Design and Performance Analysis of a Multilayer Sea Ice Temperature Sensor Used in Polar Region
Abstract
1. Introduction
2. Design and Analysis on the Multilayer Sea Ice Temperature Sensor
2.1. Sensor System Composition
2.2. Structure of the Thermistor String
2.3. Work Mode of the Sensor System
3. Performance Evaluation of the Sensor System
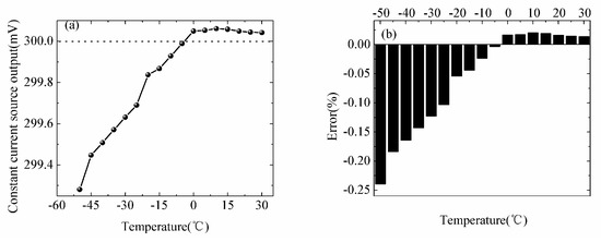
3.1. Temperature Dependence of the Constant Current Source
3.2. Temperature Dependence of the ADC Circuit
3.3. Temperature Dependence of the Amplification Circuit
4. Temperature Correction Algorithm for the Sensor System
5. Sea-Ice Thickness Discrimination Algorithm
6. Results of Field Experiment
6.1. Field Experiment in Wuliangsuhai, Yellow River
6.2. Field Experiment in the Second Reservoir of Fen River, Yellow River
7. Conclusions
Author Contributions
Funding
Acknowledgments
Conflicts of Interest
References
- Screen, J.A.; Simmonds, I. The central role of diminishing sea ice in recent Arctic temperature amplification. Nature 2010, 464, 1334–1337. [Google Scholar] [CrossRef] [PubMed]
- Kwok, R.; Rothrock, D.A. Decline in Arctic sea ice thickness from submarine and ICESat records: 1958–2008. Geophys. Res. Lett. 2009, 36, L15501. [Google Scholar] [CrossRef]
- Rothrock, D.A.; Percival, D.B.; Wensnahan, M. The decline in arctic sea-ice thickness: Separating the spatial, annual, and interannual variability in a quarter century of submarine data. J. Geophys. Res. Oceans 2008, 113, C05003. [Google Scholar] [CrossRef]
- Wang, C.C.; Hou, Z.Y.; You, J.C. A high-precision CMOS temperature sensor with thermistor linear calibration in the (−5 °C, 120 °C) temperature range. Sensors 2018, 18, 2165. [Google Scholar] [CrossRef] [PubMed]
- Jamieson, J. A platinum resistance thermometer. Electr. Educ. 1991, 1991, 7–9. [Google Scholar] [CrossRef]
- Arenas, O.; Alam, É.A.; Thevenot, A.; Cordier, Y.; Jaouad, A.; Aimez, V.; Maher, H.; Arès, R.; Boone, F. Integration of micro resistance thermometer detectors in AlGaN/GaN devices. IEEE J. Electron Devices Soc. 2014, 2, 145–148. [Google Scholar] [CrossRef]
- Perovich, D.K.; Grenfell, T.C.; Light, B. Transpolar observations of the morphological properties of Arctic sea ice. J. Geophys. Res. 2009, 114, C00A04. [Google Scholar] [CrossRef]
- Perovich, D.K.; Elder, B. Estimates of ocean heat flux at SHEBA. Geophys. Res. Lett. 2002, 29, 1344. [Google Scholar] [CrossRef]
- Lei, R.B.; Li, N.; Heil, P. Multiyear sea ice thermal regimes and oceanic heat flux derived from an ice mass balance buoy in the Arctic Ocean. J. Geophys. Res. Oceans 2014, 119, 537–547. [Google Scholar] [CrossRef]
- Lei, R.B.; Cheng, B.; Vihma, T. Seasonal and Interannual Variations of Sea Ice Mass Balance From the Central Arctic to the Greenland Sea. J. Geophys. Res. Oceans 2018, 123, 2422–2439. [Google Scholar] [CrossRef]
- Richter-Menge, J.A.; Perovich, D.K.; Elder, B. Ice mass balance buoys: A tool for measuring and attributing changes in the thickness of the Arctic sea ice cover. Ann. Glaciol. 2006, 44, 205–210. [Google Scholar] [CrossRef]
