Validation of a Novel Device for the Knee Monitoring of Orthopaedic Patients
Abstract
1. Introduction
2. Material and Methods
2.1. The Sensor System
2.2. Sensor-to-Segment Calibration
2.3. Measurement Protocol
2.4. Data Analysis
2.5. Statistics
3. Results
4. Discussion
Author Contributions
Funding
Acknowledgments
Conflicts of Interest
References
- Hirschmann, M.T.; Kort, N.; Kopf, S.; Becker, R. Fast track and outpatient surgery in total knee arthroplasty: Beneficial for patients, doctors and hospitals. Knee Surg. Sports Traumatol. Arthrosc. 2017, 25, 2657–2658. [Google Scholar] [CrossRef] [PubMed]
- Vogenberg, F.R.; Santilli, J. Healthcare trends for 2018. Am. Health Drug Benefits 2018, 11, 48–54. [Google Scholar] [PubMed]
- Farr, J., II; Miller, L.E.; Block, J.E. Quality of life in patients with knee osteoarthritis: A commentary on nonsurgical and surgical treatments. Open Orthop. J. 2013, 7, 619–623. [Google Scholar] [CrossRef] [PubMed]
- Da Silva, R.R.; Santos, A.A.; de Sampaio Carvalho, J., Jr.; Matos, M.A. Quality of life after total knee arthroplasty: Systematic review. Rev. Bras. Ortop. 2014, 49, 520–527. [Google Scholar] [CrossRef]
- Shan, L.; Shan, B.; Suzuki, A.; Nouh, F.; Saxena, A. Intermediate and long-term quality of life after total knee replacement: A systematic review and meta-analysis. J. Bone Jt. Surg. 2015, 97, 156–168. [Google Scholar] [CrossRef]
- Krause, A.; Sayeed, Z.; El-Othmani, M.; Pallekonda, V.; Mihalko, W.; Saleh, K.J. Outpatient total knee arthroplasty: Are we there yet? (part 1). Orthop. Clin. N. Am. 2018, 49, 1–6. [Google Scholar] [CrossRef]
- Bolink, S.A.; Grimm, B.; Heyligers, I.C. Patient-reported outcome measures versus inertial performance-based outcome measures: A prospective study in patients undergoing primary total knee arthroplasty. Knee 2015, 22, 618–623. [Google Scholar] [CrossRef]
- Schotanus, M.G.M.; Bemelmans, Y.F.L.; Grimm, B.; Heyligers, I.C.; Kort, N.P. Physical activity after outpatient surgery and enhanced recovery for total knee arthroplasty. Knee Surg. Sports Traumatol. Arthrosc. 2017, 25, 3366–3371. [Google Scholar] [CrossRef]
