Empirical Determination of Efficient Sensing Frequencies for Magnetometer-Based Continuous Human Contact Monitoring
Abstract
1. Introduction
1.1. Exploiting Smartphone Magnetometer for Contact Detection
1.2. Energy issue of Continuous Monitoring
1.3. Related Work
1.4. Summary of Our Work
2. Materials and Methods
2.1. Indoor Magnetometer Traces
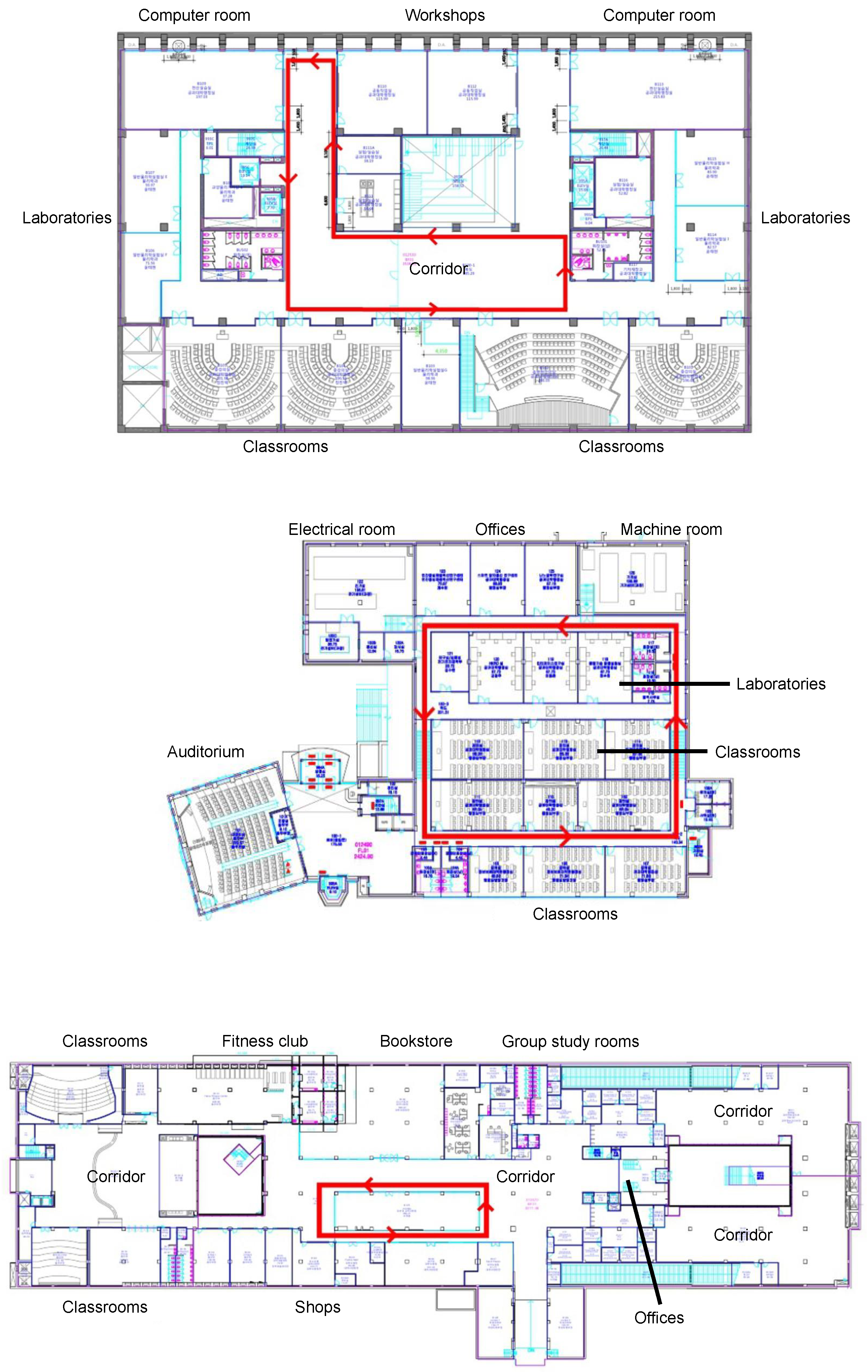
2.1.1. Korea University Campus Traces
2.1.2. Italian National Research Council traces
2.1.3. University of Illinois Campus Traces
2.2. Finding Desirable Sampling Frequencies
2.2.1. Computing Correlation
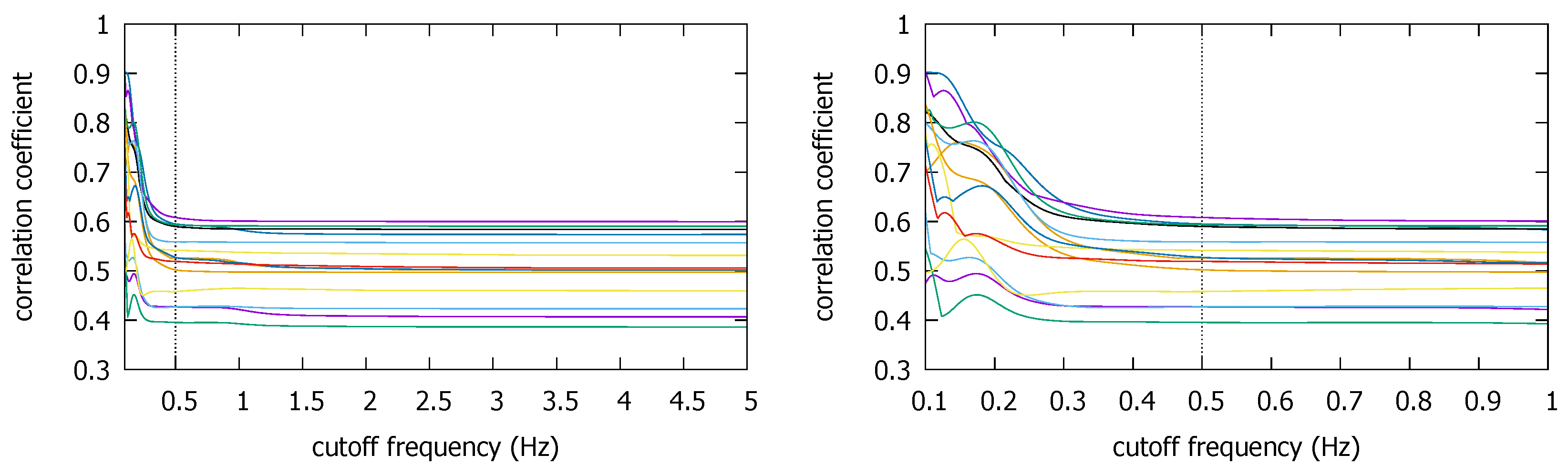
2.2.2. Evaluating Frequency Contributions Using Low-Pass Filtering
2.2.3. Avoiding Over-Filtering
3. Results
3.1. Impacts of Lowering Sampling Frequency in True Positive Situations
3.1.1. KU Traces
3.1.2. Pisa Traces
3.1.3. Illinois Traces
3.2. Impacts of Lowering Sampling Frequencies in True Negative Situations
3.3. Performance of 1 Hz Sampling
3.3.1. Performance of Emulated 1 Hz Sampling
3.3.2. Performance of Native 1 Hz Sampling
4. Discussion
5. Conclusions
Supplementary Materials
Author Contributions
Funding
Acknowledgments
Conflicts of Interest
References
- Halloran, M.E.; Vespignani, A.; Bharti, N.; Feldstein, L.R.; Alexander, K.A.; Ferrari, M.; Shaman, J.; Drake, J.M.; Porco, T.; Eisenberg, J.N.; et al. Ebola: Mobility data. Science 2014, 346, 433. [Google Scholar] [CrossRef] [PubMed]
- What We’Ve Learned About Fighting Ebola. Available online: https://hbr.org/2015/07/what-weve-learned-about-fighting-ebola (accessed on 6 November 2017).
