A Sensor Platform for Athletes’ Training Supervision: A Proof of Concept Study
Abstract
:1. Introduction
2. Materials and Methods
3. Results
3.1. PCA Analysis
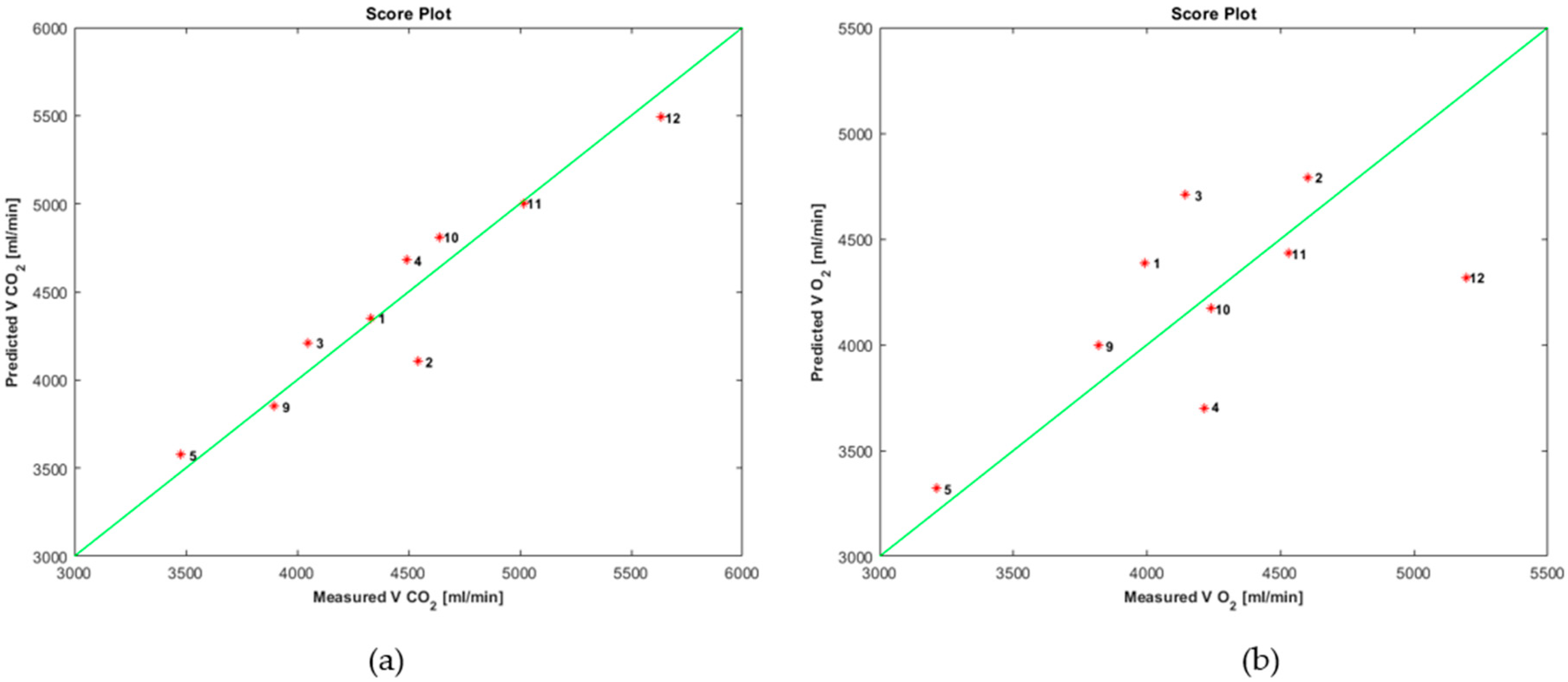
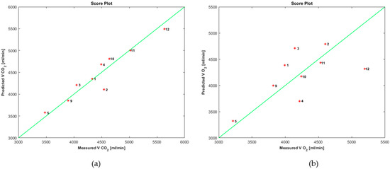
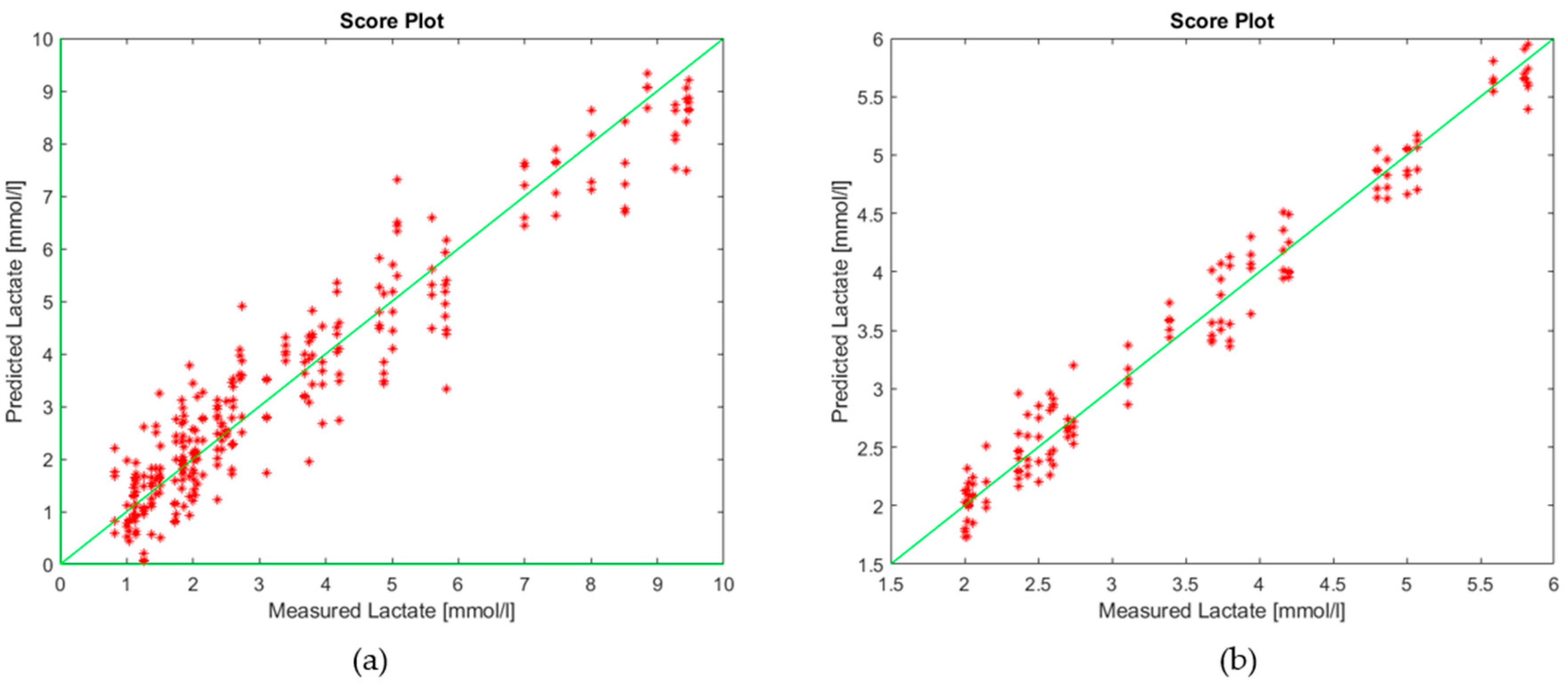
3.2. PLS-DA Analysis
4. Discussion
5. Conclusions
Author Contributions
Funding
Conflicts of Interest
References
- Dragonieri, S.; Pennazza, G.; Carratu, P.; Resta, O. Electronic Nose Technology in Respiratory Diseases. Lung 2017, 195, 157–165. [Google Scholar] [CrossRef] [PubMed]
- Loutfi, A.; Coradeschi, S.; Mani, G.K.; Shankar, P.; Rayappan, J.B.B. Electronic noses for food quality: A review. J. Food Eng. 2015, 144, 103–111. [Google Scholar] [CrossRef]
- Zampolli, S.; Elmi, I.; Ahmed, F.; Passini, M.; Cardinali, G.C.; Nicoletti, S.; Dori, L. An electronic nose based on solid state sensor arrays for low-cost indoor air quality monitoring applications. Sens. Actuators B Chem. 2004, 101, 39–46. [Google Scholar] [CrossRef]
- Santonico, M.; Grasso, S.; Genova, F.; Zompanti, A.; Parente, F.; Pennazza, G. Unmasking of olive oil adulteration via a multi-sensor platform. Sensors 2015, 15, 21660–21672. [Google Scholar] [CrossRef] [PubMed]
- Gutiérrez, J.M.; Moreno-Barón, L.; Pividori, M.I.; Alegret, S.; del Valle, M. A voltammetric electronic tongue made of modified epoxy-graphite electrodes for the qualitative analysis of wine. Microchim Acta 2010, 169, 261–268. [Google Scholar] [CrossRef]
- Santonico, M.; Parente, F.R.; Grasso, S.; Zompanti, A.; Ferri, G.; D’Amico, A.; Pennazza, G. Investigating a single sensor ability in the characterisation of drinkable water: a pilot study. Water Environ. J. 2016, 30, 253–260. [Google Scholar] [CrossRef]
