Geo-Positioning Accuracy Improvement of Multi-Mode GF-3 Satellite SAR Imagery Based on Error Sources Analysis
Abstract
1. Introduction
2. Error Sources of GF-3 Satellite SAR Imagery
2.1. Echo Time Delay Error
2.2. Target Elevation Error
2.3. Ephemeris Error
2.4. Doppler Center Frequency Error
3. Methodology
3.1. Tie Point Sets Acquisition
3.2. Forward Intersection
3.3. Data Preprocessing
3.4. Free Block Adjustment
3.5. Weight Strategy
3.6. PCG Algorithm
- (1)
- Initialization: = 0, , , .
- (2)
- Iteration:
- (3)
- Estimation: if , or and , is the expected result; else return to the iteration step as shown in Equation (20).
4. Experimental Dataset
5. Experimental Results and Analysis
5.1. Tie Point Sets Acquisition
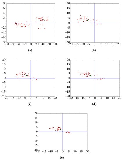
5.2. Free Block Adjustment
6. Conclusions
Author Contributions
Funding
Acknowledgments
Conflicts of Interest
References
- Qingjun, Z. System Design and Key Technologies of the GF-3 Satellite. Acta Geod. Cartogr. Sin. 2017, 46, 269–277. [Google Scholar]
- Sun, J.; Yu, W.; Deng, Y. The SAR Payload Design and Performance for the GF-3 Mission. Sensors 2017, 17, 2419. [Google Scholar] [CrossRef] [PubMed]
- Zhu, X.; He, F.; Ye, F.; Zhen, D.; Wu, M. Sidelobe Suppression with Resolution Maintenance for SAR Images via Sparse Representation. Sensors 2018, 18, 1589. [Google Scholar] [CrossRef] [PubMed]
- Xie, J.; Li, Z.; Zhou, C.; Fang, Y.; Zhang, Q. Speckle Filtering of GF-3 Polarimetric SAR Data with Joint Restriction Principle. Sensors 2018, 18, 1533. [Google Scholar] [CrossRef] [PubMed]
- Liu, X.; Liu, L.; Shao, Y.; Zhao, Q.; Zhang, Q.; Lou, L. Water Detection in Urban Areas from GF-3. Sensors 2018, 18, 1299. [Google Scholar] [CrossRef] [PubMed]
- Deng, Y.; Zhao, F.; Wang, Y. Brief Analysis on the Development and Application of Spaceborne SAR. J. Radars 2012, 1, 1–10. [Google Scholar] [CrossRef]
- Shimada, M.; Isoguchi, O.; Tadono, T.; Isono, K. PALSAR Radiometric and Geometric Calibration. IEEE Trans. Geosci. Remote Sens. 2009, 47, 3915–3932. [Google Scholar] [CrossRef]
- Covello, F.; Battazza, F.; Coletta, A.; Lopinto, E.; Fiorentino, C.; Pietranera, L.; Valentini, G.; Zoffoli, S. COSMO-SkyMed an existing opportunity for observing the Earth. J. Geodyn. 2010, 49, 171–180. [Google Scholar] [CrossRef]
- Schwerdt, M.; Bräutigam, B.; Bachmann, M.; Döring, B. Efficient Calibration and First Results of TerraSAR-X. In Proceedings of the Advanced SAR Workshop (ASAR), Vancouver, BC, Canada, 11–13 September 2007. [Google Scholar]
- Schwerdt, M.; Bräutigam, B.; Bachmann, M.; Döring, B.; Schrank, D.; Gonzalez, J.H. Final TerraSAR-X Calibration Results Based on Novel Efficient Methods. IEEE Trans. Geosci. Remote Sens. 2010, 48, 677–689. [Google Scholar] [CrossRef]
- Szeliski, R.; Shum, H.Y. Block Adjustment Method and Apparatus for Construction of Image Mosaics. U.S. Patent 5,987,164, 16 November 1999. [Google Scholar]
- Weser, T.; Rottensteiner, F.; Willneff, J.; Poon, J.; Fraser, C.S. Development and testing of a generic sensor model for pushbroom satellite imagery. Photogramm. Rec. 2008, 23, 255–274. [Google Scholar] [CrossRef]
- Habib, A.; Shin, S.W.; Kim, K.; Kim, C.; Bang, K.I.; Kim, E.M.; Lee, D.C. Comprehensive analysis of sensor modeling alternatives for high resolution imaging satellites. Photogramm. Eng. Remote Sens. 2007, 73, 1241–1251. [Google Scholar] [CrossRef]
- Grodecki, J.; Dial, G. Block adjustment of high-resolution satellite images described by rational polynomials. Photogramm. Eng. Remote Sens. 2003, 69, 59–68. [Google Scholar] [CrossRef]
- Teo, T.A.; Chen, L.C.; Liu, C.L.; Tung, Y.C.; Wu, W.Y. DEM-aided block adjustment for satellite images with weak convergence geometry. IEEE Trans. Geosci. Remote Sens. 2010, 48, 1907–1918. [Google Scholar]
