Predictive Maintenance with Sensor Data Analytics on a Raspberry Pi-Based Experimental Platform
Abstract
:1. Introduction
2. Related Works
2.1. Predictive Maintenance with AI (Model-Based Approach)
2.2. Predictive Maintenance with a Data-Driven Approach
3. Proposed System
3.1. System Architecture
3.1.1. Sensing Module
A. Control Kernel
B. Sensors
3.1.2. Analysis System
3.2. System Implementation and Execution
3.2.1. Experimental Platform Design
3.2.2. Model Construction
3.2.3. Data Prediction
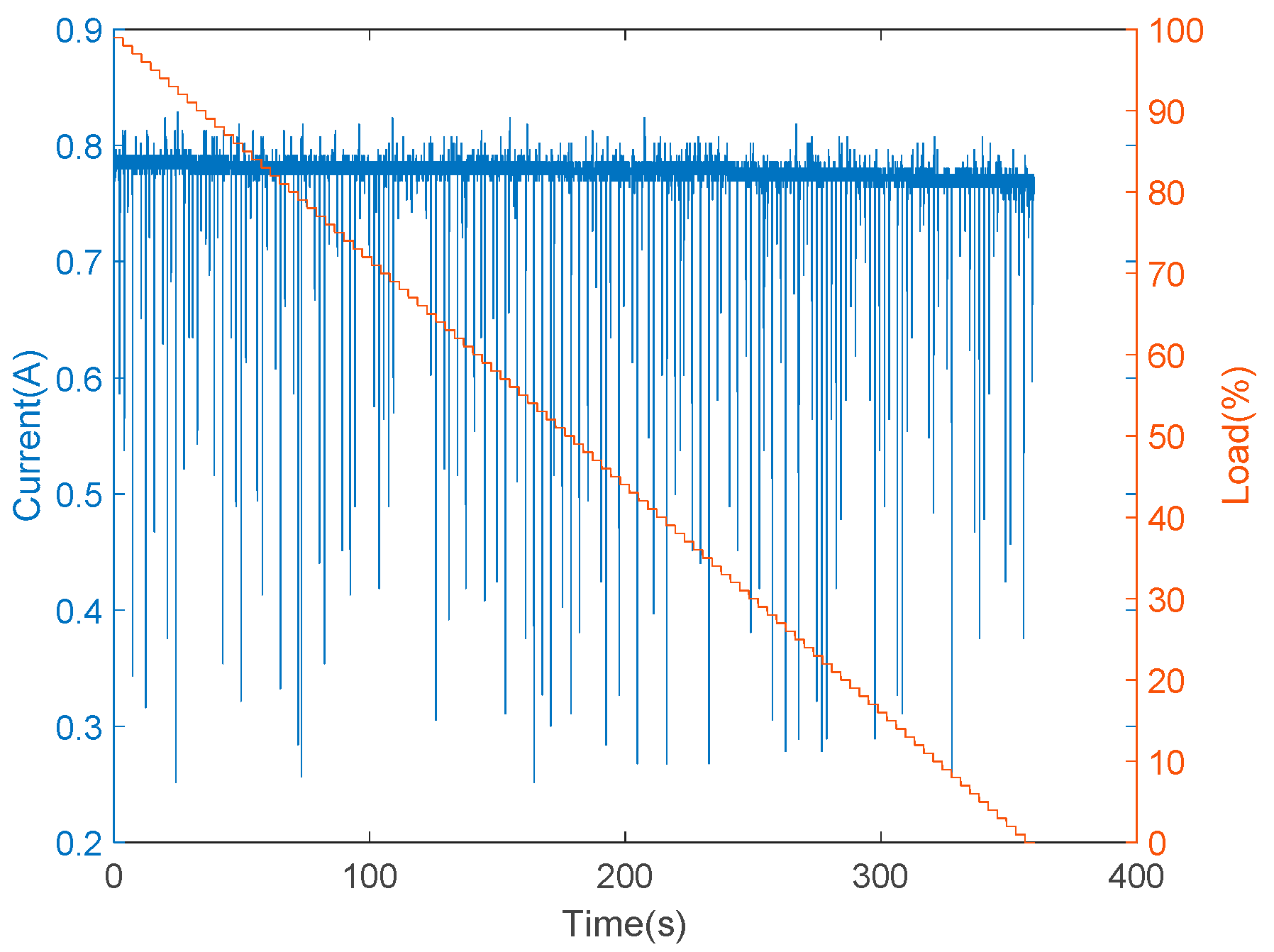
