A Flexible Hot-Film Sensor Array for Underwater Shear Stress and Transition Measurement
Abstract
1. Introduction
2. Flexible Hot-Film Sensor
2.1. Working Principle
2.2. Fabrication
2.3. Calibration
3. Shear Stress Measurement
3.1. Shear Stress Measurement by Hot-Film Sensors
3.2. Shear Stress Calculated by Empirical Formula
3.3. Shear Stress Measured by LDV System
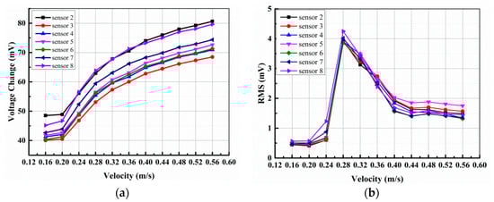
4. Transition Measurement
5. Conclusions
Author Contributions
Funding
Acknowledgments
Conflicts of Interest
References
- Schlichting, H.; Gersten, K. Boundary-Layer Theory; Springer: Berlin, Germany, 2016. [Google Scholar]
- Vinuesa, R.; Schlatter, P.; Nagib, H.M. Role of data uncertainties in identifying the logarithmic region of turbulent boundary layers. Exp. Fluids 2014, 55, 1751. [Google Scholar] [CrossRef]
- Löfdahl, L.; Gadelhak, M. MEMS-based pressure and shear stress sensors for turbulent flows. Meas. Sci. Technol. 1999, 10, 665. [Google Scholar] [CrossRef]
- Haritonidis, J.H. The measurement of wall shear stress. In Advances in Fluid Mechanics Measurements; Springer: Berlin/Heidelberg, Germany, 1989; pp. 229–261. [Google Scholar]
- Tani, I. Boundary-layer transition. Annu. Rev. Fluid Mech. 1969, 1, 169–196. [Google Scholar] [CrossRef]
- Kachanov, Y.S. Physical mechanisms of laminar-boundary-layer transition. Annu. Rev. Fluid Mech. 1994, 26, 411–482. [Google Scholar] [CrossRef]
- Eckhardt, B.; Schneider, T.M.; Hof, B.; Westerweel, J. Turbulence Transition in Pipe Flow. Annu. Rev. Fluid Mech. 2007, 39, 447–468. [Google Scholar] [CrossRef]
- Mullin, T. Experimental studies of transition to turbulence in a pipe. Annu. Rev. Fluid Mech. 2011, 43, 1–24. [Google Scholar] [CrossRef]
- Winter, K. An outline of the techniques available for the measurement of skin friction in turbulent boundary layers. Prog. Aerosp. Sci. 1979, 18, 1–57. [Google Scholar] [CrossRef]
- Fernholz, H.; Janke, G.; Schober, M.; Wagner, P.; Warnack, D. New developments and applications of skin-friction measuring techniques. Meas. Sci. Technol. 1996, 7, 1396. [Google Scholar] [CrossRef]
- Sheplak, M.; Cattafesta, L.; Nishida, T.; McGinley, C. MEMS shear stress sensors: Promise and progress. In Proceedings of the 24th AIAA Aerodynamic Measurement Technology and Ground Testing Conference, Portland, OR, USA, 28 June–1 July 2004; p. 2606. [Google Scholar]
- Bellhouse, B.J.; Schultz, D.L. Determination of mean and dynamic skin friction, separation and transition in low-speed flow with a thin-film heated element. J. Fluid Mech. 2006, 24, 379–400. [Google Scholar] [CrossRef]
- Owen, F.K. Transition experiments on a flat plate at subsonic and supersonic speeds. AIAA J. 2015, 8, 518–523. [Google Scholar] [CrossRef]
- Jiang, F.; Lee, G.B.; Tai, Y.C.; Ho, C.M. A flexible micromachine-based shear-stress sensor array and its application to separation-point detection. Sens. Actuators A Phys. 2000, 79, 194–203. [Google Scholar] [CrossRef]
