Microfluidic Platform for the Long-Term On-Chip Cultivation of Mammalian Cells for Lab-On-A-Chip Applications
Abstract
:1. Introduction
2. Design Aspects
2.1. Concept
2.2. Design of the Hydrogel Membranes
2.3. Dimensioning of the Culture Chamber
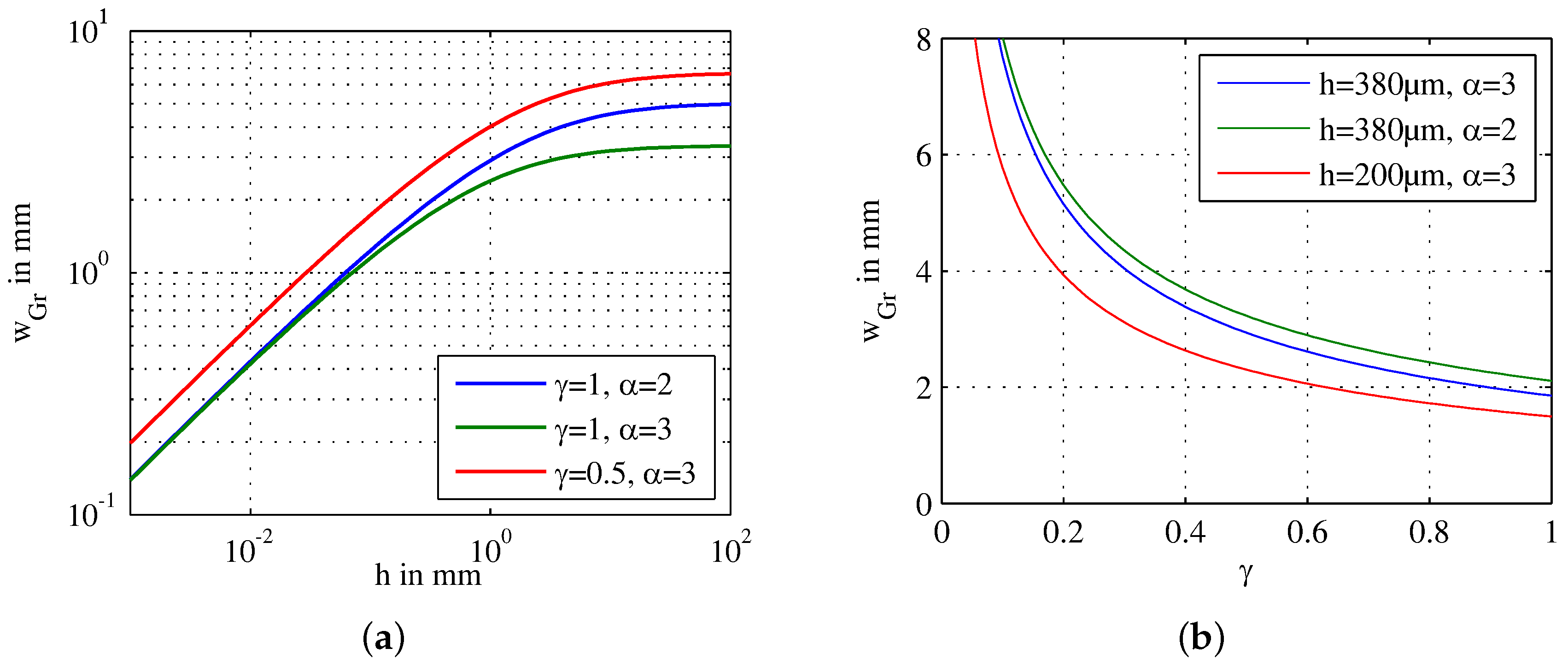
- : Thinner hydrogel membranes result in wider chambers. Without any membrane (), the maximum width is 3.9 mm. As mentioned above, the membrane is more robust if (i.e., 0.8 mm and 1.1 mm), resulting in a width of the chamber of 3.2 mm and 2.9 mm, respectively.
- h: The height has a major influence on the width of the growth chamber as shown in Figure 3a. Considering that the width of the hydrogel is proportional to the chamber height, there is an upper limit for the width of the growth chamber asA good compromise between a maximal width of the growth chamber and easy fabrication is the usage of standard silicon wafers with a height of 380 for the walls. This results in a chamber width of 3.1 mm.
