Monitoring of the Pesticide Droplet Deposition with a Novel Capacitance Sensor
Abstract
:1. Introduction
2. Materials and Methods
2.1. Implementation of the Droplet Deposit Sensing System
2.2. Experimental Setup and Processing
2.3. Data Analysis
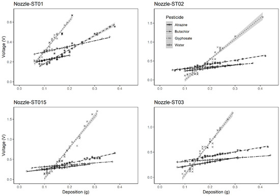
3. Results and Discussion
3.1. Measurement Impact Analysis
3.2. Statistical Modeling
4. Conclusions
Author Contributions
Funding
Acknowledgments
Conflicts of Interest
References
- National Bureau of Statistics of China. 2018. Available online: http://data.stats.gov.cn/easyquery.htm?cn=C01 (accessed on 25 December 2018).
- Zhang, C.; Shi, G.; Shen, J.; Hu, R. Productivity effect and overuse of pesticide in crop production in China. J. Integr. Agric. 2015, 14, 1903–1910. [Google Scholar] [CrossRef]
- Zhang, Y.; McCarl, B.A.; Luan, Y.; Kleinwechter, U. Climate change effects on pesticide usage reduction efforts: A case study in China. Mitig. Adapt. Strateg. Glob. Chang. 2018, 23, 685–701. [Google Scholar] [CrossRef]
- Bonny, S. Herbicide-tolerant transgenic soybean over 15 years of cultivation: Pesticide use, weed resistance, and some economic issues. The case of the USA. Sustainability 2011, 3, 1302–1322. [Google Scholar] [CrossRef]
- Myers, J.P.; Antoniou, M.N.; Blumberg, B.; Carroll, L.; Colborn, T.; Everett, L.G.; Hansen, M.; Landrigan, P.J.; Lanphear, B.P.; Mesnage, R.; et al. Concerns over use of glyphosate-based herbicides and risks associated with exposures: A consensus statement. Environ. Health 2016, 15, 19. [Google Scholar] [CrossRef] [PubMed]
- Budzinski, H.; Couderchet, M. Environmental and human health issues related to pesticides: From usage and environmental fate to impact. Environ. Sci. Pollut. Res. 2018, 25, 14277–14279. [Google Scholar] [CrossRef] [PubMed]
- Denholm, I.; Rowland, M.W. Tactics for managing pesticide resistance in arthropods: Theory and practice. Annu. Rev. Entomol. 1992, 37, 91–112. [Google Scholar] [CrossRef] [PubMed]
- Jutsum, A.R.; Heaney, S.P.; Perrin, B.M.; Wege, P.J. Pesticide resistance: Assessment of risk and the development and implementation of effective management strategies. Pest Manag. Sci. 1998, 54, 435–446. [Google Scholar] [CrossRef]
- Ferguson, J.C.; Chechetto, R.G.; O’Donnell, C.C.; Fritz, B.K.; Hoffmann, W.C.; Coleman, C.E.; Chauhan, B.S.; Adkins, S.W.; Kruger, G.R.; Hewitt, A.J. Assessing a novel smartphone application–SnapCard, compared to five imaging systems to quantify droplet deposition on artificial collectors. Comput. Electron. Agric. 2016, 128, 193–198. [Google Scholar] [CrossRef]
- Mierzejewski, K. Aerial Spray Technology: Possibilities and Limitations for Control of Pear Thrips in Towards Understanding Thysanoptera General Technical Report NE-147; USDA Forest Service: New England, USA, 1991.
- Hoffmann, W.C.; Hewitt, A.J. Comparison of three imaging systems for water sensitive papers. Appl. Eng. Agric. 2005, 21, 961–964. [Google Scholar] [CrossRef]
- Wolf, R.E. Assessing the ability of Droplet Scan to analyze spray droplets from a ground operated sprayer. Appl. Eng. Agric. 2003, 19, 525. [Google Scholar]
- Zhu, H.; Salyani, M.; Fox, R.D. A portable scanning system for evaluation of spray deposit distribution. Comput. Electron. Agric. 2011, 76, 38–43. [Google Scholar] [CrossRef]
- Rasband, W.S. Image J; US National Institutes of Health: Bethesda, MD, USA, 2014.