- Chughtai, M.; Kelly, J.J.; Newman, J.M.; Sultan, A.A.; Khlopas, A.; Sodhi, N.; Bhave, A.; Kolczun, M.C.; Mont, M.A. The role of virtual rehabilitation in total and unicompartmental knee arthroplasty. J. Knee Surg. 2019, 32, 105–110. [Google Scholar] [CrossRef]
- Seel, T.; Raisch, J.; Schauer, T. Imu-based joint angle measurement for gait analysis. Sensors 2014, 14, 6891–6909. [Google Scholar] [CrossRef]
- Nuesch, C.; Roos, E.; Pagenstert, G.; Mundermann, A. Measuring joint kinematics of treadmill walking and running: Comparison between an inertial sensor based system and a camera-based system. J. Biomech. 2017, 57, 32–38. [Google Scholar] [CrossRef] [PubMed]
- Taylor, W.R.; Kornaropoulos, E.I.; Duda, G.N.; Kratzenstein, S.; Ehrig, R.M.; Arampatzis, A.; Heller, M.O. Repeatability and reproducibility of OSSCA, a functional approach for assessing the kinematics of the lower limb. Gait Posture 2010, 32, 231–236. [Google Scholar] [CrossRef] [PubMed]
- Kratzenstein, S.; Kornaropoulos, E.I.; Ehrig, R.M.; Heller, M.O.; Popplau, B.M.; Taylor, W.R. Effective marker placement for functional identification of the centre of rotation at the hip. Gait Posture 2012, 36, 482–486. [Google Scholar] [CrossRef] [PubMed]
- Ehrig, R.M.; Heller, M.O.; Kratzenstein, S.; Duda, G.N.; Trepczynski, A.; Taylor, W.R. The SCoRE residual: A quality index to assess the accuracy of joint estimations. J. Biomech. 2011, 44, 1400–1404. [Google Scholar] [CrossRef] [PubMed]
- Ehrig, R.M.; Taylor, W.R.; Duda, G.N.; Heller, M.O. A survey of formal methods for determining functional joint axes. J. Biomech. 2007, 40, 2150–2157. [Google Scholar] [CrossRef] [PubMed]
- Chiang, C.Y.; Chen, K.H.; Liu, K.C.; Hsu, S.J.; Chan, C.T. Data collection and analysis using wearable sensors for monitoring knee range of motion after total knee arthroplasty. Sensors 2017, 17, 418. [Google Scholar] [CrossRef]
- Favre, J.; Aissaoui, R.; Jolles, B.M.; de Guise, J.A.; Aminian, K. Functional calibration procedure for 3D knee joint angle description using inertial sensors. J. Biomech. 2009, 42, 2330–2335. [Google Scholar] [CrossRef]
- Pap, G.; Machner, A.; Awiszus, F. Functional changes in the quadriceps femoris muscle in patients with varus gonarthrosis. Zeitschrift fur Rheumatologie 2000, 59, 380–387. [Google Scholar] [CrossRef]