- Grasso, S.; Santonico, M.; Bisogno, T.; Pennazza, G.; Zompanti, A.; Sabatini, A.; Maccarrone, M. An Innovative Liquid Biosensor for the Detection of Lipid Molecules Involved in Diseases of the Nervous System. Proceedings 2018, 2, 760. [Google Scholar] [CrossRef]
- Chen, K.Y.; Janz, K.F.; Zhu, W.; Brychta, R.J. Re-defining the roles of sensors in objective physical activity monitoring. Med. Sci. Sports Exercise 2012, 44, S13–S23. [Google Scholar] [CrossRef] [PubMed]
- Heck, H.; Mader, A.; Hess, G.; Mücke, S.; Müller, R.; Hollmann, W. Justification of the 4-mmol/L lactate threshold. Int. J. Sports Med. 1985, 6, 117–130. [Google Scholar] [CrossRef] [PubMed]
- Achten, J.; Jeukendrup, A.E. Heart rate monitoring. Sports Med. 2003, 33, 517–538. [Google Scholar] [CrossRef] [PubMed]
- Nicolò, A.; Marcora, S.M.; Sacchetti, M. Respiratory frequency is strongly associated with perceived exertion during time trials of different duration. J. Sports Sci. 2016, 34, 1199–1206. [Google Scholar] [CrossRef] [PubMed]
- Bonaventura, J.M.; Sharpe, K.; Knight, E.; Fuller, K.L.; Tanner, R.K.; Gore, C.J. Reliability and accuracy of six hand-held blood lactate analysers. J. Sports Sci. Med. 2015, 14, 203–214. [Google Scholar] [PubMed]
- Santonico, M.; Pennazza, G.; Grasso, S.; D’Amico, A.; Bizzarri, M. Design and test of a biosensor-based multisensorial system: a proof of concept study. Sensors 2013, 13, 16625–16640. [Google Scholar] [CrossRef]
- Tenax GR. Available online: https://www.sigmaaldrich.com/catalog/product/supelco/28272u (accessed on 11 September 2019).
