Luminescent Lanthanide Metal Organic Frameworks as Chemosensing Platforms towards Agrochemicals and Cations
Abstract
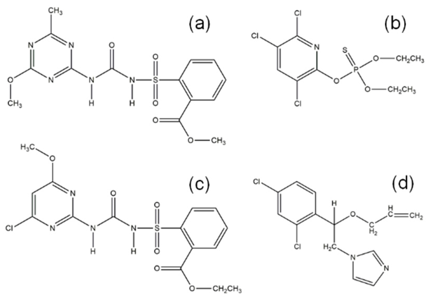
:1. Introduction
2. Materials and Methods
2.1. Synthesis of Sensor Materials
2.2. Powder X-Ray Diffraction (PXRD)
2.3. Thermal Analysis
2.4. Fourier Transform Infrared Spectroscopy (FTIR)
2.5. Scanning Electron Microscopy (SEM) and Energy-Dispersive X-ray Spectra (EDS)
2.6. UV Absorption Spectroscopy
2.7. Luminescence Measurements
2.8. Simulation Details
3. Results and Discussion
3.1. Synthesis of Luminescent MOFs Sensors
3.2. Sensing Essays
3.3. Sensor–Analyte Interaction Studies
4. Conclusions
Supplementary Materials
Author Contributions
Funding
Acknowledgments
Conflicts of Interest
References
- Li, J.-R.; Sculley, J.; Zhou, H.-C. Metal–organic frameworks for separations. Chem. Rev. 2012, 112, 869–932. [Google Scholar] [CrossRef] [PubMed]
- Gomez, G.E.; Brusau, E.V.; Sacanell, J.; Sacanell, G.J.A.A.; Narda, G.E. Insight into the metal content–structure–property relationship in lanthanide metal–organic frameworks: Optical studies, magnetism, and catalytic performance. Eur. J. Inorg. Chem. 2018, 20–21, 2452–2460. [Google Scholar] [CrossRef]
- Gomez, G.E.; Gomez, R.F.; Lionello, D.F.; Aguirre-Díaz, L.M.; Spinosa, M.; Costa, C.S.; Fuertes, M.C.; Pizarro, R.A.; Kaczmarek, A.M.; Ellena, J.; et al. Exploring physical and chemical properties in new multifunctional indium-, bismuth-, and zinc-based 1d and 2d coordination polymers. Dalton Trans. 2018, 47, 1808–1818. [Google Scholar] [CrossRef] [PubMed]
- Dalton, A.; García, H.; Llabrés, F.X. I xamena. engineering metal organic frameworks for heterogeneous catalysis. Chem. Rev. 2010, 110, 4606–4655. [Google Scholar]
- Dhakshinamoorthy, A.; Li, Z.; Garcia, H. Catalysis and photocatalysis by metal organic frameworks. Chem. Soc. Rev. 2018, 47, 8134–8172. [Google Scholar] [CrossRef] [PubMed]
- Bünzli, J.-C.G.; Comby, S.; Chauvin, A.-S.; Vandevyver, C.D.B. New opportunities for lanthanide luminescence. J. Rare Earths 2007, 25, 257–274. [Google Scholar] [CrossRef]
- Le Natur, F.; Calvez, G.; Daiguebonne, C.; Guillou, O.; Bernot, K.; Ledoux, J.; le Pollès, L.; Roiland, C. Coordination polymers based on heterohexanuclear rare Earth complexes: Toward independent luminescence brightness and color tuning. Inorg. Chem. 2013, 52, 6720–6730. [Google Scholar] [CrossRef] [PubMed]
- Fan, X.; Freslon, S.; Daiguebonne, C.; Calvez, G.; le Pollés, L.; Bernot, K.; Guillou, O. Heteronuclear lanthanide-based coordination polymers exhibiting tunable multiple emission spectra. J. Mater. Chem. C 2014, 2, 5510–5525. [Google Scholar] [CrossRef]
- Werts, M.H.V. Making sense of lanthanide luminescence. Sci. Prog. 2005, 88, 101–131. [Google Scholar] [CrossRef]
- Marling, J. 1.05–1.44 μm tunability and performance ofthe CW Nd3+: YAG laser. IEEE J. Sel. Top. Quantum Electron. 1978, 14, 56–62. [Google Scholar] [CrossRef]
- Polman, A.; van Veggel, F.C.J.M. Veggel. Broadband sensitisers for erbium-doped planar optical amplifiers: Review. J. Opt. Soc. Am. B 2004, 21, 871–892. [Google Scholar] [CrossRef]
