Vital Sign Monitoring and Mobile Phone Usage Detection Using IR-UWB Radar for Intended Use in Car Crash Prevention
Abstract
:1. Introduction
2. Problem Description and Signal Preprocessing
2.1. Problem Statement
2.1.1. Monitoring of Vital Signs
2.1.2. Detection of Phone Usage
2.2. Signal Pre-Processing
3. Proposed Algorithm
3.1. Vital Sign Measurement
3.1.1. Extracting Receive Signals Which Have Useful Vital Sign Information
| Algorithm 1: Sinusoidal data fitting algorithm for parameters estimation |
|
| Algorithm 2: Selection of the fast time indexes that gives the best fit signals |
|
3.1.2. Estimate of Breathing and Heart Rate through the Vital Signal Reconstruction
| Algorithm 3: Step by step construction of the vital signal from the best fit signals |
| (1) Initialization Find “k” best-fit signals whose R-square values are above certain set threshold, say R-square_min = 0.3.The size of each best-fit signal is 256 samples. So, we have a matrix of In our example, k = 9. (2) for If (iteration == 1) Then Find the first zero-crossing fast time index ( of all the “k” best-fit signals. And find the sub-signal component, which has the maximum value of For our example, are found to be as follows: for Append the sub-signal component to the previously constructed vital signal. Find the correlation of the resulting signal For our example: Else; stop the loop; Save; the constructed_vital_signalThe final vital signal obtained is given in the Figure 10. end |
3.2. Dual-Mode Background Subtraction Algorithm for Phone Detection
4. Results and Discussion
4.1. Experimental Setup and Reference Data Measurements
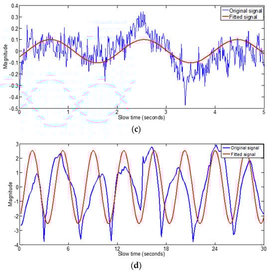
4.2. Respiration & Heart Rate Results
4.3. Mobile Phone Detection Results
5. Conclusions
Acknowledgments
Author Contributions
Conflicts of Interest
References
- World Health Organization. Violence and Injury Prevention. Global Status Report on Road Safety 2013: Supporting a Decade of Action; World Health Organization: Geneva, Switzerland, 2013. [Google Scholar]
- Horswill, M.S.; McKenna, F.P. Drivers’ hazard perception ability: Situation awareness on the road. In A Cognitive Approach to Situation Awareness: Theory and Application; Banbury, S., Tremblay, S., Eds.; Ashgate: Aldershot, UK, 2004; pp. 155–175. [Google Scholar]
- Klauer, S.G.; Dingus, T.A.; Neale, V.L.; Sudweeks, J.D.; Ramsey, D.J. The Impact of Driver Inattention on Near-Crash/Crash Risk: An Analysis Using the 100-Car Naturalistic Driving Study Data; National Highway Traffic Safety Administration: Washington, DC, USA, 2006. [Google Scholar]
- Romin, L.A.; John, A.; Bissonette, J.A. Deer: Vehicle collisions: Status of state monitoring activities and mitigation efforts. Wildl. Soc. Bull. 1996, 24, 276–283. [Google Scholar]
- Retting, R.A.; Ferguson, S.A.; McCartt, A.T. A review of evidence-based traffic engineering measures designed to reduce pedestrian–motor vehicle crashes. Am. J. Public Health 2003, 93, 1456–1463. [Google Scholar] [CrossRef] [PubMed]
- Wanvik, P.O. Effects of road lighting: An analysis based on Dutch accident statistics 1987–2006. Accid. Anal. Prev. 2009, 41, 123–128. [Google Scholar] [CrossRef] [PubMed]
- Pérez, J.; Seco, F.; Milanés, V.; Jiménez, A.; Díaz, J.C.; De Pedro, T. An RFID-based intelligent vehicle speed controller using active traffic signals. Sensors 2010, 10, 5872–5887. [Google Scholar] [CrossRef] [PubMed]
- Jones, W.D. Keeping cars from crashing. IEEE Spectr. 2001, 38, 40–45. [Google Scholar] [CrossRef]
- Vahidi, A.; Eskandarian, A. Research advances in intelligent collision avoidance and adaptive cruise control. IEEE Trans. Intell. Transp. Syst. 2003, 4, 143–153. [Google Scholar] [CrossRef]
