Active Monitoring of Fatigue Crack in the Weld Zone of Bogie Frames Using Ultrasonic Guided Waves
Abstract
1. Introduction
2. Description of System Principles
3. Experimental Procedure
3.1. Design of Specimen
3.2. Experimental Setup
3.3. Experimental Results
4. Analysis of Experimental Results
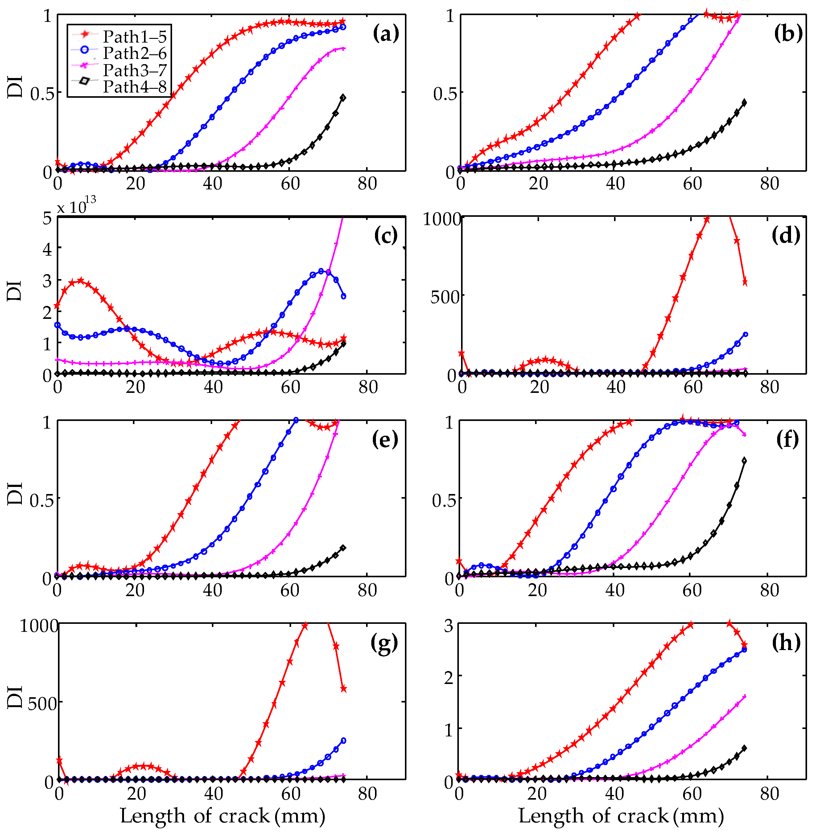
4.1. Monitoring Using Signals from a Single Actuator–Sensor Path
- 1)
- DI based on amplitude:
- 2)
- DI based on root mean square deviation:
- 3)
- DI based on mean variance:
- 4)
- DI based on energy (Four Different Representations):
- 5)
- DI based on amplitude attenuation:
4.2. Monitoring Using Signal Fusion for All Actuator–Sensor Paths
5. Discussion
5.1. Ultrasonic Guided Waves in Steel Q235 Plate
5.2. Calibration Procedure for Crack Quantification
6. Conclusions
Author Contributions
Funding
Conflicts of Interest
Nomenclature
| , | piezoelectric constants |
| sn | the number of sensors |
| damage index | |
| the amplitude of baseline signal | |
| the amplitude of current signal | |
| the baseline signal | |
| the current signal | |
| the average of signal | |
| (n = 0,1, …) | the nth symmetrical mode |
| (n = 0,1, …) | the nth asymmetrical mode |
References
- Hong, M.; Wang, Q.; Su, Z.; Cheng, L. In situ health monitoring for bogie systems of CRH380 train on Beijing–Shanghai high-speed railway. Mech. Syst. Signal Process. 2014, 45, 378–395. [Google Scholar] [CrossRef]
- Miyajima, N.; Matsumoto, A.; Suda, Y.; Sato, Y.; Ohno, H.; Michitsuji, Y.; Komiyama, M.; Tanimoto, M.; Kishimoto, Y.; Sato, Y.; et al. Multibody Dynamics Simulation and Bogie Structure Evaluation for Active-Bogie Steering Truck. In Proceedings of the ASME 2007 International Mechanical Engineering Congress and Exposition, American Society of Mechanical Engineers, San Antonio, TX, USA, 1 January 2007. [Google Scholar]
- Šťastniak, P.; Moravčík, M.; Baran, P.; Smetanka, L. Computer aided structural analysis of newly developed railway bogie frame. MATEC Web Conf. EDP Sci. 2018, 157, 02051. [Google Scholar] [CrossRef][Green Version]
- Lu, Y.; Zheng, H.; Zeng, J.; Chen, T.; Wu, P. Fatigue life reliability evaluation in a high-speed train bogie frame using accelerated life and numerical test. Reliab. Eng. Syst. Saf. 2019, 188, 221–232. [Google Scholar] [CrossRef]
- Kundu, P.; Darpe, A.K.; Singh, S.P.; Gupta, K. A Review on Condition Monitoring Technologies for Railway Rolling Stock. In Proceedings of the PHM Society European Conference, Philadelphia, PA, USA, 13 July 2018. [Google Scholar]
- Neslušan, M.; Minárik, P.; Grenčík, J.; Trojan, K.; Zgútová, K. Non-destructive evaluation of the railway wheel surface damage after long-term operation via Barkhausen noise technique. Wear 2019, 420, 195–206. [Google Scholar] [CrossRef]