- D’Andrade, B.W.; Forrest, S.R. White organic light-emitting devices for solid-state lighting. Adv. Mater. 2004, 16, 1585–1595. [Google Scholar] [CrossRef]
- Su, H.C.; Chen, H.F.; Fang, F.C.; Liu, C.C.; Wu, C.C.; Wong, K.T.; Liu, Y.H.; Peng, S.M. Solid-state white light-emitting electrochemical cells using iridium-based cationic Transition metal complexes. J. Am. Chem. Soc. 2008, 130, 3413–3419. [Google Scholar] [CrossRef] [PubMed]
- Niu, Y.H.; Liu, M.S.; Ka, J.W.; Bardeker, J.; Zin, M.T.; Schofield, R.; Chi, Y.; Jen, A.K.Y. Crosslinkable hole-transport layer on conducting polymer for high-efficiency white polymer light-emitting diodes. Adv. Mater. 2007, 19, 300–304. [Google Scholar] [CrossRef]
- Bünzli, J.-C.G.; Piguet, C. Taking advantage of luminescent lanthanide ions. Chem. Soc. Rev. 2005, 34, 1048–1077. [Google Scholar] [CrossRef] [PubMed]
- Brites, C.D.S.; Lima, P.P.; Silva, N.J.O.; Millán, A.; Amaral, V.S.; Palacio, F.; Carlos, L.D. Lanthanide-based luminescent molecular thermometers. New J. Chem. 2011, 35, 1177–1183. [Google Scholar] [CrossRef]
- Ananias, D.; Brites, C.D.S.; Carlos, L.D.; Rocha, J. Cryogenic nanothermometer based on the MIL-103 (Tb,Eu) metal-organic framework. Eur. J. Inorg. Chem. 2016, 13–14, 1967–1971. [Google Scholar] [CrossRef]
- Hu, Z.; Deibert, B.J.; Li, J. Luminescent metal-organic frameworks for chemical sensing and explosive detection. Chem. Soc. Rev. 2014, 43, 5815–5840. [Google Scholar] [CrossRef]
- Bernini, M.C.; Gomez, G.E.; Brusau, E.V.; Narda, E.G. Reviewing rare earth succinate frameworks from the reticular chemistry point of view: Structures, nets, catalytic and photoluminescence applications. Israel J. Chem. 2018, 58, 1044–1061. [Google Scholar] [CrossRef]
- Gomez, G.E.; Bernini, M.C.; Brusau, E.V.; Narda, G.E.; Massad, W.A.; Labrador, A. two sets of metal organic frameworks along the lanthanide series constructed by 2,3-dimethylsuccinate: Structures, topologies, and strong emission without ligand sensitization. Cryst. Growth Des. 2013, 13, 5249–5260. [Google Scholar] [CrossRef]
- Lin, Z.-J.; Lü, J.; Hong, M.; Cao, R. Metal–organic frameworks based on flexible ligands (FL–MOFs): Structures and applications. Chem. Soc. Rev. 2014, 43, 5867–5895. [Google Scholar] [CrossRef]
- Chen, B.; Wang, L.; Zapata, F.; Qian, G.; Lobkovsky, E.B.A. luminescent microporous metal-organic framework for the recognition and sensing of anions. J. Am. Chem. Soc. 2008, 130, 6718–6719. [Google Scholar] [CrossRef]
- Chen, B.; Yang, Y.; Zapata, F.; Lin, G.; Qian, G.; Lobkovsky, E.B. Luminescent open metal sites within a metal–organic framework for sensing small molecules. Adv. Mater. 2007, 19, 1693–1696. [Google Scholar] [CrossRef]
- Guo, X.; Zhu, G.; Fang, Q.; Xue, M.; Tian, G.; Sun, J.; Li, X.; Qiu, S. Synthesis, structure and luminescent properties of rare earth coordination polymers constructed from paddle-wheel building blocks. Inorg. Chem. 2005, 44, 3850–3855. [Google Scholar] [CrossRef]