- Sun, B.; Ma, B.; Yan, Y.; Jiang, C.; Yuan, W.; Xue, X.; Liu, G.; Fang, Y. A flexible hot-film shear stress sensor array and its application to airfoil separation detection. Sensors 2017, 2017, 1–3. [Google Scholar]
- Kuo, J.T.W.; Yu, L.; Meng, E. Micromachined Thermal Flow Sensors—A Review. Micromachines 2012, 3, 550–573. [Google Scholar] [CrossRef]
- Yong, X.; Qiao, L.; Guoyu, L.; Katragadda, R.B.; Fukang, J.; Tung, S.; Yu-Chong, T. Micromachined thermal shear-stress sensor for underwater applications. J. Microelectromech. Syst. 2005, 14, 1023–1030. [Google Scholar] [CrossRef]
- Haritonidis, J.H. The measurement of wall shear stress. Adv. Fluid Mech. Meas. 1989, 45, 229–261. [Google Scholar]
- Sun, B.; Ma, B.; Luo, J.; Li, B.; Jiang, C.; Deng, J. Sensing Elements Space Design of Hot-Film Sensor Array Considering Thermal Crosstalk. Sens. Actuators A Phys. 2017, 265, 217–223. [Google Scholar] [CrossRef]
- Wang, J.-J.; Hu, H.; Shang, C.-H. Effect of annealing on the performance of nickel thermistor on polyimide substrate. Thin Solid Films 2017, 632, 28–34. [Google Scholar] [CrossRef]
- Xu, Y.; Lin, Q.; Lin, G.; Katragadda, R.B.; Jiang, F.; Tung, S.; Tai, Y.C. Micromachined thermal shear-stress sensor for underwater applications. J. Microelectromech. Syst. 2005, 14, 1023–1030. [Google Scholar]
- Huang, H.; Sun, H.; Tian, Y.; Zhang, N.; Xie, H.; Shen, X. CFD analysis and experimental validation on the scheme of calibration for MEMS wall shear stress sensors array for underwater applications. J. Exp. Fluid Mech. 2016, 30, 79–83 and 102. [Google Scholar]
- Tian, Y.; Hua, X.; Huang, H.; Sun, H.; Nan, Z.; Xue, S. Calibration of MEMS wall shear-stress-sensors array for underwater applications. J. Exp. Fluid Mech. 2015, 29, 8–12 and 25. [Google Scholar]
- Daugherty, R.L.; Ingersoll, A.C. Fluid Mechanics; McGraw-Hill: New York, NY, YSA, 1954; p. 1233. [Google Scholar]
- Vinuesa, R.; Duncan, R.D.; Nagib, H.M. Alternative interpretation of the Superpipe data and motivation for CICLoPE: The effect of a decreasing viscous length scale. Eur. J. Mech. B Fluids 2016, 58, 109–116. [Google Scholar] [CrossRef]
- Tamaki, H. On the Solution of the Laminar Boundary Layer Equations. Rep. Inst. Sci. Technol. Univ. Tokyo 2006, 5, 49–62. [Google Scholar]
- Spalding, D.B. A Single Formula for the “Law of the Wall”. Trans. ASME J. Appl. Mech. 1961, 28, 455–458. [Google Scholar] [CrossRef]
- Rezaeiravesh, S.; Vinuesa, R.; Liefvendahl, M.; Schlatter, P. Assessment of uncertainties in hot-wire anemometry and oil-film interferometry measurements for wall-bounded turbulent flows. Eur. J. Mech. B Fluids 2018, 72, 57–73. [Google Scholar] [CrossRef]
- Johnson, C.B.; Carraway, D.L. A transition detection study at Mach 1.5, 2.0 and 2.5 using a micro-thin hot-film system. In Proceedings of the International Congress on Instrumentation in Aerospace Simulation Facilities, Gottingen, Germany, 18–21 September 1989; pp. 82–94. [Google Scholar]















| Velocity (m/s) | Shear Stress (Pa) | ||
|---|---|---|---|
