Debonding Detection in Hidden Frame Supported Glass Curtain Walls Using the Nonlinear Ultrasonic Modulation Method with Piezoceramic Transducers
Abstract
1. Introduction
2. Mechanism and Methodology
2.1. Theoretical Fundamental of the Nonlinear Ultrasonic Modulation
2.2. Empirical Mode Decomposition (EMD)
2.3. Discrete Fourier Transform (DFT)
2.4. Debonding Evaluation Using Nonlinear Ultrasonic Modulation Method
- Step 1
- The sweep experiment of the hidden frame supported glass curtain wall was carried out. Then the frequency response characteristics was obtained.
- Step 2
- The test frequency of the ultrasonic modulation experiment was determined according to the frequency response characteristics.
- Step 3
- The experimental platform and test was established using ultrasonic modulation and nonlinear harmonic methods.
- Step 4
- The receive signal was collected 10 times to reduce the experimental error, and then put through the high-pass filter to reduce the noise.
- Step 5
- The IMF components were obtained after EMD. According to the IMF energy, the IMF component containing the nonlinear damage information was selected as the characteristics component.
- Step 6
- The nonlinear coefficient of hidden frame supported glass curtain wall was calculated based on the DFT.
- Step 7
- The results were compared with the ultrasonic nonlinear harmonics method to verify the feasibility of the method.
3. Experimental Setup
4. Experiments and Analyses
4.1. Experimental Process
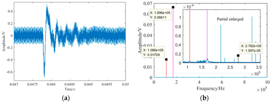
4.2. Debonding Damage Evaluation Using Nonlinear Ultrasonic Modulation
4.3. Debonding Detection Under Different Temperatures
4.4. Debonding Detection Under Different Impact
5. Conclusions
Author Contributions
Funding
Conflicts of Interest
References
- Xu, Q.; Tang, Y.; Wang, M.; Tang, C. Comparative study about on-site testing methods for silicone structural sealant. China Build. Waterproofing 2011, 16, 38–41. [Google Scholar]
- Tan, Z.; Wang, Y.; Zhang, H.; Zhao, F. Methods of glues inspection for existing building curtain wall. Ind. Constr. 2013, 1, 655–657. [Google Scholar]
- Chen, Y. Study testing method of structural silicone sealants for existing glass curtain wall. Fujian Constr. Sci. Technol. 2018, 3, 58–60. [Google Scholar]
- Chen, Z.; Luo, Y.; Gu, J. New damage detection method of structural silicone sealant in hidden frame supported glass curtain wall based on FFT power spectrum. Sichuan Build. Sci. 2009, 35, 104–107. [Google Scholar]
- Gu, J.; Hao, W.; Luo, Y. Investigation of damage identification for glass curtain wall based on Hilbert-Huang transform and transmissibility function. Int. J. Model. Identif. Control 2011, 13, 38–45. [Google Scholar] [CrossRef]
- Liu, X.; Li, Y.; Huang, Y. Testing for debonding defects of thermal barrier coatings based on ultrasonic feature scan imaging. Nondestruct. Test. 2017, 39, 49–53. [Google Scholar]
- Pärnänen, T.; Kanerva, M.; Sarlin, E.; Saarela, S. Debonding and impact damage in stainless steel fibre metal laminates prior to metal fracture. Compos. Struct. 2015, 119, 777–786. [Google Scholar] [CrossRef]
- Park, B.; An, Y.K.; Sohn, H. Visualization of hidden delamination and debonding in composites through noncontact laser ultrasonic scanning. Compos. Sci. Technol. 2014, 100, 10–18. [Google Scholar] [CrossRef]
- Li, J.; Lu, Y.; Guan, R.; Qu, W. Guided waves for debonding identification in CFRP-reinforced concrete beams. Constr. Build. Mater. 2017, 131, 388–399. [Google Scholar] [CrossRef]