- : The filling factor that describes how much area is covered with cells also has a major influence on the width of the growth area as shown in Figure 3b. Less cells obviously result in wider chambers. For , the width is reduced to 1.9 mm. However, mammalian cells need space to grow and proliferate in order to avoid stress on the cells. Consequently, limiting the filling factor to is necessary for healthy cells, which means that the cells have to be split and a part of the cells have to be removed once 50% of the growth area is covered.
3. Materials and Methods
3.1. Materials
3.2. Fabrication
3.3. Assembly
3.4. Preparation of the Devices
4. Experiments and Results
5. Discussion
6. Conclusions
- continuous but independent supply of gases and nutrients,
- low requirements of the pump regarding flow speed, precision and stability,
- no need for an external incubator,
- no shear stress onto the cells,
- the culture chamber could be closed once the cells are inserted resulting in a low contamination risk.
Acknowledgments
Author Contributions
Conflicts of Interest
Abbreviations
| DRIE | Deep reactive ion etching |
| FEM | Finite-element-method |
| GMEM | Glasgow Minimum Essential Medium |
| LoC | Lab-on-a-chip |
| MDCK | Madin Darby Canine Kidney cell line |
| OCR | Oxygen consumption rate |
| ODT | Octadecanethiol |
| PDMS | Polydimethylsiloxane |
References
- Chin, C.D.; Linder, V.; Sia, S.K. Commercialization of microfluidic point-of-care diagnostic devices. Lab Chip 2012, 12, 2118. [Google Scholar] [CrossRef] [PubMed]
- Booth, R.; Kim, H. Characterization of a microfluidic in vitro model of the blood-brain barrier. Lab Chip 2012, 12, 1784. [Google Scholar] [CrossRef] [PubMed]
- Schurink, B.; Luttge, R. Hydrogel/poly-dimethylsiloxane hybrid bioreactor facilitating 3D cell culturing. J. Vac. Sci. Technol. B Nanotechnol. Microelectron. Mater. Process. Meas. Phenom. 2013, 31, 06F903. [Google Scholar] [CrossRef]
- Grist, S.M.; Chrostowski, L.; Cheung, K.C. Optical Oxygen Sensors for Applications in Microfluidic Cell Culture. Sensors 2010, 10, 9286–9316. [Google Scholar] [CrossRef] [PubMed]
- Yu, T.; Guo, Z.; Fan, H.; Song, J.; Liu, Y.; Gao, Z.; Wang, Q. Cancer-associated fibroblasts promote non-small cell lung cancer cell invasion by upregulation of glucose-regulated protein 78 (GRP78) expression in an integrated bionic microfluidic device. Oncotarget 2016, 7, 25593. [Google Scholar] [CrossRef] [PubMed]
- Toh, Y.C.; Zhang, C.; Zhang, J.; Khong, Y.M.; Chang, S.; Samper, V.D.; van Noort, D.; Hutmacher, D.W.; Yu, H. A novel 3D mammalian cell perfusion-culture system in microfluidic channels. Lab Chip 2007, 7, 302. [Google Scholar] [CrossRef] [PubMed]
- Jeon, J.S.; Bersini, S.; Gilardi, M.; Dubini, G.; Charest, J.L.; Moretti, M.; Kamm, R.D. Human 3D vascularized organotypic microfluidic assays to study breast cancer cell extravasation. Proc. Natl. Acad. Sci. USA 2014, 112, 214–219. [Google Scholar] [CrossRef] [PubMed]
- Van der Meer, A.D.; Orlova, V.V.; ten Dijke, P.; van den Berg, A.; Mummery, C.L. Three-dimensional co-cultures of human endothelial cells and embryonic stem cell-derived pericytes inside a microfluidic device. Lab Chip 2013, 13, 3562. [Google Scholar] [CrossRef] [PubMed]
