Research on the Additional Secondary Phase Factor for Automatic Identification System Signals Transmitted over a Rough Sea Surface
Abstract
:1. Introduction
2. The ASF of the AIS Reflected Signal
2.1. The Equivalent Antenna Heights
2.2. The ASFs of the AIS Reflected Signal over the Rough Sea Surface
3. The ASFs of the AIS Diffracted Signal
3.1. The Clearance Parameters of the Wave
3.2. The ASFs of the AIS Diffracted Signal over the Rough Sea Surface
4. Results and Discussion
4.1. The ASFs of the AIS Received Signal
4.2. The Application of the ASFs in the AIS Positioning System
4.3. Discussion
5. Conclusions
Acknowledgments
Author Contributions
Conflicts of Interest
References
- Kang, D.B.; Quan, H.F. Feasibility Analysis of the Recognition for BeiDou by the International Maritime Organization. Satell. Netw. 2013, 14, 72–75. [Google Scholar]
- Hargreaves, C.; Williams, P.; Bransby, M. ASF quality assurance for eLoran. In Proceedings of the 2012 IEEE/ION Position Location and Navigation Symposium (PLANS 2012), Myrtle Beach, SC, USA, 23–26 April 2012; pp. 1169–1174. [Google Scholar]
- Hu, Q.; Jiang, Y.; Zhang, J.B.; Sun, X.W.; Zhang, S.F. Development of an Automatic Identification System Autonomous Positioning System. Sensors 2015, 15, 28574–28591. [Google Scholar] [CrossRef] [PubMed]
- International Maritime Organization. SOLAS 1974 Amendments; The Bath Press: Bath, UK, 2000. [Google Scholar]
- Zhang, J.B.; Zhang, S.F.; Wang, J.P. Pseudorange Measurement Method Based on AIS Signals. Sensors 2017, 17, 1183. [Google Scholar] [CrossRef] [PubMed]
- Schmidt, D.; Radke, K.; Camtepe, S.A.; Foo, E.; Ren, M. A Survey and Analysis of the GNSS Spoofing Threat and Countermeasures. ACM Comput. Surv. 2016, 48, 64. [Google Scholar] [CrossRef]
- International Association of Marine Aids to Navigation and Lighthouse Authorities. IALA Recommendation R-129 on GNSS Vulnerability and Mitigation Measures; International Association of Marine Aids to Navigation and Lighthouse Authorities: Saint Germain en Laye, France, 2012. [Google Scholar]
- Jing, S.; Zhan, X.Q.; Liu, X.; Feng, S.J. GNSS vulnerability assessment based on application suitability. In Proceedings of the 27th International Technical Meeting of the Satellite Division of the Institute of Navigation (ION GNSS 2014), Tampa, FL, USA, 8–12 September 2014; pp. 2291–2298. [Google Scholar]
- Papadimitratos, P.; Jovanovic, A. Protection and fundamental vulnerability of GNSS. In Proceedings of the 2008 International Workshop on Satellite and Space Communications (IWSSC’08), Toulouse, France, 1–3 October 2008; pp. 171–197. [Google Scholar]
- Kim, G.H.; Jeon, S.H.; Kim, C.W.; Han, D.W.; Kee, C.D.; Choi, S.J. A combined numerical-empirical orbit propagation algorithm for satellite tracking and backup navigation system. In Proceedings of the Institute of Navigation International Technical Meeting (ITM 2012), Newport Beach, CA, USA, 30 January–1 February 2012; pp. 812–819. [Google Scholar]
- Whelan, D.; Enge, P.; Gutt, G. Robust time transfer from space to backup GPS. In Proceedings of the 23rd International Technical Meeting of the Satellite Division of the Institute of Navigation (ION GNSS 2010), Portland, OR, USA, 21–24 September 2010; pp. 907–914. [Google Scholar]
- Becker, G.T.; Lo, S.; De Lorenzo, D.; Qiu, D.; Paar, C.; Enge, P. Efficient authentication mechanisms for navigation systems—A radio-navigation case study. In Proceedings of the 22nd International Technical Meeting of the Satellite Division of the Institute of Navigation (ION GNSS 2009), Savannah, GA, USA, 22–25 September 2009; pp. 2209–2220. [Google Scholar]
