Piezoelectric Shunt Stiffness in Rhombic Piezoelectric Stack Transducer with Hybrid Negative-Impedance Shunts: Theoretical Modeling and Stability Analysis
Abstract
1. Introduction
2. Materials and Methods
2.1. Modeling of the Rhombic Piezoelectric Stack Transducer
2.2. Concept of Controlled Stiffness with Hybrid Negative-Impedance Shunts
2.2.1. Model for the Negative-Impedance Shunt
2.2.2. Negative Capacitance in Series with Resistance
2.2.3. Negative Capacitance in Parallel with Resistance
2.2.4. Negative Inductance and Negative Capacitance in Series with Resistance
3. Results
3.1. Analysis of the PSS for the Three Hybrid Shunts
3.2. Stability Analysis
3.2.1. Routh–Hurwitz Criterion
3.2.2. Root Locus Analysis
- Negative capacitance in series with resistance shunt:
- Negative capacitance in parallel with resistance shunt:
- Negative inductance/negative resistance in series with resistance shunt:
- Negative capacitance in series with resistance Rs:
- Negative capacitance in parallel with resistance Rs:
- Negative inductance/negative resistance in series with resistance Rs:
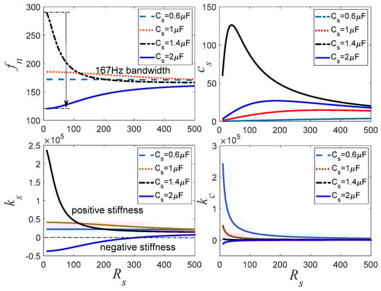
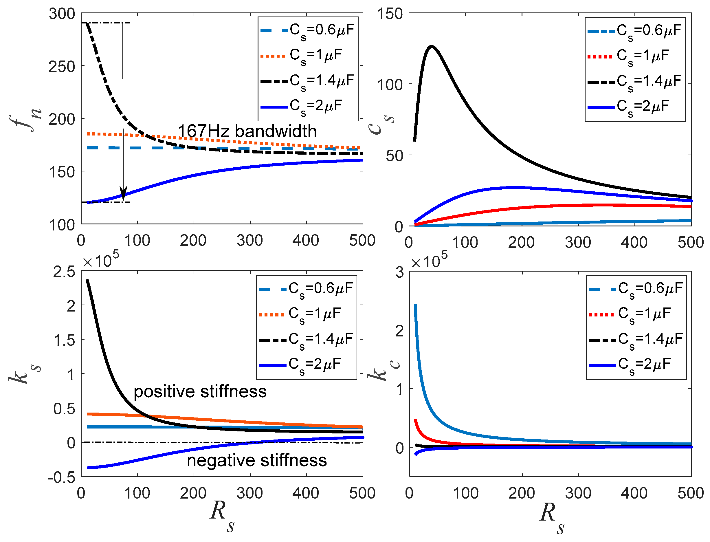
3.3. Frequency Response Analysis
3.3.1. Piezoelectric Shunt Stiffness
3.3.2. Low-Frequency Vibration Control
4. Conclusions
Author Contributions
Funding
Conflicts of Interest
References
- Marneffe, B.D.; Preumont, A. Vibration damping with negative capacitance shunts: Theory and experiment. Smart Mater. Struct. 2008, 17, 035015. [Google Scholar] [CrossRef]
- Ji, H.; Qiu, J.; Badel, A.; Zhu, K. Semi-active Vibration Control of a Composite Beam using an Adaptive SSDV Approach. J. Intell. Mater. Syst. Struct. 2009, 20, 401–412. [Google Scholar]
- Ji, H.; Qiu, J.; Zhu, K.; Chen, Y.; Badel, A. Multi-modal vibration control using a synchronized switch based on a displacement switching threshold. Smart Mater. Struct. 2009, 18, 035016. [Google Scholar] [CrossRef]
- Zhou, S.; Cao, J.; Lin, J. Theoretical analysis and experimental verification for improving energy harvesting performance of nonlinear monostable energy harvesters. Nonlinear Dyn. 2016, 86, 1599–1611. [Google Scholar] [CrossRef]
- Yan, B.; Zhou, S.; Litak, G. Nonlinear Analysis of the Tristable Energy Harvester with a Resonant Circuit for Performance Enhancement. Int. J. Bifurcat. Chaos 2018, 28, 1850092. [Google Scholar] [CrossRef]
- Tao, K.; Tang, L.; Wu, J.; Lye, S.W.; Chang, H.; Miao, J. Investigation of Multimodal Electret-Based MEMS Energy Harvester with Impact-Induced Nonlinearity. J. Microelectromech. Syst. 2018, 27, 276–288. [Google Scholar] [CrossRef]
- Zhou, S.; Zuo, L. Nonlinear dynamic analysis of asymmetric tristable energy harvesters for enhanced energy harvesting. Commun. Nonlinear Sci. Numer. Simul. 2018, 61, 271–284. [Google Scholar] [CrossRef]
- Erturk, A.; Inman, D.J. Base excitation problem for cantilevered structures and correction of the lumped-parameter electromechanical model. In Piezoelectric Energy Harvesting; John Wiley and Sons, Ltd.: Hoboken, NJ, USA, 2011. [Google Scholar]