- Wu, J.; Ma, Z.; Zhang, Y. A time-frequency research for ultrasonic guided wave generated from the debonding based on a novel time-frequency analysis technique. Shock Vib. 2017, 2017, 1–11. [Google Scholar] [CrossRef]
- Mustapha, S.; Ye, L.; Wang, D.; Lu, Y. Debonding Detection in Composite Sandwich Structures Based on Guided Waves. AIAA J. 2012, 50, 1697–1706. [Google Scholar] [CrossRef]
- Mustapha, S.; Ye, L. Propagation behaviour of guided waves in tapered sandwich structures and debonding identification using time reversal. Wave Motion 2015, 57, 154–170. [Google Scholar] [CrossRef]
- Reis, H. Estimation of adhesive bond strength in laminated safety glass using guided mechanical waves. Insight-Non-Destr. Test. Cond. Monit. 2012, 132, 1932. [Google Scholar] [CrossRef]
- Castaings, M. SH ultrasonic guided waves for the evaluation of interfacial adhesion. Ultrasonics 2014, 54, 1760–1775. [Google Scholar] [CrossRef] [PubMed]
- Cho, H.; Hara, Y.; Matsuo, T. Evaluation of the Thickness and Bond Quality of Three-Layered Media using Zero-Group-Velocity Lamb Waves. J. Phys. Conf. Ser. 2014, 520, 012023. [Google Scholar] [CrossRef]
- Ribolla, E.L.M.; Hajidehi, M.R.; Rizzo, P.; Scimemi, G.F.; Spada, A.; Giambanco, G. Ultrasonic inspection for the detection of debonding in CFRP-reinforced concrete. Struct. Infrastruct. Eng. 2017, 14. [Google Scholar] [CrossRef]
- Su, S. Study of a Non-linear Ultrasonic for Detecting the Debonding of the Adhesive Layers of Magnesium Alloys. Modul. Mach. Tool Autom. Manuf. Tech. 2017, 10, 110–113. [Google Scholar]
- Yelve, N.P.; Mitra, M.; Mujumdar, P.M. Higher harmonics induced in lamb wave due to partial debonding of piezoelectric wafer transducers. NDT E Int. 2014, 63, 21–27. [Google Scholar] [CrossRef]
- Guha, A.; Bijudas, C.R. Higher and sub-harmonic Lamb wave mode generation due to debond-induced contact nonlinearity. In Proceedings of the 2016 SPIE Smart Structures and Materials + Nondestructive Evaluation and Health Monitoring, Las Vegas, NV, USA, 1 April 2016. [Google Scholar]
- Scarselli, G.; Ciampa, F.; Nicassio, F.; Meo, M. Non-linear methods based on ultrasonic waves to analyse disbonds in single lap joints. ARCHIVE Proc. Inst. Mech. Eng. Part C 2017, 231, 3066–3076. [Google Scholar] [CrossRef]
- Ciampa, F.; Pickering, S.G.; Scarselli, G.; Meo, M. Nonlinear imaging of damage in composite structures using sparse ultrasonic sensor arrays. Struct. Control Health Monit. 2016, 24. [Google Scholar] [CrossRef]
- Jiao, J.; Sun, J.; Wu, B.; He, C. A frequency-mixing nonlinear ultrasonic technique for micro-crack detection. Acta Acust. 2013, 6, 648–656. [Google Scholar]
- Jiao, J.; Fan, Z.; Wu, B.; He, C. Experiments of non-colliinear mixed frequency ultrasonic for closed crack detection. Acta Acust. 2017, 2, 205–213. [Google Scholar]
- Liu, P.; Sohn, H.; Park, B. Baseline-free damage visualization using noncontact laser nonlinear ultrasonics and state space geometrical changes. Smart Mater. Struct. 2015, 24, 6. [Google Scholar] [CrossRef]
- Mandal, D.D.; Wadadar, D.; Banerjee, S. Health Monitoring of Stiffened Metallic Plates Using Nonlinear Wave Interaction and Embedded PZT Transducers. In Vibration Engineering and Technology of Machinery; Springer: New York, NY, USA, 2015. [Google Scholar]