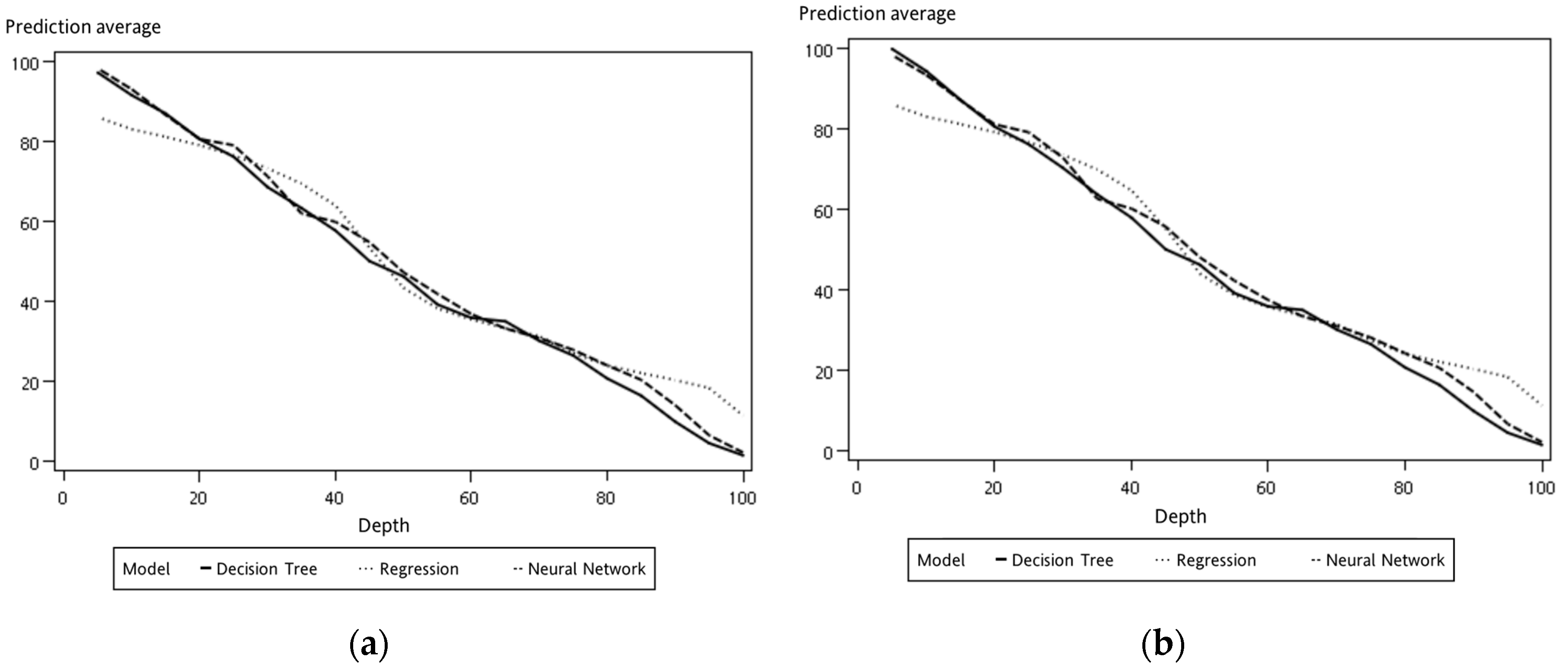
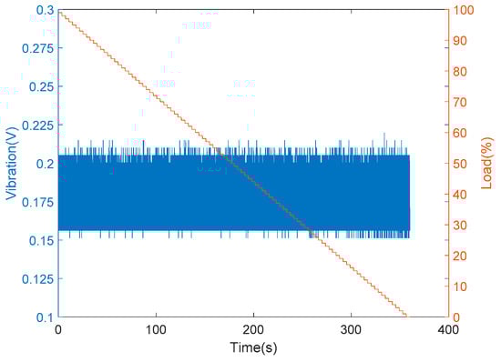
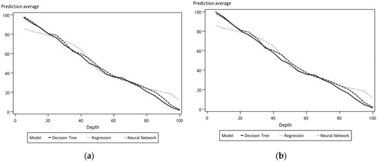
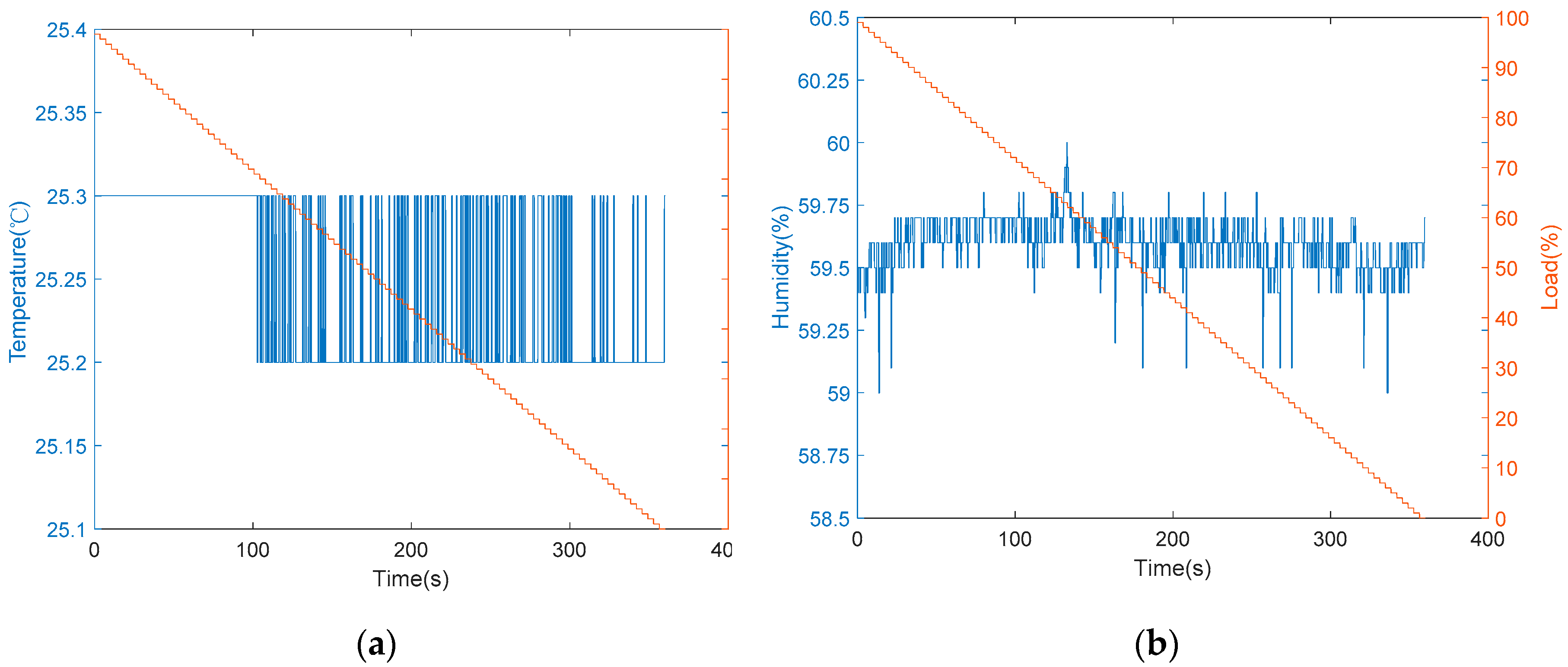
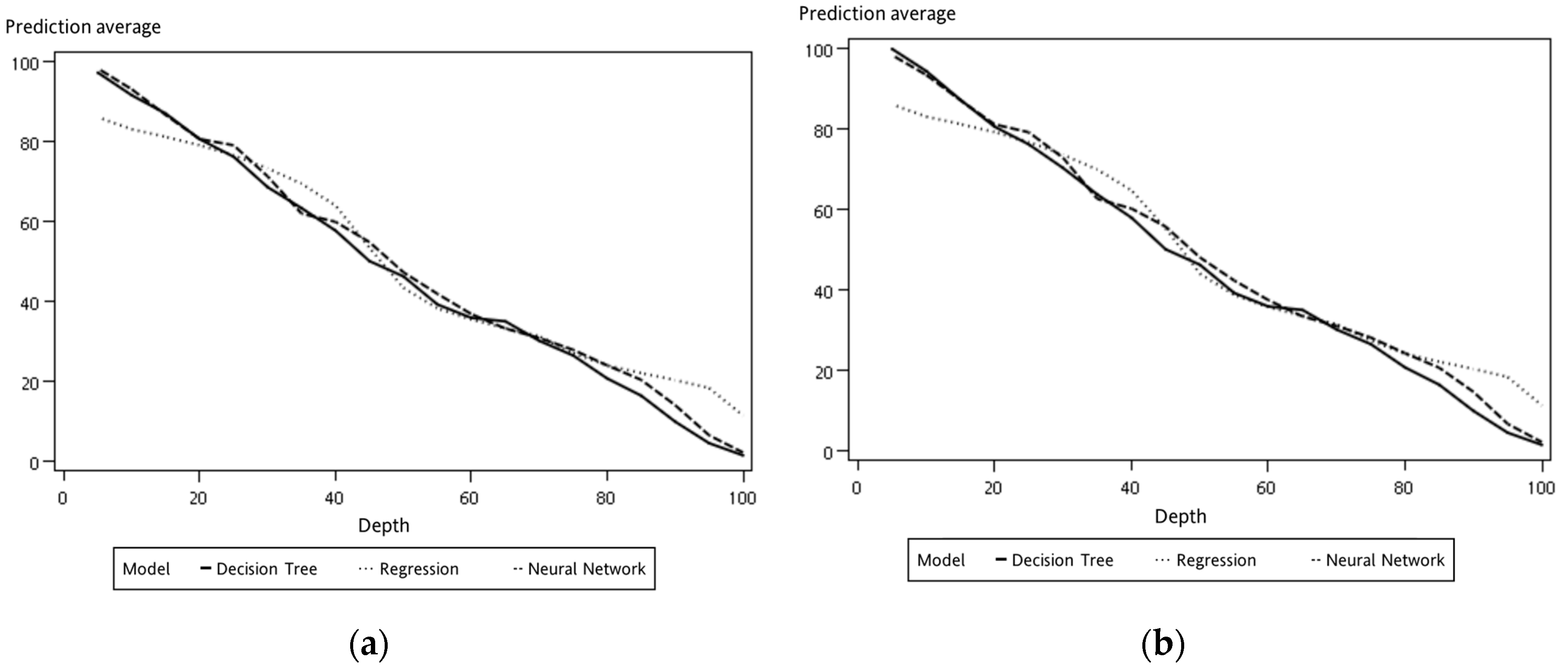
4. Experimental Results and Analysis
5. Discussion
6. Conclusions
Author Contributions
Funding
Conflicts of Interest
References
- How AI Is Making Predictive Maintenance a Reality for the Industrial IoT. Available online: https://www.uptake.com/blog/how-ai-is-making-predictive-maintenance-a-reality-for-the-industrial-iot (accessed on 6 March 2019).