- Adamus, K.; Adamus, J.; Lacki, J. Ultrasonic testing of thin walled components made of aluminum based laminates. Compos. Struct. 2018, 202, 95–101. [Google Scholar] [CrossRef]
- Turan, M.E.; Aydin, F.; Sun, Y.; Cetin, M. Residual stress measurement by strain gauge and X-ray diffraction method in different shaped rails. Eng. Fail. Anal. 2019, 96, 525–529. [Google Scholar] [CrossRef]
- Cavuto, A.; Martarelli, M.; Pandarese, G.; Revel, G.M.; Tomasini, E.P. Train wheel diagnostics by laser ultrasonics. Measurement 2016, 80, 99–107. [Google Scholar] [CrossRef]
- Qing, X.; Li, W.; Wang, Y.; Sun, H. Piezoelectric transducer-based structural health monitoring for aircraft applications. Sensors 2019, 19, 545. [Google Scholar] [CrossRef]
- Aliabadi, M.H.F.; Khodaei, Z.S. Structural Health Monitoring for Advanced Composite Structures; World Scientific Publishing Europe Ltd.: London, UK, 2017. [Google Scholar]
- Chang, F. Ultra reliable and super safe structures for the new century. In Proceedings of the First European Workshop on Structural Health Monitoring, Paris, France, 10–12 July 2002; DEStech Publications: Lancaster, PA, USA, 2002. [Google Scholar]
- Yan, G.; Raetz, S.; Chigarev, N.; Gusev, V.E.; Tournat, V. Characterization of progressive fatigue damage in solid plates by laser ultrasonic monitoring of zero-group-velocity Lamb modes. Phys. Rev. Appl. 2018, 9, 061001. [Google Scholar] [CrossRef]
- Qing, X.P.; Chan, H.L.; Beard, S.J.; Kumar, A. An active diagnostic system for structural health monitoring of rocket engines. J. Intell. Mater. Syst. Struct. 2006, 17, 619–628. [Google Scholar] [CrossRef]
- Stehmeier, H.; Speckmann, H. Comparative vacuum monitoring (CVM). In Proceedings of the 2nd European Workshop on Structural Health Monitoring, Munich, Germany, 7–9 July 2004. [Google Scholar]
- Sun, H.; Wang, T.; Liu, Q.; Qing, X. A novel eddy current array sensing film for quantitatively monitoring hole-edge crack growth in bolted joints. Smart Mater. Struct. 2018, 28, 015018. [Google Scholar] [CrossRef]
- Ihn, J.B.; Chang, F.K. Detection and monitoring of hidden fatigue crack growth using a built-in piezoelectric sensor/actuator network: I. Diagnostics. Smart Mater. Struct. 2004, 13, 609. [Google Scholar] [CrossRef]
- Cho, H.; Lissenden, C.J. Structural health monitoring of fatigue crack growth in plate structures with ultrasonic guided waves. Struct. Health Monit. 2012, 11, 393–404. [Google Scholar] [CrossRef]
- Masserey, B.; Fromme, P. Fatigue crack growth monitoring using high-frequency guided waves. Struct. Health Monit. 2013, 12, 484–493. [Google Scholar] [CrossRef]