- Berth, A.; Urbach, D.; Becker, R.; Awiszus, F. Gait anlysis in patients with osteoarthritis of the knee before and after total knee replacement. Zentralblatt fur Chirurgie 2002, 127, 868–872. [Google Scholar] [CrossRef]
- Sprager, S.; Juric, M.B. Inertial sensor-based gait recognition: A review. Sensors 2015, 15, 22089–22127. [Google Scholar] [CrossRef]
- Msayib, Y.; Gaydecki, P.; Callaghan, M.; Dale, N.; Ismail, S. An intelligent remote monitoring system for total knee arthroplasty patients. J. Med. Syst. 2017, 41, 90. [Google Scholar] [CrossRef] [PubMed]
- Cuesta-Vargas, A.I.; Galan-Mercant, A.; Williams, J.M. The use of inertial sensors system for human motion analysis. Phys. Ther. Rev. 2010, 15, 462–473. [Google Scholar] [CrossRef] [PubMed]
- Cooper, G.; Sheret, I.; McMillan, L.; Siliverdis, K.; Sha, N.; Hodgins, D.; Kenney, L.; Howard, D. Inertial sensor-based knee flexion/extension angle estimation. J. Biomech. 2009, 42, 2678–2685. [Google Scholar] [CrossRef] [PubMed]
- Schulze, M.; Calliess, T.; Gietzelt, M.; Wolf, K.H.; Liu, T.H.; Seehaus, F.; Bocklage, R.; Windhagen, H.; Marschollek, M. Development and clinical validation of an unobtrusive ambulatory knee function monitoring system with inertial 9dof sensors. In Proceedings of the Annual International Conference of the IEEE Engineering in Medicine and Biology Society, San Diego, CA, USA, 28 August–1 September 2012; pp. 1968–1971. [Google Scholar]
- Murase, A.; Nozaki, M.; Kobayashi, M.; Goto, H.; Yoshida, M.; Yasuma, S.; Takenaga, T.; Nagaya, Y.; Mizutani, J.; Okamoto, H.; et al. Comparison of quantitative evaluation between cutaneous and transosseous inertial sensors in anterior cruciate ligament deficient knee: A cadaveric study. J. Orthop. Sci. 2017, 22, 874–879. [Google Scholar] [CrossRef] [PubMed]
- Calliess, T.; Bocklage, R.; Karkosch, R.; Marschollek, M.; Windhagen, H.; Schulze, M. Clinical evaluation of a mobile sensor-based gait analysis method for outcome measurement after knee arthroplasty. Sensors 2014, 14, 15953–15964. [Google Scholar] [CrossRef] [PubMed]