- Pereira, S.S.; Pages-Zamora, A. Mean square convergence of consensus algorithms in random WSNs. IEEE Trans. Signal Process. 2010, 58, 2866–2874. [Google Scholar] [CrossRef]
- Chi, Q.; Yan, H.; Zhang, C.; Pang, Z.; Xu, L.D. A reconfigurable smart sensor interface for industrial WSN in IoT environment. IEEE Trans. Ind. Inform. 2014, 10, 1417–1425. [Google Scholar]
- Lin, Y.B.; Lin, Y.W.; Chih, C.Y.; Li, T.Y.; Tai, C.C.; Wang, Y.C.; Lin, F.J.; Kuo, H.C.; Huang, C.C.; Hsu, S.C. EasyConnect: A Management system for IoT devices and its applications for interactive design and art. IEEE Internet Things J. 2015, 2, 551–561. [Google Scholar] [CrossRef]
- Wang, C.; Vo, H.T.; Ni, P. An IoT application for fault diagnosis and prediction. In Proceedings of the 2015 IEEE International Conference on Data Science and Data Intensive Systems, Sydney, Australia, 11–13 December 2015; pp. 726–731. [Google Scholar]
- Fan, S.; Zhan, J. An intelligent condition-based monitoring and maintenance system for wind turbine. In Proceedings of the 2016 3rd International Conference on Systems and Informatics (ICSAI), Shanghai, China, 19–21 November 2016; pp. 399–404. [Google Scholar]
- Fu, C.; Ye, L.; Liu, Y.; Yu, R.; Lung, B.; Cheng, Y.; Zeng, Y. Predictive maintenance in intelligent-control-maintenance-management system for hydroelectric generating unit. IEEE Trans. Energy Convers. 2004, 19, 179–186. [Google Scholar] [CrossRef]
- Hashemian, H.M.; Bean, W.C. State-of-the-Art predictive maintenance techniques. IEEE Trans. Instrum. Meas. 2011, 60, 3480–3492. [Google Scholar] [CrossRef]
- Malik, H.; Kr, B.A.; Kr, M.; Jarial, R.K. Application research based on modern technology to investigating causes and detection of failures in transformers on the bases of importance level. In Proceedings of the 2011 Annual IEEE India Conference, Hyderabad, India, 16–18 December 2011; pp. 1–6. [Google Scholar]
- Hanyun, Z.; Shunfang, H. The Research of data mining analysis system based on Pearson relation. In Proceedings of the 2015 2nd International Conference on Information Science and Control Engineering, Shanghai, China, 24–26 April 2015; pp. 508–511. [Google Scholar]
- Moyne, J.; Samantaray, J.; Armacost, M. Big data capabilities applied to semiconductor manufacturing advanced process control. IEEE Trans. Semicond. Manuf. 2016, 29, 283–291. [Google Scholar] [CrossRef]
- Marichal, G.N.; Avila, D.; Hernandez, A.; Padron, I.; Castejon, C. Feature extraction from indirect monitoring in marine oil separation systems. Sensors 2018, 18, 3159. [Google Scholar] [CrossRef] [PubMed]
- Zhu, M.; Liu, C. A correlation driven approach with edge services for predictive industrial maintenance. Sensors 2018, 18, 1844. [Google Scholar] [CrossRef] [PubMed]
- Samhouri, M.; Al-Ghandoor, A.; Ali, S.A.; Hinti, I.; Massad, W. An intelligent machine condition monitoring system using time-based analysis: Neuro-Fuzzy versus Neural Network. Jordan J. Mech. Ind. Eng. 2009, 3, 294–305. [Google Scholar]
- Mushiri, T.; Hungwe, R.; Mbohwa, C. An artificial intelligence based model for implementation in the petroleum storage industry to optimize maintenance. In Proceedings of the 2017 IEEE International Conference on Industrial Engineering and Engineering Management (IEEM), Singapore, 10–13 December 2017; pp. 1485–1489. [Google Scholar]
- Gou, X.; Bian, C.; Zeng, F.; Xu, Q.; Wang, W.; Yang, S. A Data-Driven smart fault diagnosis method for electric motor. In Proceedings of the 2018 IEEE International Conference on Software Quality, Reliability and Security Companion (QRS-C), Lisbon, Portugal, 16–20 July 2018; pp. 250–257. [Google Scholar]
- Syafrduin, M.; Alfian, G.; Fitriyani, N.L.; Rhee, J. Performance analysis of IoT based sensor, big data processing, and machine learning model for real time monitoring system in automative manufacturing. Sensors 2018, 18, 2946. [Google Scholar] [CrossRef] [PubMed]