- Li, F.; Murayama, H.; Kageyama, K.; Meng, G.; Ohsawa, I.; Shirai, T. A fiber optic doppler sensor and its application in debonding detection for composite structures. Sensors 2010, 10, 5975–5993. [Google Scholar] [CrossRef] [PubMed]
- Parsons, Z.; Staszewski, W.J. Nonlinear acoustics with low-profile piezoceramic excitation for crack detection in metallic structures. Smart Mater. Struct. 2006, 15, 1110. [Google Scholar] [CrossRef]
- Goursolle, T.; Santos, S.D.; Matar, O.B.; Callé, S. Non-linear based time reversal acoustic applied to crack detection: Simulations and experiments. Int. J. Non-Linear Mech. 2008, 43, 170–177. [Google Scholar] [CrossRef]
- Ryles, M.; Ngau, F.H.; Mcdonald, I.; Staszewski, W.J. Comparative study of nonlinear acoustic and lamb wave techniques for fatigue crack detection in metallic structures. Fatigue Fract. Eng. Mater. Struct. 2010, 31, 674–683. [Google Scholar] [CrossRef]
- Hu, H.F.; Staszewski, W.J.; Hu, N.Q.; Jenal, R.B.; Qin, G.J. Crack detection using nonlinear acoustics and piezoceramic transducers—Instantaneous amplitude and frequency analysis. Smart Mater. Struct. 2010, 19, 065017. [Google Scholar] [CrossRef]
- Sethi, V.; Song, G. Multimodal Vibration Control of a Flexible Structure using Piezoceramic Sensor and Actuator. J. Intell. Mater. Syst. Struct. 2007, 19, 573–582. [Google Scholar] [CrossRef]
- Jang, L.S.; Kuo, K.C. Fabrication and characterization of pat thick films for sensing and actuation. Sensors 2007, 7, 493–507. [Google Scholar] [CrossRef]
- Parvasi, S.M.; Xu, C.; Kong, Q.; Song, G. Detection of multiple thin surface cracks using vibrothermography with low-power piezoceramic-based ultrasonic actuator—A numerical study with experimental verification. Smart Mater. Struct. 2016, 25, 055042. [Google Scholar] [CrossRef]
- Du, G.; Huo, L.; Kong, Q.; Song, G. Damage detection of pipeline multiple cracks using piezoceramic transducers. J. Vibroeng. 2016, 18, 2828–2838. [Google Scholar] [CrossRef]
- Yang, S.; Gu, L.; Gibson, R.F. Nondestructive detection of weak joints in adhesively bonded composite structures. Compos. Struct. 2001, 51, 63–71. [Google Scholar] [CrossRef]
- Song, G.; Olmi, C.; Gu, H. An overheight vehicle bridge collision monitoring system using piezoelectric transducers. Smart Mater. Struct. 2007, 16, 462–468. [Google Scholar] [CrossRef]
- Luo, M.; Li, W.; Hei, C.; Song, G. Concrete infill monitoring in concrete-filled FRP tubes using a PZT-based ultrasonic time-of-flight method. Sensors 2016, 16, 2083. [Google Scholar] [CrossRef] [PubMed]
- Tseng, H.J.; Tian, W.C.; Wu, W.J. Flexible PZT thin film tactile sensor for biomedical monitoring. Sensors 2013, 13, 5478–5492. [Google Scholar] [CrossRef] [PubMed]
- Siu, S.; Ji, Q.; Wu, W.; Song, G.; Ding, Z. Stress wave communication in concrete: I. Characterization of a smart aggregate based concrete channel. Biocontrol Sci. Technol. 2014, 23. [Google Scholar] [CrossRef]
- Ji, Q.; Ho, M.; Zheng, R.; Ding, Z.; Song, G. An exploratory study of stress wave communication in concrete structures. Smart Mater. Struct. 2015, 15, 135–150. [Google Scholar] [CrossRef]
- Nieuwenhuis, J.H.; Neumann, J.J.; Greve, D.W.; Oppenheim, I.J. Generation and detection of guided waves using pzt wafer transducers. IEEE Trans. Ultrason. Ferroelectr. Freq. Control 2005, 52, 2103–2111. [Google Scholar] [CrossRef] [PubMed]
- Rajagopalan, J.; Balasubramaniam, K.; Krishnamurthy, C.V. A single transmitter multi-receiver (STMR) PZT array for guided ultrasonic wave based structural health monitoring of large isotropic plate structures. Smart Mater. Struct. 2006, 15, 1190. [Google Scholar] [CrossRef]
