Optimal Power Allocation and Relay Location for DF Energy Harvesting Relaying Sensor Networks
Abstract
1. Introduction
- We consider the joint optimization of the PS ratio and RL for delay-sensitive transmission mode in the SWIPT enabled DF relaying sensor networks. Exploiting the instantaneous CSI at the relay node, a JPSRL scheme is proposed to facilitate efficient and reliable information transmission with the aid of a self-sustainable relay node.
- Using the instantaneous CSI, two joint optimization problems are formulated. To this regard, the optimal values of the PS ratio and RL are obtained for minimizing the outage probability and maximizing the average capacity, respectively. Utilizing the optimal values, the analytical expressions of the outage probability, the average capacity and the corresponding achievable throughputs are derived to characterize the performance of the proposed scheme.
2. System Model and Working Flow
2.1. System Model
- The destination node is difficult to directly obtain messages from the transmitted source signals, due to large path loss or severe shadowing [26]. Therefore, we ignore the direct link from the source node to the destination node. Meanwhile, it is assumed that the relay locates on the linear line between the source node and the destination node. In this case, the path loss in the system can be minimized [23].
- The relay has an energy-constrained battery, which can be charged by wireless energy transfer [13]. Meanwhile, we use the “save-then-forward” strategy to transmit information to the destination node [28]. Specifically, to ensure the causality constraint, the energy consumed at the relay node cannot exceed the amount it harvests in the every transmission block [29]. In addition, this consumption consists of the signal transmission and the circuit consumption [30].
- All of the channels follow independent and identically distributed quasi-static Rayleigh block fading. In addition, the channel gains are constant during each transmission block [13].
2.2. Working Flow
3. Outage Performance
3.1. Outage Probability
3.2. Achievable Throughput
4. Average Capacity
4.1. Source-to-Destination SNR
4.2. Average Capacity and Achievable Throughput
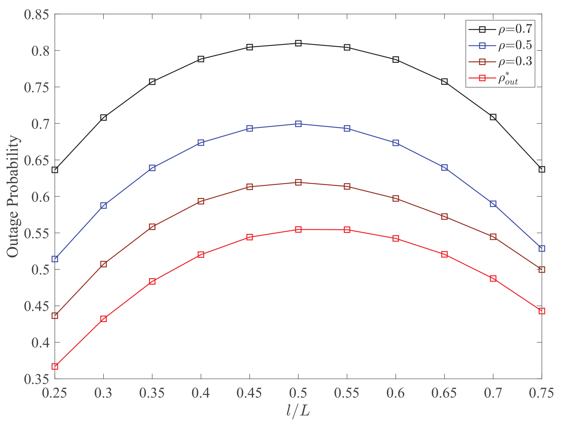
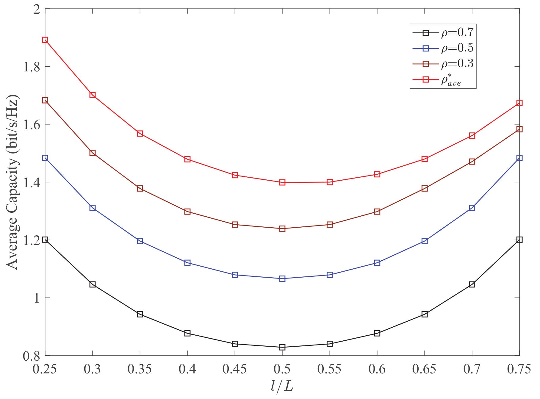
5. Simulation Results
6. Conclusions
Author Contributions
Funding
Conflicts of Interest
Abbreviations
| SWIPT | Simultaneous Wireless Information and Power Transfer |
| DF | Decode-and-Forward |
| PS | Power Splitting |
| RL | Relay Location |
| 5G | Fifth-Generation |
| FD | Full-Duplex |
| EH | Energy Harvesting |
| QoS | Quality of Service |
| RF | Radio Frequency |
| TS | Time Switching |
| AF | Amplify-and-Forward |
| CSI | Channel State Information |
| JPSRL | Joint Power Splitting and Relay Location |
| HD | Half-Duplex |
| RTS | Request-to-Send |
| AWGN | Additive White Gaussian Noise |
| SNR | Signals-to-Noise Ratio |
| Probability Density Function | |