- Vianna, W.O.L.; Yoneyama, T. Predictive maintenance optimization for aircraft redundant systems subjected to multiple wear profiles. IEEE Syst. J. 2018, 12, 1170–1181. [Google Scholar] [CrossRef]
- Jung, D.; Zhang, Z.; Winslett, M. Vibration Analysis for IoT Enabled Predictive Maintenance. In Proceedings of the 2017 33rd IEEE International Conference on Data Engineering (ICDE), San Diego, CA, USA, 19–22 April 2017; pp. 1271–1282. [Google Scholar]
- Nabati, E.G.; Thoben, K. Data driven decision making in planning the maintenance activities of off-shore wind energy. Procedia CIRP 2017, 59, 160–165. [Google Scholar] [CrossRef]
- Patil, R.B.; Patil, M.A.; Ravi, V.; Naik, S. Predictive modelling for corrective maintenance of imaging devices from machine logs. In Proceedings of the 2017 39th Annual International Conference of the IEEE Engineering in Medicine and Biology Society (EMBC), Seogwipo, Korea, 11–15 July 2017; pp. 1676–1679. [Google Scholar]
- Sipos, R.; Fradkin, D.; Moerchen, F.; Wang, Z. Log-based predictive maintenance. In Proceedings of the 20th ACM SIGKDD International Conference on Knowledge Discovery and Data Mining (SIGKDD 2014), New York, NY, USA, 24–27 August 2014; pp. 1867–1876. [Google Scholar]
- Rodseth, H.; Schjolberg, P. Data-driven predictive maintenance for green manufacturing. In Proceedings of the 6th International Workshop of Advanced Manufacturing and Automation (IWAMA 2016), Manchester, UK, 10–11 November 2016; pp. 36–41. [Google Scholar]
- Chen, X.; Kopsaftopoulos, F.; Wu, Q.; Ren, H.; Chang, F.K. Flight state identification of a self-sensing wing via an improved feature selection method and machine learning approaches. Sensors 2018, 18, 1379. [Google Scholar] [CrossRef]
- Susto, G.A.; Wan, J.; Pampuri, S.; Zanon, M.; Johnston, A.B.; O’Hara, P.G.; McLoone, S. An adaptive machine learning decision system for flexible predictive maintenance. In Proceedings of the 10th IEEE International Conference on Automation Science and Engineering (CASE 2014), Taipei, Taiwan, 18–22 August 2014; pp. 806–811. [Google Scholar]
- Borgi, T.; Hidri, A.; Neef, B.; Naceur, M.S. Data analytics for predictive maintenance of industrial robots. In Proceedings of the 2017 International Conference on Advanced Systems and Electric Technologies (IC_ASET), Hammamet, Tunisia, 14–17 January 2017; pp. 412–417. [Google Scholar]
- Sahoo, N.; Lin, H.W.; Chang, Y.H. Design and implementation of a walking stick aid for visually challenged people. Sensors 2019, 19, 130. [Google Scholar] [CrossRef] [PubMed]
- Noriega-Linares, J.E.; Navarro Ruiz, J.M. On the Application of the Raspberry Pi as an Advanced Acoustic Sensor Network for Noise Monitoring. Electronics 2017, 5, 74. [Google Scholar] [CrossRef]
- Leccese, F.; Cagnetti, M.; Trinca, D. A smart city application: A fully controlled street lighting isle based on Raspberry-Pi card, a ZigBee sensor network and WiMAX. Sensors 2014, 14, 24408–24424. [Google Scholar] [CrossRef] [PubMed]
- Raspberry Pi Board Revisions. Available online: https://www.raspberrypi-spy.co.uk/2012/09/raspberry-pi-board-revisions/ (accessed on 15 March 2019).
- Logistic Regression. Available online: https://www.statisticssolutions.com/what-is-logistic-regression/ (accessed on 26 August 2019).
- Decision Tree Algorithm. Available online: https://medium.com/deep-math-machine-learning-ai/chapter-4-decision-trees-algorithms-b93975f7a1f1 (accessed on 26 August 2019).
- The Neural Networks Model. Available online: https://www.ibm.com/support/knowledgecenter/en/SS3RA7_15.0.0/com.ibm.spss.modeler.help/neuralnet_model.htm (accessed on 26 August 2019).
- SAS Data Mining and Machine Learning. Available online: https://communities.sas.com/t5/SAS-Data-Mining-and-Machine/Need-links-to-instructions-on-reading-these-SAS-charts-Mean/td-p/414880 (accessed on 24 August 2019).

