- Pennazza, G.; Santonico, M.; D’Amico, A.; Incalzi, R.A.; Petriaggi, M. Pneumopipe—Auxiliary Device for Collection and Sampling of Exhaled Air. European Patent No. 12425057.2, 25 September 2013. [Google Scholar]
- Pennazza, G.; Santonico, M.; Incalzi, R.A.; Scarlata, S.; Chiurco, D.; Vernile, C.; D’Amico, A. Measure chain for exhaled breath collection and analysis: A novel approach suitable for frail respiratory patients. Sens. Actuators B Chem. 2014, 204, 578–587. [Google Scholar] [CrossRef]
- Pennazza, G.; Santonico, M.; Zompanti, A.; Grasso, S.; D’Amico, A. Electronic Interface for a Gas Sensor System Based on 32 MHz QCMs: Design and Calibration. IEEE Sens. J. 2017, 18, 1419–1426. [Google Scholar] [CrossRef]
- Pennazza, G.; Santonico, M.; Vollero, L.; Zompanti, A.; Sabatini, A.; Kumar, N.; Pini, I.; Solano, W.F.Q.; Sarro, L.; D’Amico, A. Advances in the Electronics for Cyclic Voltammetry: The Case of Gas Detection by Using Microfabricated Electrodes. Front Chem. 2018, 6, 327. [Google Scholar] [CrossRef]
- SARSTEDT. Available online: https://www.sarstedt.com/en/products/diagnostic/salivasputum/product/51.1534/ (accessed on 11 September 2019).
- Natale, C.D.; Martinelli, E.; Pennazza, G.; Orsini, A.; Santonico, M. Data analysis for chemical sensor arrays. In Advances in Sensing with Security Applications; Springer: Dordrecht, The Netherlands, 2006; pp. 147–169. [Google Scholar]
- Quark CPET: Research Grade Stationary System for Accurate and Reliable Metabolic Measurements. Available online: https://www.cosmed.com/en/products/cardio-pulmonary-exercise-test/quark-cpet (accessed on 11 September 2019).