- Chen, T.; Huo, P.; Hou, J.-L.; Xu, Q.-Z.; Dai, J. Confinement effects of metal-organic framework on the formation of charge-transfer tetrathiafulvalene dimers. Inorg. Chem. 2016, 55, 12758–12765. [Google Scholar] [CrossRef]
- Gomez, G.E.; Brusau, E.V.; Kaczmarek, A.M.; Mellot-Draznieks, C.; Sacanell, J.; Rousse, G.; van Deun, R.; Sanchez, C.; Narda, G.E.; Illia, G.J.A.A.S. Flexible ligand-based lanthanide three-dimensional metal–organic frameworks with tunable solid-state photoluminescence and oh-solvent-sensing properties. Eur. J. Inorg. Chem. 2017, 2017, 2321–2331. [Google Scholar] [CrossRef]
- Gomez, G.E.; Kaczmarek, A.M.; van Deun, R.; Brusau, E.V.; Narda, G.E.; Vega, D.; Iglesias, M.; Gutierrez-Puebla, E.; Monge, M.A. Photoluminescence, unconventional-range temperature sensing, and efficient catalytic activities of lanthanide metal–organic frameworks. Eur. J. Inorg. Chem. 2016, 2016, 1577–1588. [Google Scholar] [CrossRef]
- D’Vries, R.F.; Gomez, G.E.; Lionello, D.F.; Fuertes, M.C.; Soler-Illia, G.J.A.A.; Ellena, J. Luminescence chemical sensing and mechanical properties of crystalline materials based on lanthanide–sulfonate coordination polymers. RSC Adv. 2016, 6, 110171–110181. [Google Scholar] [CrossRef]
- Godoy, A.A.; Gomez, G.E.; Kaczmarek, A.M.; van Deun, R.; Furlong, O.J.; Gándara, F.; Monge, M.A.; Bernini, M.C.; Narda, G.E. Sensing properties, energy transfer mechanism and tuneable particle size processing of luminescent two-dimensional rare earth coordination networks. J. Mater. Chem. C 2017, 5, 12409–12421. [Google Scholar] [CrossRef]
- Lustig, W.P.; Mukherjee, S.; Rudd, N.D.; Desai, A.V.; Li, J.; Ghosh, S.K. Metal–organic frameworks: Functional luminescent and photonic materials for sensing applications. Chem. Soc. Rev. 2017, 46, 3242–3285. [Google Scholar] [CrossRef]
- Nicolopoulou-Stamati, P.; Maipas, S.; Kotampasi, C.; Stamatis, P.; Hens, L. Chemical pesticides and human health: The urgent need for a new concept in agriculture. Front. Public Health 2016, 4, 148. [Google Scholar] [CrossRef]
- Weisenburger, D.D. Human health effects of agrichemical use. Hum. Patol. 1993, 24, 571–576. [Google Scholar] [CrossRef]
- Yang, J.-S.; Swager, T.M. Fluorescent porous polymer films as TNT chemosensors: Electronic and structural effects. J. Am. Chem. Soc. 1998, 120, 11864–11873. [Google Scholar] [CrossRef]
- Toal, S.J.; Trogler, W.C. Polymer sensors for nitroaromatic explosives detection. J. Mater. Chem. 2006, 16, 2871–2883. [Google Scholar] [CrossRef]
- Sanchez, J.C.; DiPasquale, A.G.; Rheingold, A.L.; Trogler, W.C. Synthesis, luminescence properties, and explosives sensing with 1,1-tetraphenylsilole- and 1, 1-silafluorene-vinylene polymers. Chem. Mater. 2007, 19, 6459–6470. [Google Scholar] [CrossRef]
- Nagarkar, S.S.; Joarder, B.; Chaudhari, A.K.; Mukherjee, S.; Ghosh, S.K. Highly selective detection of nitro explosives by a luminescent metal–organic framework. Angew. Chem. Int. Ed. 2013, 52, 2881–2885. [Google Scholar] [CrossRef]
- Thomas, S.W.; Joly, G.D.; Swager, T.M. Chemical sensors based on amplifying fluorescent conjugated polymers. Chem. Rev. 2007, 107, 1339–1386. [Google Scholar] [CrossRef]