- Chen, K.H.; Chen, P.C.; Liu, K.C.; Chan, C.T. Wearable sensor-based rehabilitation exercise assessment for knee osteoarthritis. Sensors 2015, 15, 4193–4211. [Google Scholar] [CrossRef]
- Jakob, C.; Kugler, P.; Hebenstreit, F.; Reinfelder, S.; Jensen, U.; Schuldhaus, D.; Lochmann, M.; Eskofier, B.M. Estimation of the knee flexion-extension angle during dynamic sport motions using body-worn inertial sensors. In Proceedings of the 8th International Conference on Body Area Networks, Boston, MA, USA, 30 September–2 October 2013; pp. 289–295. [Google Scholar]
- Eltoukhy, M.; Oh, J.; Kuenze, C.; Signorile, J. Improved kinect-based spatiotemporal and kinematic treadmill gait assessment. Gait Posture 2017, 51, 77–83. [Google Scholar] [CrossRef]
- Tanaka, R.; Takimoto, H.; Yamasaki, T.; Higashi, A. Validity of time series kinematical data as measured by a markerless motion capture system on a flatland for gait assessment. J. Biomech. 2018, 71, 281–285. [Google Scholar] [CrossRef]
- Horst, F.; Kramer, F.; Schafer, B.; Eekhoff, A.; Hegen, P.; Nigg, B.M.; Schollhorn, W.I. Daily changes of individual gait patterns identified by means of support vector machines. Gait Posture 2016, 49, 309–314. [Google Scholar] [CrossRef]
- Horst, F.; Eekhoff, A.; Newell, K.M.; Schollhorn, W.I. Intra-individual gait patterns across different time-scales as revealed by means of a supervised learning model using kernel-based discriminant regression. PLoS ONE 2017, 12, e0179738. [Google Scholar] [CrossRef]
- Giggins, O.M.; Sweeney, K.T.; Caulfield, B. Rehabilitation exercise assessment using inertial sensors: A cross-sectional analytical study. J. Neuroeng. Rehabil. 2014, 11, 158. [Google Scholar] [CrossRef] [PubMed]





| Activity | Correlation Coefficient between Systems (p-value) | Correlation Coefficient of Repeatability (p-value) | RMSE between Systems | RMSE of Repeatability | 
|---|---|---|---|---|
| Walking | 0.96 (0.001) | 0.95 (0.001) | 5.17° | 6.82° | 
| Discrete Parameters from Walking Data | Sensor Mean (SD) | VICON Mean (SD) | p-Value | 
|---|---|---|---|
| F1 | 56.1° (8.4°) | 53.7° (9.0°) | 0.506 | 
| E1 | 4.55° (4.28°) | 3.35° (3.23°) | 0.021 | 
| F2 | 16.5° (6.4°) | 15.7° (7.1°) | 0.150 | 