- Song, G.; Li, W.; Wang, B.; Ho, S.C.M. A Review of Rock Bolt Monitoring Using Smart Sensors. Sensors 2017, 17, 776. [Google Scholar] [CrossRef] [PubMed]
- Song, G.; Li, H.; Gajic, B.; Zhou, W.; Chen, P.; Gu, H. Wind turbine blade health monitoring with piezoceramic-based wireless sensor network. Int. J. Smart Nano Mater. 2013, 4, 150–166. [Google Scholar] [CrossRef]
- Forward, R.L. Electronic damping of vibrations in optical structures. Appl. Opt. 1979, 18, 690–697. [Google Scholar] [CrossRef]
- Hagood, N.W.; Von Flotow, A. Damping of structural vibrations with piezoelectric materials and passive electrical networks. J. Sound Vib. 1991, 146, 243–268. [Google Scholar] [CrossRef]
- Kim, J.; Ryu, Y.; Choi, S. New shunting parameter tuning method for piezoelectric damping based on measured electrical impedance. Smart Mater. Struct. 2000, 9, 868–877. [Google Scholar] [CrossRef]
- Hogsberg, J.; Krenk, S. Calibration of piezoelectric RL shunts with explicit residual mode correction. J. Sound Vib. 2017, 386, 65–81. [Google Scholar] [CrossRef]
- Gardonio, P.; Casagrande, D. Shunted piezoelectric patch vibration absorber on two-dimensional thin structures: Tuning considerations. J. Sound Vib. 2017, 395, 26–47. [Google Scholar] [CrossRef]
- Hollkamp, J.J. Multimodal Passive Vibration Suppression with Piezoelectric Materials and Resonant Shunts. J. Intell. Mater. Syst. Struct. 1994, 5, 49–57. [Google Scholar] [CrossRef]
- Wu, S.-Y. Method for Multiple Mode Piezoelectric Shunting with Single PZT Transducer for Vibration Control. J. Intell. Mater. Syst. Struct. 1998, 9, 991–998. [Google Scholar] [CrossRef]
- Behrens, S.; Moheimani, S.O.R.; Fleming, A.J. Multiple mode current flowing passive piezoelectric shunt controller. J. Sound Vib. 2003, 266, 929–942. [Google Scholar] [CrossRef]
- Fleming, A.J.; Behrens, S.; Moheimani, S.O.R. Reducing the inductance requirements of piezoelectric shunt damping systems. Smart Mater. Struct. 2003, 12, 57–64. [Google Scholar] [CrossRef]
- Choi, S.-B.; Kim, H.S.; Park, J.-S. Multi-mode vibration reduction of a CD-ROM drive base using a piezoelectric shunt circuit. J. Sound Vib. 2007, 300, 160–175. [Google Scholar] [CrossRef]
- Lim, S.C.; Choi, S.B. Vibration control of an HDD disk-spindle system utilizing piezoelectric bimorph shunt damping: I. Dynamic analysis and modeling of the shunted drive. Smart Mater. Struct. 2007, 16, 891–900. [Google Scholar] [CrossRef]
- Lim, S.C.; Choi, S.B. Vibration control of an HDD disk-spindle system using piezoelectric bimorph shunt damping: II. Optimal design and shunt damping implementation. Smart Mater. Struct. 2007, 16, 901–908. [Google Scholar] [CrossRef]
- Sun, H.; Yang, Z.; Li, K.; Li, B.; Xie, J.; Wu, D.; Zhang, L. Vibration suppression of a hard disk driver actuator arm using piezoelectric shunt damping with a topology-optimized PZT transducer. Smart Mater. Struct. 2009, 18, 065010. [Google Scholar] [CrossRef]
- Casagrande, D.; Gardonio, P.; Zilletti, M. Smart panel with time-varying shunted piezoelectric patch absorbers for broadband vibration control. J. Sound Vib. 2017, 400, 288–304. [Google Scholar] [CrossRef]
