A Visual Measurement of Water Content of Crude Oil Based on Image Grayscale Accumulated Value Difference
Abstract
1. Introduction
2. Measurement for the Water Content of Crude Oil Based on Computer Vision
2.1. Method Overview
2.2. Proposed Algorithm
2.2.1. Image Preprocessing
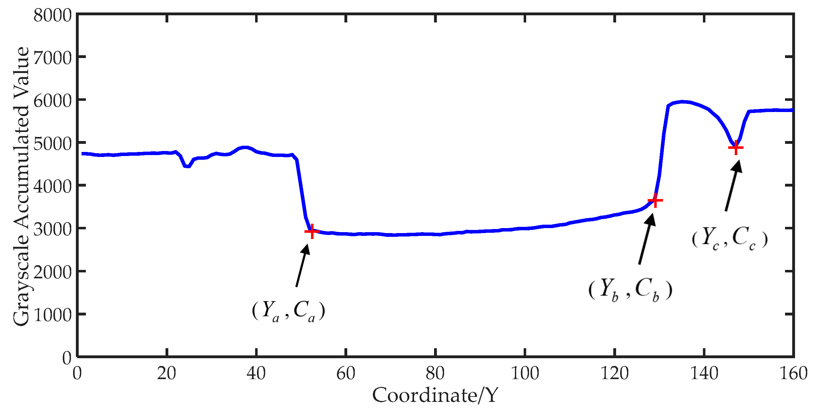
2.2.2. Accumulating the Gray Values
2.2.3. Finding First Derivative of the Accumulations
3. System Design and Implementation
3.1. Hardware Design
3.2. Software Design
4. Experimental Results
5. Conclusions
Author Contributions
Funding
Acknowledgments
Conflicts of Interest
References
- Fingas, M.; Fieldhouse, B. Studies on water-in-oil products from crude oils and petroleum products. Mar. Pollut. Bull. 2012, 64, 272–283. [Google Scholar] [CrossRef] [PubMed]
- Margolis, S.A.; Hagwood, C. The determination of water in crude oil and transformer oil reference materials. Anal. Bioanal. Chem. 2003, 376, 260–269. [Google Scholar] [CrossRef] [PubMed]
- Jones, D.S.J. Introduction to Crude Oil and Petroleum Processing; Springer International Publishing: Basel, Switzerland, 2014. [Google Scholar]
- Zhi, Q.L.; Xiao, Y.; Kun, Z.; Jian, X.W.; Wu, J.J.; Chen, J.; Li, J.Z. Non-contact measurement of the water content in crude oil with all-optical detection. Energy Fuels 2015, 29, 2919–2922. [Google Scholar]
- Makeyev, Y.V.; Lifanov, A.P.; Sovloukov, A.S. On-line microwave measurement of crude oil water content. In Proceedings of the 2009 19th International Crimean Conference Microwave & Telecommunication Technology, Sevastopol, Ukraine, 14–18 September 2009. [Google Scholar]
- Makeyev, Y.V.; Lifanov, A.P.; Sovlukov, A.S. Microwave measurement of water content in flowing crude oil with improved accuracy. In Proceedings of the 2014 24th International Crimean Conference Microwave & Telecommunication Technology, Sevastopol, Ukraine, 7–13 September 2014. [Google Scholar]
- Sharma, P.; Lao, L.; Falcone, G. A microwave cavity resonator sensor for water-in-oil measurements. Sens. Actuators B Chem. 2018, 262, 200–210. [Google Scholar] [CrossRef]
- García-Golding, F.; Giallorenzo, M.; Moreno, N.; Chang, V. Sensor for determining the water content of oil-in-water emulsion by specific admittance measurement. Sens. Actuators A Phys. 1995, 47, 337–341. [Google Scholar]
- Chang, L.; Xiu, G.Y. Research on ultra short wave method to measure water content of crude oil. In Proceedings of the 2008 9th International Conference on Signal Processing, Beijing, China, 26–29 October 2008; pp. 2956–2959. [Google Scholar]
- Zhao, Y.; Yang, J.; Wang, J.Q.; Gui, F.X. High-accuracy low-water-content measurement of crude oil based on a near-infrared spectral absorption method. Opt. Eng. 2004, 43, 2216–2218. [Google Scholar] [CrossRef]
- Aslam, M.Z.; Tang, T.B. A High Resolution Capacitive Sensing System for the Measurement of Water Content in Crude Oil. Sensors 2014, 14, 11351–11361. [Google Scholar] [CrossRef]