- Lu, Y.; Ye, L.; Su, Z.; Yang, C. Quantitative assessment of through-thickness crack size based on Lamb wave scattering in aluminum plates. NDT E Int. 2008, 41, 59–68. [Google Scholar] [CrossRef]
- Yeum, C.M.; Sohn, H.; Ihn, J.B. Lamb wave mode decomposition using concentric ring and circular piezoelectric transducers. Wave Motion 2011, 48, 358–370. [Google Scholar] [CrossRef]
- Ryles, M.; Ngau, F.H.; McDonald, I.; Staszewski, W.J. Comparative study of nonlinear acoustic and Lamb wave techniques for fatigue crack detection in metallic structures. Fatigue Fract. Eng. Mater. Struct. 2008, 31, 674–683. [Google Scholar] [CrossRef]
- Wang, K.; Fan, Z.; Su, Z. Orienting fatigue cracks using contact acoustic nonlinearity in scattered plate waves. Smart Mater. Struct. 2018, 27, 09LT01. [Google Scholar] [CrossRef]
- He, J.; Guan, X.; Peng, T.; Liu, Y.; Saxena, A.; Celaya, J.; Goebel, K. A multi-feature integration method for fatigue crack detection and crack length estimation in riveted lap joints using Lamb waves. Smart Mater. Struct. 2013, 22, 105007. [Google Scholar] [CrossRef]
- Banerjee, S.; Qing, X.P.; Beard, S.; Chang, F.K. Prediction of progressive damage state at the hot spots using statistical estimation. J. Intell. Mater. Syst. Struct. 2010, 21, 595–605. [Google Scholar] [CrossRef]
- Torkamani, S.; Roy, S.; Barkey, M.E.; Sazonov, E.; Burkett, S.; Kotru, S. A novel damage index for damage identification using guided waves with application in laminated composites. Smart Mater. Struct. 2014, 23, 095015. [Google Scholar] [CrossRef]
- Soman, R.; Kudela, P.; Balasubramaniam, K.; Singh, S.K.; Malinowski, P. A Study of Sensor Placement Optimization Problem for Guided Wave-Based Damage Detection. Sensors 2019, 19, 1856. [Google Scholar] [CrossRef] [PubMed]
- Abbas, M.; Shafiee, M. Structural health monitoring (SHM) and determination of surface defects in large metallic structures using ultrasonic guided waves. Sensors 2018, 18, 3958. [Google Scholar] [CrossRef] [PubMed]
- Yoon, S.C.; Jeon, C.S.; Kim, W.K.; Kim, J.G.; Chang, S.H. A Study on the Fatigue Test of Bogie Frame by Stress Measurement. Key Eng. Mater. 2008, 385, 645–648. [Google Scholar] [CrossRef]
- Zhou, C.; Su, Z.; Cheng, L. Probability-based diagnostic imaging using hybrid features extracted from ultrasonic Lamb wave signals. Smart Mater. Struct. 2011, 20, 125005. [Google Scholar] [CrossRef]
- Hong, M.; Su, Z.; Lu, Y.; Sohn, H.; Qing, X. Locating fatigue damage using temporal signal features of nonlinear Lamb waves. Mech. Syst. Signal Process. 2015, 60–61, 182–197. [Google Scholar] [CrossRef]