- Keeling, M.; Eames, K. Networks and epidemic models. J. R. Soc. Interface 2005, 2, 295–307. [Google Scholar] [CrossRef] [PubMed]
- Yoneki, E. FluPhone study: virtual disease spread using haggle. In Proceedings of the 6th ACM Workshop on Challenged Networks, Las Vegas, NV, USA, 23 September 2011. [Google Scholar]
- Nguyen, K.A.; Luo, Z.; Watkins, C. On the feasibility of using two mobile phones and WLAN signal to detect co-location of two users for epidemic prediction. In Progress in Location-Based Services 2014; Gartner, G., Huang, H., Eds.; Springer-Verlag: Berlin/Heidelberg, Germany, 2014; pp. 63–78. [Google Scholar]
- Liu, S.; Jiang, Y.; Striegel, A. Face-to-face proximity estimation using Bluetooth on smartphones. IEEE Trans. Mob. Comput. 2014, 13, 811–823. [Google Scholar] [CrossRef]
- Farrahi, K.; Emonet, R.; Cegrian, M. Epidemic contact tracing via communication traces. PLoS ONE 2014, 9, e95133. [Google Scholar] [CrossRef] [PubMed]
- Kuk, S.; Park, Y.; Kim, H. Detecting outdoor coexistence as a proxy of infectious contact through magnetometer traces. Electron. Lett. 2017, 53, 1293–1294. [Google Scholar] [CrossRef]
- Katevas, K.; Haddadi, H.; Tokarchuk, L. SensingKit: Evaluating the Sensor Power Consumption in iOS Devices. In Proceedings of the 12th International Conference on Intelligent Environments (IE), London, UK, 14–16 September 2016. [Google Scholar]
- Nguyen, D.K.A.; Watkins, C.; Luo, Z. Co-location epidemic tracking on London public transports using low power mobile magnetometer. In Proceedings of the International Conference on Indoor Positioning and Indoor Navigation, Sapporo, Japan, 18–21 September 2017. [Google Scholar]
- Limiting the Spread of Pandemic, Zoonotic, and Seasonal Epidemic Influenza. Available online: http://www.who.int/influenza/resources/research/research_agenda_influenza_stream_2_limiting_spread. pdf?ua=1 (accessed on 6 November 2017).
- Barsocchi, P.; Crivello, A.; La Rosa, D.; Palumbo, F. A multisource and multivariate dataset for indoor localization methods based on WLAN and geo-magnetic field fingerprinting. In Proceedings of the International Conference on Indoor Positioning and Indoor Navigation (IPIN), Alcala de Henares, Spain, 4–7 October 2016. [Google Scholar]
- Carrillo, D.; Moreno, V.; Ubeda, B.; Skarmeta, A.F. MagicFinger: 3D Magnetic Fingerprints for Indoor Location. Sensors 2015, 15, 17168–17194. [Google Scholar] [CrossRef] [PubMed]
- Li, B.; Gallagher, T.; Dempster, A.G.; Rizos, C. How feasible is the use of magnetic field alone for indoor positioning? In Proceedings of the International Conference on Indoor Positioning and Indoor Navigation (IPIN), Sydney, NSW, Australia, 3–15 November 2012. [Google Scholar]
- Hanley, D.; Faustino, A.B.; Zelman, K.S.D.; Degenhardt, D.A.; Bretl, T. MagPIE: A Dataset for Indoor Positioning with Magnetic Anomalies. In Proceedings of the International Conference on Indoor Positioning and Indoor Navigation (IPIN), Sapporo, Japan, 18–21 September 2017. [Google Scholar]
- Angermann, M.; Frassl, M.; Doniec, M.; Julian, B.J.; Robertson, P. Caracterization of the indoor magnetic field for applications in localization and mapping. In Proceedings of the International Conference on Indoor Positioning and Indoor Navigation, Sydney, Australia, 13–15 November 2012. [Google Scholar]
- Frassl, M.; Angermann, M.; Lichtenstern, M.; Robertson, P.; Julian, B.J.; Doniec, M. Magnetic maps of indoor environments for precise localization of legged and non-legged locomotion. In Proceedings of the IEEE/RSJ International Conference on Intelligent Robots and Systems, Tokyo, Japan, 3–7 November 2013. [Google Scholar]
- Riehle, T.H.; Anderson, S.M.; Lichter, P.A.; Condon, J.P.; Sheikh, S.I.; Hedin, D.S. Indoor waypoint navigation via magnetic anomalies. In Proceedings of the Annual International Conference of the IEEE Engineering in Medicine and Biology Society, Boston, MA, USA, 30 August–3 September 2011. [Google Scholar]
- Monsoon Solutions Inc. Available online: https://www.msoon.com/ (accessed on 6 November 2017).