- Widmann, G.R.; Daniels, M.K.; Hamilton, L.; Humm, L.; Riley, B.; Schiffmann, J.K.; Schnelker, D.E.; Wishon, W.H. Comparison of Lidar-Based and Radar-Based Adaptive Cruise Control Systems; SAE Technical Paper No. 2000-01-0345; SAE International: Warrendale, PA, USA, 2000. [Google Scholar] [CrossRef]
- Ji, Q.; Zhu, Z.; Lan, P. Real-time nonintrusive monitoring and prediction of driver fatigue. IEEE Trans. Veh. Technol. 2004, 53, 1052–1068. [Google Scholar] [CrossRef]
- Rodríguez-Ibáñez, N.M.; García-González, A.; Fernández-Chimeno, M.; Ramos-Castro, J. Drowsiness detection by thoracic effort signal analysis in real driving environments. In Proceedings of the 2011 Annual International Conference IEEE Engineering in Medicine and Biology Society (EMBS), Boston, MA, USA, 20 August–3 September 2011. [Google Scholar]
- Liu, C.C.; Hosking, S.G.; Lenné, M.G. Predicting driver drowsiness using vehicle measures: Recent insights and future challenges. J. Saf. Res. 2009, 40, 239–245. [Google Scholar] [CrossRef] [PubMed]
- Forsman, P.M.; Vila, B.J.; Short, R.A.; Mott, C.G.; Van Dongen, H.P.A. Efficient driver drowsiness detection at moderate levels of drowsiness. Accid. Anal. Prev. 2013, 50, 341–350. [Google Scholar] [CrossRef] [PubMed]
- Fan, X.; Yin, B.-C.; Sun, Y.-F. Yawning detection based on Gabor wavelets and LDA. J. Beijing Univ. Technol. 2009, 35, 409–413. [Google Scholar]
- Zhang, Z.; Zhang, J. A new real-time eye tracking based on nonlinear unscented Kalman filter for monitoring driver fatigue. J. Control Theory Appl. 2010, 8, 181–188. [Google Scholar] [CrossRef]
- Yin, B.-C.; Fan, X.; Sun, Y.-F. Multiscale dynamic features based driver fatigue detection. Int. J. Pattern Recognit. Artif. Intell. 2009, 23, 575–589. [Google Scholar] [CrossRef]
- Akin, M.; Kurt, M.B.; Sezgin, N.; Bayram, M. Estimating vigilance level by using EEG and EMG signals. Neural Comput. Appl. 2008, 17, 227–236. [Google Scholar] [CrossRef]
- Khushaba, R.N.; Kodagoda, S.; Lal, S.; Dissanayake, G. Driver drowsiness classification using fuzzy wavelet-packet-based feature-extraction algorithm. IEEE Trans. Biomed. Eng. 2011, 58, 121–131. [Google Scholar] [CrossRef] [PubMed]
- Liang, W.C.; Yuan, J.; Sun, D.C.; Lin, M.H. Changes in physiological parameters induced by indoor simulated driving: Effect of lower body exercise at mid-term break. Sensors 2009, 9, 6913–6933. [Google Scholar] [CrossRef] [PubMed]
- Yang, G.; Lin, Y.; Bhattacharya, P. A driver fatigue recognition model based on information fusion and dynamic Bayesian network. Inf. Sci. 2010, 180, 1942–1954. [Google Scholar] [CrossRef]
- Kokonozi, A.K.; Michail, E.M.; Chouvarda, I.C.; Maglaveras, N.M. A study of heart rate and brain system complexity and their interaction in sleep-deprived subjects. In Proceedings of the 35th Annual Computers in Cardiology Conference, Bologna, Italy, 14–17 September 2008; pp. 969–971. [Google Scholar]
- Reyner, L.A.; Horne, J.A. Falling asleep whilst driving: Are drivers aware of prior sleepiness? Int. J. Leg. Med. 1998, 111, 120–123. [Google Scholar] [CrossRef]
- Mittal, A.; Kumar, K.; Dhamija, S.; Kaur, M. Head movement-based driver drowsiness detection: A review of state-of-art techniques. In Proceedings of the 2016 IEEE International Conference on Engineering and Technology (ICETECH), Coimbatore, India, 17–18 March 2016. [Google Scholar]
- Davide, D.; Decarli, N.; Guerra, A.; Al-Rimawi, A.; Puchades, V.M.; Prati, G.; De Angelis, M.; Fraboni, F.; Pietrantoni, L. High-Accuracy Tracking Using Ultrawideband Signals for Enhanced Safety of Cyclists. Mob. Inf. Syst. 2017, 2017, 8149348. [Google Scholar]
- Khan, F.; Leem, S.L.; Cho, S.H. Hand-Based Gesture Recognition for Vehicular Applications Using IR-UWB Radar. Sensors 2017, 17, 833. [Google Scholar] [CrossRef] [PubMed]
- Win, M.Z.; Dardari, D.; Molisch, A.F.; Wiesbeck, W.; Zhang, J. History and applications of UWB. Proc. IEEE 2009, 97, 198–204. [Google Scholar] [CrossRef]
