Yoga Posture Recognition and Quantitative Evaluation with Wearable Sensors Based on Two-Stage Classifier and Prior Bayesian Network
Abstract
:1. Introduction
2. Yoga Posture Database Capture
2.1. System Introduction
2.2. Wearable Device
2.3. Posture and Subjects
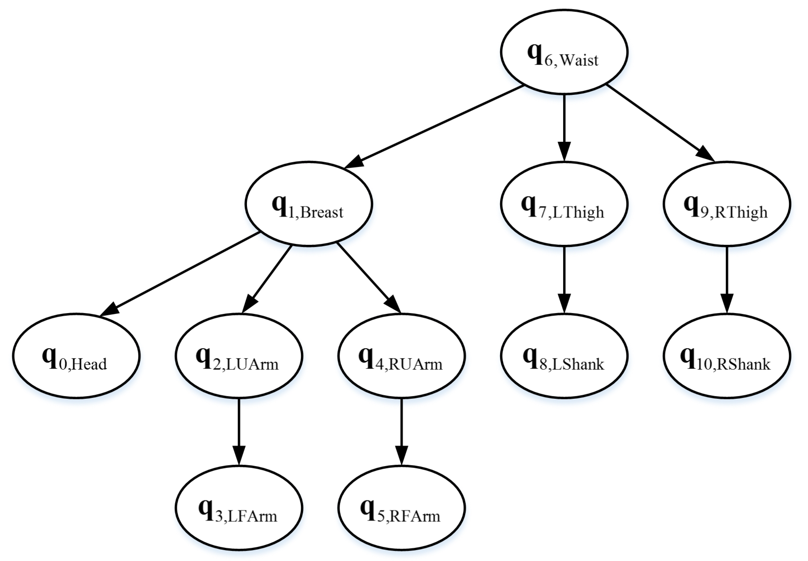
3. Posture Modeling and Recognition
3.1. Posture Modeling
3.2. Posture Recognition
| Algorithm 1: Pseudocode of recognition method |
![]() |
4. Posture Evaluation
5. Results and Discussion
5.1. Posture Recognition Results
5.2. Posture Evaluation Results
5.3. Posture Recognition Robustness Evaluation
5.4. The Comparison of Posture Membership and Evaluation Probability
5.5. Comparison between the Proposed Method and Other Methods in the Literature
6. Conclusions
Author Contributions
Funding
Acknowledgments
Conflicts of Interest
References
- Moeslund, T.B.; Granum, E. A survey of computer vision-based human motion capture. Comput. Vis. Image Underst. 2001, 81, 231–268. [Google Scholar] [CrossRef]
- Islam, M.U.; Mahmud, H.; Ashraf, F.B.; Hossain, I.; Hasan, M.K. Yoga posture recognition by detecting human joint points in real time using Microsoft Kinect. In Proceedings of the 2017 IEEE Region 10 Humanitarian Technology Conference (R10-HTC), Dhaka, Bangladesh, 21–23 December 2017; pp. 668–673. [Google Scholar]
- Nam, Y.Y.; Choi, Y.J.; Cho, W.D. Human activity recognition using an image sensor and a 3-axis accelerometer sensor. J. Internet Comput. Serv. 2010, 11, 129–141. [Google Scholar]
- Min, W.; Cui, H.; Han, Q.; Zou, F. A Scene Recognition and Semantic Analysis Approach to Unhealthy Sitting Posture Detection during Screen-Reading. Sensors 2018, 18, 3119. [Google Scholar] [CrossRef] [PubMed]
- Jiang, S.; Lv, B.; Guo, W.; Zhang, C.; Wang, H.; Sheng, X.; Shull, P.B. Feasibility of Wrist-Worn, Real-Time Hand, and Surface Gesture Recognition via sEMG and IMU Sensing. IEEE Trans. Ind. Inform. 2018, 14, 3376–3385. [Google Scholar] [CrossRef]
- Benatti, S.; Casamassima, F.; Milosevic, B.; Farella, E.; Schönle, P.; Fateh, S.; Burger, T.; Huang, Q.; Benini, L. A versatile embedded platform for EMG acquisition and gesture recognition. IEEE Trans. Biomed. Circuits Syst. 2015, 9, 620–630. [Google Scholar] [CrossRef] [PubMed]
- Edgerton, V.R.; Wolf, S.L.; Levendowski, D.J.; Jennrich, R.I.; Roy, R.R. EMG activity in neck and back muscles during selected static postures in adult males and females. Physiother. Theory Pract. 1997, 13, 179–195. [Google Scholar] [CrossRef]
- Zhang, Z.; Yang, K.; Qian, J.; Zhang, L. Real-Time Surface EMG Pattern Recognition for Hand Gestures Based on an Artificial Neural Network. Sensors 2019, 19, 3170. [Google Scholar] [CrossRef] [PubMed]
- Huang, X.; Wang, F.; Zhang, J.; Hu, Z.; Jin, J. A Posture Recognition Method Based on Indoor Positioning Technology. Sensors 2019, 19, 1464. [Google Scholar] [CrossRef] [PubMed]
- Choi, J.H.; Yang, Y.S.; Ru, M.H. Bicycle Riding-State Recognition Using 3-Axis Accelerometer. J. Inst. Electron. Eng. Korea SC 2011, 48, 63–70. [Google Scholar]
- Wu, Y.; Wu, Z.; Fu, C. Continuous Arm Gesture Recognition Based on Natural Features and Logistic Regression. IEEE Sens. J. 2018, 18, 8143–8153. [Google Scholar] [CrossRef]