- Jackson, K.; Wilkinson, J.; Maksym, T. A novel and low cost sea ice mass balance buoy. J. Atmos. Oceanic Technol. 2013, 30, 13825. [Google Scholar] [CrossRef]
- McPhee, M.G.; Untersteiner, N. Using sea ice to measure heat flux in the ocean. J. Geophys. Res. Oceans 1982, 87, 2071–2074. [Google Scholar] [CrossRef]
- Cheng, B.; Zhang, Z.H.; Vihma, T. Model experiments on snow and ice thermodynamics in the Arctic Ocean with CHINARE 2003 data. J. Geophys. Res. 2008, 113, C09020. [Google Scholar] [CrossRef]
- Hoppmann, M.; Nicolaus, M.; Hunkeler, P.A. Seasonal evolution of an ice-shelf influenced fast-ice regime, derived from an autonomous thermistor chain. J. Geophys. Res. Oceans 2015, 120, 1703–1724. [Google Scholar] [CrossRef]
- Provost, C.; Sennéchael, N.; Miguet, J. Observations of flooding and snow-ice formation in a thinner Arctic sea ice regime during the N-ICE2015 campaign: Influence of basal ice melt and storms. J. Geophys. Res. Oceans 2017, 122, 7115–7134. [Google Scholar] [CrossRef]
- Zuo, G.Y.; Dou, Y.K.; Lei, R.B. Discrimination Algorithm and Procedure of Snow Depth and Sea Ice Thickness Determination Using Measurements of the Vertical Ice Temperature Profile by the Ice-tethered Buoys. Sensors 2018, 18, 4162. [Google Scholar] [CrossRef] [PubMed]
- Laxon, S.W.; Giles, K.A.; Ridout, A.L. CryoSat-2 estimates of Arctic sea ice thickness and volume. Geophys. Res. Lett. 2013, 40, 732–737. [Google Scholar] [CrossRef]





















| Sensor | Temperature Measurement Accuracy ( °C) | Length (m) | Sensor Spacing (m) | Structure |
|---|---|---|---|---|
| Ice mass balance buoy (IMB) | 0.1 | 4.5 | 0.10 | Solid state |
| Sea ice mass balance buoy (SIMB) | 0.1 | 4.8 | 0.02 | Flexible |
| Parameter | Value | Unit |
|---|---|---|
| D1 | 0.03 | m |
| D2 | 0.025 | m |
| D3 | 0.022 | m |
| D4 | 0.01 | m |
| D5 | 7.5 | mm |
| D6 | 6.0 | mm |
| D7 | 4.5 | mm |
| D8 | 2.5 | mm |
© 2018 by the authors. Licensee MDPI, Basel, Switzerland. This article is an open access article distributed under the terms and conditions of the Creative Commons Attribution (CC BY) license (http://creativecommons.org/licenses/by/4.0/).
Share and Cite
Zuo, G.; Dou, Y.; Chang, X.; Chen, Y.; Ma, C. Design and Performance Analysis of a Multilayer Sea Ice Temperature Sensor Used in Polar Region. Sensors 2018, 18, 4467. https://doi.org/10.3390/s18124467
Zuo G, Dou Y, Chang X, Chen Y, Ma C. Design and Performance Analysis of a Multilayer Sea Ice Temperature Sensor Used in Polar Region. Sensors. 2018; 18(12):4467. https://doi.org/10.3390/s18124467
Chicago/Turabian StyleZuo, Guangyu, Yinke Dou, Xiaomin Chang, Yan Chen, and Chunyan Ma. 2018. "Design and Performance Analysis of a Multilayer Sea Ice Temperature Sensor Used in Polar Region" Sensors 18, no. 12: 4467. https://doi.org/10.3390/s18124467
APA StyleZuo, G., Dou, Y., Chang, X., Chen, Y., & Ma, C. (2018). Design and Performance Analysis of a Multilayer Sea Ice Temperature Sensor Used in Polar Region. Sensors, 18(12), 4467. https://doi.org/10.3390/s18124467
