SLAM in Dynamic Environments: A Deep Learning Approach for Moving Object Tracking Using ML-RANSAC Algorithm
Abstract
1. Introduction
2. Related Works
3. Object Detection and Classification by Deep Learning
4. ML-RANSAC Algorithm for SLAMMTT
| Algorithm 1. Multilevel-RANSAC. |
| Require:+(k − 1), P+(k − 1) (EKF estimated state and covariance at step k − 1), Z(k) (measurement at time step k) Ensure: +(k), P+(k) (EKF estimated state and covariance at step k), for each time step k do 2- Prediction(); 3- Individual_compatibility_match(); 4- Compute_ J(); 5- Find the tracks with only one compatibility match in the matrix J 6- EKF_update(); 7- if there is another observation which needs a decision making then a. RANSAC(); b. EKF_update(); 8- end if 9- Prune_tracks(); 10- end for |
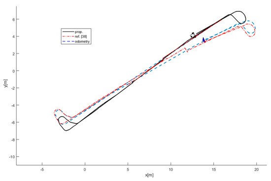
5. Results and Discussion
6. Conclusions
Author Contributions
Funding
Conflicts of Interest
References
- Bahraini, M.S.; Bozorg, M.; Rad, A.B. A New Adaptive UKF Algorithm to Improve the Accuracy of SLAM. Int. J. Robot. Theory Appl. 2019, 5, 35–46. [Google Scholar]
- Bahraini, M.S. On the Efficiency of SLAM Using Adaptive Unscented Kalman Filter. Iran. J. Sci. Technol. Trans. Mech. Eng. 2019, 1–9. [Google Scholar] [CrossRef]
- Ho, T.S.; Fai, Y.C.; Ming, E.S.L. Simultaneous Localization and Mapping Survey Based on Filtering Techniques. In Proceedings of the 10th Asian Control Conference (ASCC), Kota Kinabalu, Malaysia, 31 May–3 June 2015; pp. 1–6. [Google Scholar]
- Fuentes-Pacheco, J.; Ruiz-Ascencio, J.; Rendón-Mancha, J.M. Visual simultaneous localization and mapping: A survey. Artif. Intell. Rev. 2015, 43, 55–81. [Google Scholar] [CrossRef]
- Saeedi, S.; Trentini, M.; Seto, M.; Li, H. Multiple-Robot Simultaneous Localization and Mapping: A Review. J. Field Robot. 2016, 33, 3–46. [Google Scholar] [CrossRef]
- Cadena, C.; Carlone, L.; Carrillo, H.; Latif, Y.; Scaramuzza, D.; Neira, J.; Reid, I.; Leonard, J.J. Past, Present, and Future of Simultaneous Localization and Mapping: Toward the Robust-Perception Age. IEEE Trans. Robot. 2016, 32, 1309–1332. [Google Scholar] [CrossRef]
- Zaffar, M.; Ehsan, S.; Stolkin, R.; Maier, K.M. Sensors, SLAM and Long-term Autonomy: A Review. arXiv 2018, arXiv:1807.01605. [Google Scholar]
- Wang, C.-C.; Thorpe, C.; Thrun, S.; Hebert, M.; Durrant-Whyte, H. Simultaneous Localization, Mapping and Moving Object Tracking. Int. J. Robot. Res. 2007, 26, 889–916. [Google Scholar] [CrossRef]
- Lin, K.-H.; Wang, C.-C. Stereo-based simultaneous localization, mapping and moving object tracking. In Proceedings of the 2010 IEEE/RSJ International Conference on Intelligent Robots and Systems (IROS), Taipei, Taiwan, 18–22 October 2010; pp. 3975–3980. [Google Scholar]
- Vu, T.-D.; Burlet, J.; Aycard, O. Grid-based localization and local mapping with moving object detection and tracking. Inf. Fusion 2011, 12, 58–69. [Google Scholar] [CrossRef]
- Chang, C.-H.; Wang, S.-C.; Wang, C.-C. Exploiting Moving Objects: Multi-Robot Simultaneous Localization and Tracking. IEEE Trans. Autom. Sci. Eng. 2016, 13, 1–18. [Google Scholar] [CrossRef]