- Wang, Z.; Wang, J.; Zhao, H.; Qiu, S.; Li, J.; Gao, F.; Shi, X. Using wearable sensors to capture posture of the human lumbar spine in competitive swimming. IEEE Trans. Hum.-Mach. Syst. 2019, 49, 194–205. [Google Scholar] [CrossRef]
- Kim, S.; Lee, S.; Han, J. StretchArms: Promoting stretching exercise with a smartwatch. Int. J. Hum.–Comput. Interact. 2018, 34, 218–225. [Google Scholar] [CrossRef]
- Kim, M.; Cho, J.; Lee, S.; Jung, Y. IMU Sensor-Based Hand Gesture Recognition for Human-Machine Interfaces. Sensors 2019, 19, 3827. [Google Scholar] [CrossRef] [PubMed]
- Yamato, J.; Ohya, J.; Ishii, K. Recognizing human action in time-sequential images using hidden markov model. In Proceedings of the 1992 IEEE Computer Society Conference on Computer Vision and Pattern Recognition, Champaign, IL, USA, 15–18 June 1992; pp. 379–385. [Google Scholar]
- Oh, C.M.; Islam, M.Z.; Park, J.W.; Lee, C.W. A gesture recognition interface with upper body model-based pose tracking. In Proceedings of the 2010 2nd International Conference on Computer Engineering and Technology, Chengdu, China, 16–18 April 2010; Volume 7, pp. V7-531–V7-534. [Google Scholar]
- Mo, H.C.; Leou, J.J.; Lin, C.S. Human Behavior Analysis Using Multiple 2D Features and Multicategory Support Vector Machine. In Proceedings of the 2009 IAPR Conference on Machine Vision Applications, Yokohama, Japan, 20–22 May 2009; pp. 46–49. [Google Scholar]
- Zhao, H.; Liu, Z.; Zhang, H. Recognizing human activities using non-linear SVM decision tree. In International Conference on Intelligent Computing and Information Science; Springer: Berlin/Heidelberg, Germany, 2011; pp. 82–92. [Google Scholar]
- Park, J.W.; Lee, Y.C.; Jo, B.S.; Lee, C.W. Virtual playing ground interface using upper-body gesture recognition. In Proceedings of the 2011 17th Korea-Japan Joint Workshop on Frontiers of Computer Vision (FCV), Ulsan, Korea, 9–11 February 2011; pp. 1–5. [Google Scholar]
- Kang, M.S.; Kang, H.W.; Lee, C.; Moon, K. The gesture recognition technology based on IMU sensor for personal active spinning. In Proceedings of the 2018 20th International Conference on Advanced Communication Technology (ICACT), Chuncheon-si, Korea, 11–14 February 2018; pp. 546–552. [Google Scholar]
- Saha, S.; Datta, S.; Konar, A.; Janarthanan, R. A study on emotion recognition from body gestures using Kinect sensor. In Proceedings of the 2014 International Conference on Communication and Signal Processing, Melmaruvathur, India, 3–5 April 2014; pp. 056–060. [Google Scholar]
- Chen, H.T.; He, Y.Z.; Chou, C.L.; Lee, S.Y.; Lin, B.S.P.; Yu, J.Y. Computer-assisted self-training system for sports exercise using kinects. In Proceedings of the 2013 IEEE International Conference on Multimedia and Expo Workshops (ICMEW), San Jose, CA, USA, 15–19 July 2013; pp. 1–4. [Google Scholar]
- Wu, Y.; Chen, K.; Fu, C. Natural gesture modeling and recognition approach based on joint movements and arm orientations. IEEE Sens. J. 2016, 16, 7753–7761. [Google Scholar] [CrossRef]
- Hachaj, T.; Ogiela, M.R. Rule-based approach to recognizing human body poses and gestures in real time. Multimed. Syst. 2014, 20, 81–99. [Google Scholar] [CrossRef]