- Esch, M.B.; Ueno, H.; Applegate, D.R.; Shuler, M.L. Modular, pumpless body-on-a-chip platform for the co-culture of GI tract epithelium and 3D primary liver tissue. Lab Chip 2016, 16, 2719–2729. [Google Scholar] [CrossRef] [PubMed]
- Jin, H.; Yu, Y. A Review of the Application of Body-on-a-Chip for Drug Test and Its Latest Trend of Incorporating Barrier Tissue. J. Lab. Autom. 2016, 21, 615–624. [Google Scholar] [CrossRef] [PubMed]
- Skardal, A.; Shupe, T.; Atala, A. Organoid-on-a-chip and body-on-a-chip systems for drug screening and disease modeling. Drug Discov. Today 2016, 21, 1399–1411. [Google Scholar] [CrossRef] [PubMed]
- Lei, K.F.; Tseng, H.P.; Lee, C.Y.; Tsang, N.M. Quantitative Study of Cell Invasion Process under Extracellular Stimulation of Cytokine in a Microfluidic Device. Sci. Rep. 2016, 6, 25557. [Google Scholar] [CrossRef] [PubMed]
- Lin, J.L.; Wang, S.S.; Wu, M.H.; Oh-Yang, C.C. Development of an Integrated Microfluidic Perfusion Cell Culture System for Real-Time Microscopic Observation of Biological Cells. Sensors 2011, 11, 8395–8411. [Google Scholar] [CrossRef] [PubMed]
- Stolberg, S.; McCloskey, K.E. Can shear stress direct stem cell fate? Biotechnology Progress 2009, 25, 10–19. [Google Scholar] [CrossRef] [PubMed]
- Hattori, K.; Munehira, Y.; Kobayashi, H.; Satoh, T.; Sugiura, S.; Kanamori, T. Microfluidic perfusion culture chip providing different strengths of shear stress for analysis of vascular endothelial function. J. Biosci. Bioeng. 2014, 118, 327–332. [Google Scholar] [CrossRef] [PubMed]
- Shin, Y.; Han, S.; Jeon, J.S.; Yamamoto, K.; Zervantonakis, I.K.; Sudo, R.; Kamm, R.D.; Chung, S. Microfluidic assay for simultaneous culture of multiple cell types on surfaces or within hydrogels. Nat. Protoc. 2012, 7, 1247–1259. [Google Scholar] [CrossRef] [PubMed]
- Noh, S.; Kim, H. A micro lung chip to assess air pollutant effects. In Proceedings of the IEEE 30th International Conference on Micro Electro Mechanical Systems (MEMS), Las Vegas, NV, USA, 22–26 January 2017; pp. 498–501. [Google Scholar]
- Frisk, T.; Rydholm, S.; Andersson, H.; Stemme, G.; Brismar, H. A concept for miniaturized 3-D cell culture using an extracellular matrix gel. Electrophoresis 2005, 26, 4751–4758. [Google Scholar] [CrossRef] [PubMed]
- Brennan, M.D.; Rexius-Hall, M.L.; Elgass, L.J.; Eddington, D.T. Oxygen control with microfluidics. Lab Chip 2014, 14, 4305–4318. [Google Scholar] [CrossRef] [PubMed]
- Acosta, M.A.; Jiang, X.; Huang, P.K.; Cutler, K.B.; Grant, C.S.; Walker, G.M.; Gamcsik, M.P. A microfluidic device to study cancer metastasis under chronic and intermittent hypoxia. Biomicrofluidics 2014, 8, 054117. [Google Scholar] [CrossRef] [PubMed]
- Forry, S.P.; Locascio, L.E. On-chip CO2 control for microfluidic cell culture. Lab Chip 2011, 11, 4041. [Google Scholar] [CrossRef] [PubMed]
- Grist, S.; Schmok, J.; Liu, M.C.; Chrostowski, L.; Cheung, K. Designing a Microfluidic Device with Integrated Ratiometric Oxygen Sensors for the Long-Term Control and Monitoring of Chronic and Cyclic Hypoxia. Sensors 2015, 15, 20030–20052. [Google Scholar] [CrossRef] [PubMed]
- Takano, A.; Tanaka, M.; Futai, N. On-chip multi-gas incubation for microfluidic cell cultures under hypoxia. Biomicrofluidics 2014, 8, 061101. [Google Scholar] [CrossRef] [PubMed]
- Berthier, E.; Young, E.W.K.; Beebe, D. Engineers are from PDMS-land, Biologists are from Polystyrenia. Lab Chip 2012, 12, 1224. [Google Scholar] [CrossRef] [PubMed]