- Khan, F.; Cho, S.H. A Detailed Algorithm for Vital Sign Monitoring of a Stationary/Non-Stationary Human through IR-UWB Radar. Sensors 2017, 17, 290. [Google Scholar] [CrossRef] [PubMed]
- Khan, F.; Choi, J.W.; Cho, S.H. Vital sign monitoring of a non-stationary human through IR-UWB radar. In Proceedings of the 4th IEEE International Conference on Network Infrastructure and Digital Content (IC-NIDC), Beijing, China, 19–21 September 2014. [Google Scholar]
- Lazaro, A.; Girbau, D.; Villarino, R. Techniques for clutter suppression in the presence of body movements during the detection of respiratory activity through UWB radars. Sensors 2014, 14, 2595–2618. [Google Scholar] [CrossRef] [PubMed]
- Hu, X.; Jin, T. Short-Range Vital Signs Sensing Based on EEMD and CWT Using IR-UWB Radar. Sensors 2016, 16, 2025. [Google Scholar] [CrossRef] [PubMed]
- Engelberg, J.K.; Hill, L.L.; Rybar, J.; Styer, T. Distracted driving behaviors related to cell phone use among middle-aged adults. J. Transp. Health 2015, 2, 434–440. [Google Scholar] [CrossRef]
- Odero, W.; Garner, P.; Zwi, A. Road traffic injuries in developing countries: A comprehensive review of epidemiological studies. Trop. Med. Int. Health 1997, 2, 445–460. [Google Scholar] [CrossRef] [PubMed]
- Nasar, J.L.; Troyer, D. Pedestrian injuries due to mobile phone use in public places. Accid. Anal. Prev. 2013, 57, 91–95. [Google Scholar] [CrossRef] [PubMed]
- Violanti, J.M.; Marshall, J.R. Cellular phones and traffic accidents: An epidemiological approach. Accid. Anal. Prev. 1996, 28, 265–270. [Google Scholar] [CrossRef]
- Yusuf, A.; Bulan, O.; Loce, R.P.; Paul, P. Driver cell phone usage detection from HOV/HOT NIR images. In Proceedings of the IEEE Conference on Computer Vision and Pattern Recognition Workshops, Columbus, OH, USA, 23–28 June 2014. [Google Scholar]
- Smith, M.J.; Stephens, D.R. Detecting Use of a Mobile Device by a Driver of a Vehicle, Such as an Automobile. U.S. Patent Application No. 13/290,126, 23 August 2012. [Google Scholar]
- Xu, B.; Loce, R.P. A machine learning approach for detecting cell phone usage. In Proceedings of the IS&T/SPIE Electronic Imaging, International Society for Optics and Photonics, San Francisco, CA, USA, 4 March 2015. [Google Scholar]
- Yim, D.H.; Cho, S.H. An Equidistance Multi-Human Detection Algorithm Based on Noise Level Using Mono-static IR-UWB Radar System. In Proceedings of the 2014 International Conference on Future Communication, Information and Computer Science (FCICS 2014), Beijing, China, 22–23 May 2014. [Google Scholar]
- Tomas, A. Parameter Estimation and Waveform Fitting for Narrowband Signals. Doctoral Thesis, KTH Royal Institute of Technology, Stockholm, Sweden, 2005. [Google Scholar]
- Rife, D.; Boorstyn, R. Single tone parameter estimation from discrete-time observations. IEEE Trans. Inf. Theory 1974, 20, 591–598. [Google Scholar] [CrossRef]
- Petre, S.; Moses, R.L.; Friedlander, B.; Soderstrom, T. Maximum likelihood estimation of the parameters of multiple sinusoids from noisy measurements. IEEE Trans. Acoust. Speech Signal Process. 1989, 37, 378–392. [Google Scholar]
- Steel, R.G.D.; Torrie, J.H. Principles and Procedures of Statistics with Special Reference to the Biological Sciences; Mcgraw-Hill Book Company: New York, NY, USA, 1960. [Google Scholar]
- Yano, S.M. Investigating the ultra-wideband indoor wireless channel. In Proceedings of the IEEE 55th Vehicular Technology Conference, VTC Spring 2002, Birmingham, AL, USA, 6–9 May 2002. [Google Scholar]
- PSL-iECG2 (Mini-Size 2ch ECG Sensor Module with Isolation). Available online: http://physiolab.en.ec21.com/PSL-iECG2_Mini-size_2ch_ECG_sensor--9063127_9816937.html (accessed on 29 May 2017).