- Ruan, J.; Ho, S.C.M.; Patil, D.; Li, M.; Song, G. Wind turbine blade damage detection using an active sensing approach. Smart Mater. Struct. 2014, 23, 105005. [Google Scholar] [CrossRef]
- Dziendzikowski, M.; Kurnyta, A.; Dragan, K.; Klysz, S.; Leski, A. In situ barely visible impact damage detection and localization for composite structures using surface mounted and embedded PZT transducers: A comparative study. Mech. Syst. Signal Process. 2016, 78, 91–106. [Google Scholar] [CrossRef]
- Zhu, J.; Ren, L.; Ho, S.C.; Jia, Z.; Song, G. Gas pipeline leakage detection based on PZT sensors. Smart Mater. Struct. 2017, 26, 025022. [Google Scholar] [CrossRef]
- Li, H.U.; Negishi, K. Visualization of lamb mode patterns in a glass plate. Ultrasonics 1994, 32, 243–248. [Google Scholar] [CrossRef]
- Liang, W.; Zhang, F.; Yang, G.; Wang, Z. Separation of water from a microliter oil/water mixed drop using lamb waves on an inclined glass plate. Microfluid. Nanofluid. 2017, 21, 163. [Google Scholar] [CrossRef]
- Li, N.; Sun, J.; Jiao, J.; Wu, B.; He, C. Quantitative evaluation of micro-cracks using nonlinear ultrasonic modulation method. NDT E Int. 2016, 79, 63–72. [Google Scholar] [CrossRef]
- Rostami, J.; Chen, J.; Tse, P.W. A signal processing approach with a smooth empirical mode decomposition to reveal hidden trace of corrosion in highly contaminated guided wave signals for concrete-covered pipes. Sensors 2017, 17, 302. [Google Scholar] [CrossRef] [PubMed]
- Bagheri, A.; Li, K.; Rizzo, P. Reference-free damage detection by means of wavelet transform and empirical mode decomposition applied to lamb waves. J. Intell. Mater. Syst. Struct. 2013, 24, 194–208. [Google Scholar] [CrossRef]
- Xu, W.; Lin, J.; Hong, X. Design of Infrared Heating Stimulator of Thermal Wave Testing for Adhesive Bonded Structure Damage of Glass Curtain Wall. China Meas. Test. 2018. accepted. [Google Scholar]
















| Detection Method | MSE |
|---|---|
| Nonlinear ultrasonic modulation | 0.0974 |
| Nonlinear harmonics | 0.1660 |
© 2018 by the authors. Licensee MDPI, Basel, Switzerland. This article is an open access article distributed under the terms and conditions of the Creative Commons Attribution (CC BY) license (http://creativecommons.org/licenses/by/4.0/).
Share and Cite
Hong, X.; Liu, Y.; Liufu, Y.; Lin, P. Debonding Detection in Hidden Frame Supported Glass Curtain Walls Using the Nonlinear Ultrasonic Modulation Method with Piezoceramic Transducers. Sensors 2018, 18, 2094. https://doi.org/10.3390/s18072094
Hong X, Liu Y, Liufu Y, Lin P. Debonding Detection in Hidden Frame Supported Glass Curtain Walls Using the Nonlinear Ultrasonic Modulation Method with Piezoceramic Transducers. Sensors. 2018; 18(7):2094. https://doi.org/10.3390/s18072094
Chicago/Turabian StyleHong, Xiaobin, Yuan Liu, Yonghong Liufu, and Peisong Lin. 2018. "Debonding Detection in Hidden Frame Supported Glass Curtain Walls Using the Nonlinear Ultrasonic Modulation Method with Piezoceramic Transducers" Sensors 18, no. 7: 2094. https://doi.org/10.3390/s18072094
APA StyleHong, X., Liu, Y., Liufu, Y., & Lin, P. (2018). Debonding Detection in Hidden Frame Supported Glass Curtain Walls Using the Nonlinear Ultrasonic Modulation Method with Piezoceramic Transducers. Sensors, 18(7), 2094. https://doi.org/10.3390/s18072094