- Regehr, K.J.; Domenech, M.; Koepsel, J.T.; Carver, K.C.; Ellison-Zelski, S.J.; Murphy, W.L.; Schuler, L.A.; Alarid, E.T.; Beebe, D.J. Biological implications of polydimethylsiloxane-based microfluidic cell culture. Lab Chip 2009, 9, 2132. [Google Scholar] [CrossRef] [PubMed]
- Sackmann, E.K.; Fulton, A.L.; Beebe, D.J. The present and future role of microfluidics in biomedical research. Nature 2014, 507, 181–189. [Google Scholar] [CrossRef] [PubMed]
- Volpatti, L.R.; Yetisen, A.K. Commercialization of microfluidic devices. Trends Biotechnol. 2014, 32, 347–350. [Google Scholar] [CrossRef] [PubMed]
- Bunge, F.; van den Driesche, S.; Vellekoop, M.J. A novel on-chip element to provide mammalian cell cultivation and passaging to labs-on-chip. Proceedings of 19th International Conference on Solid-State Sensors, Actuators and Microsystems (TRANSDUCERS), Kaohsiung, Taiwan, 18–22 June 2017; pp. 1588–1591. [Google Scholar]
- Bunge, F.; van den Driesche, S.; Vellekoop, M.J. Symmetric surficial phaseguides: A passive technology to generate wall-less channels by two-dimensional guiding elements. Microfluid. Nanofluid. 2016, 20. [Google Scholar] [CrossRef]
- Vulto, P.; Podszun, S.; Meyer, P.; Hermann, C.; Manz, A.; Urban, G.A. Phaseguides: A paradigm shift in microfluidic priming and emptying. Lab Chip 2011, 11, 1596. [Google Scholar] [CrossRef] [PubMed]
- Mot, A.I.; Liddell, J.R.; White, A.R.; Crouch, P.J. Circumventing the Crabtree Effect: A method to induce lactate consumption and increase oxidative phosphorylation in cell culture. Int. J. Biochem. Cell Biol. 2016, 79, 128–138. [Google Scholar] [CrossRef] [PubMed]
- Sidorenko, Y.; Wahl, A.; Dauner, M.; Genzel, Y.; Reichl, U. Comparison of Metabolic Flux Distributions for MDCK Cell Growth in Glutamine- and Pyruvate-Containing Media. Biotechnol. Prog. 2008, 24, 311–320. [Google Scholar] [CrossRef] [PubMed]
- Altamirano, C.; Berrios, J.; Vergara, M.; Becerra, S. Advances in improving mammalian cells metabolism for recombinant protein production. Electron. J. Biotechnol. 2013, 16. [Google Scholar] [CrossRef]
- Wagner, B.A.; Venkataraman, S.; Buettner, G.R. The rate of oxygen utilization by cells. Free Radic. Biol. Med. 2011, 51, 700–712. [Google Scholar] [CrossRef] [PubMed]
- Flueckiger, J.; Bazargan, V.; Stoeber, B.; Cheung, K.C. Characterization of postfabricated parylene C coatings inside PDMS microdevices. Sens. Actuators B Chem. 2011, 160, 864–874. [Google Scholar] [CrossRef]
- Ron, H.; Cohen, H.; Matlis, S.; Rappaport, M.; Rubinstein, I. Self-Assembled Monolayers on Oxidized Metals. 4. Superiorn-Alkanethiol Monolayers on Copper. J. Phys. Chem. B 1998, 102, 9861–9869. [Google Scholar] [CrossRef]
- Li, Z.; Chang, S.C.; Williams, R.S. Self-Assembly of Alkanethiol Molecules onto Platinum and Platinum Oxide Surfaces. Langmuir 2003, 19, 6744–6749. [Google Scholar] [CrossRef]








| Description | Year | Comment | Nutrient Supply | Gas Supply | Ref. |
|---|---|---|---|---|---|
| Blood-brain-barrier | 2012 | Coculture and conductivity measurements | Perfusion and diffusion through membrane | Diffusion through PDMS | [2] |
| PDMS-hydrogel hybrid reactor | 2013 | 3D-culture on multi-electrode array | Diffusion through 3D-culture | Diffusion through PDMS | [3] |