| CDF | Cumulative Distribution Function |
Appendix A
Appendix B
Appendix C
References
- Andrews, J.G.; Buzzi, S.; Wan, C.; Hanly, S.; Lozano, A.; Soong, A.C.K.; Zhang, J.C. What Will 5G Be? IEEE J. Sel. Areas Commun. 2014, 32, 1065–1082. [Google Scholar] [CrossRef]
- Hossain, E.; Hasan, M. 5G Cellular: Key Enabling Technologies and Research Challenges. IEEE Commun. Mag. 2015, 18, 11–21. [Google Scholar] [CrossRef]
- Agiwal, M.; Roy, A.; Saxena, N. Next Generation 5G Wireless Networks: A Comprehensive Survey. IEEE Commun. Surv. Tutor. 2017, 18, 1617–1655. [Google Scholar] [CrossRef]
- Liu, D.; Wang, L.; Chen, Y.; Elkashlan, M.; Wong, K.K.; Schober, R.; Hanzo, L. User Association in 5G Networks: A Survey and an Outlook. IEEE Commun. Surv. Tutor. 2016, 18, 1018–1044. [Google Scholar] [CrossRef]
- Akan, O.B.; Cetinkaya, O.; Koca, C.; Ozger, M. Internet of Hybrid Energy Harvesting Things. IEEE Internet Things J. 2018, 5, 736–746. [Google Scholar] [CrossRef]
- Rajesh, R.; Sharma, V.; Viswanath, P. Capacity of Gaussian Channels With Energy Harvesting and Processing Cost. IEEE Trans. Inf. Theory 2014, 60, 2563–2575. [Google Scholar] [CrossRef]
- Perera, T.D.P.; Jayakody, D.N.K.; Sharma, S.K.; Chatzinotas, S.; Li, J. Simultaneous Wireless Information and Power Transfer (SWIPT): Recent Advances and Future Challenges. IEEE Commun. Surv. Tutor. 2018, 20, 264–302. [Google Scholar] [CrossRef]
- Chae, S.H.; Jeong, C.; Lim, S.H. Simultaneous Wireless Information and Power Transfer for Internet of Things Sensor Networks. IEEE Internet Things J. 2018, 5, 2829–2843. [Google Scholar] [CrossRef]
- Liu, L.; Zhang, R.; Chua, K.C. Wireless Information and Power Transfer: A Dynamic Power Splitting Approach. IEEE Trans. Commun. 2013, 61, 3990–4001. [Google Scholar] [CrossRef]
- Krikidis, I.; Timotheou, S.; Nikolaou, S.; Zheng, G.; Ng, D.W.K.; Schober, R. Simultaneous Wireless Information and Power Transfer in Modern Communication Systems. IEEE Commun. Mag. 2014, 52, 104–110. [Google Scholar] [CrossRef]
- Chu, Z.; Zhou, F.; Zhu, Z.; Hu, R.Q.; Pei, X. Wireless Powered Sensor Networks for Internet of Things: Maximum Throughput and Optimal Power Allocation. IEEE Internet Things J. 2018, 5, 310–321. [Google Scholar] [CrossRef]
- Ju, M.C.; Kang, K.M.; Hwang, K.S.; Jeong, C. Maximum Transmission Rate of PSR/TSR Protocols in Wireless Energy Harvesting DF-based Relay Networks. IEEE J. Sel. Area Commun. 2015, 33, 2701–2717. [Google Scholar] [CrossRef]
- Nasir, A.A.; Zhou, X.; Durrani, S.; Kennedy, R.A. Relaying Protocols for Wireless Energy Harvesting and Information Processing. IEEE Trans. Wirel. Commun. 2013, 12, 3622–3636. [Google Scholar] [CrossRef]
- Nasir, A.A.; Zhou, X.; Durrani, S.; Kebbedy, R.A. Throughput and Ergodic Capacity of Wireless Energy Harvesting based DF Relaying Network. In Proceedings of the 2014 IEEE International Conference on Communications (ICC), Sydney, NSW, Australia, 10–14 June 2014; pp. 4066–4071. [Google Scholar]