- AL-Khalidi, F.Q.; Saatchi, R.; Burke, D.; Elphick, H.; Tan, S. Respiration rate monitoring methods: A review. Pediatr. Pulmonol. 2011, 46, 523–529. [Google Scholar] [CrossRef] [PubMed]
- Nam, Y.; Reyes, B.A.; Chon, K.H. Estimation of Respiratory Rates Using the Built-in Microphone of a Smartphone or Headset. IEEE J. Biomed. Health Inform. 2016, 26, 1493–1501. [Google Scholar] [CrossRef] [PubMed]

























| Movement Case | No. of Best-Fit Columns above R-Square Threshold (0.3) | Reference Measurement (Breathing Rate) | Estimated Value (Breathing Rate) | |
|---|---|---|---|---|
| stationary | 19 | 18 | 18 | |
| general movements | hand motion near body | 8 | 18 | 19 |
| shoulder motion for steering | 4 | 18 | 16 | |
| gesture made by hand away from body | 11 | 18 | 18 | |
| lips motion during speaking | 14 | 18 | 18 | |
| specific driving movements | head movement to watch the mirror of the car | 7 | 18 | 18 |
| turning the car | 4 | 18 | 20 | |
| applying the brakes | 7 | 18 | 17 | |
| accelerating the car | 10 | 18 | 18 | |
| Movement Case | No. of Best-Fit Columns above R-Square Threshold (0.3) | Reference Measurement (Heart Rate) | Estimated Value (Heart Rate) | |
|---|---|---|---|---|
| stationary | 17 | 72 | 72 | |
| general movements | hand motion near body | 9 | 72 | 71 |
| gesture made by hand away from body | 11 | 73 | 72 | |
| lips motion during speaking | 12 | 72 | 73 | |
| specific driving movements | head movement to watch the mirror of the car | 8 | 72 | 74 |
| turning the car | 5 | 72 | 75 | |
| applying the brakes | 7 | 74 | 71 | |
| accelerating the car | 12 | 72 | 72 | |
| Movement Case | Average Error (Bpm) (Respiration Rate) | Average Error (Bpm) (Heart Rate) | |
|---|---|---|---|
| stationary | almost zero | almost zero | |
| general movements | hand motion near body | 0.7 | 1.1 |
| gesture made by hand away from body | 0.3 | 0.9 | |
| lips motion during speaking | 0.2 | 0.6 | |
| specific driving movements | lead movement to watch the mirror of the car | 0.3 | 2.0 |
| turning the car | 1.2 | 2.5 | |
| applying the brakes | 0.5 | 1.7 | |
| accelerating the car | 0.4 | 1.3 | |
| Object | Detail Action | Detection Rate | False Alarm Rate |
|---|---|---|---|
| mobile phone | texting | 100% (1) | 0% (2) |
| scrolling, touching | 100% (1) | ||
| viewing | 100% (1) | ||
| moving object for a moment | moving hand | N/A | 0% (3) |
| moving water bottle | 0% (3) | ||
| moving cell phone | 0% (3) | ||
| change of background | water bottle (appearing) | 0% (4) | |
| water bottle (disappearing) | 0% (4) |
© 2017 by the authors. Licensee MDPI, Basel, Switzerland. This article is an open access article distributed under the terms and conditions of the Creative Commons Attribution (CC BY) license (http://creativecommons.org/licenses/by/4.0/).
Share and Cite
Leem, S.K.; Khan, F.; Cho, S.H. Vital Sign Monitoring and Mobile Phone Usage Detection Using IR-UWB Radar for Intended Use in Car Crash Prevention. Sensors 2017, 17, 1240. https://doi.org/10.3390/s17061240
Leem SK, Khan F, Cho SH. Vital Sign Monitoring and Mobile Phone Usage Detection Using IR-UWB Radar for Intended Use in Car Crash Prevention. Sensors. 2017; 17(6):1240. https://doi.org/10.3390/s17061240
Chicago/Turabian StyleLeem, Seong Kyu, Faheem Khan, and Sung Ho Cho. 2017. "Vital Sign Monitoring and Mobile Phone Usage Detection Using IR-UWB Radar for Intended Use in Car Crash Prevention" Sensors 17, no. 6: 1240. https://doi.org/10.3390/s17061240
APA StyleLeem, S. K., Khan, F., & Cho, S. H. (2017). Vital Sign Monitoring and Mobile Phone Usage Detection Using IR-UWB Radar for Intended Use in Car Crash Prevention. Sensors, 17(6), 1240. https://doi.org/10.3390/s17061240