- Yigit, U.; Cigeroglu, E.; Budak, E. Chatter reduction in boring process by using piezoelectric shunt damping with experimental verification. Mech. Syst. Signal Process. 2017, 94, 312–321. [Google Scholar] [CrossRef]
- Liao, Y.; Sodano, H.A. Piezoelectric damping of resistively shunted beams and optimal parameters for maximum damping. J. Vib. Acoust. 2010, 132, 041014. [Google Scholar] [CrossRef]
- Soltani, P.; Kerschen, G.; Tondreau, G.; Deraemaeker, A. Piezoelectric vibration damping using resonant shunt circuits: An exact solution. Smart Mater. Struct. 2014, 23, 125014. [Google Scholar] [CrossRef]
- Berardengo, M.; Manzoni, S.; Conti, A.M. Multi-mode passive piezoelectric shunt damping by means of matrix inequalities. J. Sound Vib. 2017, 405, 287–305. [Google Scholar] [CrossRef]
- Hogsberg, J.; Krenk, S. Balanced calibration of resonant shunt circuits for piezoelectric vibration control. J. Intell. Mater. Syst. Struct. 2012, 23, 1937–1948. [Google Scholar] [CrossRef]
- Wang, W.; Hua, X.; Wang, X.; Chen, Z.; Song, G. Optimum design of a novel pounding tuned mass damper under harmonic excitation. Smart Mater. Struct. 2017, 26, 055024. [Google Scholar] [CrossRef]
- Dominik, N.; Andrew, F.; Moheimani, S.O.R.; Manfred, M. Adaptive multi-mode resonant piezoelectric shunt damping. Smart Mater. Struct. 2004, 13, 1025–1035. [Google Scholar]
- Bao, B.; Guyomar, D.; Lallart, M. Vibration reduction for smart periodic structures via periodic piezoelectric arrays with nonlinear interleaved-switched electronic networks. Mech. Syst. Signal Process. 2017, 82, 230–259. [Google Scholar] [CrossRef]
- Ji, H.; Qiu, J.; Cheng, J.; Inman, D. Application of a Negative Capacitance Circuit in Synchronized Switch Damping Techniques for Vibration Suppression. J. Vib. Acoust. 2011, 133, 041015. [Google Scholar] [CrossRef]
- Fleming, A.J.; Moheimani, S.O.R. Control orientated synthesis of high-performance piezoelectric shunt impedances for structural vibration control. IEEE Trans. Control Syst. Technol. 2005, 13, 98–112. [Google Scholar] [CrossRef]
- Behrens, S.; Fleming, A.J.; Moheimani, S.O.R. A broadband controller for shunt piezoelectric damping of structural vibration. Smart Mater. Struct. 2003, 12, 18–28. [Google Scholar] [CrossRef]
- Yan, B.; Zhang, X.; Niu, H. Design and test of a novel isolator with negative resistance electromagnetic shunt damping. Smart Mater. Struct. 2012, 21, 035003. [Google Scholar] [CrossRef]
- Yan, B.; Zhang, X.; Luo, Y.; Zhang, Z.; Xie, S.; Zhang, Y. Negative impedance shunted electromagnetic absorber for broadband absorbing: Experimental investigation. Smart Mater. Struct. 2014, 23, 125044. [Google Scholar] [CrossRef]
- Yan, B.; Wang, K.; Kang, C.-X.; Zhang, X.-N.; Wu, C.-Y. Self-Sensing Electromagnetic Transducer for Vibration Control of Space Antenna Reflector. IEEE ASME Trans. Mechatron. 2017, 22, 1944–1951. [Google Scholar] [CrossRef]
- Stabile, A.; Aglietti, G.S.; Richardson, G.; Smet, G. Design and verification of a negative resistance electromagnetic shunt damper for spacecraft micro-vibration. J. Sound Vib. 2017, 386, 38–49. [Google Scholar] [CrossRef]
