Real-Time Surface EMG Pattern Recognition for Hand Gestures Based on an Artificial Neural Network
Abstract
1. Introduction
- (1)
- The proposed method is a gesture recognition method which can not only recognize the gesture in real time, but also has high recognition accuracy.
- (2)
- The main parameters, such as sliding window size and threshold of activation times, are analyzed.
2. Sensors and Data Acquisition
3. Method
3.1. Overview
3.2. Training Part
3.2.1. Preprocessing
3.2.2. Feature Extraction
3.2.3. Classifier
3.2.4. The ANN Classifier Training Algorithm
| Algorithm 1 |
| Input: Standardized raw training data Gesture labels Output: Trained ANN Classifier |
| Step 1 Preprocessing For each user’s data T Do muscle detection function absolute value function. 4th Butterworth filter End End Step 2 Feature extraction For each user’s data T Do End Feature vector D End Step 3 Classification For one user’s data T Train the ANN Classifier with Features D and Gesture labels yi End |
3.3. Testing Part
3.3.1. Preprocessing and Feature Extraction
3.3.2. Testing
3.3.3. Feature Extraction & Classification Algorithm
| Algorithm 2 |
| Input: Standardized raw testing data Output: Final output gesture |
| Step 1 Preprocessing For each user’s data T Do muscle detection function absolute value function. 4th Butterworth filter End End Step 2 Feature extraction For each user’s data T Do End Feature vector D End Step 3 Classification For each user’s data T Using ANN classifier return gesture labels yi the classifier , While Do End End |
4. Experimental Results
4.1. Recognition Accuracy
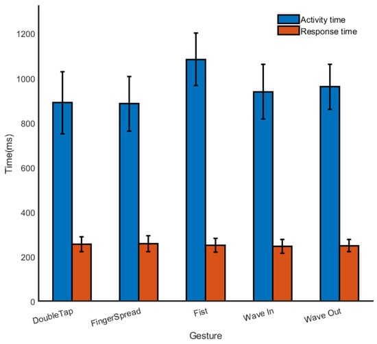
4.2. Real Time Pattern Recognition
4.3. Sliding Windows Size
4.4. Threshold of Activation Times
4.5. Comparison with Other Methods
5. Conclusions
Author Contributions
Funding
Acknowledgments
Conflicts of Interest
References
- He, B.; Wang, S.; Liu, Y. Underactuated robotics: A review. Int. J. Adv. Robot. Syst. 2019, 16, 1–29. [Google Scholar] [CrossRef]
- Zhang, X.; Chen, X.; Li, Y.; Lantz, V.; Yang, J. A framework for hand gesture recognition based on accelerometer and emg sensors. IEEE Trans. Syst. Man Cybern. Syst. Part A Syst. Hum. 2011, 41, 1064–1076. [Google Scholar] [CrossRef]
- Yang, X.; Chen, X.; Cao, X.; Wei, S.; Zhang, X. Chinese sign language recognition based on an optimized tree-structure framework. IEEE J. Biomed. Health Inform. 2016, 21, 994–1004. [Google Scholar] [CrossRef] [PubMed]
- Ferreira, A.; Celeste, W.C.; Cheein, F.A.; Bastosfilho, T.F.; Sarcinellifilho, M.; Carelli, R. Human-machine interfaces based on emg and eeg applied to robotic systems. J. Neuroeng. Rehabil. 2008, 5, 10. [Google Scholar] [CrossRef] [PubMed]
- Liu, K.; Kehtarnavaz, N. Real-time robust vision-based hand gesture recognition using stereo images. J. Real-Time Image Process. 2016, 11, 201–209. [Google Scholar] [CrossRef]
- Zhang, Y.; Cao, C.; Cheng, J.; Lu, H. Egogesture: a new dataset and benchmark for egocentric hand gesture recognition. IEEE Trans. Multimedia 2018, 20, 1038–1050. [Google Scholar] [CrossRef]
- Taylor, J.; Luff, B.; Topalian, A.; Wood, E.; Valentin, J. Efficient and precise interactive hand tracking through joint, continuous optimization of pose and correspondences. ACM Trans. Graph. 2016, 35, 1–12. [Google Scholar] [CrossRef]
