Defect Detection of Aluminium Plates Based on Near-Field Enhancement of Lamb Waves Generated Using an Electromagnetic Acoustic Tranducer
Abstract
1. Introduction
2. Theory
2.1. Mechanism of Lorentz Force
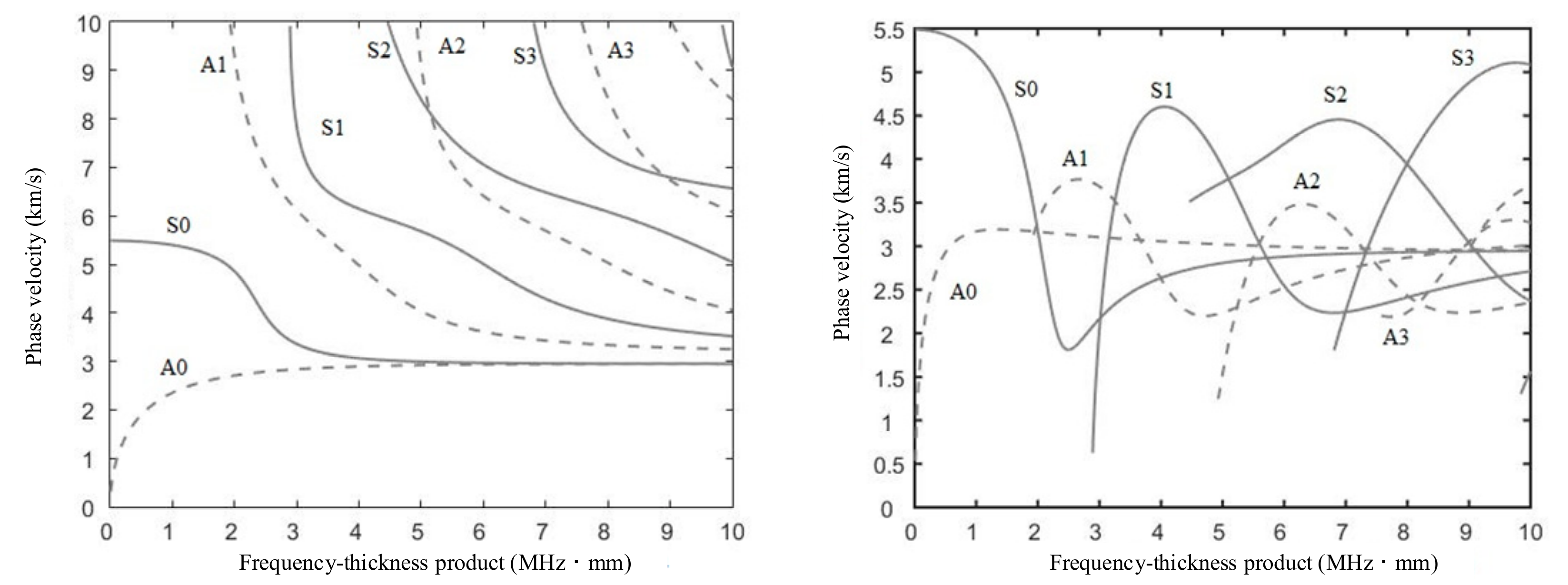
2.2. Dispersion of Lamb Waves
3. Defects Inspection
3.1. Simulation
3.2. Scanning Inspection
4. Depth Measurement
4.1. Simulation
4.2. Experiments at Different Crack Depth
5. Discussion
6. Conclusions
- (1)
- There were only S0 and A0 Lamb waves given the current source with a 0–500 kHz main frequency component in a 1 mm-thick aluminium plate. Furthermore, under this condition, the dispersion of S0 Lamb waves was relatively weak and negligible, which is suitable for defect detection.
- (2)
- The scanning inspection method based on the near-field enhancement of S0 Lamb waves could be used to detect and position the 1 mm × 10 mm defacing defect on the 1 mm-thick aluminium plate more effectively compared to traditional ultrasonic testing like the pulse-echo method.
- (3)
- As the depth of the defacing defect increased, the near-field enhancement coefficient of the S0 Lamb waves also experienced a clear increase, whose overall trend was consistent with the simulation results. The near-field enhancement coefficient could be used to measure the depth of the defect or evaluate the severity of the defect after calibration in advance.