- Zhang, Y.; Chan, Y.-J.; Huang, L. Thin broadband noise absorption through acoustic reactance control by electro-mechanical coupling without sensor. J. Acoust. Soc. Am. 2014, 135, 2738–2745. [Google Scholar] [CrossRef]
- Neubauer, M.; Oleskiewicz, R.; Popp, K.; Krzyzynski, T. Optimization of damping and absorbing performance of shunted piezo elements utilizing negative capacitance. J. Sound Vib. 2006, 298, 84–107. [Google Scholar] [CrossRef]
- Manzoni, S.; Moschini, S.; Redaelli, M.; Vanali, M. Vibration attenuation by means of piezoelectric transducer shunted to synthetic negative capacitance. J. Sound Vib. 2012, 331, 4644–4657. [Google Scholar] [CrossRef]
- Beck, B.S.; Cunefare, K.A.; Collet, M. The power output and efficiency of a negative capacitance shunt for vibration control of a flexural system. Smart Mater. Struct. 2013, 22, 065009. [Google Scholar] [CrossRef]
- Han, X.; Neubauer, M.; Wallaschek, J. Improved piezoelectric switch shunt damping technique using negative capacitance. J. Sound Vib. 2013, 332, 7–16. [Google Scholar] [CrossRef]
- Neubauer, M.; Wallaschek, J. Vibration damping with shunted piezoceramics: Fundamentals and technical applications. Mech. Syst. Signal Process. 2013, 36, 36–52. [Google Scholar] [CrossRef]
- Gripp, J.A.B.; Goes, L.C.S.; Heuss, O.; Scinocca, F. An adaptive piezoelectric vibration absorber enhanced by a negative capacitance applied to a shell structure. Smart Mater. Struct. 2015, 24, 125017. [Google Scholar] [CrossRef]
- Pohl, M. An adaptive negative capacitance circuit for enhanced performance and robustness of piezoelectric shunt damping. J. Intell. Mater. Syst. Struct. 2017, 28, 2633–2650. [Google Scholar] [CrossRef]
- Yan, B.; Wang, K.; Hu, Z.; Wu, C.; Zhang, X. Shunt damping vibration control technology: A review. Appl. Sci. 2017, 7, 494. [Google Scholar] [CrossRef]
- Pohl, M.; Rose, M. Piezoelectric shunt damping of a circular saw blade with autonomous power supply for noise and vibration reduction. J. Sound Vib. 2016, 361, 20–31. [Google Scholar] [CrossRef]
- Vaclavik, J.; Kodejska, M.; Mokry, P. Wall-plug efficiency analysis of semi-active piezoelectric shunt damping systems. J. Vib. Control 2016, 22, 2582–2590. [Google Scholar] [CrossRef]
- Preumont, A.; de Marneffe, B.; Deraemaeker, A.; Bossens, F. The damping of a truss structure with a piezoelectric transducer. Comput. Struct. 2008, 86, 227–239. [Google Scholar] [CrossRef]
- Heuss, O.; Salloum, R.; Mayer, D.; Melz, T. Tuning of a vibration absorber with shunted piezoelectric transducers. Arch. Appl. Mech. 2016, 86, 1715–1732. [Google Scholar] [CrossRef]
- Zheng, W.; Yan, B.; Ma, H.; Wang, R.; Jia, J.; Zhang, L.; Wu, C. Tuning of natural frequency with electromagnetic shunt mass. Smart Mater. Struct. 2019, 28, 25–26. [Google Scholar] [CrossRef]
- Chen, J.; Zhang, C.; Xu, M.; Zi, Y.; Zhang, X. Rhombic micro-displacement amplifier for piezoelectric actuator and its linear and hybrid model. Mech. Syst. Signal Process. 2015, 50, 580–593. [Google Scholar] [CrossRef]