- Aslam, M. Differential capacitive sensor based interface circuit design for accurate measurement of water content in crude oil. In Proceedings of the 2014 5th International Conference on Intelligent and Advanced Systems (ICIAS), Kuala Lumpur, Malaysia, 3–5 June 2014. [Google Scholar]
- Manovyan, A.K.; Lozin, V.V.; Khachaturova, D.A. Laboratory unit for distillation of crude oils and products. Chem. Technol. Fuels Oils 1983, 19, 185–189. [Google Scholar] [CrossRef]
- Samborskaya, M.; Gusev, V.; Gryaznova, I.; Vdovushkina, N.; Volf, A. Crude Oil Distillation with Superheated Water Steam: Parametrical Sensitivity and Optimization. Procedia Chem. 2014, 10, 337–342. [Google Scholar] [CrossRef]
- De Alencar, A.L.S.; Fernandes, V.C.S.; De Amorim, M.B.; Costa, K.C.D.O.; Ferreira, A.L.D.S.; De Oliveira, E.C.; Oliveira, E.C. Quality versus economical aspects in determination of water in crude oils: Centrifuge method or potentiometric Karl Fischer titration. Pet. Sci. Technol. 2016, 34, 287–294. [Google Scholar] [CrossRef]
- Kågevall, I.; Åström, O.; Cedergren, A. Determination of water by flow-injection analysis with the karl fischer reagent. Anal. Chim. Acta 1980, 114, 199–208. [Google Scholar] [CrossRef]
- Zhang, X.M.; Zhang, Y.B.; Chen, B.; Li, P.; Guo, Y.C.; Li, J.H. Error Analysis on the Determination of Moisture in Oil by Karl Fischer Method. Appl. Mech. Mater. 2012, 155, 995–999. [Google Scholar] [CrossRef]
- Deligiannis, N.; Mota, J.F.C.; Cornelis, B.; Rodrigues, M.R.D.; Daubechies, I. Multi-Modal Dictionary Learning for Image Separation with Application in Art Investigation. IEEE Trans. Image Process. 2017, 26, 751–764. [Google Scholar] [CrossRef] [PubMed]
- Dixit, R.; Naskar, R. Review, analysis and parameterisation of techniques for copy–move forgery detection in digital images. IET Image Process. 2017, 11, 746–759. [Google Scholar] [CrossRef]
- Gonzalez, R.C.; Woods, R.E. Digital Image Processing, 4th ed.; Pearson Education Ltd: New York, NY, USA, 2018. [Google Scholar]
- Takagi, Y.; Tsujikawa, A.; Takato, M.; Saito, T.; Kaida, M. Development of a noncontact liquid level measuring system using image processing. Water Sci. Technol. 1998, 37, 381–387. [Google Scholar] [CrossRef]
- Batagelj, V.; Bojkovski, J.; Pusnik, I.; Drnovsek, J. Automation of reading of liquid-in-glass thermometers. In Proceedings of the 17th IEEE Instrumentation and Measurement Technology Conference, Baltimore, MD, USA, 1–4 May 2000. [Google Scholar]
- Kasturi, R.; Chakravarthy, S.; Sharma, R. Noncontact level sensing technique using computer vision. IEEE Trans. Instrum. Meas. 2002, 51, 353–361. [Google Scholar]
- Yu, C. Liquid level measurement by using an image method. In Proceedings of the 2014 12th International Conference on Signal Processing (ICSP), Hangzhou, China, 19–23 October 2014. [Google Scholar]
- Wang, T.H.; Lu, M.C.; Hsu, C.C.; Chen, C.C.; Tan, J.D. Liquid-level measurement using a single digital camera. Measurement 2009, 42, 604–610. [Google Scholar] [CrossRef]
- Eppel, S. Tracing Liquid Level and Material Boundaries in Transparent Vessels Using the Graph Cut Computer Vision Approach. arXiv 2016, arXiv:1602.00177. [Google Scholar]