- Bottoni, U.; Tiriolo, R.; Pullano, S.A.; Dastoli, S.; Amoruso, G.F.; Nistico, S.P.; Fiorillo, A.S. Infrared saliva analysis of psoriatic and diabetic patients: similarities in protein components. IEEE Trans. Biomed. Eng. 2015, 63, 379–384. [Google Scholar] [CrossRef]





| Range | Latent Variables | RMSECV | |
|---|---|---|---|
| Lactate | 0–10 mmol/L | 7 | 1.94 mmol/L |
| Lactate | 2–6 mmol/L | 35 | 0.66 mmol/L |
| Range | LVs | RMSECV | |
|---|---|---|---|
| VCO2 | 3000–6000 mL/min | 3 | 720 mL/min |
| VO2 | 3000–5500 mL/min | 2 | 894.55 mL/min |
| Pet O2 | 100–125 mmHg | 3 | 4.71 mmHg |
| Pet CO2 | 30–45 mmHg | 3 | 2.49 mmHg |
| ReRa | 0.95–1.2 [mL/min]/[mL/min] | 4 | 0.04 [mL/min]/[mL/min] |
| VT | 2–3 L | 3 | 0.66 L |
| Range | LVs | RMSECV | |
|---|---|---|---|
| VCO2 | 3000–6000 mL/min | 2 | 1024 mL/min |
| VO2 | 3000–5500 mL/min | 2 | 894 mL/min |
| Pet O2 | 100–125 mmHg | 4 | 6.11 mmHg |
| Pet CO2 | 30–45 mmHg | 3 | 2.46 mmHg |
| ReRa | 0.95–1.2 [mL/min]/[mL/min] | 3 | 0.06 [mL/min]/[mL/min] |
| VT | 2–3 L | 2 | 0.5 L |
| Manufacturer | Method | Analysis time [s] | Accuracy [within 2–5 mmol/L] [19] | Invasiveness | |
|---|---|---|---|---|---|
| BIONOTE-L | ESS Lab, UCBM, Italy | Eletrochemical sensor | 100 | 0.66 | NO |
| Lactate Pro2 | Arkray KDK, Japan | Aperometic reagent | 15 | 0.11 | YES |
| Lactate Scout+ | EKF Giagnostics, Germany | Enzymatic amperometric | 10 | 0.09 | YES |
| Nova Statsrip Xpress | Nova Biomedical, USA | Electrochemical biosensor | 13 | 0.13 | YES |
| Edge | Transatlenticv Science, USA | Electrochemical biosensor | 45 | 0.14 | YES |
| i-STAT | Abbott Laboratories, USA | Amperometric | 280 | 0.45 | YES |
© 2019 by the authors. Licensee MDPI, Basel, Switzerland. This article is an open access article distributed under the terms and conditions of the Creative Commons Attribution (CC BY) license (http://creativecommons.org/licenses/by/4.0/).
Share and Cite
Zompanti, A.; Sabatini, A.; Santonico, M.; Grasso, S.; Gianfelici, A.; Donatucci, B.; Di Castro, A.; Pennazza, G. A Sensor Platform for Athletes’ Training Supervision: A Proof of Concept Study. Sensors 2019, 19, 3948. https://doi.org/10.3390/s19183948
Zompanti A, Sabatini A, Santonico M, Grasso S, Gianfelici A, Donatucci B, Di Castro A, Pennazza G. A Sensor Platform for Athletes’ Training Supervision: A Proof of Concept Study. Sensors. 2019; 19(18):3948. https://doi.org/10.3390/s19183948
Chicago/Turabian StyleZompanti, Alessandro, Anna Sabatini, Marco Santonico, Simone Grasso, Antonio Gianfelici, Bruno Donatucci, Andrea Di Castro, and Giorgio Pennazza. 2019. "A Sensor Platform for Athletes’ Training Supervision: A Proof of Concept Study" Sensors 19, no. 18: 3948. https://doi.org/10.3390/s19183948
APA StyleZompanti, A., Sabatini, A., Santonico, M., Grasso, S., Gianfelici, A., Donatucci, B., Di Castro, A., & Pennazza, G. (2019). A Sensor Platform for Athletes’ Training Supervision: A Proof of Concept Study. Sensors, 19(18), 3948. https://doi.org/10.3390/s19183948