Author Contributions
Funding
Conflicts of Interest
References
- Thompson, R.B.; Alers, G.A.; Tennison, M.A. Application of direct electromagnetic Lamb wave generation to gas pipeline inspection. In Proceedings of the 1972 Ultrasonics Symposium, Boston, MA, USA, 4–7 October 1972. [Google Scholar]
- Thompson, R.B.; Elsley, R.K.; Peterson, W.E.; Vasile, C.F. An EMAT system for detecting flaws in steam generator tubes. In Proceedings of the DARPA/AFML Review of Progress in Quantitative NDE, La Jolla, CA, USA, 14–18 July 1980; Volume 76, pp. 562–567. [Google Scholar]
- Ribichini, R.; Cegla, F.; Nagy, P.B.; Cawley, P. Quantitative modeling of the transduction of electromagnetic acoustic transducers operating on ferromagnetic media. IEEE Trans. Ultrason. Ferroelectr. Freq. Control 2010, 57, 2808–2817. [Google Scholar] [CrossRef] [PubMed]
- Burrows, S.E.; Fan, Y.; Dixon, S. High temperature thickness measurements of stainless steel and low carbon steel using electromagnetic acoustic transducers. NDT E Int. 2014, 68, 73–77. [Google Scholar] [CrossRef]
- Ren, W.; Xu, K.; Dixon, S.; Zhang, C. A study of magnetostriction mechanism of emat on low-carbon steel at high temperature. NDT E Int. 2019, 101, 34–43. [Google Scholar] [CrossRef]
- Ren, W.; Xu, K.; Zhou, P. Fast Measurement of Magnetostriction Coefficients for Silicon Steel Strips Using Magnetostriction-Based EMAT. Sensors 2018, 18, 4495. [Google Scholar] [CrossRef]
- Castaings, M.; Cawley, P. The generation, propagation, and detection of Lamb waves in plates using air-coupled ultrasonic transducers. J. Acoust. Soc. Am. 1996, 100, 3070–3077. [Google Scholar] [CrossRef]
- Benmeddour, F.; Grondel, S.; Assaad, J.; Moulin, E. Study of the fundamental Lamb modes interaction with asymmetrical discontinuities. NDT E Int. 2008, 41, 330–340. [Google Scholar] [CrossRef]
- Benmeddour, F.; Grondel, S.; Assaad, J.; Moulin, E. Study of the fundamental Lamb modes interaction with symmetrical notches. NDT E Int. 2008, 41, 1–9. [Google Scholar] [CrossRef]
- Sohn, Y.; Krishnaswamy, S. Mass spring lattice modeling of the scanning laser source technique. Ultrasonics 2002, 39, 543–551. [Google Scholar] [CrossRef]
- Dutton, B.; Clough, A.R.; Edwards, R.S. Near field enhancements from angled surface defects; a comparison of scanning laser source and scanning laser detection techniques. J. Nondestr. Eval. 2011, 30, 64–70. [Google Scholar] [CrossRef]
- Dixon, S.; Cann, B.; Carroll, D.L.; Fan, Y.; Edwards, R.S. Non-linear enhancement of laser generated ultrasonic Rayleigh waves by cracks. Nondestr. Test. Eval. 2008, 23, 25–34. [Google Scholar] [CrossRef][Green Version]
- Arias, I.; Achenbach, J.D. A model for the ultrasonic detection of surface-breaking cracks by the scanning laser source technique. Wave Motion 2004, 39, 61–75. [Google Scholar] [CrossRef]
- Kromine, A.K.; Fomitchov, P.A.; Krishnaswamy, S.; Achenbach, J.D. Laser Ultrasonic Detection of Surface Breaking Discontinuities. Mater. Eval. 2000, 58, 173–177. [Google Scholar]
- Clough, A.R.; Edwards, R.S. Scanning laser source Lamb wave enhancements for defect characterisation. NDT E Int. 2014, 62, 99–105. [Google Scholar] [CrossRef]
- Clough, A.R.; Edwards, R.S. Characterisation of hidden defects using the near-field ultrasonic enhancement of Lamb waves. Ultrasonics 2015, 59, 64–71. [Google Scholar] [CrossRef] [PubMed]