| E2 | 3.73° (3.89°) | 3.64° (2.32°) | 0.751 | 
| Re-extension | 13.2° (7.31°) | 12.1° (7.65°) | 0.059 | 
| ROM | 61.3° (3.85°) | 58.2° (4.4°) | 0.776 | 
| Discrete Parameters from Walking Data | Sensor First Recording Mean (SD) | Sensor Second Recording Mean (SD) | p-Value | 
|---|---|---|---|
| F1 | 53.80° (2.9°) | 54.6° (3.5°) | 0.122 | 
| E1 | 0.58° (3.8°) | −0.91° (3.6°) | 0.019 | 
| F2 | 14.7° (3.5) | 14.0° (4.1) | 0.235 | 
| E2 | 2.9° (2.4) | 2.1° (2.4) | 0.092 | 
| Re-extension | 12.0° (5.2) | 11.9° (5.2) | 0.939 | 
| ROM | 62.2° (3.17) | 61.6° (3.56) | 0.254 | 
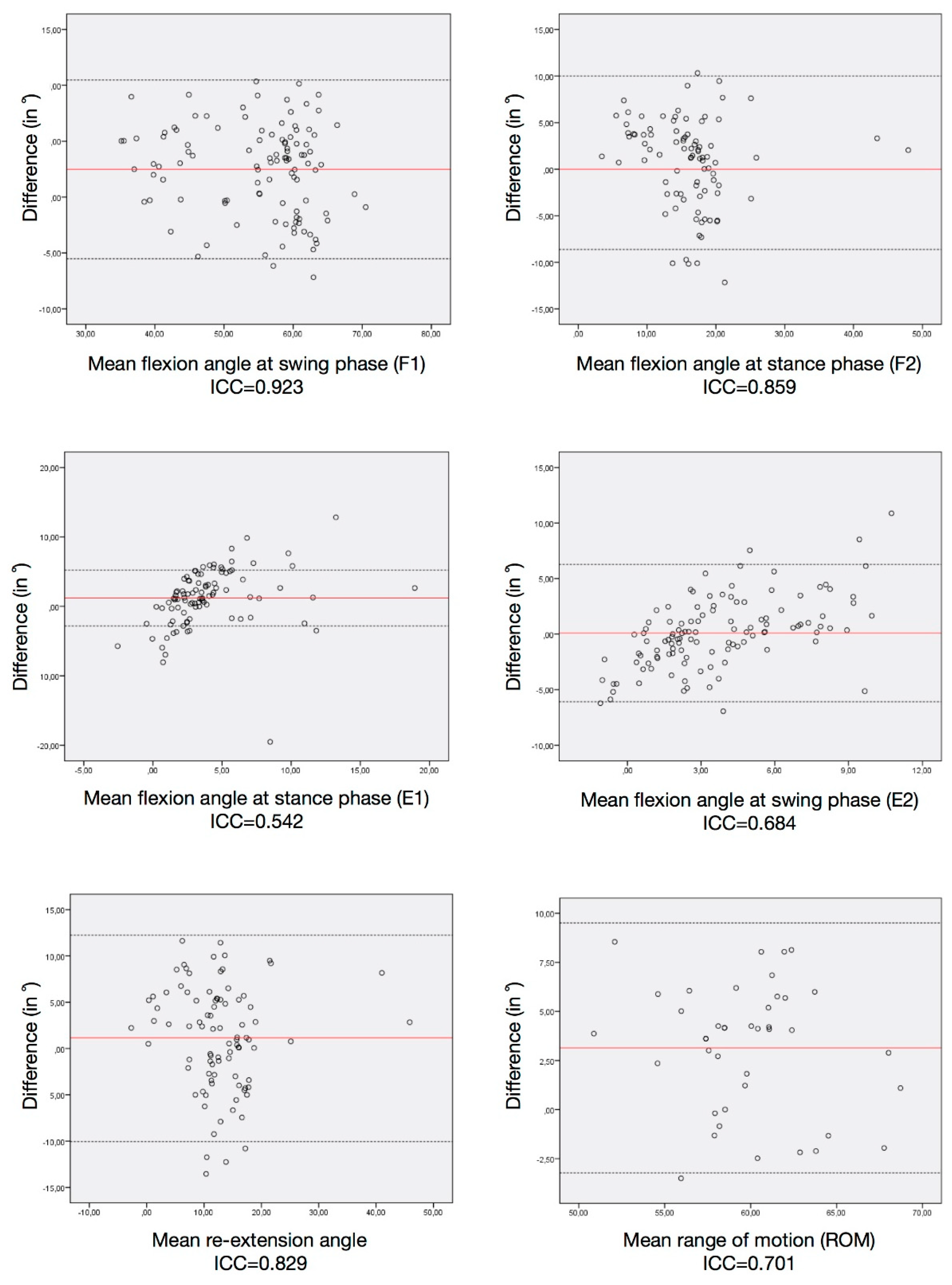
| Discrete Parameters from Walking Data | ICC | 
|---|---|
| F1 | 0.923 | 
| E1 | 0.542 | 
| F2 | 0.859 | 
| E2 | 0.684 | 
| Re-extension | 0.829 | 
| ROM | 0.701 | 
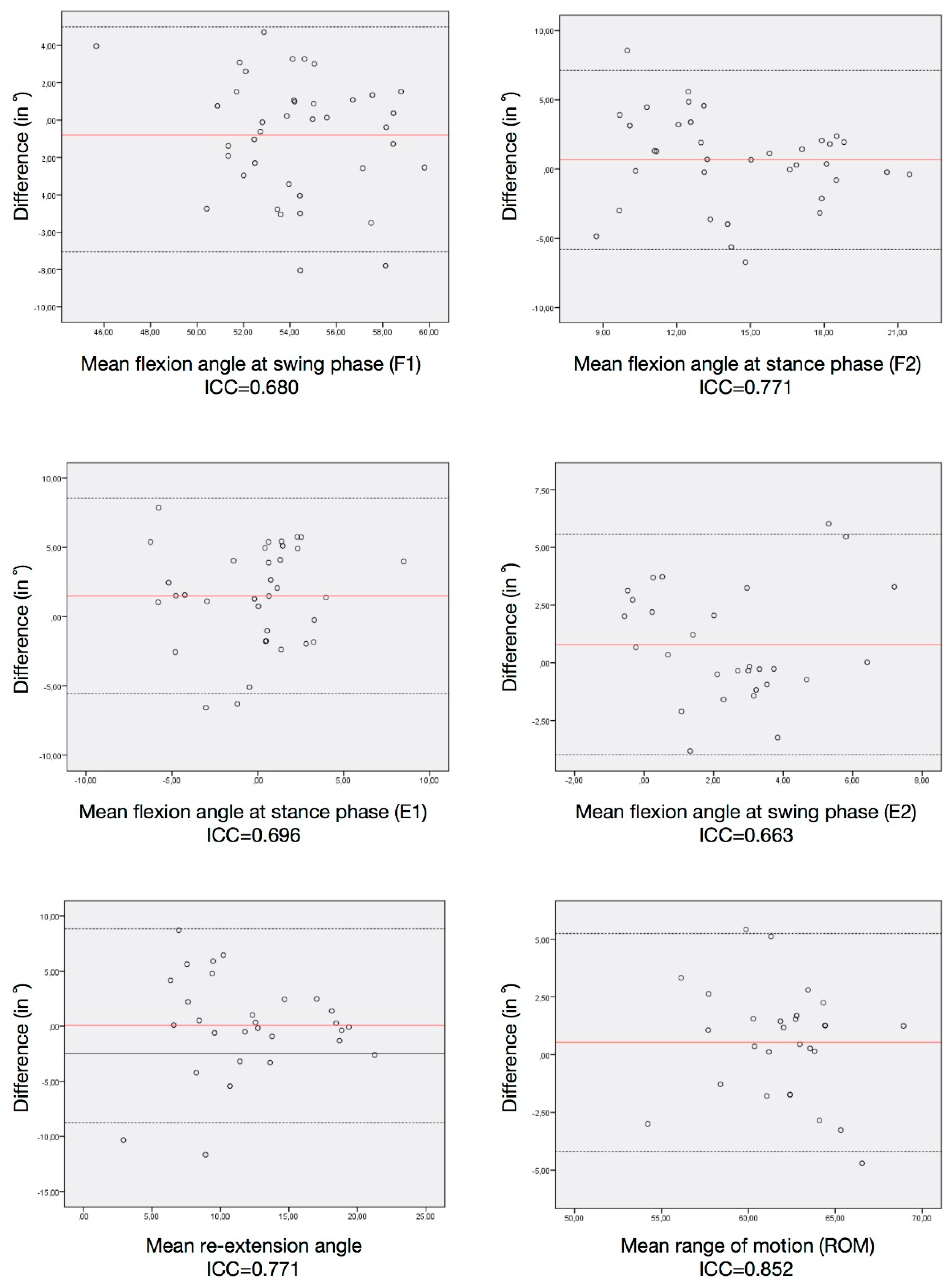
| Discrete Parameters from Walking Data | ICC | 
|---|---|
| F1 | 0.680 | 
| E1 | 0.696 | 
| F2 | 0.771 | 
| E2 | 0.663 | 
| Re-extension | 0.771 | 
| ROM | 0.852 | 
© 2019 by the authors. Licensee MDPI, Basel, Switzerland. This article is an open access article distributed under the terms and conditions of the Creative Commons Attribution (CC BY) license (http://creativecommons.org/licenses/by/4.0/).
Share and Cite
Kayaalp, M.E.; Agres, A.N.; Reichmann, J.; Bashkuev, M.; Duda, G.N.; Becker, R. Validation of a Novel Device for the Knee Monitoring of Orthopaedic Patients. Sensors 2019, 19, 5193. https://doi.org/10.3390/s19235193
Kayaalp ME, Agres AN, Reichmann J, Bashkuev M, Duda GN, Becker R. Validation of a Novel Device for the Knee Monitoring of Orthopaedic Patients. Sensors. 2019; 19(23):5193. https://doi.org/10.3390/s19235193
Chicago/Turabian StyleKayaalp, Mahmut Enes, Alison N. Agres, Jan Reichmann, Maxim Bashkuev, Georg N. Duda, and Roland Becker. 2019. "Validation of a Novel Device for the Knee Monitoring of Orthopaedic Patients" Sensors 19, no. 23: 5193. https://doi.org/10.3390/s19235193
APA StyleKayaalp, M. E., Agres, A. N., Reichmann, J., Bashkuev, M., Duda, G. N., & Becker, R. (2019). Validation of a Novel Device for the Knee Monitoring of Orthopaedic Patients. Sensors, 19(23), 5193. https://doi.org/10.3390/s19235193
 
        

 
       