1806. [Google Scholar] [CrossRef] [PubMed]
  10. Wang, L.; Cheney, M.; Borden, B. Multistatic Radar Imaging of Moving Targets. IEEE Trans. Aerosp. Electron. Syst. 2010, 48, 230–242. [Google Scholar] [CrossRef]
  11. He, X.; Tong, N.; Hu, X. High-Resolution Imaging and 3-D Reconstruction of Precession Targets by Exploiting Sparse Apertures. IEEE Trans. Aerosp. Electron. Syst. 2017, 53, 1212–1220. [Google Scholar] [CrossRef]
  12. Sego, D.J. Three Dimensional Bistatic Tomography Using HDTV. Ph.D. Thesis, University College London, London, UK, 2016. [Google Scholar]
  13. Yang, Y.; Blum, R.S. Phase Synchronization for Coherent MIMO Radar: Algorithms and Their Analysis. IEEE Trans. Signal Process. 2011, 59, 5538–5557. [Google Scholar] [CrossRef]
  14. Akcakaya, M.; Nehorai, A. MIMO Radar Detection and Adaptive Design under a Phase Synchronization Mismatch. IEEE Trans. Signal Process. 2010, 58, 4994–5005. [Google Scholar] [CrossRef]
  15. Krieger, G.; Younis, M. Impact of oscillator noise in bistatic and multistatic SAR. IEEE Geosci. Remote Sens. Lett. 2006, 3, 424–428. [Google Scholar] [CrossRef]
  16. Li, D.; Liu, C.; Wang, T. Sparse self-calibration via iterative minimization against phase synchronization mismatch for MIMO radar imaging. In Proceedings of the IEEE Radar Conference, Ottawa, ON, Canada, 29 April–3 May 2013; pp. 1–4. [Google Scholar]
  17. Wang, W. Approach of Adaptive Synchronization for Bistatic SAR Real-Time Imaging. IEEE Trans. Geosci. Remote Sens. 2007, 45, 2695–2700. [Google Scholar] [CrossRef]
  18. Younis, M.; Metzig, R.; Krieger, G. Performance prediction of a phase synchronization link for bistatic SAR. IEEE Geosci. Remote Sens. Lett. 2006, 3, 429–433. [Google Scholar] [CrossRef]
  19. Cao, P.; Xing, M.; Sun, G.; Li, Y.; Bao, Z. Minimum Entropy via Subspace for ISAR Autofocus. IEEE Geosci. Remote Sens. Lett. 2010, 7, 205–209. [Google Scholar] [CrossRef]
  20. Berizzi, F.; Corsini, G. Autofocusing of inverse synthetic aperture radar images using contrast optimization. IEEE Trans. Aerosp. Electron. Syst. 1996, 32, 1185–1191. [Google Scholar] [CrossRef]
  21. University of Electronic Science and Technology of China (UESTC) Information System dataset. Available online: http://www.junfang-uestc.net/codes/ISAR.rar (accessed on 19 May 2018).
  22. Zhao, G.; Wang, Z.; Wang, Q.; Shi, G.; Shen, F. Robust ISAR imaging based on compressive sensing from noisy measurements. Signal Process. 2012, 92, 120–129. [Google Scholar] [CrossRef]
Figure 1. Geometry of distributed inverse synthetic aperture radar (ISAR).
Figure 1. Geometry of distributed inverse synthetic aperture radar (ISAR).
Sensors 19 01323 g001
Figure 2. Relationship between normalized entropy and quadratic phase coefficient.
Figure 2. Relationship between normalized entropy and quadratic phase coefficient.
Sensors 19 01323 g002
Figure 3. Flow chart of calibration method for frequency error based on entropy minimization principle.
Figure 3. Flow chart of calibration method for frequency error based on entropy minimization principle.
Sensors 19 01323 g003
Figure 4. Target model.
Figure 4. Target model.
Sensors 19 01323 g004
Figure 5. Cross-range point spread function (PSF): (a) cross-range PSF with LTFE; (b) cross-range PSF after calibrating LTFE.
Figure 5. Cross-range point spread function (PSF): (a) cross-range PSF with LTFE; (b) cross-range PSF after calibrating LTFE.
Sensors 19 01323 g005
Figure 6. Two-dimensional imaging results: (a) imaging results of fused signal with LTFE; (b) imaging results of fused signal after calibrating frequency error.
Figure 6. Two-dimensional imaging results: (a) imaging results of fused signal with LTFE; (b) imaging results of fused signal after calibrating frequency error.
Sensors 19 01323 g006
Figure 7. Coherent fusion imaging results of real-data: (a) imaging result of real-data without LTFE; (b) imaging result of real-data with LTFE; (c) imaging result of real-data after calibrating LTFE.
Figure 7. Coherent fusion imaging results of real-data: (a) imaging result of real-data without LTFE; (b) imaging result of real-data with LTFE; (c) imaging result of real-data after calibrating LTFE.
Sensors 19 01323 g007aSensors 19 01323 g007b
Figure 8. Coherent fusion imaging results under large LTFE: (a) imaging result without large LTFE; (b) imaging result with large LTFE; (c) imaging result after calibrating large LTFE.
Figure 8. Coherent fusion imaging results under large LTFE: (a) imaging result without large LTFE; (b) imaging result with large LTFE; (c) imaging result after calibrating large LTFE.
Sensors 19 01323 g008aSensors 19 01323 g008b
Table 1. Simulation parameters.
Table 1. Simulation parameters.
Carrier frequency f010 GHz
Bandwidth B400 MHz
Acquisition time T1.59 s
Rotational speed ω0.36 °/s
Pulse width Tp0.64 μs
Stability of oscillator ρ 1 = 10 10 ,   ρ 2 = 10 10
Error coefficient ΔA2 Hz/s2
Table 2. Image entropy of Figure 5.
Table 2. Image entropy of Figure 5.
FigureImage Entropy
5a (with LTFE)7.0870
5b (after calibrating)6.3900
Table 3. Image contrast of Figure 5.
Table 3. Image contrast of Figure 5.
FigureImage Contrast
5a (with LTFE)1.2790
5b (after calibrating)2.7660
Table 4. Image entropy of Figure 6.
Table 4. Image entropy of Figure 6.
FigureImage Entropy
6a (with LTFE)10.3580
6b (after calibrating)7.043
Table 5. Image contrast of Figure 6.
Table 5. Image contrast of Figure 6.
FigureImage Contrast
6a (with LTFE)2.4950
6b (after calibrating)3.4238
Table 6. Radar parameters of Yake-42 real-data.
Table 6. Radar parameters of Yake-42 real-data.
Carrier frequency5.5 GHz
Bandwidth400 MHz
Pulse width25.6 μs
Prf100 Hz
Number of pulses256
Table 7. Image entropy of Figure 7.
Table 7. Image entropy of Figure 7.
FigureImage Entropy
7a (without LTFE)11.4082
7b (with LTFE)11.7183
7c (after calibrating)11.4082
Table 8. Image contrast of Figure 7.
Table 8. Image contrast of Figure 7.
FigureImage Contrast
7a (without LTFE)2.1338
7b (with LTFE)1.8582
7c (after calibrating)2.1338
Table 9. Image entropy of Figure 8.
Table 9. Image entropy of Figure 8.
FigureImage Entropy
8a (without LTFE)11.4082
8b (with LTFE)11.9232
8c (after calibrating)11.4082
Table 10. Image contrast of Figure 8.
Table 10. Image contrast of Figure 8.
FigureImage Contrast
8a (without LTFE)2.1338
8b (with LTFE)1.4074
8c (after calibrating)2.1338

