Detection of Glaze Icing Load and Temperature of Composite Insulators Using Fiber Bragg Grating
Abstract
:1. Introduction
2. Detection Principle
2.1. FBG Sensing Principle
2.2. Simultaneous Measurement of FBG Temperature and Strain
3. Design of the Composite Insulator with Embedded FBG, and Experiments
3.1. Fiber Bragg Grating Parameters and Packing
3.2. Design of the Composite Insulator with Embedded FBG
3.3. The Detection System of the Composite Insulator with Embedded FBG
3.4. Temperature Effect Experiments
3.5. Simulated Glaze Icing Load Experiments
4. Results and Discussion
4.1. Temperature Effect Experiments
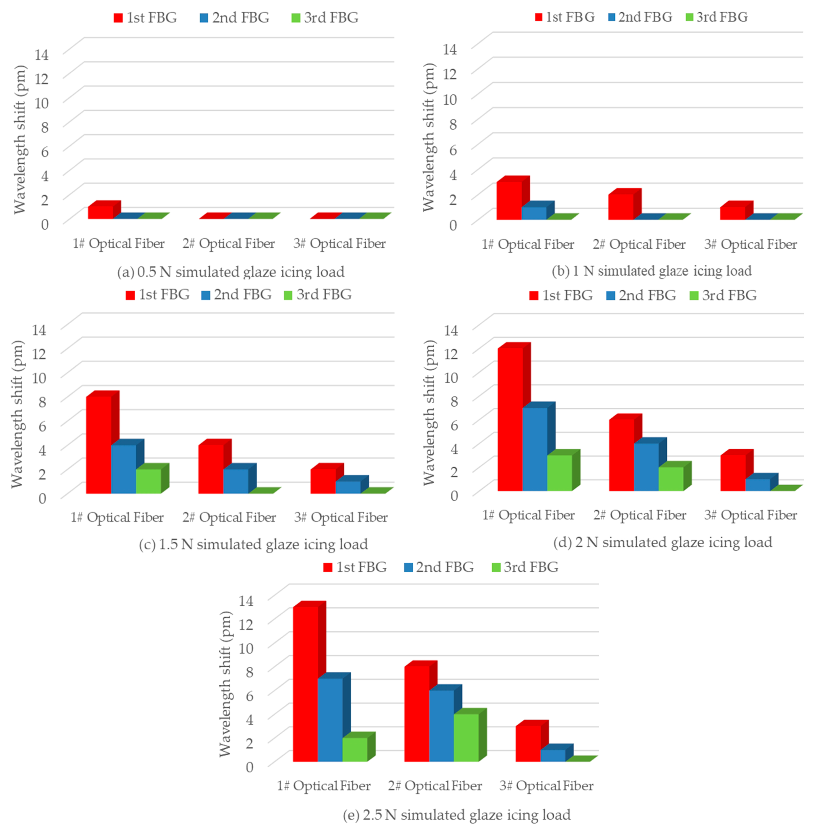
4.2. Simulated Glaze Icing Load Experiments
4.3. Strain Distribution in Simulated Glaze Icing Load Experiments
5. Conclusions
Author Contributions
Funding
Conflicts of Interest
References
- Farhangi, H. The path of the smart grid. IEEE Power Energy Mag. 2010, 8, 18–28. [Google Scholar] [CrossRef]
- Marris, E. Energy: Upgrading the grid. Nature 2008, 454, 570–573. [Google Scholar] [CrossRef] [Green Version]
- Jiang, X.; Shu, L.; Sun, C. Power System Insulation of Pollution and Icing; Chinese Electric Power Press: Beijing, China, 2009. [Google Scholar]
- Farzaneh, M. Atmospheric Icing of Power Networks; Springer: New York City, NY, USA, 2008. [Google Scholar]
- Oikonomou, D.S.; Maris, T.I.; Ekonomou, L. Artificial intelligence assessment of sea salt contamination of medium voltage insulators. In Proceedings of the 8th WSEAS International Conference on Systems Theory and Scientific Computation, Rhodes, Greece, 20–22 August 2008; pp. 319–323. [Google Scholar]
- Vita, V.; Ekonomou, L.; Chatzarakis, G.E. Design of artificial neural network models for the estimation of distribution system voltage insulators’ contamination. In Proceedings of the 12th WSEAS International Conference on Mathematical Methods, Computational Techniques and Intelligent Systems, Sousse, Tunisia, 3–6 May 2010; pp. 227–231. [Google Scholar]
- Pappas, S.S.; Ekonomou, L. Comparison of adaptive techniques for the prediction of the equivalent salt deposit density of medium voltage insulators. WSEAS Trans. Power Syst. 2017, 12, 220–224. [Google Scholar]
- Cai, W.; Deng, H.; Zhou, G.; Wang, J.; Yang, F. Online measurement of equivalent salt deposit density by using optical technology. IEEE Trans. Dielectr. Electr. Insul. 2013, 20, 409–413. [Google Scholar] [CrossRef]
- Wang, S.; Lu, F.; Liu, Y. Estimation of discharge magnitude of composite insulator surface corona discharge based on ultraviolet imaging method. IEEE Trans. Dielectr. Electr. Insul. 2014, 21, 1697–1704. [Google Scholar] [CrossRef]
- Yao, J.; Zhang, Y.; Li, T.; Peng, Z.; Hu, L.; Fu, Q. Analysis of High-voltage Ceramic Insulators Infrared Detection Blind Areas. High Volt. Eng. 2017, 43, 2903–2910. [Google Scholar]
- Jia, Z.; Wang, L.; Shang, X.; Jia, B.; Shi, H.; Zhang, N. Quantitative Assessment of Porcelain Insulator String Discharge Degree Based on UV Imaging Technology. High Volt. Eng. 2017, 43, 1467–1475. [Google Scholar]