| Lung cancer chip | 2016 | 3D-2D-coculture | Perfusion, diffusion through 3D-culture | Diffusion through PDMS | [5] |
| 3D-cell culture | 2007 | - | Diffusion through 3D-culture | Diffusion through PDMS | [6] |
| Breast-cancer analysis | 2015 | 3D-cell culture | Diffusion through 3D-culture | Diffusion through PDMS | [7] |
| Blood-vessel- on-a-chip | 2013 | 3D-Coculture | not possible | Diffusion through PDMS | [8] |
| Liver-on-a-chip | 2016 | Modular and pumpless platform for 2D-3D-coculture and electrical measurements | Perfusion and diffusion through 3D-culture | Oxygen dissolved in medium | [9] |
| Cell invasion | 2016 | Measurement of cell movement through membrane | Exchange of medium | Open reservoir | [12] |
| Integrated perfusion system | 2011 | Integration of heater, pump and electrical readout | Perfusion | Diffusion through PDMS | [13] |
| Shear-stress culture | 2014 | Chamber with different shear stress on cells | Perfusion | Diffusion through PDMS | [15] |
| Assay for coculturing | 2012 | Suitable for 2D and 3D-cell cultures | Diffusion through hydrogel | Diffusion through PDMS | [16] |
| Micro-lung | 2017 | Integration of membrane and electrical readout | Perfusion | Diffusion through PDMS | [17] |
| 3D-cell culture | 2005 | Close chip out of glass and silicon | Perfusion and diffusion through 3D-culture | perfusion with fresh medium | [18] |
| Cancer metastasis under hypoxia | 2014 | Integration of gas supply and oxygen sensor | Perfusion | Diffusion through PDMS | [20] |
| CO2-control culture | 2011 | Gradient of CO2 | Perfusion | Diffusion through PDMS | [21] |
| Hypoxia monitoring of cells | 2015 | Oxygen control and sensing for 3D-cell cultures | Perfusion | Diffusion through PDMS | [22] |
| On-chip incubator | 2014 | Integration of oxygen supply | Perfusion | Oxygen dissolved in medium | [23] |
| This work | 2017 | Platform for entire passaging process | Diffusion through hydrogel | Diffusion through hydrogel | - |
| Compound | Metabolic Rate | Concentration | Exchange Time | Diffusion Coefficient |
|---|---|---|---|---|
| Glucose | 250 | 25 | 28 | |
| Lactate | 490 | 20 | 11 | |
| Ammonium | 11 | 2 | 50 | |
| Oxygen | 20 | 0.2 | 2.7 |
© 2017 by the authors. Licensee MDPI, Basel, Switzerland. This article is an open access article distributed under the terms and conditions of the Creative Commons Attribution (CC BY) license (http://creativecommons.org/licenses/by/4.0/).
Share and Cite
Bunge, F.; Driesche, S.V.d.; Vellekoop, M.J. Microfluidic Platform for the Long-Term On-Chip Cultivation of Mammalian Cells for Lab-On-A-Chip Applications. Sensors 2017, 17, 1603. https://doi.org/10.3390/s17071603
Bunge F, Driesche SVd, Vellekoop MJ. Microfluidic Platform for the Long-Term On-Chip Cultivation of Mammalian Cells for Lab-On-A-Chip Applications. Sensors. 2017; 17(7):1603. https://doi.org/10.3390/s17071603
Chicago/Turabian StyleBunge, Frank, Sander Van den Driesche, and Michael J. Vellekoop. 2017. "Microfluidic Platform for the Long-Term On-Chip Cultivation of Mammalian Cells for Lab-On-A-Chip Applications" Sensors 17, no. 7: 1603. https://doi.org/10.3390/s17071603
APA StyleBunge, F., Driesche, S. V. d., & Vellekoop, M. J. (2017). Microfluidic Platform for the Long-Term On-Chip Cultivation of Mammalian Cells for Lab-On-A-Chip Applications. Sensors, 17(7), 1603. https://doi.org/10.3390/s17071603