- Chen, Z.; Wang, B.; Xia, B.; Hui, L. Wireless Information and Power Transfer in Two-Way Amplify-and-Forward Relaying Channels. In Proceedings of the 2014 IEEE Global Conference on Signal and Information Processing (GlobalSIP), Atlanta, GA, USA, 3–5 December 2014; pp. 168–172. [Google Scholar]
- Gu, Y.; Aissa, S. RF-based Energy Harvesting in Decode-and-Forward Relaying Systems: Ergodic and Outage Capacities. IEEE Trans. Wirel. Commun. 2015, 14, 6425–6434. [Google Scholar] [CrossRef]
- Ding, Z.; Perlaza, S.M.; Esnaola, I.; Poor, H.V. Power Allocation Strategies in Energy Harvesting Wireless Cooperative Networks. IEEE Trans. Wirel. Commun. 2014, 13, 846–860. [Google Scholar] [CrossRef]
- Do, D.T. Optimal Throughput Under Time Power Switching Based Relaying Protocol in Energy Harvesting Cooperative Networks. Wirel. Pers. Commun. 2016, 87, 551–564. [Google Scholar] [CrossRef]
- Ye, Y.; Li, Y.; Dan, W.; Zhou, F.; Hu, R.Q.; Zhang, H. Optimal Transmission Schemes for DF Relaying Networks Using SWIPT. IEEE Trans. Veh. Technol. 2018, 67, 7062–7072. [Google Scholar] [CrossRef]
- Ashraf, M.; Ju, W.J.; Han, J.K.; Lee, K.G. Capacity Maximizing Adaptive Power Splitting Protocol for Cooperative Energy Harvesting Communication Systems. IEEE Commun. Lett. 2018, 22, 902–905. [Google Scholar] [CrossRef]
- Ojo, F.K.; Salleh, M.F.M. Throughput Analysis of a Hybridized Power-Time Splitting Based Relaying Protocol for Wireless Information and Power Transfer in Cooperative Networks. IEEE Access 2018, 6, 24137–24147. [Google Scholar] [CrossRef]
- Kang, X.; Liang, Y.C.; Nallanathan, A.; Garg, H.K.; Zhang, R. Optimal Power Allocation for Fading Channels in Cognitive Radio Networks: Ergodic Capacity and Outage Capacity. IEEE Trans. Wirel. Commun. 2009, 8, 940–950. [Google Scholar] [CrossRef]
- Ikki, S.S.; Uysal, M.; Ahmed, M.H. Joint Optimization of Power Allocation and Relay Location for Decode-and-Forward Dual-Hop Systems over Nakagami-m Fading Channels. In Proceedings of the 2009 IEEE Global Telecommunications Conference (GLOBALCOM), Honolulu, HI, USA, 30 November–4 December 2009; pp. 1–6. [Google Scholar]
- Mishra, D.; De, S. Optimal Power Allocation and Relay Placement for Wireless Information and RF Power Transfer. In Proceedings of the 2016 IEEE International Conference on Communications (ICC), Kuala Lumpur, Malaysia, 22–27 May 2016; pp. 1–6. [Google Scholar]
- Mishra, D.; De, S. i2RES: Integrated Information Relay and Energy Supply Assisted RF Harvesting Communication. IEEE Trans. Commun. 2017, 65, 1274–1288. [Google Scholar] [CrossRef]
- Wang, F.; Xu, W.; Li, S.; Feng, Z.; Lin, J. Outage Probability Analysis of DF Relay Networks with RF Energy Harvesting. In Proceedings of the 2015 IEEE Global Communications Conference (GLOBECOM), San Diego, CA, USA, 6–10 December 2015; pp. 1–5. [Google Scholar]
- Hanly, S.V.; Tse, D.N.C. Multiaccess Fading Channels-Part II: Delay-Limited Capacities. IEEE Trans. Inform. Theory 1998, 44, 2816–2831. [Google Scholar] [CrossRef]