- Evans, F.; Volz, W.; Dorn, G.; Fröhlich, B.; M Roberts, D. Future trends in oil and gas visualization. In Proceedings of the Conference on Visualization, Boston, MA, USA, 27 October–1 November 2002; IEEE Computer Society: Washington, DC, USA, 2002. [Google Scholar]
- Guilherme, I.R.; Marana, A.N.; Papa, J.P.; Chiachia, G.; Afonso, L.C.; Miura, K.; Ferreira, M.V.; Torres, F. Petroleum well drilling monitoring through cutting image analysis and artificial intelligence techniques. Eng. Appl. Artif. Intell. 2011, 24, 201–207. [Google Scholar] [CrossRef]
- Wang, Q.; Wang, M.; Wei, K.; Qiu, C. Visualization of Gas-Oil-Water Flow in Horizontal Pipeline Using Dual-Modality Electrical Tomographic Systems. IEEE Sens. J. 2017, 17, 8146–8156. [Google Scholar] [CrossRef]
- Sun, X.; Wang, X. Geovisualization for Association Rule Mining in Oil and Gas Well Data. ISPRS Int. J. Geo-Inf. 2017, 6, 48. [Google Scholar] [CrossRef]
- Mercè, T.; Davinia, F.; Tomàs, P.; Marcel, T.; Miquel, N.; Jordi, P. An embedded real-time red peach detection system based on an OV7670 camera, ARM cortex-M4 processor and 3D look-up tables. Sensors 2012, 12, 14129–14143. [Google Scholar]
- Vandenbroucke, N.; Macaire, L.; Postaire, J.G. Color image segmentation by pixel classification in an adapted hybrid color space. Application to soccer image analysis. Comput. Vis. Image Underst. 2003, 90, 190–216. [Google Scholar] [CrossRef]
- Loesdau, M.; Chabrier, S.; Gabillon, A. Hue and Saturation in the RGB Color Space. In Proceedings of the Image and Signal Processing, Cherbourg, France, 30 June–2 July 2014; pp. 203–212. [Google Scholar]
- Podpora, M.; Paweł Korba´s, G.; Kawala-Janik, A. YUV vs RGB–Choosing a Color Space for Human-Machine Interaction. Comput. Sci. Inf. Syst. 2014, 3, 29–34. [Google Scholar]
- Nandal, A.; Bhaskar, V.; Dhaka, A. Contrast-based image enhancement algorithm using grey-scale and colour space. IET Signal Process. 2018, 12, 514–521. [Google Scholar] [CrossRef]
- Hyun, M.K.; Woo, S.K.; Dae, S.C. A new color transform for RGB coding. In Proceedings of the 2004 International Conference on Image Processing, Singapore, 24–27 October 2004. [Google Scholar]
- Lu, H.Y.; Liu, Q.G.; Wang, Y.H.; Deng, X.H. A two-stage parametric subspace model for efficient contrast-preserving decolorization. Front. Inf. Technol. Electron. Eng. 2017, 18, 1874–1882. [Google Scholar] [CrossRef]
- Podpora, M. YUV Vs RGB--A Comparsion of lossy compressions for human-priented man-machine interfaces. III SWD Conf. Proc. 2009, 1429–1533. [Google Scholar]
- Nobuhara, H.; Hirota, K.; Martino, F.D.; Pedrycz, W.; Sessa, S. Fuzzy Relation Equations for Compression/Decompression Processes of Colour Images in the RGB and YUV Colour Spaces. Fuzzy Optim. Decis. Mak. 2005, 4, 235–246. [Google Scholar] [CrossRef]
- Gunjal, B.L.; Mali, S.N. Comparative Performance Analysis of DWT-SVD BasedColor Image Watermarking Technique in YUV, RGB and YIQ Color Spaces. Int. J. Comput. Theory Eng. 2011, 3, 714–719. [Google Scholar] [CrossRef]