- Jablonski, B. Quaternion dynamic time warping. IEEE Trans. Signal Process. 2012, 60, 1174–1183. [Google Scholar] [CrossRef]
- Yadav, S.K.; Singh, A.; Gupta, A.; Raheja, J.L. Real-time Yoga recognition using deep learning. Neural Comput. Appl. 2019, 31, 9349–9361. [Google Scholar] [CrossRef]
- Chen, H.T.; He, Y.Z.; Hsu, C.C.; Chou, C.L.; Lee, S.Y.; Lin, B.S.P. Yoga posture recognition for self-training. In International Conference on Multimedia Modeling; Springer: Cham, Switzerland, 2014; pp. 496–505. [Google Scholar]
- Trejo, E.W.; Yuan, P. Recognition of Yoga poses through an interactive system with Kinect device. In Proceedings of the 2018 2nd International Conference on Robotics and Automation Sciences (ICRAS), Wuhan, China, 23–25 June 2018; pp. 1–5. [Google Scholar]
- Qiao, S.; Wang, Y.; Li, J. Real-time human gesture grading based on OpenPose. In Proceedings of the 2017 10th International Congress on Image and Signal Processing, BioMedical Engineering and Informatics (CISP-BMEI), Shanghai, China, 14–16 October 2017; pp. 1–6. [Google Scholar]
- Chen, H.T.; He, Y.Z.; Hsu, C.C. Computer-assisted yoga training system. Multimed. Tools Appl. 2018, 77, 23969–23991. [Google Scholar] [CrossRef]
- Luo, Z.; Yang, W.; Ding, Z.Q.; Liu, L.; Chen, I.M.; Yeo, S.H.; Ling, K.V.; Duh, H.B.L. “Left Arm Up!” Interactive Yoga Training in Virtual Environment. In Proceedings of the 2011 IEEE Virtual Reality Conference, Singapore, 19–23 March 2011; pp. 261–262. [Google Scholar]







| Posture Index | Correctly Recognized Data Frames | Total Frames | Accuracy (%) |
|---|---|---|---|
| 1 | 9351 | 9384 | 99.65 |
| 2 | 8729 | 9192 | 94.96 |
| 3 | 8805 | 9459 | 93.09 |
| 4 | 6278 | 8746 | 71.78 |
| 5 | 8792 | 8792 | 100.00 |
| 6 | 7414 | 9131 | 81.20 |
| 7 | 8654 | 8663 | 99.90 |
| 8 | 9386 | 9499 | 98.81 |
| 9 | 8630 | 8630 | 100.00 |
| 10 | 6937 | 8596 | 80.70 |
| 11 | 6171 | 8252 | 74.78 |
| 12 | 8183 | 8772 | 93.29 |
| 13 | 6260 | 8581 | 72.95 |
| 14 | 6043 | 8563 | 70.57 |
| 15 | 9202 | 9202 | 100.00 |
| 16 | 9021 | 9021 | 100.00 |
| 17 | 8788 | 8788 | 100.00 |
| 18 | 6097 | 8505 | 71.69 |
| Total | 142,741 | 159,776 | 89.34 |
| Posture Index | Correctly Recognized Posture Instances | Total Instances | Accuracy (%) |
|---|---|---|---|
| 1 | 76 | 77 | 98.70 |
| 2 | 72 | 77 | 93.51 |
| 3 | 67 | 77 | 87.01 |
| 4 | 56 | 63 | 88.89 |
| 5 | 77 | 77 | 100.00 |
| 6 | 60 | 77 | 77.92 |
| 7 | 77 | 77 | 100.00 |
| 8 | 75 | 77 | 97.40 |
| 9 | 77 | 77 | 100.00 |
| 10 | 63 | 63 | 100.00 |
| 11 | 55 | 59 | 93.22 |
| 12 | 71 | 77 | 92.21 |
| 13 | 54 | 60 | 90.00 |
| 14 | 55 | 56 | 98.21 |
| 15 | 77 | 77 | 100.00 |
| 16 | 77 | 77 | 100.00 |
| 17 | 77 | 77 | 100.00 |
| 18 | 56 | 56 | 100.00 |
| Total | 1222 | 1281 | 95.39 |
| Subjects | Angles between Breast and LThigh (rad) | Angles between Waist and LThigh (rad) | ||||
|---|---|---|---|---|---|---|
| Mean | Standard Deviation | Range | Mean | Standard Deviation | Range | |
| 1 | 0.460 | 0.043 | 0.202 | 2.091 | 0.074 | 0.326 |
| 2 | 0.585 | 0.059 | 0.259 | 2.119 | 0.049 | 0.286 |
| 3 | 0.509 | 0.070 | 0.262 | 2.396 | 0.053 | 0.184 |