- Wu, Q.; An, J.; Lin, B. A Texture Segmentation Algorithm Based on PCA and Global Minimization Active Contour Model for Aerial Insulator Images. IEEE J. Sel. Top. Appl. Earth Obs. Remote Sens. 2012, 5, 1509–1518. [Google Scholar]
- Berlijn, S.M.; Gutman, I.; Halsan, K.A.; Eilertsten, M.; Gu, I.Y.H. Laboratory tests and web based surveillance to determine the ice- and snow performance of insulators. IEEE Trans. Dielectr. Electr. Insul. 2007, 14, 1373–1380. [Google Scholar] [CrossRef]
- Hao, Y.; Wei, J.; Jiang, X.; Yang, L.; Li, L.; Wang, J.; Li, H.; Li, R. Icing Condition Assessment of In-Service Glass Insulators Based on Graphical Shed Spacing and Graphical Shed Overhang. Energies 2018, 11, 318. [Google Scholar] [CrossRef]
- Bjerkan, L. Application of fiber-optic bragg grating sensors in monitoring environmental loads of overhead power transmission lines. Appl. Opt. 2000, 39, 554–560. [Google Scholar] [CrossRef]
- Luo, J.; Hao, Y.; Ye, Q.; Hao, Y.; Li, L. Development of optical fiber sensors based on brillouin scattering and fbg for on-line monitoring in overhead transmission lines. J. Lightwave Technol. 2013, 31, 1559–1565. [Google Scholar] [CrossRef]
- Ma, G.; Mao, N.; Li, Y.; Jiang, J.; Zhou, H.; Li, C. The reusable load cell with protection applied for online monitoring of overhead transmission lines based on fiber bragg grating. Sensors 2016, 16, 922. [Google Scholar] [CrossRef]
- Wydra, M.; Kisala, P.; Harasim, D.; Kacejko, P. Overhead transmission line sag estimation using a simple optomechanical system with chirped fiber bragg gratings. Part 1: Preliminary measurements. Sensors 2018, 18, 309. [Google Scholar] [CrossRef]
- Yan, Z.; Zhang, Z.; Li, L.; Zhai, T.; Guo, R.; Jiang, C. Insulator string leakage current-monitoring sensor based on fiber Bragg grating. Opt. Express 2018, 26, 24940–24952. [Google Scholar] [CrossRef]
- Seike, S.; Mima, T.; Nozaki, M.; Tani, N.; Ikeda, M. Optical Fiber Composite Insulator. U.S. Patent No. 5090793, 25 February 1992. [Google Scholar]
- Lepley, D.; Mure-Ravaud, A.; Trouillet, A. Composite Electrical Insulator Including an Integrated Optical Fiber Sensor. U.S. Patent No. 6635828, 21 October 2003. [Google Scholar]
- Trouillet, A.; Lepley, D.; Mureravaud, A.; Marin, E. Integration of fibre Bragg grating strain sensors into composite electrical insulators. In Proceedings of the SPIE Second European Workshop on Optical Fibre Sensors, Santander, Spain, 9 June 2004; pp. 92–95. [Google Scholar]
- Kumosa, M.; Han, Y.; Kumosa, L. Analyses of composite insulators with crimped end-fittings: Part I—Nonlinear finite element computations. Compos. Sci. Technol. 2002, 62, 1191–1207. [Google Scholar] [CrossRef]
- Kumosa, M.; Armentrout, D.; Kumosa, L.; Han, L.; Carpenter, S.H. Analyses of composite insulators with crimped end-fittings: Part II—Suitable crimping conditions. Compos. Sci. Technol. 2002, 62, 1209–1221. [Google Scholar] [CrossRef]
- Portnov, G.; Bakis, C.E. Analysis of stress concentration during tension of round pultruded composite rods. Compos. Struct. 2008, 83, 100–109. [Google Scholar] [CrossRef]