- Baig, Q.; Aycard, O.; Vu, T.D.; Fraichard, T. Fusion between laser and stereo vision data for moving objects tracking in intersection like scenario. In Proceedings of the Intelligent Vehicles Symposium (IV), Baden-Baden, Germany, 5–9 June 2011; pp. 362–367. [Google Scholar]
- Krizhevsky, A.; Sutskever, I.; Hinton, G.E. Imagenet classification with deep convolutional neural networks. In Proceedings of the Advances in Neural Information Processing Systems, Lake Tahoe, NV, USA, 3–8 December 2012; pp. 1097–1105. [Google Scholar]
- Premebida, C.; Ludwig, O.; Nunes, U.J.C. LIDAR and vision-based pedestrian detection system. J. Field Robot. 2009, 26, 696–711. [Google Scholar] [CrossRef]
- Angelova, A.; Krizhevsky, A.; Vanhoucke, V. Pedestrian detection with a large-field-of-view deep network. In Proceedings of the IEEE International Conference on Robotics and Automation (ICRA), Washington, DC, USA, 26–30 May 2015; pp. 704–711. [Google Scholar]
- Angelova, A.; Krizhevsky, A.; Vanhoucke, V.; Ogale, A.S.; Ferguson, D. Real-Time Pedestrian Detection with Deep Network Cascades. In Proceedings of the BMVC, Swansea, UK, 7–10 September 2015; p. 32. [Google Scholar]
- Chen, X.; Kundu, K.; Zhang, Z.; Ma, H.; Fidler, S.; Urtasun, R. Monocular 3d object detection for autonomous driving. In Proceedings of the IEEE Conference on Computer Vision and Pattern Recognition, Las Vegas, NV, USA, 26 June–1 July 2016; pp. 2147–2156. [Google Scholar]
- Eitel, A.; Springenberg, J.T.; Spinello, L.; Riedmiller, M.; Burgard, W. Multimodal deep learning for robust rgb-d object recognition. In Proceedings of the IEEE/RSJ International Conference on Intelligent Robots and Systems (IROS), Hamburg, Germany, 28 September–2 October 2015; pp. 681–687. [Google Scholar]
- Gupta, S.; Girshick, R.; Arbeláez, P.; Malik, J. Learning rich features from RGB-D images for object detection and segmentation. In Proceedings of the European Conference on Computer Vision, Zurich, Switzerland, 6–12 September 2014; pp. 345–360. [Google Scholar]
- Islam, M.M.; Hu, G.; Liu, Q. Online Model Updating and Dynamic Learning Rate-Based Robust Object Tracking. Sensors 2018, 18, 2046. [Google Scholar] [CrossRef]
- Blanco-Filgueira, B.; Garcia-Lesta, D.; Fernandez-Sanjurjo, M.; Brea, V.M.; Lopez, P. Deep Learning-Based Multiple Object Visual Tracking on Embedded System for IoT and Mobile Edge Computing Applications. IEEE Int. Things J. 2019, 6, 5423–5431. [Google Scholar] [CrossRef]
- Scheidegger, S.; Benjaminsson, J.; Rosenberg, E.; Krishnan, A.; Granström, K. Mono-camera 3d multi-object tracking using deep learning detections and pmbm filtering. In Proceedings of the IEEE Intelligent Vehicles Symposium (IV), Suzhou, China, 26–30 June 2018; pp. 433–440. [Google Scholar]
- Brunetti, A.; Buongiorno, D.; Trotta, G.F.; Bevilacqua, V. Computer vision and deep learning techniques for pedestrian detection and tracking: A survey. Neurocomputing 2018, 300, 17–33. [Google Scholar] [CrossRef]
- Druzhkov, P.N.; Kustikova, V.D. A survey of deep learning methods and software tools for image classification and object detection. Pattern Recognit. Image Anal. 2016, 26, 9–15. [Google Scholar] [CrossRef]