- Wang, X.Y.; Zhang, S.F. The Research of Prediction Algorithm for the Secondary Factor of AIS Signal. Acta Electron. Sin. 2016, 44, 2121–2125. [Google Scholar]
- Wang, X.Y.; Zhang, S.F. Evaluation of multipath signal loss for AIS signals transmitted on the sea surface. Ocean Eng. 2017, 146, 9–20. [Google Scholar] [CrossRef]
- Snowball, A. An Update on GNSS Vulnerability Threats and Solutions. In Proceedings of the 2007 IET Seminar on Global Navigation Satellite Systems, Portsmouth, UK, 29 March 2007; pp. 87–104. [Google Scholar]
- Zhang, K.W.; Papadimitratos, P. GNSS Receiver Tracking Performance Analysis under Distance-Decreasing Attacks. In Proceedings of the 2015 International Conference on Localization and GNSS (ICL-GNSS), Gothenburg, Sweden, 22–24 June 2015; pp. 1–6. [Google Scholar]
- Wang, X.Y.; Zhang, S.F.; Sun, X.W. The Additional Secondary Phase Correction System for AIS Signals. Sensors 2017, 17, 736. [Google Scholar] [CrossRef] [PubMed]
- Wen, Y.H. Theory of Wave Propagation, 1st ed.; China Machine Press: Beijing, China, 2011; pp. 52–54. [Google Scholar]
- Rao, Q.J.; Gong, Z.L. Study of the Influence of Rough Sea Surface on the Space Field of HF Found-Wave Radar on Coast. J. Electron. 2000, 22, 341–345. [Google Scholar]
- Park, S.; Oh, Y. Effect of the surface correlation length on microwave forward reflection from a randomly rough lossy dielectric surface. In Proceedings of the 2015 IEEE International Geoscience and Remote Sensing Symposium (IGARSS), Milan, Italy, 26–31 July 2015; pp. 708–710. [Google Scholar]
- Freund, D.E.; Woods, N.E.; Ku, H.-C.; Awadallah, R.S. Forward Radar propagation over a rough sea surface: A numerical assessment of the Miller-brown approximation using a horizontally polarized 3-GHz line source. IEEE Trans. Antennas Propag. 2006, 54, 1292–1304. [Google Scholar] [CrossRef]
- Ryan, F. Ducted millimeter wave propagation over rough seas using PWE. In Proceedings of the 2014 United States National Committee of URSI National Radio Science Meeting (USNC-URSI NRSM), Boulder, CO, USA, 8–11 January 2014; p. 1. [Google Scholar]
- Li, D.X.; Zhao, X.L.; Shang, Y.S. Prediction of radio wave propagation over irregular terrain by the improved DMFT algorithm. In Proceedings of the Cross Strait Quad-Regional Radio Science and Wireless Technology Conference (CSQRWC), Harbin, China, 26–30 July 2011; pp. 75–78. [Google Scholar]
- Wang, Y.Q.; Wang, X.Y. Radio Wave Propagation Model Selection and Field Strength Prediction Method—Engineering Implementation Guide, 1st ed.; Pubilishing House of Electronics Industry: Beijing, China, 2015; p. 103. [Google Scholar]
- Hu, H.B.; Jiang, Y.J.; Fu, W.B. Study of Characteristic Prediction of Radio Wave Propagation Loss. J. Air Force Radar Acad. 2008, 22, 271–274. [Google Scholar]
- International Electrotechnical Commission. Propagation by Diffraction; International Electrotechnical Commission: Geneva, Switzerland, 2013. [Google Scholar]
- Rao, Q.J.; Gong, Z.L.; Xu, C.H. Diffraction Loss over an Island in the Presence of Rough Sea Surface. Chin. J. Radio Sci. 1998, 13, 236–240. [Google Scholar]
- Xie, Y.X. Radio Wave Propagation—Principles and Applications, 1st ed.; Posts & Telecom Press: Beijing, China, 2008; pp. 67–68. [Google Scholar]