- Klepeis, N.E.; Nelson, W.C.; Ott, W.R.; Robinson, J.P.; Tsang, A.M.; Switzer, P.; Behar, J.V.; Hern, S.C.; Engelmann, W.H. The National Human Activity Pattern Survey (NHAPS): A resource for assessing exposure to environmental pollutants. J. Expo. Anal. Environ. Epidemiol. 2001, 11, 231–252. [Google Scholar] [CrossRef] [PubMed]
- Subbu, K.S.P. Indoor Localization Using Magnetic Fields. Ph.D. Thesis, University of North Texas, Denton, TX, USA, December 2011. [Google Scholar]
- Gozick, B.; Subbu, K.P.; Dantu, R.; Maeshiro, T. Magnetic Maps for Indoor Navigation. IEEE Trans. Instum. Meas. 2011, 60, 3883–3891. [Google Scholar] [CrossRef]
- Chung, J.; Donahoe, M.; Schmandt, C.; Kim, I.-J.; Razavai, P.; Wiseman, M. Indoor Location Sensing Using Geo-Magnetism. In Proceedings of the ACM MobiSys, Bethesda, MD, USA, 28 June–1 July 2011. [Google Scholar]
- Brzozowski, B.; Kazmierczak, K. Magnetic field mapping as a support for UAV indoor navigation system. In Proceedings of the IEEE International Workshop on Metrology for AeroSpace (MetroAeroSpace), Padua, Italy, 21–23 June 2017. [Google Scholar]
- Salathé, M.; Kazandjievab, M.; Lee, J.; Levisb, P.; Feldmana, M.W.; Jones, J.H. A high-resolution human contact network for infectious disease transmission. Proc. Natl. Acad. Sci. USA 2010, 107, 22020–22025. [Google Scholar] [CrossRef] [PubMed]
- Bolić, M.; Rostamian, M.; Djurić, P. Proximity Detection with RFID in the Internet of Things. In Proceedings of the Asilomar Conference on Signals, Systems, and Computers, Pacific Grove, CA, USA, 2–5 November 2014. [Google Scholar]
- Torres-Sospedra, J.; Rambla, D.; Montoliu, R.; Belmonte, O.; Huerta, J. Ujiindoorloc-mag: A new database for magnetic field-based localization problems. In Proceedings of the International Conference on Indoor Positioning and Indoor Navigation, Banff, AB, Canada, 13–16 October 2015. [Google Scholar]
- Levine, R.V.; Norenzayan, A. The pace of life in 31 countries. J. Cross-Cult. Psychol. 1999, 30, 178–205. [Google Scholar] [CrossRef]
- Von Sivers, I.; Koster, G. Dynamic Stride Length Adaptation According to Utility And Personal Space. Transp. Res. Part B Methodol. 2015, 74, 104–117. [Google Scholar] [CrossRef]
- Qi, F.; Du, P. Tracking and Visualization of Space-Time Activities for a Micro-Scale Flu Transmission Study. Int. J. Health Geogr. 2013, 12. [Google Scholar] [CrossRef] [PubMed]
- Shahzamal, M.; Jurdak, R.; Arablouei, R.; Kim, M.; Thilakarathna, K.; Mans, B. Airborne Disease Propagation on Large Scale Social Contact Networks. In Proceedings of the 2nd International Workshop on Social Sensing, Pittsburgh, PA, USA, 18–21 April 2017. [Google Scholar]
- Genovese, V.; Sabatini, A.M. Differential compassing helps human-robot teams navigate in magnetically disturbed environments. IEEE Sens. J. 2006, 6, 1045–1046. [Google Scholar] [CrossRef]