- Clough, A.R.; Edwards, R.S. Lamb wave near field enhancements for surface breaking defects in plates. J. Appl. Phys. 2012, 111, 104906. [Google Scholar] [CrossRef]
- Ashigwuike, E.C.; Ushie, O.J.; Mackay, R.; Balachandran, W. A study of the transduction mechanisms of electromagnetic acoustic transducers (EMATs) on pipe steel materials. Sens. Actuators A 2015, 229, 154–165. [Google Scholar] [CrossRef]
- Murayama, R. Study of driving mechanism on electromagnetic acoustic transducer for Lamb wave using magnetostrictive effect and application in drawability evaluation of thin steel sheets. Ultrasonics 1999, 37, 31–38. [Google Scholar] [CrossRef]
- Ribichini, R.; Cegla, F.; Nagy, P.B.; Cawley, P. Study and comparison of different EMAT configurations for SH wave inspection. IEEE Trans. Ultrason. Ferroelectr. Freq. Control 2011, 58, 2571–2581. [Google Scholar] [CrossRef]
- He, J.; Xu, K.; Ren, W. Defect Detection of Steel Plate Using Wideband Lamb Wave. Instrum. Tech. Sens. 2017, 1, 173–176. [Google Scholar]
- He, J.; Xu, K.; Ren, W. EMAT Design of Self-excitation with Coils and Its Characteristics Study. Int. J. Mech. Eng. Educ. 2017, 53, 134–140. [Google Scholar] [CrossRef]
- He, J.; Dixon, S.; Hill, S.; Xu, K. A New Electromagnetic Acoustic Transducer Design for Generating and Receiving S0 Lamb Waves in Ferromagnetic Steel Plate. Sensors 2017, 17, 1023. [Google Scholar] [CrossRef] [PubMed]












| Air | Coil | Aluminium | |
|---|---|---|---|
| Relative permeability | 1 | 1 | 1 |
| Relative permittivity | 1 | 1 | 1 |
| Conductivity | 10 S/m | 3.774 × 107 S/m | |
| Density | 2700 kg/m3 | ||
| Young’s modulus | 70 GPa | ||
| Poisson’s ratio | 0.33 |
| d | S0 Lamb Peak | d | S0 Lamb Peak |
|---|---|---|---|
| −50 mm | 48 mV | 10 mm | 66 mV |
| −40 mm | 48 mV | 20 mm | 64 mV |
| −30 mm | 44 mV | 30 mm | 62 mV |
| −20 mm | 48 mV | 40 mm | 58 mV |
| −10 mm | 44 mV | 50 mm | 56 mV |
| 0 mm | 132 mV |
© 2019 by the authors. Licensee MDPI, Basel, Switzerland. This article is an open access article distributed under the terms and conditions of the Creative Commons Attribution (CC BY) license (http://creativecommons.org/licenses/by/4.0/).
Share and Cite
Zhou, P.; Zhang, C.; Xu, K.; Ren, W. Defect Detection of Aluminium Plates Based on Near-Field Enhancement of Lamb Waves Generated Using an Electromagnetic Acoustic Tranducer. Sensors 2019, 19, 3529. https://doi.org/10.3390/s19163529
Zhou P, Zhang C, Xu K, Ren W. Defect Detection of Aluminium Plates Based on Near-Field Enhancement of Lamb Waves Generated Using an Electromagnetic Acoustic Tranducer. Sensors. 2019; 19(16):3529. https://doi.org/10.3390/s19163529
Chicago/Turabian StyleZhou, Peng, Chu Zhang, Ke Xu, and Weiping Ren. 2019. "Defect Detection of Aluminium Plates Based on Near-Field Enhancement of Lamb Waves Generated Using an Electromagnetic Acoustic Tranducer" Sensors 19, no. 16: 3529. https://doi.org/10.3390/s19163529
APA StyleZhou, P., Zhang, C., Xu, K., & Ren, W. (2019). Defect Detection of Aluminium Plates Based on Near-Field Enhancement of Lamb Waves Generated Using an Electromagnetic Acoustic Tranducer. Sensors, 19(16), 3529. https://doi.org/10.3390/s19163529