- Kekre, H.B.; Thepade, S.D. Color Traits Transfer to Grayscale Images. In Proceedings of the 2008 First International Conference on Emerging Trends in Engineering and Technology, Nagpur, Maharashtra, India, 16–18 July 2008. [Google Scholar]
- Chaves-González, J.M.; Vega-Rodríguez, M.A.; Gomez-Pulido, J.A.; Sánchez-Pérez, J.M. Detecting skin in face recognition systems: A colour spaces study. Digit. Signal Process. 2010, 20, 806–823. [Google Scholar] [CrossRef]
- Li, Y.X.; Li, Z.; Fan, J.H.; Jia, Z.Y. New approach to characterize the configuration of fractured rock surface indirectly. Surf. Rev. Lett. 2015, 22, 1550008. [Google Scholar] [CrossRef]
- Kuhn, G.R.; Oliveira, M.M.; Fernandes, L.A.F. An improved contrast enhancing approach for color-to-grayscale mappings. Vis. Comput. 2008, 24, 505–514. [Google Scholar] [CrossRef]
- David, R.M.; Carless, C.F.; Jitendra, M. Learning to Detect Natural Image Boundaries Using Local Brightness, Color, and Texture Cues. IEEE Trans. Pattern Anal. Mach. Int. 2004, 26, 530–549. [Google Scholar]
- Pfeifer, T.; Wiegers, L. Reliable tool wear monitoring by optimized image and illumination control in machine vision. Measurement 2000, 28, 209–218. [Google Scholar] [CrossRef]
- Sun, R.; Ji, N.; Guo, L.; Tian, Y.; Chen, X. The Measurement System of the Water Content in Crude Oil. In Proceedings of the 2010 International Conference on Measuring Technology and Mechatronics Automation, Changsha, China, 13–14 March 2010. [Google Scholar]












| Ordinary Environment | Add Lighting Compensation | |
|---|---|---|
| Light intensity when steady/Lux | 95 | 25 |
| Fluctuating ranges | −2.07%~+1.43% | −0.73%~+1.09% |
| Electric Dehydration Method | Proposed Method | |
|---|---|---|
| Measurement accuracy | −6.86% ~ +6.98% | −0.97%~+0.85% |
| Measurement range | 0%–40% | 0%–100% |
| Operation type | Human operation | Automatic control |
© 2019 by the authors. Licensee MDPI, Basel, Switzerland. This article is an open access article distributed under the terms and conditions of the Creative Commons Attribution (CC BY) license (http://creativecommons.org/licenses/by/4.0/).
Share and Cite
Liu, Q.; Chu, B.; Peng, J.; Tang, S. A Visual Measurement of Water Content of Crude Oil Based on Image Grayscale Accumulated Value Difference. Sensors 2019, 19, 2963. https://doi.org/10.3390/s19132963
Liu Q, Chu B, Peng J, Tang S. A Visual Measurement of Water Content of Crude Oil Based on Image Grayscale Accumulated Value Difference. Sensors. 2019; 19(13):2963. https://doi.org/10.3390/s19132963
Chicago/Turabian StyleLiu, Qing, Bo Chu, Jinye Peng, and Sheng Tang. 2019. "A Visual Measurement of Water Content of Crude Oil Based on Image Grayscale Accumulated Value Difference" Sensors 19, no. 13: 2963. https://doi.org/10.3390/s19132963
APA StyleLiu, Q., Chu, B., Peng, J., & Tang, S. (2019). A Visual Measurement of Water Content of Crude Oil Based on Image Grayscale Accumulated Value Difference. Sensors, 19(13), 2963. https://doi.org/10.3390/s19132963