- Wachs, J.P.; Kölsch, M.; Stern, H.; Edan, Y. Vision-based hand-gesture applications. Commun. ACM 2011, 54, 60–71. [Google Scholar] [CrossRef]
- Gao, W.; Fang, G.; Zhao, D.; Chen, Y. A Chinese sign language recognition system based on SOFM/SRN/HMM. Pattern Recognit. 2004, 37, 2389–2402. [Google Scholar] [CrossRef]
- Wu, H.; Guo, H.; Su, Z.; Shi, M.; Chen, X.; Cheng, X.; Han, M.; Zhang, H. Fabric-based self-powered noncontact smart gloves for gesture recognition. J. Mater. Chem. 2018, 6, 20277–20288. [Google Scholar] [CrossRef]
- Benalcazar, M.E.; Motoche, C.; Zea, J.A.; Jaramillo, A.G.; Anchundia, C.E.; Zambrano, P.; Segura, M.; Benalcazar, P.F.; Perez, M. Real-time hand gesture recognition using the Myo armband and muscle activity detection. In Proceedings of the 2017 IEEE 2nd Ecuador Technical Chapters Meeting, Salinas, Ecuador, 16–20 October 2017; pp. 1–6. [Google Scholar]
- Benalcazar, M.E.; Jaramillo, A.G.; Zea, A.; Paez, A.; Andaluz, V.H. Hand gesture recognition using machine learning and the Myo armband. In Proceedings of the European Signal Processing Conference, Kos, Greece, 28 August–2 September 2017; pp. 1075–1079. [Google Scholar]
- Adib, F.; Hsu, C.; Mao, H.; Katabi, D.; Durand, F. Capturing the human figure through a wall. ACM Trans. Graph. 2015, 34. [Google Scholar] [CrossRef]
- Kundu, A.S.; Mazumder, O.; Lenka, P.K.; Bhaumik, S. Hand gesture recognition based omnidirectional wheelchair control using IMU and EMG sensors. J. Intell. Robot. Syst. 2017, 3, 1–13. [Google Scholar] [CrossRef]
- Ren, Z.; Yuan, J.; Meng, J.; Zhang, Z. Robust Part-Based Hand Gesture Recognition Using Kinect Sensor. IEEE Trans. Multimedia 2013, 15, 1110–1120. [Google Scholar] [CrossRef]
- Wang, S.; Song, J.; Lien, J.; Poupyrev, I.; Hilliges, O. Interacting with Soli: Exploring Fine-Grained Dynamic Gesture Recognition in the Radio-Frequency Spectrum. In Proceedings of the 29th Annual Symposium, ACM, Tokyo, Japan, 16–19 October 2016; pp. 851–860. [Google Scholar]
- Dardas, N.H.; Georganas, N.D. Real-time hand gesture detection and recognition using bag-of-features and support vector machine techniques. IEEE Trans. Instrum. Meas. 2011, 60, 3592–3607. [Google Scholar] [CrossRef]
- Benatti, S.; Milosevic, B.; Farella, E.; Gruppioni, E.; Benini, L. A Prosthetic Hand Body Area Controller Based on Efficient Pattern Recognition Control Strategies. Sensors 2017, 17, 869. [Google Scholar] [CrossRef] [PubMed]
- Joshi, A.; Monnier, C.; Betke, M.; Sclaroff, S. Comparing random forest approaches to segmenting and classifying gestures. Image Vis. Comput. 2017, 58, 86–95. [Google Scholar] [CrossRef]
- Sangjun, O.; Mallipeddi, R.; Lee, M. Real Time Hand Gesture Recognition Using Random Forest and Linear Discriminant Analysis. In Proceedings of the 3rd International Conference on Human-Agent Interaction, Daegu, Korea, 21–24 October 2015; pp. 279–282. [Google Scholar]
- Wang, Y.; Zhang, L. 3D hand gesture recognition based on Polar Rotation Feature and Linear Discriminant Analysis. In Proceedings of the Fourth International Conference on Intelligent Control and Information Processing, Beijing, China, 9–11 June 2013; pp. 215–219. [Google Scholar]