- Cai, W.; Luo, B.; Deng, H.; Fan, X.; Xiong, P. Stress Distribution Analyses of Composite Insulator with Fiber Bragg Grating Embedded. High Volt. Eng. 2011, 37, 1106–1114. [Google Scholar]
- Cai, W.; Wen, S.; Deng, H.; Hu, X.; Xiong, P. Thermal and Stress Strain Analysis of the Implanted Fiber Bragg Grating in a Composite Insulator Rod. High Volt. Eng. 2011, 37, 2370–2377. [Google Scholar]
- Du, S.; Cai, W.; Deng, H.; Wen, S.; Deng, W.; Xiong, P. Production and Calibration Test of the Composite Insulator with Fiber Bragg Grating Embedded. High Volt. Eng. 2012, 38, 2774–2778. [Google Scholar]
- Wen, S.; Cai, W.; Deng, H.; Du, S.; Xiong, P. Fault Simulation Experiment on Composite Insulators with Fiber Bragg Grating Implanted. High Volt. Eng. 2013, 39, 81–87. [Google Scholar]
- Chen, W.; Dong, X.; Zhu, X.; Yang, F.; Hu, X. Stress Analysis and Detection of Composite Electrical Insulators with Embedded Fiber Bragg Grating Sensors. Sens. Lett. 2012, 10, 1562–1565. [Google Scholar] [CrossRef]
- Chen, W.; Tang, M. Monitoring on internal temperature of composite insulator with embedding fiber Bragg grating for early diagnosis. In Proceedings of the 25th International Conference on Optical Fiber Sensors, Jeju, Korea, 24–28 April 2017; pp. 1–4. [Google Scholar]
- Hill, K.O.; Meltz, G. Fiber bragg grating technology fundamentals and overview. J. Lightwave Technol. 1997, 15, 1263–1276. [Google Scholar] [CrossRef]
- Ma, G.; Li, Y.; Mao, N.; Shi, C.; Zhang, B.; Li, C. A fiber bragg grating-based dynamic tension detection system for overhead transmission line galloping. Sensors 2018, 18, 365. [Google Scholar] [CrossRef]
- Zhang, Z.; Jiang, X.; Hu, J.; Shen, Q.; Chen, L.; Liu, G. Influence of environment parameters on the icing accretion on the surface of insulator. High Volt. Eng. 2010, 36, 2418–2423. [Google Scholar]
- Farzaneh, M.; Savadjiev, K. Statistical Analysis of Field Data for Precipitation Icing Accretion on Overhead Power Lines. IEEE Trans. Dielectr. Electr. Insul. 2005, 20, 1080–1087. [Google Scholar] [CrossRef]
- IEEE Guide for Test Methods and Procedures to Evaluate the Electrical Performance of Insulators in Freezing Conditions; IEEE Standard 1783-2009; IEEE: Piscataway, NJ, USA, 2009.
- Volat, C.; Farzaneh, M. Three-dimensional modeling of potential and electric-field distributions along an EHV ceramic post insulator covered with ice—Part I: Simulations of a melting period. IEEE Trans. Power Delivery. 2005, 20, 2006–2013. [Google Scholar] [CrossRef]
- Volat, C.; Farzaneh, M. Three-dimensional modeling of potential and electric-field distributions along an EHV ceramic post insulator covered with ice—Part II: Effect of air gaps and partial arcs. IEEE Trans. Power Delivery. 2005, 20, 2014–2021. [Google Scholar] [CrossRef]
- Application Guide of Auxiliary Silicone Rubber Shed for Transmission and Substation Equipment External Insulation; DL/T 1469-2015; National Energy Administration: Beijing, China, 2015.