- Luo, S.; Zhang, R.; Teng, J.L. Optimal Save-Then-Transmit Protocol for Energy Harvesting Wireless Transmitters. IEEE Trans. Wirel. Commun. 2013, 12, 1196–1207. [Google Scholar] [CrossRef]
- Ho, C.K.; Zhang, R. Optimal Energy Allocation for Wireless Communications with Energy Harvesting Constraints. IEEE Trans. Signal Process. 2011, 60, 4808–4818. [Google Scholar] [CrossRef]
- Cui, S.; Goldsmith, A.; Bahai, A. Energy-constrained modulation optimization. IEEE Trans. Wirel. Commun. 2005, 4, 2349–2360. [Google Scholar]
- Do, D.T. Time Power Switching Based Relaying Protocol in Energy Harvesting Mobile Node: Optimal Throughput Analysis. Mob. Inf. Syst. 2015, 2015, 1–8. [Google Scholar] [CrossRef]
- Liu, H.; Kim, J.; Kwak, K.S.; Poor, H.V. Power Splitting-Based SWIPT With Decode-and-Forward Full-Duplex Relaying. IEEE Trans. Wirel. Commun. 2016, 15, 7561–7577. [Google Scholar] [CrossRef]
- Su, Y.; Jiang, L.; He, C. Decode-and-Forward Relaying with Full-Duplex Wireless Information and Power Transfer. IET Commun. 2017, 11, 2110–2115. [Google Scholar] [CrossRef]
- Zhao, L.; Wang, X.; Riihonen, T. Transmission Rate Optimization of Full-Duplex Relay Systems Powered by Wireless Energy Transfer. IEEE Trans. Wirel. Commun. 2017, 16, 6438–6450. [Google Scholar] [CrossRef]
- Chen, Y.; Nan, Z.; Alouini, M.S. Wireless Energy Harvesting Using Signals From Multiple Fading Channels. IEEE Trans. Commun. 2017, 65, 5027–5039. [Google Scholar] [CrossRef]
- Gradshteyn, I.S.; Ryzhik, I. Table of Integrals, Series, and Products, 7th ed.; Elsevier: Amsterdam, The Netherlands, 2007. [Google Scholar]
- Goldsmith, A.J. Wireless Communications; Cambridge University Press: New York, NY, USA, 2005. [Google Scholar]
- Alkheir, A.A.; Ibnkahla, M. An accurate approximation of the exponential integral function using a sum of exponentials. IEEE Commun. Lett. 2013, 17, 1364–1367. [Google Scholar] [CrossRef]








© 2019 by the authors. Licensee MDPI, Basel, Switzerland. This article is an open access article distributed under the terms and conditions of the Creative Commons Attribution (CC BY) license (http://creativecommons.org/licenses/by/4.0/).
Share and Cite
Yang, S.; Lu, G.; Ren, Y. Optimal Power Allocation and Relay Location for DF Energy Harvesting Relaying Sensor Networks. Sensors 2019, 19, 2326. https://doi.org/10.3390/s19102326
Yang S, Lu G, Ren Y. Optimal Power Allocation and Relay Location for DF Energy Harvesting Relaying Sensor Networks. Sensors. 2019; 19(10):2326. https://doi.org/10.3390/s19102326
Chicago/Turabian StyleYang, Shizhao, Guangyue Lu, and Yuan Ren. 2019. "Optimal Power Allocation and Relay Location for DF Energy Harvesting Relaying Sensor Networks" Sensors 19, no. 10: 2326. https://doi.org/10.3390/s19102326
APA StyleYang, S., Lu, G., & Ren, Y. (2019). Optimal Power Allocation and Relay Location for DF Energy Harvesting Relaying Sensor Networks. Sensors, 19(10), 2326. https://doi.org/10.3390/s19102326