- Crepin, R.; Fall, C.L.; Mascret, Q.; Gosselin, C.; Campeau-Lecours, A.; Gosselin, B. Real-Time Hand Motion Recognition Using sEMG Patterns Classification. In Proceedings of the International Conference of the IEEE Engineering in Medicine and Biology Society, Honolulu, HI, USA, 18–21 July 2018; pp. 2655–2658. [Google Scholar]
- Ahsan, R.; Ibrahimy, M.I.; Khalifa, O.O. Electromygraphy (EMG) Signal based Hand Gesture Recognition using Artificial Neural Network (ANN). In Proceedings of the 4th International Conference on Mechatronics, Kuala Lumpur, Malaysia, 17–19 May 2011. [Google Scholar]
- Motoche, C.; Benalcázar, M.E. Real-time hand gesture recognition based on electromyographic signals and artificial neural networks. In Proceedings of the International Conference on Artificial Neural Networks, Rhodes, Greece, 4–7 October 2018; pp. 352–361. [Google Scholar]
- Molchanov, P.; Gupta, S.; Kim, K.; Kautz, J. Hand gesture recognition with 3D convolutional neural networks. In Proceedings of the IEEE Conference on Computer Vision and Pattern Recognition Workshops, Boston, MA, USA, 7–12 June 2015; pp. 1–7. [Google Scholar]
- Allard, U.C.; Nougarou, F.; Fall, C.L.; Giguère, P.; Gosselin, C.; Laviolette, F.; Gosselin, B. A convolutional neural network for robotic arm guidance using sEMG based frequency-features. In Proceedings of the IEEE/RSJ International Conference on Intelligent Robots and Systems (IROS), Daejeon, Korea, 9–14 October 2016; pp. 2464–2470. [Google Scholar]
- Nasri, N.; Orts-Escolano, S.; Gomez-Donoso, F.; Cazorla, M. Inferring Static Hand Poses from a Low-Cost Non-Intrusive sEMG Sensor. Sensors 2019, 19, 371. [Google Scholar] [CrossRef] [PubMed]
- Alangari, H.M.; Kanitz, G.; Tarantino, S.; Cipriani, C. Distance and mutual information methods for EMG feature and channel subset selection for classification of hand movements. Biomed. Signal Proces. 2016, 27, 24–31. [Google Scholar] [CrossRef]
- Phinyomark, A.; Phukpattaranont, P.; Limsakul, C. Feature reduction and selection for EMG signal classification. Expert Syst. Appl. 2012, 39, 7420–7431. [Google Scholar] [CrossRef]
- Phinyomark, A.; Limsakul, C.; Phukpattaranont, P. Application of wavelet analysis in EMG feature extraction for pattern classification. Meas. Sci. Rev. 2011, 11, 45–52. [Google Scholar] [CrossRef]
- Bastani, K.; Kim, S.; Kong, Z.; Nussbaum, M.A.; Huang, W. Online Classification and Sensor Selection Optimization with Applications to Human Material Handling Tasks Using Wearable Sensing Technologies. IEEE Trans. Hum.-Mach. Syst. 2016, 46, 485–497. [Google Scholar] [CrossRef]
- Too, J.; Abdullah, A.R.; Saad, N.M.; Ali, N.M.; Tengku, T.N.S. Deep Convolutional Neural Network for Featureless Electromyogram Pattern Recognition Using Time-Frequency Distribution. Sens. Lett. 2018, 16, 92–99. [Google Scholar] [CrossRef]
- Mizuno, H.; Tsujiuchi, N.; Koizumi, T. Forearm motion discrimination technique using real-time EMG signals. In Proceedings of the Annual International Conference of the IEEE Engineering in Medicine and Biology Society, Boston, MA, USA, 30 August–3 September 2011; pp. 4435–4438. [Google Scholar]
- Lu, Z.; Chen, X.; Zhang, X.; Tong, K.-Y.; Zhou, P. Real-Time Control of an Exoskeleton Hand Robot with Myoelectric Pattern Recognition. Int. J. Neural Syst. 2017, 27, 1750009. [Google Scholar] [CrossRef] [PubMed]
- van der Maaten, L.; Hinton, G. Visualizing data using t-SNE. J. Mach. Learn. Res. 2008, 9, 2579–2605. [Google Scholar]