- Yan, B.; Ma, H.; Zheng, W.; Jian, B.; Wang, K.; Wu, C. Nonlinear electromagnetic shunt damping for nonlinear vibration isolators. IEEE ASME Trans. Mechatron. 2019. [Google Scholar] [CrossRef]
- Ibrahim, R. Recent advances in nonlinear passive vibration isolators. J. Sound Vib. 2008, 314, 371–452. [Google Scholar] [CrossRef]
- Yang, K.; Harne, R.; Wang, K.; Huang, H. Dynamic stabilization of a bistable suspension system attached to a flexible host structure for operational safety enhancement. J. Sound Vib. 2014, 333, 6651–6661. [Google Scholar] [CrossRef]
- Yan, B.; Ma, H.; Zhao, C.; Wu, C.; Wang, K.; Wang, P. A vari-stiffness nonlinear isolator with magnetic effects: Theoretical modeling and experimental verification. Int. J. Mech. Sci. 2018, 148, 745–755. [Google Scholar] [CrossRef]
- Carrella, A.; Brennan, M.; Waters, T. Static analysis of a passive vibration isolator with quasi-zero-stiffness characteristic. J. Sound Vib. 2007, 301, 678–689. [Google Scholar] [CrossRef]
- Yan, B.; Ma, H.; Jian, B.; Wang, K.; Wu, C. Nonlinear dynamics analysis of a bi-state nonlinear vibration isolator with symmetric permanent magnets. Nonlinear Dyn. 2019, 1–21. [Google Scholar] [CrossRef]


















| Parameters (Unit) | Value |
|---|---|
| Piezoelectric charge coefficient, d33 (C/N) | 400 × 10−12 |
| Capacitance of the stack, Cp (μF) | 1.478 |
| R (Ω) | 1 × 106 |
| TR | 1 |
| Ls (mH) | 10 |
| Mass, m (kg) | 0.1 |
| Natural frequency of transducer, fn (Hz) | 154.9 |
| Negative Capacitance | Adjustable Resistance | Damping Ratio, ζ |
|---|---|---|
| Resistive load | Rs = 100 Ω | 0.005 |
| Cs = 2 μF | Rs = 5 Ω | 0.0706 |
| Rs = 10 Ω | 0.0973 | |
| Rs = 50 Ω | 0.2553 | |
| Rs = 170 Ω | 0.4721 | |
| Cs = 1.4 μF | Rs = 10 kΩ | 0.0381 |
| Rs = 3 kΩ | 0.0648 | |
| Rs = 500 Ω | 0.1684 | |
| Rs = 100 Ω | 0.26 |
© 2019 by the authors. Licensee MDPI, Basel, Switzerland. This article is an open access article distributed under the terms and conditions of the Creative Commons Attribution (CC BY) license (http://creativecommons.org/licenses/by/4.0/).
Share and Cite
He, L.; Zheng, W.; Zhao, C.; Wu, C. Piezoelectric Shunt Stiffness in Rhombic Piezoelectric Stack Transducer with Hybrid Negative-Impedance Shunts: Theoretical Modeling and Stability Analysis. Sensors 2019, 19, 3387. https://doi.org/10.3390/s19153387
He L, Zheng W, Zhao C, Wu C. Piezoelectric Shunt Stiffness in Rhombic Piezoelectric Stack Transducer with Hybrid Negative-Impedance Shunts: Theoretical Modeling and Stability Analysis. Sensors. 2019; 19(15):3387. https://doi.org/10.3390/s19153387
Chicago/Turabian StyleHe, Leiying, Wenguang Zheng, Chenxue Zhao, and Chuanyu Wu. 2019. "Piezoelectric Shunt Stiffness in Rhombic Piezoelectric Stack Transducer with Hybrid Negative-Impedance Shunts: Theoretical Modeling and Stability Analysis" Sensors 19, no. 15: 3387. https://doi.org/10.3390/s19153387
APA StyleHe, L., Zheng, W., Zhao, C., & Wu, C. (2019). Piezoelectric Shunt Stiffness in Rhombic Piezoelectric Stack Transducer with Hybrid Negative-Impedance Shunts: Theoretical Modeling and Stability Analysis. Sensors, 19(15), 3387. https://doi.org/10.3390/s19153387