- Cheng, C.; Zheng, S.; Liu, X.; Han, J. Space-Borne SAR Image Geo-Location in Mountain Area with Sparse GCP. In Proceedings of the International Symposium on Image and Data Fusion, Tengchong, China, 9–11 August 2011; pp. 1–4. [Google Scholar]
- Huang, Z.; He, S. A Method for Improving Positioning Accuracy of SAR Imagery Based on RFM. In Proceedings of the 2013 Fourth International Conference on Digital Manufacturing & Automation, Qingdao, China, 29–30 June 2013; pp. 43–46. [Google Scholar]
- Toutin, T.; Carbonneau, Y.; Chenier, R. Path processing and block bundle adjustment with RADARSAT-1 SAR images. In Proceedings of the IEEE International Geoscience and Remote Sensing Symposium, Toronto, ON, Canada, 24–28 June 2002; Volume 6, pp. 3432–3434. [Google Scholar]
- Tang, R.; Fritsch, D.; Cramer, M. New rigorous and flexible Fourier self-calibration models for airborne camera calibration. ISPRS J. Photogramm. Remote Sens. 2012, 71, 76–85. [Google Scholar] [CrossRef]
- Tang, R.; Fritsch, D.; Cramer, M.; Schneider, W. A Flexible Mathematical Method for Camera Calibration in Digital Aerial Photogrammetry. Photogramm. Eng. Remote Sens. 2015, 78, 1069–1077. [Google Scholar] [CrossRef]
- Dial, G.; Grodecki, J. Block adjustment with rational polynomial camera models. In Proceedings of the ASCM-ASPRS Annual Conventions, Washington, DC, USA, 19–26 April 2002. [Google Scholar]
- Wang, M.; Wang, Y.; Run, Y.; Cheng, Y.; Jin, S. Geometric Accuracy Analysis for GaoFen3 Stereo Pair Orientation. IEEE Geosci. Remote Sens. Lett. 2018, 15, 1–5. [Google Scholar] [CrossRef]
- Zhou, A.; Zhou, S.; Cao, J.; Fan, Y.; Hu, Y. Approaches for scaling DBSCAN algorithm to large spatial databases. J. Comput. Sci. Technol. 2000, 15, 509–526. [Google Scholar] [CrossRef]
- Quinlan, J.R. Induction of Decision Trees; Kluwer Academic Publishers: Dordrecht, The Netherlands, 1986; pp. 81–106. [Google Scholar]
- Hartigan, J.A.; Wong, M.A. Algorithm AS 136: A K-Means Clustering Algorithm. J. R. Stat. Soc. 1979, 28, 100–108. [Google Scholar] [CrossRef]
- Jing, L.U.; Guo, K.C.; Hong-Tao, L.U. Analysis of R-D Location Precision in Spaceborne SAR Image. Radar Sci. Technol. 2009, 2, 007. [Google Scholar]
- Jiang, W.; Yu, A.; Zhen, D.; Wang, Q. Comparison and Analysis of Geometric Correction Models of Spaceborne SAR. Sensors 2016, 16, 973. [Google Scholar] [CrossRef] [PubMed]
- Ding, C.; Liu, J.; Lei, B.; Qiu, X. Preliminary Exploration of Systematic Geolocation Accuracy of GF-3 SAR Satellite System. J. Radars 2017, 6, 11–16. [Google Scholar]
- Jehle, M.; Perler, D.; Small, D.; Schubert, A.; Meier, E. Estimation of Atmospheric Path Delays in TerraSAR-X Data using Models vs. Measurements. Sensors 2008, 8, 8479–8491. [Google Scholar] [CrossRef] [PubMed]
- Bräutigam, B.; Schwerdt, M.; Bachmann, M. The External Calibration of TerraSAR-X, a Multiple Mode SAR-System. In Proceedings of the 6th European Conference on Synthetic Aperture Radar, Dresden, Germany, 16–18 May 2006; p. 4. [Google Scholar]
- Chen, E.X.; Zeng-Yuan, L.I. Study on ENVISAT ASAR Image Geolocation Method. J. Image Graph. 2004, 9, 991–996. [Google Scholar]
- Feng, W.; You, H.J. Robust registration method of SAR and optical remote sensing images based on cascade transforms. J. Infrared Millim. Waves 2015, 34, 486–492. [Google Scholar]
- Jiao, N.; Kang, W.; Xiang, Y.; You, H. A Novel and Fast Corner Detection Method for Sar Imagery. Int. Arch. Photogramm. Remote Sens. Spat. Inf. Sci. 2017, 42, 605–608. [Google Scholar] [CrossRef]
- Wang, X.J.; Sun, H.; Guan, B. Evaluation for the gray-scale transformation of SAR images by the shape of histogram. Syst. Eng. Electron. 2004, 26, 1332–1335. [Google Scholar]