- Tai, L.; Liu, M. Deep-learning in Mobile Robotics-from Perception to Control Systems: A Survey on Why and Why not. arXiv 2016, arXiv:1612.07139. [Google Scholar]
- Amditis, A.; Thomaidis, G.; Maroudis, P.; Lytrivis, P.; Karaseitanidis, G. Multiple Hypothesis Tracking Implementation. Laser Scanner Technol. 2012, 199. [Google Scholar]
- Niedfeldt, P.C.; Beard, R.W. Multiple target tracking using recursive RANSAC. In Proceedings of the IEEE American Control Conference, Portland, OR, USA, 4–6 June 2014; pp. 3393–3398. [Google Scholar]
- Bar-Shalom, Y.; Li, X.R.; Kirubarajan, T. Estimation with Applications to Tracking and Navigation: Theory Algorithms and Software; John Wiley & Sons: Hoboken, NJ, USA, 2004. [Google Scholar]
- Raguram, R.; Frahm, J.-M.; Pollefeys, M. A comparative analysis of RANSAC techniques leading to adaptive real-time random sample consensus. In Proceedings of the European Conference on Computer Vision, Marseille, France, 12–18 October 2008; pp. 500–513. [Google Scholar]
- Niedfeldt, P.C. Recursive-RANSAC: A Novel Algorithm for Tracking Multiple Targets in Clutter. Ph.D. Thesis, Brigham Young University, Provo, UT, USA, 2014. [Google Scholar]
- Betke, M.; Wu, Z. Data Association for Multi-Object Visual Tracking. Synth. Lect. Comput. Vis. 2016, 6, 1–120. [Google Scholar] [CrossRef][Green Version]
- Wolf, D.F.; Sukhatme, G.S. Mobile Robot Simultaneous Localization and Mapping in Dynamic Environments. Auton. Robot. 2005, 19, 53–65. [Google Scholar] [CrossRef]
- Migliore, D.; Rigamonti, R.; Marzorati, D.; Matteucci, M.; Sorrenti, D.G. Use a single camera for simultaneous localization and mapping with mobile object tracking in dynamic environments. In Proceedings of the International Workshop on Safe Navigation in Open and Dynamic Environments Application to Autonomous Vehicles, Kobe, Japan, 12 May 2009. [Google Scholar]
- Darms, M.; Rybski, P.; Urmson, C. Classification and tracking of dynamic objects with multiple sensors for autonomous driving in urban environments. In Proceedings of the IEEE Intelligent Vehicles Symposium, Eindhoven, The Netherlands, 4–6 June 2008; pp. 1197–1202. [Google Scholar]
- Azim, A.; Aycard, O. Layer-based supervised classification of moving objects in outdoor dynamic environment using 3D laser scanner. In Proceedings of the IEEE Intelligent Vehicles Symposium Proceedings, Ypsilanti, MI, USA, 8–11 June 2014; pp. 1408–1414. [Google Scholar]
- Chavez-Garcia, R.O.; Aycard, O. Multiple Sensor Fusion and Classification for Moving Object Detection and Tracking. IEEE Trans. Intell. Transp. Syst. 2016, 17, 1–10. [Google Scholar] [CrossRef]
- Saputra, M.R.U.; Markham, A.; Trigoni, N.J.A.C.S. Visual SLAM and structure from motion in dynamic environments: A survey. ACM Comput. Surv. (CSUR) 2018, 51, 37. [Google Scholar] [CrossRef]
- Bahraini, M.S.; Bozorg, M.; Rad, A.B. SLAM in dynamic environments via ML-RANSAC. Mechatronics 2018, 49, 105–118. [Google Scholar] [CrossRef]
- Mertz, C.; Navarro-Serment, L.E.; MacLachlan, R.; Rybski, P.; Steinfeld, A.; Suppe, A.; Urmson, C.; Vandapel, N.; Hebert, M.; Thorpe, C.; et al. Moving object detection with laser scanners. J. Field Robot. 2013, 30, 17–43. [Google Scholar] [CrossRef]