- Jayaramulu, K.; Narayanan, R.P.; George, S.J.; Maji, T.K. Luminescent microporous metal–organic framework with functional lewis basic sites on the pore surface: Specific sensing and removal of metal ions. Inorg. Chem. 2012, 51, 10089–10091. [Google Scholar] [CrossRef]
- Ma, J.-X.; Huang, X.-F.; Song, X.-Q.; Liu, W.-S. Assembly of Framework-Isomeric 4 d–4 f Heterometallic Metal-Organic Frameworks with Neutral/Anionic Micropores and Guest-Tuned Luminescence Properties. Chem. Eur. J. 2013, 19, 3590–3595. [Google Scholar] [CrossRef]
- Hu, Z.; Pramanik, S.; Tan, K.; Zheng, C.; Liu, W.; Zhang, X.; Chabal, Y.J.; Li, J. Selective, sensitive, and reversible detection of vapor-phase high explosives via two-dimensional mapping: A new strategy for MOF-based sensors. Cryst. Growth Des. 2013, 13, 4204–4207. [Google Scholar] [CrossRef]
- Banerjee, D.; Hu, Z.; Pramanik, S.; Zhang, X.; Wang, H.; Li, J. Vapor phase detection of nitroaromatic and nitroaliphatic explosives by fluorescence active metal–organic frameworks. CrystEngComm 2013, 15, 9745–9750. [Google Scholar] [CrossRef]
- Gomez, G.E.; Bernini, M.C.; Brusau, E.V.; Narda, G.E.; Vega, D.; Kaczmarek, A.M.; van Deun, R.; Nazarro, M. Layered exfoliable crystalline materials based on sm-, eu- and eu/gd–2-phenylsuccinate frameworks. crystal structures, topology and luminescence properties. Dalton Trans. 2015, 44, 3417–3429. [Google Scholar] [CrossRef]
- Guo, X.; Zhu, G.; Li, Z.; Sun, F.; Yang, Z.; Qiu, S. A lanthanide metal–organic framework with high thermal stability and available Lewis-acid metal sites. Chem. Commun. 2006, 3172–3174. [Google Scholar] [CrossRef]
- Case, D.A.; Betz, R.M.; Cerutti, D.S.; Cheatham, T.E., III; Darden, T.A.; Duke, R.E.; Giese, T.J.; Gohlke, H.; Goetz, A.W.; Homeyer, N.; et al. AMBER 2016 Manual, University of California, San Francisco. Available online: www.ambermd.org.
- Baaden, M.; Berny, F.; Wipff, G.; Madic, C. M3+ Lanthanide Cation Solvation by Acetonitrile: The Role of Cation Size, Counterions, and Polarization Effects Investigated by Molecular Dynamics and Quantum Mechanical Simulations. J. Phys. Chem. A 2000, 104, 7659–7671. [Google Scholar] [CrossRef]
- Troxler, L.; Baaden, M.; Böhmer, V.; Wipff, G. Complexation of M3+ lanthanide cations by calix[4]arene-CMPO ligands: A molecular dynamics study in methanol solution and at a water/chloroform interface. Supramol. Chem. 2000, 12, 27–51. [Google Scholar] [CrossRef]
- Baaden, M.; Burgard, M.; Boehme, C.; Wipff, G. Lanthanide cation binding to a phosphoryl-calix[4]arene: The importance of solvent and counterions investigated by molecular dynamics and quantum mechanical simulations. Phys. Chem. Chem. Phys. 2001, 3, 1317–1325. [Google Scholar] [CrossRef]
- Jakalian, A.; Bush, B.L.; Jack, D.B.; Bayly, C.I. Fast, efficient generation of high-quality atomic charges. AM1-BCC model: I. Method. J. Comput. Chem. 2000, 21, 132–146. [Google Scholar] [CrossRef]
- Jakalian, A.; Jack, D.B.; Bayly, C.I. Fast, efficient generation of high-quality atomic charges. AM1-BCC model: II. Parameterization and validation. J. Comput. Chem. 2002, 23, 1623–1641. [Google Scholar]