- Ding, Y.R.; Wang, J.D.; Qiu, Y.J.; Hai-Bo, Y.U. FAST Feature Detection Algorithm Based on Self-adaptive Threshold Selection. Command Control Simul. 2013, 35, 45–53. [Google Scholar]
- Jiao, N.; Wang, F.; You, H.; Yang, M.; Yao, X. Geometric Positioning Accuracy Improvement of ZY-3 Satellite Imagery Based on Statistical Learning Theory. Sensors 2018, 6, 1701. [Google Scholar] [CrossRef] [PubMed]
- Zheng, M.; Zhang, Y. DEM-Aided Bundle Adjustment with Multisource Satellite Imagery: ZY-3 and GF-1 in Large Areas. IEEE Geosci. Remote Sens. Lett. 2017, 13, 880–884. [Google Scholar] [CrossRef]
- Byröd, M.; Åström, K. Conjugate Gradient Bundle Adjustment. In European Conference on Computer Vision; Springer: Berlin/Heidelberg, Germany, 2010; Volume 6312, pp. 114–127. [Google Scholar]
- Byröd, M.; Åström, K. Bundle Adjustment using Conjugate Gradients with Multiscale Preconditioning. In Proceedings of the British Machine Vision Conference, BMVC 2009, London, UK, 7–10 September 2009; pp. 1–10. [Google Scholar]










| Imaging Mode | Incident Angle () | Resolution (m) | Orbit | Number |
|---|---|---|---|---|
| Fine Strip I (FSI) | 19∼50 | 5 | ASC | 6 |
| DEC | 17 | |||
| Fine Strip II (FSII) | 19∼50 | 10 | ASC | 0 |
| DEC | 2 | |||
| Standard Strip (SS) | 17∼50 | 25 | ASC | 4 |
| DEC | 2 | |||
| Full Polarized Strip I (QPSI) | 20∼41 | 8 | ASC | 8 |
| DEC | 3 | |||
| Full Polarized Strip II (QPSII) | 20∼38 | 25 | ASC | 7 |
| DEC | 3 |
| Item | Max | Min | RMSE | STD | |
|---|---|---|---|---|---|
| Error Before BA (m) | Long | 55.09 | −59.34 | 34.80 | 36.35 |
| Lat | 25.42 | −23.44 | 12.65 | 13.32 | |
| Plan | 59.35 | 9.04 | 40.00 | 11.28 | |
| Height | 27.67 | 14.94 | 19.53 | 2.22 | |
| Error After BA Weight Strategy 1 (m) | Long | 5.26 | −14.07 | 9.40 | 5.59 |
| Lat | 7.87 | −1.83 | 4.75 | 2.81 | |
| Plan | 21.99 | 0.75 | 10.53 | 4.44 | |
| Height | 12.07 | −1.51 | 7.73 | 1.58 | |
| Error After BA Weight Strategy 2 (m) | Long | 7.44 | −11.55 | 7.79 | 5.47 |
| Lat | 7.99 | −2.88 | 4.88 | 3.00 | |
| Plan | 20.72 | 2.29 | 9.19 | 3.51 | |
| Height | 11.30 | −0.95 | 7.22 | 1.31 | |
| Error After BA Weight Strategy 3 (m) | Long | 7.75 | −13.45 | 7.89 | 5.75 |
| Lat | 6.84 | −1.28 | 4.85 | 2.80 | |
| Plan | 20.50 | 2.51 | 9.26 | 3.36 | |
| Height | 12.01 | −1.70 | 7.54 | 1.79 | |
| Error After BA Weight Strategy 4 (m) | Long | 6.66 | −10.79 | 6.66 | 4.27 |
| Lat | 6.45 | −1.39 | 4.41 | 2.46 | |
| Plan | 17.99 | 2.68 | 7.99 | 3.27 | |
| Height | 9.81 | −2.80 | 6.75 | 1.17 | |
© 2018 by the authors. Licensee MDPI, Basel, Switzerland. This article is an open access article distributed under the terms and conditions of the Creative Commons Attribution (CC BY) license (http://creativecommons.org/licenses/by/4.0/).
Share and Cite
Jiao, N.; Wang, F.; You, H.; Qiu, X.; Yang, M. Geo-Positioning Accuracy Improvement of Multi-Mode GF-3 Satellite SAR Imagery Based on Error Sources Analysis. Sensors 2018, 18, 2333. https://doi.org/10.3390/s18072333
Jiao N, Wang F, You H, Qiu X, Yang M. Geo-Positioning Accuracy Improvement of Multi-Mode GF-3 Satellite SAR Imagery Based on Error Sources Analysis. Sensors. 2018; 18(7):2333. https://doi.org/10.3390/s18072333
Chicago/Turabian StyleJiao, Niangang, Feng Wang, Hongjian You, Xiaolan Qiu, and Mudan Yang. 2018. "Geo-Positioning Accuracy Improvement of Multi-Mode GF-3 Satellite SAR Imagery Based on Error Sources Analysis" Sensors 18, no. 7: 2333. https://doi.org/10.3390/s18072333
APA StyleJiao, N., Wang, F., You, H., Qiu, X., & Yang, M. (2018). Geo-Positioning Accuracy Improvement of Multi-Mode GF-3 Satellite SAR Imagery Based on Error Sources Analysis. Sensors, 18(7), 2333. https://doi.org/10.3390/s18072333