| Sensor 4 (x = 798 mm) | Sensor 5 (x = 804 mm) | Sensor 7 (x = 816 mm) | |
| 0.20 | 0.033 | 0.033 | 0.033 |
| 0.25 | 0.050 | 0.050 | 0.052 |
| 0.30 | 0.108 | 0.101 | 0.106 |
| 0.35 | 0.189 | 0.177 | 0.182 |
| 0.40 | 0.331 | 0.325 | 0.334 |
| 0.45 | 0.453 | 0.466 | 0.459 |
| 0.50 | 0.582 | 0.595 | 0.570 |
| 0.55 | 0.698 | 0.694 | 0.677 |
| 0.60 | 0.782 | 0.783 | 0.780 |
| 0.65 | 0.882 | 0.877 | 0.871 |
| 0.70 | 0.982 | 0.971 | 0.999 |
| Velocity (m/s) | Boundary Layer Thickness (mm) | |
|---|---|---|
| Laminar Empirical Formula | Turbulence Empirical Formula | |
| 0.20 | 10.49 | 23.43 |
| 0.25 | 9.43 | 22.73 |
| 0.30 | 8.63 | 22.15 |
| 0.35 | 7.97 | 21.66 |
| 0.40 | 7.50 | 21.29 |
| 0.45 | 7.03 | 20.90 |
| 0.50 | 6.70 | 20.61 |
| 0.55 | 6.36 | 20.30 |
| 0.60 | 6.10 | 20.07 |
| 0.65 | 5.85 | 19.83 |
| 0.70 | 5.64 | 19.62 |
| Velocity (m/s) | Shear Stress (Pa) | |||||
|---|---|---|---|---|---|---|
| Laminar Estimation | Turbulence Estimation | |||||
| x = 798 | x = 804 | x = 816 | x = 798 | x = 804 | x = 816 (mm) | |
| 0.20 | 0.035 | 0.035 | 0.035 | 0.099 | 0.099 | 0.099 |
| 0.25 | 0.049 | 0.049 | 0.049 | 0.150 | 0.150 | 0.149 |
| 0.30 | 0.065 | 0.064 | 0.064 | 0.210 | 0.210 | 0.210 |
| 0.35 | 0.081 | 0.081 | 0.080 | 0.280 | 0.280 | 0.279 |
| 0.40 | 0.099 | 0.099 | 0.098 | 0.359 | 0.359 | 0.358 |
| 0.45 | 0.119 | 0.118 | 0.117 | 0.447 | 0.446 | 0.445 |
| 0.50 | 0.139 | 0.138 | 0.137 | 0.543 | 0.543 | 0.542 |
| 0.55 | 0.160 | 0.160 | 0.158 | 0.649 | 0.648 | 0.646 |
| 0.60 | 0.183 | 0.182 | 0.181 | 0.762 | 0.761 | 0.760 |
| 0.65 | 0.206 | 0.205 | 0.204 | 0.884 | 0.883 | 0.882 |
| 0.70 | 0.230 | 0.229 | 0.228 | 1.015 | 1.014 | 1.012 |
| Velocity (m/s) | Boundary Layer Thickness (mm) | Shear Stress (Pa) |
|---|---|---|
| 0.20 | 10.35 | 0.033 |
| 0.30 | 11.50 | 0.108 |
| 0.40 | 12.17 | 0.334 |
| 0.50 | 22.76 | 0.542 |
| 0.60 | 21.86 | 0.763 |
| 0.70 | 21.25 | 1.031 |
© 2018 by the authors. Licensee MDPI, Basel, Switzerland. This article is an open access article distributed under the terms and conditions of the Creative Commons Attribution (CC BY) license (http://creativecommons.org/licenses/by/4.0/).
Share and Cite
Sun, B.; Wang, P.; Luo, J.; Deng, J.; Guo, S.; Ma, B. A Flexible Hot-Film Sensor Array for Underwater Shear Stress and Transition Measurement. Sensors 2018, 18, 3469. https://doi.org/10.3390/s18103469
Sun B, Wang P, Luo J, Deng J, Guo S, Ma B. A Flexible Hot-Film Sensor Array for Underwater Shear Stress and Transition Measurement. Sensors. 2018; 18(10):3469. https://doi.org/10.3390/s18103469
Chicago/Turabian StyleSun, Baoyun, Pengbin Wang, Jian Luo, Jinjun Deng, Shiqi Guo, and Binghe Ma. 2018. "A Flexible Hot-Film Sensor Array for Underwater Shear Stress and Transition Measurement" Sensors 18, no. 10: 3469. https://doi.org/10.3390/s18103469
APA StyleSun, B., Wang, P., Luo, J., Deng, J., Guo, S., & Ma, B. (2018). A Flexible Hot-Film Sensor Array for Underwater Shear Stress and Transition Measurement. Sensors, 18(10), 3469. https://doi.org/10.3390/s18103469