Share and Cite

MDPI and ACS Style

Kang, H.; Li, J.; Zhao, H.; Bao, Z.; Yu, Z. Calibration of Linear Time-Varying Frequency Errors for Distributed ISAR Imaging Based on the Entropy Minimization Principle. Sensors 2019, 19, 1323. https://doi.org/10.3390/s19061323

AMA Style

Kang H, Li J, Zhao H, Bao Z, Yu Z. Calibration of Linear Time-Varying Frequency Errors for Distributed ISAR Imaging Based on the Entropy Minimization Principle. Sensors. 2019; 19(6):1323. https://doi.org/10.3390/s19061323

Chicago/Turabian Style

Kang, Hailong, Jun Li, Hongyan Zhao, Zhiyu Bao, and Zehua Yu. 2019. "Calibration of Linear Time-Varying Frequency Errors for Distributed ISAR Imaging Based on the Entropy Minimization Principle" Sensors 19, no. 6: 1323. https://doi.org/10.3390/s19061323

APA Style

Kang, H., Li, J., Zhao, H., Bao, Z., & Yu, Z. (2019). Calibration of Linear Time-Varying Frequency Errors for Distributed ISAR Imaging Based on the Entropy Minimization Principle. Sensors, 19(6), 1323. https://doi.org/10.3390/s19061323

Note that from the first issue of 2016, this journal uses article numbers instead of page numbers. See further details here.

Article Metrics

Back to TopTop