- Leading Edge Associates. DropVision® AG. 2015. Available online: https://www.leateam.com/product/129/1144/ (accessed on 25 December 2018).
- Hewitt, A.J. Droplet size and agricultural spraying, Part I: Atomization, spray transport, deposition, drift, and droplet size measurement techniques. At. Spray 1997, 7, 235–244. [Google Scholar] [CrossRef]
- Hewitt, A.J. Tracer and collector systems for field deposition research. Aspects Appl. Biol. 2010, 99, 283–289. [Google Scholar]
- Salyani, M.; Serdynski, J. Development of a sensor for spray deposition assessment. Trans. ASAE 1990, 33, 1464–1468. [Google Scholar] [CrossRef]
- Zhang, R.; Chen, L.; Lan, Y.; Xu, G.; Kan, J.; Zhang, D. Development of a deposit sensing system for aerial spraying application. Trans. CSAM 2014, 45, 123–127. [Google Scholar]
- Da Costa, E.F.; De Oliveira, N.E.; Morais, F.J.O.; Carvalhaes-Dias, P.; Duarte, L.F.C.; Cabot, A.; Siqueira Dias, J.A. A self-powered and autonomous fringing field capacitive sensor integrated into a micro sprinkler spinner to measure soil water content. Sensors 2017, 17, 575. [Google Scholar] [CrossRef] [PubMed]
- Lim, L.G.; Pao, W.K.; Hamid, N.H.; Tang, T.B. Design of helical capacitance sensor for holdup measurement in two-phase stratified flow: A sinusoidal function approach. Sensors 2016, 16, 1032. [Google Scholar] [CrossRef] [PubMed]
- R Development Core Team. R: A Language and Environment for Statistical Computing; R Foundation for Statistical Computing: Vienna, Austria, 2013; ISBN 3-900051-07-0. [Google Scholar]
- Föll, H. Chapter 3: Dielectrics. Available online: https://www.tf.uni-kiel.de/matwis/amat/elmat_en/kap_3/backbone/r3_3_5.html (accessed on 16 January 2019).





| No | Formulation | Ingredient | Product Amount | Solution/Water Volume (mL) |
|---|---|---|---|---|
| 1 | water | 5000 | ||
| 2 | SC | atrazine | 75 mL | 5000 |
| 3 | EC | butachlor | 50 g | 5000 |
| 4 | AS | glyphosate isopropylamine salt | 225 mL | 5000 |
© 2019 by the authors. Licensee MDPI, Basel, Switzerland. This article is an open access article distributed under the terms and conditions of the Creative Commons Attribution (CC BY) license (http://creativecommons.org/licenses/by/4.0/).
Share and Cite
Wang, P.; Yu, W.; Ou, M.; Gong, C.; Jia, W. Monitoring of the Pesticide Droplet Deposition with a Novel Capacitance Sensor. Sensors 2019, 19, 537. https://doi.org/10.3390/s19030537
Wang P, Yu W, Ou M, Gong C, Jia W. Monitoring of the Pesticide Droplet Deposition with a Novel Capacitance Sensor. Sensors. 2019; 19(3):537. https://doi.org/10.3390/s19030537
Chicago/Turabian StyleWang, Pei, Wei Yu, Mingxiong Ou, Chen Gong, and Weidong Jia. 2019. "Monitoring of the Pesticide Droplet Deposition with a Novel Capacitance Sensor" Sensors 19, no. 3: 537. https://doi.org/10.3390/s19030537
APA StyleWang, P., Yu, W., Ou, M., Gong, C., & Jia, W. (2019). Monitoring of the Pesticide Droplet Deposition with a Novel Capacitance Sensor. Sensors, 19(3), 537. https://doi.org/10.3390/s19030537