| 4 | 0.568 | 0.039 | 0.190 | 1.705 | 0.482 | 1.224 |
| 5 | 0.271 | 0.054 | 0.225 | 2.025 | 0.065 | 0.268 |
| 6 | 0.089 | 0.039 | 0.190 | 1.660 | 0.107 | 0.431 |
| 7 | 0.730 | 0.064 | 0.222 | 2.306 | 0.101 | 0.332 |
| 8 | 0.516 | 0.033 | 0.137 | 2.068 | 0.038 | 0.157 |
| 9 | 0.594 | 0.078 | 0.404 | 1.990 | 0.120 | 0.524 |
| 10 | 0.394 | 0.063 | 0.268 | 2.092 | 0.115 | 0.419 |
| 11 | 0.946 | 0.109 | 0.365 | 2.737 | 0.110 | 0.389 |
| Range of all subjects | 0.857 | - | - | 1.077 | - | - |
| Subjects | Mean Membership Value | Mean Evaluation Probability of LThigh Relative to Waist |
|---|---|---|
| 1 | 0.195 | 0.369 |
| 2 * | 0.465 * | 0.818 * |
| 5 * | 0.532 * | 0.700 * |
| 7 | 0.199 | 0.472 |
| 8 | 0.197 | 0.414 |
| 9 | 0.202 | 0.434 |
| 10 | 0.190 | 0.382 |
| 11 | 0.172 | 0.339 |
| Method | Sensors | Wearable Experience | Yoga Posture Number | Posture Type | Posture Instances/Frames | Posture Recognition Accuracy | Posture Evaluation and Guidance | Posture Evaluation Precision |
|---|---|---|---|---|---|---|---|---|
| Deep learning [26] | a RGB webcam | comfort | 6 | without body folding | 929 instances | 98.92% | - | - |
| Star skeleton [27] | a Kinect | comfort | 12 | without body folding | 300 instances | 99.33% | - | - |
| YogaST [22] | two Kinects | comfort | 3 | without body folding | 27,735 frames | 82.84% | - | - |
| Adaboost algorithm [28] | a depth sensor- based camera | comfort | 6 | without body folding | 5685 frames | 94.78% | - | - |
| OpenPose [29] | a RGB camera | comfort | 6 | without body folding | - | - | - | - |
| Template star skeleton [30] | two cameras | comfort | 12 | without body folding | 29,260 frames | 94.30% | visual feedback | less precise |
| Motion replication [31] | 16 IMUs and 6 tactors | less comfort | - | - | - | - | visual and haptic feedback | precise |
| The proposed method | 11 IMUs | less comfort | 18 | including body folding | 1281 instances /159,776 frames | 95.39% | voice feedback | precise |
© 2019 by the authors. Licensee MDPI, Basel, Switzerland. This article is an open access article distributed under the terms and conditions of the Creative Commons Attribution (CC BY) license (http://creativecommons.org/licenses/by/4.0/).
Share and Cite
Wu, Z.; Zhang, J.; Chen, K.; Fu, C. Yoga Posture Recognition and Quantitative Evaluation with Wearable Sensors Based on Two-Stage Classifier and Prior Bayesian Network. Sensors 2019, 19, 5129. https://doi.org/10.3390/s19235129
Wu Z, Zhang J, Chen K, Fu C. Yoga Posture Recognition and Quantitative Evaluation with Wearable Sensors Based on Two-Stage Classifier and Prior Bayesian Network. Sensors. 2019; 19(23):5129. https://doi.org/10.3390/s19235129
Chicago/Turabian StyleWu, Ze, Jiwen Zhang, Ken Chen, and Chenglong Fu. 2019. "Yoga Posture Recognition and Quantitative Evaluation with Wearable Sensors Based on Two-Stage Classifier and Prior Bayesian Network" Sensors 19, no. 23: 5129. https://doi.org/10.3390/s19235129
APA StyleWu, Z., Zhang, J., Chen, K., & Fu, C. (2019). Yoga Posture Recognition and Quantitative Evaluation with Wearable Sensors Based on Two-Stage Classifier and Prior Bayesian Network. Sensors, 19(23), 5129. https://doi.org/10.3390/s19235129