- Fofana, I.; Farzaneh, M.; Hemmatjou, H.; Volat, V. Study of discharge in air from the tip of an icicle. IEEE Trans. Power Deliv. 2008, 15, 730–740. [Google Scholar] [CrossRef]
- Deng, Y.; Jia, Z.; Jiang, H.; Guan, Z.; Zhou, J. Analysis of icicle growth process of composite insulator under energized condition and its impact factors. IEEE Trans. Dielectr. Electr. Insul. 2015, 22, 1613–1622. [Google Scholar] [CrossRef]
- Deng, Y.; Jia, Z.; Zhou, J.; Sun, L. Ice flashover performance and its characterization parameter of composite insulator with booster sheds. IEEE Trans. Dielectr. Electr. Insul. 2016, 3, 1021–1029. [Google Scholar] [CrossRef]











| Description | Values |
|---|---|
| Diameter of fiber core | 10 μm |
| Diameter of cladding | 125 μm |
| Center wavelength range | 1510–1590 nm |
| Length of FBG | 10 mm |
| Minimum FBG space | 10 mm |
| Reflectivity | ≥90% |
| Side mode suppression ratio | ≥10 dB |
| Working temperature | −40~300 °C |
| Description | Values | |
|---|---|---|
| Insulator type | FXBW-10/70 | |
| Structural height | 373 mm | |
| Insulation height | 222 mm | |
| Leakage distance | 762 mm | |
| Diameter of the core rod | 18 mm | |
| The big insulator shed | Shed overhang | 48 mm |
| Shed spacing | 75 mm | |
| Number | 2 | |
| The small insulator shed | Shed overhang | 24 mm |
| Shed spacing | 25 mm | |
| Number | 4 | |
| Labels of Optical Fibers | Labels of Gratings | Initial Center Wavelengths |
|---|---|---|
| 1# Optical Fiber | FBG-11 | 1531.948 nm |
| FBG-12 | 1538.873 nm | |
| FBG-13 | 1545.955 nm | |
| FBG-14 | 1553.113 nm | |
| 2# Optical Fiber | FBG-21 | 1531.853 nm |
| FBG-22 | 1539.030 nm | |
| FBG-23 | 1546.079 nm | |
| FBG-24 | 1553.077 nm | |
| 3# Optical Fiber | FBG-31 | 1532.035 nm |
| FBG-32 | 1539.130 nm | |
| FBG-33 | 1545.836 nm | |
| FBG-34 | 1552.911 nm |
| Weights | Corresponding to the Icicle Length L | Corresponding to the Icicle Bridged Degree η |
|---|---|---|
| 0.5 N | 11 mm | 15% |
| 1.0 N | 22 mm | 29% |
| 1.5 N | 33 mm | 44% |
| 2.0 N | 44 mm | 59% |
| 2.5 N | 55 mm | 73% |
© 2019 by the authors. Licensee MDPI, Basel, Switzerland. This article is an open access article distributed under the terms and conditions of the Creative Commons Attribution (CC BY) license (http://creativecommons.org/licenses/by/4.0/).
Share and Cite
Wei, J.; Hao, Y.; Fu, Y.; Yang, L.; Gan, J.; Yang, Z. Detection of Glaze Icing Load and Temperature of Composite Insulators Using Fiber Bragg Grating. Sensors 2019, 19, 1321. https://doi.org/10.3390/s19061321
Wei J, Hao Y, Fu Y, Yang L, Gan J, Yang Z. Detection of Glaze Icing Load and Temperature of Composite Insulators Using Fiber Bragg Grating. Sensors. 2019; 19(6):1321. https://doi.org/10.3390/s19061321
Chicago/Turabian StyleWei, Jie, Yanpeng Hao, Yuan Fu, Lin Yang, Jiulin Gan, and Zhongmin Yang. 2019. "Detection of Glaze Icing Load and Temperature of Composite Insulators Using Fiber Bragg Grating" Sensors 19, no. 6: 1321. https://doi.org/10.3390/s19061321
APA StyleWei, J., Hao, Y., Fu, Y., Yang, L., Gan, J., & Yang, Z. (2019). Detection of Glaze Icing Load and Temperature of Composite Insulators Using Fiber Bragg Grating. Sensors, 19(6), 1321. https://doi.org/10.3390/s19061321