- Girshick, R.; Donahue, J.; Darrell, T.; Malik, J. Rich feature hierarchies for accurate object detection and semantic segmentation. In Proceedings of the IEEE Conference on Computer Vision and Pattern Recognition, Columbus, OH, USA, 24–27 June 2014; pp. 580–587. [Google Scholar]
- Guivant, J.; Nebot, E. Optimization of the simultaneous localization and map-building algorithm for real-time implementation. IEEE Trans. Robot. Autom. 2001, 17, 242–257. [Google Scholar] [CrossRef]
- Bailey, T. Mobile Robot Localisation AND Mapping in Extensive Outdoor Environments; The University of Sydney: Sydney, Australia, 2002. [Google Scholar]
- De Silva, V.; Roche, J.; Kondoz, A. Fusion of LiDAR and camera sensor data for environment sensing in driverless vehicles. arXiv 2018, arXiv:1710.06230v2. [Google Scholar]
- Krizhevsky, A.; Hinton, G. Learning Multiple Layers of Features from Tiny Images; University of Toronto: Ontario, ON, CA, 2009. [Google Scholar]
- Shi, J.; Qi, G.; Sheng, A.; Li, Y.-Y. Extended target tracking filter with intermittent observations. IET Signal Process. 2016, 10, 592–602. [Google Scholar] [CrossRef]













| Ref. | Sensors | Data Association Method | Pure Dynamic Environment | Comp. Cost | MTT | Local Mapping | Conflict Situation | Semantic Segmentation |
|---|---|---|---|---|---|---|---|---|
| [32] | Laser | GNN | NO | Middle | No | Yes | No | No |
| [8] | Laser | MHT | NO | High | Yes | Yes | No | No |
| [33] | Mono-camera | GNN | No | Very high | No | No | No | No |
| [9] | Stereo-camera | GNN | No | High | No | No | No | No |
| [10] | Laser | MHT | NO | High | No | Yes | No | No |
| [12] | Laser, stereo | GNN | NO | High | Yes | Yes | No | No |
| [11] | Laser, camera | MHT | NO | High | Yes | Yes | No | No |
| [36] | Laser, camera, radar | MHT | NO | High | Yes | Yes | No | No |
| [38] | Laser | RANSAC | Yes | Middle | Yes | No | No | No |
| Prop. | Laser, camera | RANSAC | Yes | High | Yes | No | Yes | Yes |
© 2019 by the authors. Licensee MDPI, Basel, Switzerland. This article is an open access article distributed under the terms and conditions of the Creative Commons Attribution (CC BY) license (http://creativecommons.org/licenses/by/4.0/).
Share and Cite
Bahraini, M.S.; Rad, A.B.; Bozorg, M. SLAM in Dynamic Environments: A Deep Learning Approach for Moving Object Tracking Using ML-RANSAC Algorithm. Sensors 2019, 19, 3699. https://doi.org/10.3390/s19173699
Bahraini MS, Rad AB, Bozorg M. SLAM in Dynamic Environments: A Deep Learning Approach for Moving Object Tracking Using ML-RANSAC Algorithm. Sensors. 2019; 19(17):3699. https://doi.org/10.3390/s19173699
Chicago/Turabian StyleBahraini, Masoud S., Ahmad B. Rad, and Mohammad Bozorg. 2019. "SLAM in Dynamic Environments: A Deep Learning Approach for Moving Object Tracking Using ML-RANSAC Algorithm" Sensors 19, no. 17: 3699. https://doi.org/10.3390/s19173699
APA StyleBahraini, M. S., Rad, A. B., & Bozorg, M. (2019). SLAM in Dynamic Environments: A Deep Learning Approach for Moving Object Tracking Using ML-RANSAC Algorithm. Sensors, 19(17), 3699. https://doi.org/10.3390/s19173699