- McCourt, J.A.; Pang, S.S.; Guddat, L.W.; Duggleby, R.G. Elucidating the Specificity of Binding of Sulfonylurea Herbicides to Acetohydroxyacid Synthase. Biochemistry 2005, 44, 2330–2338. [Google Scholar] [CrossRef]
- Cheon, S.; Shin, Y.W.; Park, K.M.; Kim, J.; Kim, T.H. Imaza-lil: 1-[2-(2,4-dichloro-phen-yl)-2-(prop-2-en-yloxy)eth-yl]-1H-imidazole. Acta Cryst. E 2011, 67, 01459. [Google Scholar] [CrossRef]
- Lu, C.; Li, F.-S.; Yu, D.-S.; Wei Yao, Y.-L. Ethyl 2-{N-[N-(4-chloro-6-methoxypyrimidin-2-yl) carbamoyl] sulfamoyl} benzoate. Acta Cryst. E 2008, 64, 01248. [Google Scholar] [CrossRef]
- Baughman, R.G.; Jorgensen, S.K.; Jacobson, R.A. Crystal and molecular structure of organophosphorus insecticides. 10. Chlorpyrifos. J. Agric. Food Chem. 1978, 26, 576–580. [Google Scholar] [CrossRef]
- Berendsen, H.J.C.; Postma, J.P.M.; van Gunsteren, W.F.; DiNola, A.; Haak, J.R. Molecular dynamics with coupling to an external bath. J. Chem. Phys. 1984, 81, 3684–3690. [Google Scholar] [CrossRef]
- Hopkins, C.W.; le Grand, S.; Walker, R.C.; Roitberg, A.E. Long-time-step molecular dynamics through hydrogen mass repartitioning. J. Chem. Theory Comput. 2015, 11, 1864–1874. [Google Scholar] [CrossRef]
- Darden, T.; York, D.; Pedersen, L.J. Particle mesh Ewald: An N - log(N) method for Ewald sums in large systems. Chem. Phys. 1993, 98, 10089–10092. [Google Scholar] [CrossRef]
- Wu, P.; Wang, J.; Li, Y.; He, C.; Xie, Z.; Duan, C. Luminescent Sensing and Catalytic Performances of a Multifunctional Lanthanide-Organic Framework Comprising a Triphenylamine Moiety. Adv. Funct. Mater. 2011, 21, 2788–2794. [Google Scholar] [CrossRef]















© 2019 by the authors. Licensee MDPI, Basel, Switzerland. This article is an open access article distributed under the terms and conditions of the Creative Commons Attribution (CC BY) license (http://creativecommons.org/licenses/by/4.0/).
Share and Cite
Gomez, G.E.; dos Santos Afonso, M.; Baldoni, H.A.; Roncaroli, F.; Soler-Illia, G.J.A.A. Luminescent Lanthanide Metal Organic Frameworks as Chemosensing Platforms towards Agrochemicals and Cations. Sensors 2019, 19, 1260. https://doi.org/10.3390/s19051260
Gomez GE, dos Santos Afonso M, Baldoni HA, Roncaroli F, Soler-Illia GJAA. Luminescent Lanthanide Metal Organic Frameworks as Chemosensing Platforms towards Agrochemicals and Cations. Sensors. 2019; 19(5):1260. https://doi.org/10.3390/s19051260
Chicago/Turabian StyleGomez, Germán E., María dos Santos Afonso, Héctor A. Baldoni, Federico Roncaroli, and Galo J. A. A. Soler-Illia. 2019. "Luminescent Lanthanide Metal Organic Frameworks as Chemosensing Platforms towards Agrochemicals and Cations" Sensors 19, no. 5: 1260. https://doi.org/10.3390/s19051260
APA StyleGomez, G. E., dos Santos Afonso, M., Baldoni, H. A., Roncaroli, F., & Soler-Illia, G. J. A. A. (2019). Luminescent Lanthanide Metal Organic Frameworks as Chemosensing Platforms towards Agrochemicals and Cations. Sensors, 19(5), 1260. https://doi.org/10.3390/s19051260