- Qing, X.; Beard, S.; Kumar, A.; Hannum, R. A real-time active smart patch system for monitoring the integrity of bonded repair on an aircraft structure. Smart Mater. Struct. 2006, 15, N66–N73. [Google Scholar] [CrossRef]
- Ebrahimkhanlou, A.; Dubuc, B.; Salamone, S. Damage localifigzation in metallic plate structures using edge-reflected lamb waves. Smart Mater. Struct. 2016, 25, 085035. [Google Scholar] [CrossRef]
- Wang, Y.; Guan, R.; Lu, Y. Nonlinear Lamb waves for fatigue damage identification in FRP-reinforced steel plates. Ultrasonics 2017, 80, 87–95. [Google Scholar] [CrossRef]
- Sun, H.; Zhang, A.; Wang, Y.; Qing, X. Baseline-free damage imaging for metal and composite plate-type structures based on similar paths. Int. J. Distrib. Sens. Netw. 2019, 15. [Google Scholar] [CrossRef]
- Qiu, L.; Yuan, S.; Mei, H.; Fang, F. An improved Gaussian mixture model for damage propagation monitoring of an aircraft wing spar under changing structural boundary conditions. Sensors 2016, 16, 291. [Google Scholar] [CrossRef] [PubMed]
- Liu, Y.; Zhou, S.; Ning, H.; Yan, C.; Hu, N. An Inverse Approach of Damage Identification Using Lamb Wave Tomography. Sensors 2019, 19, 2180. [Google Scholar] [CrossRef] [PubMed]












| Type | Density (kg\m3) | Curie Temp (°C) | Diameter (mm) | Thickness (mm) | Dielectric Constant | ||
|---|---|---|---|---|---|---|---|
| PZT-5A | 7750 | 360 | 8 | 0.33 | 1700 | -200 | 530 |
| s1 | s2 | s3 | s4 | s5 | s6 | s7 | s8 | s9 | s10 | |
|---|---|---|---|---|---|---|---|---|---|---|
| x | 30 | 45 | 60 | 75 | 90 | 30 | 45 | 60 | 75 | 90 |
| y | 50 | 50 | 50 | 50 | 50 | 0 | 0 | 0 | 0 | 0 |
| z | 0 | 0 | 0 | 0 | 0 | 50 | 50 | 50 | 50 | 50 |
© 2019 by the authors. Licensee MDPI, Basel, Switzerland. This article is an open access article distributed under the terms and conditions of the Creative Commons Attribution (CC BY) license (http://creativecommons.org/licenses/by/4.0/).
Share and Cite
Yan, J.; Jin, H.; Sun, H.; Qing, X. Active Monitoring of Fatigue Crack in the Weld Zone of Bogie Frames Using Ultrasonic Guided Waves. Sensors 2019, 19, 3372. https://doi.org/10.3390/s19153372
Yan J, Jin H, Sun H, Qing X. Active Monitoring of Fatigue Crack in the Weld Zone of Bogie Frames Using Ultrasonic Guided Waves. Sensors. 2019; 19(15):3372. https://doi.org/10.3390/s19153372
Chicago/Turabian StyleYan, Jiajia, Hashen Jin, Hu Sun, and Xinlin Qing. 2019. "Active Monitoring of Fatigue Crack in the Weld Zone of Bogie Frames Using Ultrasonic Guided Waves" Sensors 19, no. 15: 3372. https://doi.org/10.3390/s19153372
APA StyleYan, J., Jin, H., Sun, H., & Qing, X. (2019). Active Monitoring of Fatigue Crack in the Weld Zone of Bogie Frames Using Ultrasonic Guided Waves. Sensors, 19(15), 3372. https://doi.org/10.3390/s19153372