- Miller, A.R.; Brown, R.M.; Vegh, E. New derivation for the rough-surface reflection coefficient and for the distribution of sea-wave elevations. IEEE Proc. H Microw. Opt. Antennas 1984, 131, 114–116. [Google Scholar] [CrossRef]
- Guo, J.Y.; Wang, J.Y.; Long, Y.L. Analysis of radio propagation over rough sea surface with parabolic equation. J. Commun. 2009, 30, 47–52. [Google Scholar]
- Daout, F.; Khenchaf, A.; Saillard, J. The effect of salinity and temperature on the electromagnetic field scattered by sea water. In Proceedings of the Oceans Engineering for Today’s Technology and Tomorrow’s Preservation (OCEANS ’94), Brest, France, 13–16 September 1994; pp. 110–115. [Google Scholar]
- Liang, Q.; Li, Q.L. Attenuation factor of ground wave propagation across the rough sea. Chin. J. Radio Sci. 2000, 15, 294–299. [Google Scholar]
- Boulier, C.; Kubicke, G.; Brelet, Y. Rigorous Prediction of the Ground Wave above Flat and Rough Highly-Conducting One-Dimensional Sea Surfaces in HF-VHF Band. IEEE Trans. Antennas Propag. 2011, 59, 271–280. [Google Scholar] [CrossRef]
- Rao, Q.J.; Gong, Z.L.; Xu, C.H. Propagation Loss for Radio Wave over Rough Sea Surface with an Knife-edge Obstacle. Acta Sci. Nat. Univ. Pekin. 1999, 35, 402–408. [Google Scholar]
- Keller, J.B. Geometrical Theory of Diffraction. J. Opt. Soc. Am. 1962, 32, 116–130. [Google Scholar] [CrossRef]
- Pogorzelski, R.J. A note on some common diffraction link loss models. Radio Sci. 1982, 17, 1536–1540. [Google Scholar] [CrossRef]
- Rao, Q.J.; Gong, Z.L.; Xu, C.H. Diffraction loss for radiowave propagation over an island in the presence of rough sea surface. In Proceedings of the 1998 International Conference on Microwave and Millimeter Wave Technology Proceedings (ICMMT ’98), Beijing, China, 18–20 August 1998; pp. 1024–1027. [Google Scholar]
- Deygout, J. Multiple knife-edge diffraction of microwaves. IEEE Trans. Antennas Propag. 1966, 14, 480–489. [Google Scholar] [CrossRef]















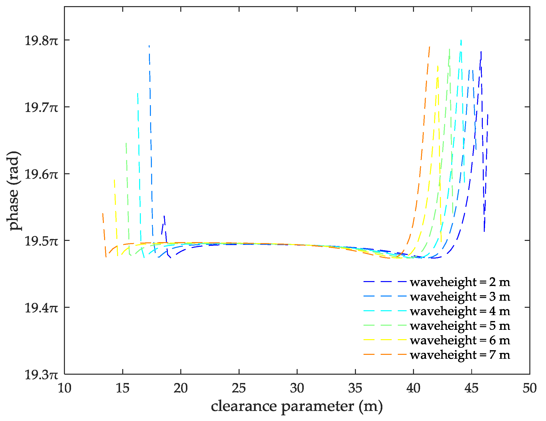
| Wave Height (m) | 2 | 3 | 4 | 5 | 6 | 7 |
|---|---|---|---|---|---|---|
| Clearance Parameter (m) | 18–46.38 | 17–45.38 | 16–44.38 | 15–43.38 | 14–42.38 | 13–41.38 |
| ASF | 19.47–19.78 | 19.47–19.79 | 19.47–19.8 | 19.47–19.79 | 19.47–19.79 | 19.47–19.76 |
© 2018 by the authors. Licensee MDPI, Basel, Switzerland. This article is an open access article distributed under the terms and conditions of the Creative Commons Attribution (CC BY) license (http://creativecommons.org/licenses/by/4.0/).
Share and Cite
Wang, X.; Zhang, S.; Sun, X. Research on the Additional Secondary Phase Factor for Automatic Identification System Signals Transmitted over a Rough Sea Surface. Sensors 2018, 18, 617. https://doi.org/10.3390/s18020617
Wang X, Zhang S, Sun X. Research on the Additional Secondary Phase Factor for Automatic Identification System Signals Transmitted over a Rough Sea Surface. Sensors. 2018; 18(2):617. https://doi.org/10.3390/s18020617
Chicago/Turabian StyleWang, Xiaoye, Shufang Zhang, and Xiaowen Sun. 2018. "Research on the Additional Secondary Phase Factor for Automatic Identification System Signals Transmitted over a Rough Sea Surface" Sensors 18, no. 2: 617. https://doi.org/10.3390/s18020617
APA StyleWang, X., Zhang, S., & Sun, X. (2018). Research on the Additional Secondary Phase Factor for Automatic Identification System Signals Transmitted over a Rough Sea Surface. Sensors, 18(2), 617. https://doi.org/10.3390/s18020617