| Vibration | Humidity | Ambient Temperature | Environmental Pressure | Acoustic Signal | Thermography | Current | ||
|---|---|---|---|---|---|---|---|---|
| Device | ||||||||
| Pump | ✓ | ✓ | ✓ | ✓ | ✓ | ✓ | ||
| Valve | ✓ | ✓ | ✓ | |||||
| Motor/Fan | ✓ | ✓ | ✓ | ✓ | ✓ | |||
| Heat Exchanger | ✓ | ✓ | ✓ | ✓ | ||||
| Cable and Connector | ✓ | ✓ | ||||||
| Pearson Correlations, N = 161,999 Prob > |r| (Located H0): Rho = 0 | |||||||
|---|---|---|---|---|---|---|---|
| Current | Anemometer | Sound | Vibration | Humidity | Temp | Load | |
| Current | 1.00000 | 0.01775 <0.0001 | 0.01872 <0.0001 | 0.00422 0.0896 | −0.02195 <0.0001 | 0.01712 <0.0001 | 0.06286 <0.0001 |
| Anemometer | 0.01775 <0.0001 | 1.00000 | 0.61268 <0.0001 | 0.03468 <0.0001 | −0.28185 <0.0001 | 0.30185 <0.0001 | 0.75419 <0.0001 |
| Sound | 0.01872 <0.0001 | 0.61268 <0.0001 | 1.00000 | 0.56845 <0.0001 | −0.16808 <0.0001 | 0.18279 <0.0001 | 0.46089 <0.0001 |
| Vibration | 0.00422 0.0896 | 0.03468 <0.0001 | 0.56845 <0.0001 | 1.00000 | −0.00462 0.0632 | 0.00269 0.2786 | 0.00912 0.0002 |
| Humidity | −0.02195 <0.0001 | −0.28185 <0.0001 | −0.16808 <0.0001 | −0.00462 0.0632 | 1.00000 | −0.04557 <0.0001 | -0.31014 <0.0001 |
| Temp | 0.01712 <0.0001 | 0.30185 <0.0001 | 0.18279 <0.0001 | 0.00269 0.2786 | −0.04557 <0.0001 | 1.00000 | 0.54038 <0.0001 |
| Load | 0.06286 <0.0001 | 0.75419 <0.0001 | 0.46089 <0.0001 | 0.00912 0.0002 | −0.31014 <0.0001 | 0.54038 <0.0001 | 1.00000 |
| Model | Training Mean Squared Error | Verification Mean Squared Error |
|---|---|---|
| Decision tree | 7.228 | 7.473 |
| Neural network | 23.732 | 23.499 |
| Logistic regression | 213.544 | 218.439 |
| Number of Sets | Training Mean Squared Error | Verification Mean Squared Error |
|---|---|---|
| 1 | 119.657 | 121.782 |
| 5 | 87.037 | 88.112 |
| 10 | 59.181 | 59.603 |
© 2019 by the authors. Licensee MDPI, Basel, Switzerland. This article is an open access article distributed under the terms and conditions of the Creative Commons Attribution (CC BY) license (http://creativecommons.org/licenses/by/4.0/).
Share and Cite
Chuang, S.-Y.; Sahoo, N.; Lin, H.-W.; Chang, Y.-H. Predictive Maintenance with Sensor Data Analytics on a Raspberry Pi-Based Experimental Platform. Sensors 2019, 19, 3884. https://doi.org/10.3390/s19183884
Chuang S-Y, Sahoo N, Lin H-W, Chang Y-H. Predictive Maintenance with Sensor Data Analytics on a Raspberry Pi-Based Experimental Platform. Sensors. 2019; 19(18):3884. https://doi.org/10.3390/s19183884
Chicago/Turabian StyleChuang, Shang-Yi, Nilima Sahoo, Hung-Wei Lin, and Yeong-Hwa Chang. 2019. "Predictive Maintenance with Sensor Data Analytics on a Raspberry Pi-Based Experimental Platform" Sensors 19, no. 18: 3884. https://doi.org/10.3390/s19183884
APA StyleChuang, S.-Y., Sahoo, N., Lin, H.-W., & Chang, Y.-H. (2019). Predictive Maintenance with Sensor Data Analytics on a Raspberry Pi-Based Experimental Platform. Sensors, 19(18), 3884. https://doi.org/10.3390/s19183884