- Tavakoli, M.; Benussi, C.; Lopes, P.A.; Osorio, L.B.; de Almeida, A.T. Robust hand gesture recognition with a double channel surface EMG wearable armband and SVM classifier. Biomed. Signal Process. 2018, 46, 121–130. [Google Scholar] [CrossRef]
- Wahid, M.F.; Tafreshi, R.; Al-Sowaidi, M.; Langari, R. Subject-independent hand gesture recognition using normalization and machine learning algorithms. J. Comput. Sci. 2018, 27, 69–76. [Google Scholar] [CrossRef]
- Coteallard, U.; Fall, C.L.; Drouin, A.; Campeaulecours, A.; Gosselin, C.; Glette, K.; Laviolette, F.; Gosselin, B. Deep learning for electromyographic hand gesture signal classification using transfer learning. IEEE Trans. Neural Syst. Rehabil. Eng. 2019, 27, 760–771. [Google Scholar] [CrossRef] [PubMed]
- Benalcázar, M.E.; Anchundia, C.E.; Zea, J.A.; Zambrano, P.; Jaramillo, A.G.; Segura, M. Real-Time Hand Gesture Recognition Based on Artificial Feed-Forward Neural Networks and EMG. In Proceedings of the 26th European Signal Processing Conference (EUSIPCO), Rome, Italy, 3–7 September 2018; pp. 1492–1496. [Google Scholar]










| Subject | Accuracy (%) | Response (ms) |
|---|---|---|
| Subject 1 | 98.67 | 214.73 |
| Subject 2 | 100.00 | 212.40 |
| Subject 3 | 98.00 | 205.43 |
| Subject 4 | 100.00 | 291.10 |
| Subject 5 | 100.00 | 292.20 |
| Subject 6 | 100.00 | 244.40 |
| Subject 7 | 99.33 | 215.73 |
| Subject 8 | 99.33 | 193.23 |
| Subject 9 | 93.33 | 233.37 |
| Subject 10 | 98.00 | 232.40 |
| Subject 11 | 98.00 | 210.87 |
| Subject 12 | 99.33 | 187.23 |
| Model | Accuracy (%) | Response (ms) |
|---|---|---|
| Evaluated models: | ||
| Proposed model | 98.7 | 227.76 |
| Model using only the preprocessed signals values | 96.0 | 238.03 |
| Model only using only the results from the bag of functions | 86.0 | 227.63 |
| Other methods with MYO armband sensors | ||
| MYO armband method [24] | 83.1 | X |
| Model using k-NN with DTW [11,24] | 89.5, 90.54 | X |
| Model using SVM [11,36] | 92, 93.99 | X |
| Model using ANN [24] | 90.7 | X |
| Model using Discriminant Analysis [37] | 94.54 | X |
| Model using Naive Bayes [37] | 81.76 | X |
| Model using Random Forest [37] | 89.92 | X |
| Model using deep learning [38] | 98.31 | X |
© 2019 by the authors. Licensee MDPI, Basel, Switzerland. This article is an open access article distributed under the terms and conditions of the Creative Commons Attribution (CC BY) license (http://creativecommons.org/licenses/by/4.0/).
Share and Cite
Zhang, Z.; Yang, K.; Qian, J.; Zhang, L. Real-Time Surface EMG Pattern Recognition for Hand Gestures Based on an Artificial Neural Network. Sensors 2019, 19, 3170. https://doi.org/10.3390/s19143170
Zhang Z, Yang K, Qian J, Zhang L. Real-Time Surface EMG Pattern Recognition for Hand Gestures Based on an Artificial Neural Network. Sensors. 2019; 19(14):3170. https://doi.org/10.3390/s19143170
Chicago/Turabian StyleZhang, Zhen, Kuo Yang, Jinwu Qian, and Lunwei Zhang. 2019. "Real-Time Surface EMG Pattern Recognition for Hand Gestures Based on an Artificial Neural Network" Sensors 19, no. 14: 3170. https://doi.org/10.3390/s19143170
APA StyleZhang, Z., Yang, K., Qian, J., & Zhang, L. (2019). Real-Time Surface EMG Pattern Recognition for Hand Gestures Based on an Artificial Neural Network. Sensors, 19(14), 3170. https://doi.org/10.3390/s19143170