- Jeon, Y.; Kuk, S.; Kim, H.; Park, Y. Judging Dynamic Co-Existence with Smartphone Magnetometer Traces. Poster Abstract. In Proceedings of the 15th ACM Conference on Embedded Network Sensor Systems (SenSys), Delft, The Netherlands, 6–8 November 2017. [Google Scholar]















| Sampling Frequency | Average Current DrawI (mA) | Expected Time-to-Drain (TTD) | |
|---|---|---|---|
| baseline | 118.50 | 23 h 37 min | 0 |
| 0.5 Hz | 119.40 | 23 h 27 min | h 10 min |
| 1 Hz | 122.24 | 22 h 54 min | h 43 min |
| 2 Hz | 123.59 | 22 h 39 min | h 58 min |
| 5 Hz | 127.95 | 21 h 52 min | h 45 min |
| 10 Hz [8,12] | 134.76 | 20 h 46 min | h 51 min |
| 25 Hz [13,14] | 142.54 | 19 h 39 min | h 58 min |
| 49.65 Hz [10] | 153.62 | 18 h 13 min | h 24 min |
| 50 Hz [15] | 156.72 | 17 h 52 min | h 45 min |
| 100 Hz [16,17] | 178.61 | 15 h 40 min | h 57 min |
| 200 Hz [18] | 231.66 | 12 h 05 min | h 32 min |
| Building | 50 Hz | 1 Hz (LPF) | 1 Hz (Decimated) | |
|---|---|---|---|---|
| CSL | 0.798 | 0.822 | 0.813 | +0.016 |
| Loomis | 0.912 | 0.964 | 0.941 | +0.029 |
| Talbot | 0.875 | 0.912 | 0.887 | +0.012 |
| Campaign | 10 Hz | 1 Hz (LPF) | 1 Hz (Decimated) | |
|---|---|---|---|---|
| 1 | 0.923 | 0.935 | 0.921 | |
| 2 | 0.930 | 0.945 | 0.940 | +0.009 |
| Building | 10 Hz | 1 Hz (LPF) | 1 Hz (Decimated) | |
|---|---|---|---|---|
| ECB | 0.946 | 0.959 | 0.947 | +0.001 |
| CTH | 0.963 | 0.982 | 0.974 | +0.011 |
| CSQ | 0.951 | 0.962 | 0.951 | +0.000 |
| Building | 10 Hz | 1 Hz (Real) | |
|---|---|---|---|
| ECB | 0.946 | 0.984 | +0.038 |
| CTH | 0.963 | 0.933 | |
| CSQ | 0.969 | 0.948 |
| Building | 1 Hz (Real) |
|---|---|
| <CSQ,CTH> | 0.440 |
| <CSQ,ECB> | 0.556 |
| <CTH,ECB> | 0.425 |
© 2018 by the authors. Licensee MDPI, Basel, Switzerland. This article is an open access article distributed under the terms and conditions of the Creative Commons Attribution (CC BY) license (http://creativecommons.org/licenses/by/4.0/).
Share and Cite
Kuk, S.; Kim, J.; Park, Y.; Kim, H. Empirical Determination of Efficient Sensing Frequencies for Magnetometer-Based Continuous Human Contact Monitoring. Sensors 2018, 18, 1358. https://doi.org/10.3390/s18051358
Kuk S, Kim J, Park Y, Kim H. Empirical Determination of Efficient Sensing Frequencies for Magnetometer-Based Continuous Human Contact Monitoring. Sensors. 2018; 18(5):1358. https://doi.org/10.3390/s18051358
Chicago/Turabian StyleKuk, Seungho, Junha Kim, Yongtae Park, and Hyogon Kim. 2018. "Empirical Determination of Efficient Sensing Frequencies for Magnetometer-Based Continuous Human Contact Monitoring" Sensors 18, no. 5: 1358. https://doi.org/10.3390/s18051358
APA StyleKuk, S., Kim, J., Park, Y., & Kim, H. (2018). Empirical Determination of Efficient Sensing Frequencies for Magnetometer-Based Continuous Human Contact Monitoring. Sensors, 18(5), 1358. https://doi.org/10.3390/s18051358
