Evaluation of the Performance of the Distributed Phased-MIMO Sonar
Abstract
:1. Introduction
2. Distributed Phased-MIMO Sonar Processing Framework
2.1. Narrowband Signal Model
2.2. Broadband Signal Model
2.3. MIMO Detection in Shallow Water Environment
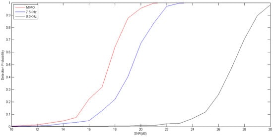
3. Numerical Simulations
4. Experimental Results and Analysis
4.1. Tank Experiments
4.2. At-Lake Experiments
5. Conclusions
Acknowledgments
Author Contributions
Conflicts of Interest
References
- Fishler, E.; Haimovich, A.; Blum, R.; Chizhik, D.; Cimini, L.; Valenzuela, R. MIMO radar: An idea whose time has come. In Proceedings of the IEEE Radar Conference, Philadelphia, PA, USA, 26–29 April 2004; pp. 71–78.
- Li, J.; Stoica, P. MIMO radar with colocated antennas. IEEE Signal Process. Mag. 2007, 5, 106–114. [Google Scholar] [CrossRef]
- Haimovich, A.M.; Blum, R.S.; Cimini, L.J. MIMO radar with widely separated antennas. IEEE Signal Process. Mag. 2008, 1, 116–129. [Google Scholar] [CrossRef]
- Lehmann, N.H.; Haimovich, A.M.; Blum, R.S.; Cimini, L. High resolution capabilities of MIMO radar. In Proceedings of the Fortieth Asilomar Conference on Signals, Systems and Computers, Pacific Grove, CA, USA, 29 October–1 November 2006; pp. 25–30.
- Lehmann, N.H.; Fishler, E.; Haimovich, A.M.; Blum, R.S.; Chizhik, D.; Cimini, L.J.; Valenzuela, R.A. Evaluation of transmit diversity in MIMO-radar direction finding. IEEE Trans. Signal Process. 2007, 5, 2215–2225. [Google Scholar] [CrossRef]
- Godrich, H.; Haimovich, A.M.; Blum, R.S. Target localization techniques and tools for multiple-input multiple-output radar. IET Radar Sonar Navig. 2009, 4, 314–327. [Google Scholar] [CrossRef]
- Godrich, H.; Haimovich, A.M.; Blum, R.S. Target localization accuracy gain in MIMO radar-based systems. IEEE Trans. Inf. Theory 2010, 6, 2783–2803. [Google Scholar] [CrossRef]
- He, Q.; Blum, R.S.; Godrich, H.; Haimovich, A.M. Target velocity estimation and antenna placement for MIMO radar with widely separated antennas. IEEE J. Sel. Top. Signal Process. 2010, 1, 79–100. [Google Scholar] [CrossRef]
- Fishler, E.; Haimovich, A.; Blum, R.S.; Cimini, L.J.; Chizhik, D.; Valenzuela, R.A. Spatial diversity in radars-models and detection performance. IEEE Trans. Signal Process. 2006, 3, 823–838. [Google Scholar] [CrossRef]
- He, Q.; Blum, R.S. Diversity Gain for MIMO Neyman—Pearson Signal Detection. IEEE Trans. Signal Process. 2011, 3, 869–881. [Google Scholar] [CrossRef]
- Aubry, A.; Lops, M.; Tulino, A.M.; Venturino, L. On MIMO detection under non-Gaussian target scattering. IEEE Trans. Inf. Theory 2010, 11, 5822–5838. [Google Scholar] [CrossRef]
- He, Q.; Lehmann, N.H.; Blum, R.S.; Haimovich, A.M. MIMO radar moving target detection in homogeneous clutter. IEEE Trans. Aerosp. Electron. Syst. 2010, 3, 1290–1301. [Google Scholar] [CrossRef]
- Wang, P.; Li, H.; Himed, B. A parametric moving target detector for distributed MIMO radar in non-homogeneous environment. IEEE Trans. Signal Process. 2013, 9, 2282–2294. [Google Scholar] [CrossRef]
- Akcakaya, M.; Nehorai, A. Adaptive MIMO radar design and detection in compound-Gaussian clutter. IEEE Trans. Aerosp. Electron. Syst. 2011, 3, 2200–2207. [Google Scholar] [CrossRef]
- Tajer, A.; Jajamovich, G.H.; Wang, X.D.; Moustakids, G.V. Optimal joint target detection and parameter estimation by MIMO radar. IEEE J. Sel. Top. Signal Process. 2010, 1, 1613–1622. [Google Scholar] [CrossRef]
- Niu, R.; Blum, R.S.; Varshney, P.K.; Drozd, A.L. Target localization and tracking in noncoherent multiple-input multiple-output radar systems. IEEE Trans. Aerosp. Electron. Syst. 2012, 2, 1466–1489. [Google Scholar] [CrossRef]
- Gogineni, S.; Nehorai, A. Monopulse MIMO radar for target tracking. IEEE Trans. Aerosp. Electron. Syst. 2011, 1, 755–768. [Google Scholar] [CrossRef]
- Gorji, A.A.; Tharmarasa, R.; Kirubarajan, T. Widely separated MIMO versus multistatic radars for target localization and tracking. IEEE Trans. Aerosp. Electron. Syst. 2013, 4, 2179–2194. [Google Scholar] [CrossRef]
- Gogineni, S.; Nehorai, A. Target estimation using sparse modeling for distributed MIMO radar. IEEE Trans. Signal Process. 2011, 11, 5315–5325. [Google Scholar] [CrossRef]
- Li, H.; Wang, Z.; Liu, J.; Himed, B. Moving target detection in distributed MIMO radar on moving platforms. IEEE J. Sel. Top. Signal Process. 2015, 8, 1524–1535. [Google Scholar] [CrossRef]
- Bekkerman, I.; Tabrikian, J. Target detection and localization using MIMO radars and sonars. IEEE Trans. Signal Process. 2006, 10, 3873–3883. [Google Scholar] [CrossRef]
- Cai, L.; Ma, X.; Li, S. On orthogonal waveform design for MIMO sonar. In Proceedings of the 2010 International Conference on Intelligent Control and Information Processing (ICICIP), Dalian, China, 13–15 August 2010; pp. 69–72.
- Shi, W.; Huang, J.; Cui, X.; Hou, Y. Orthogonal waveforms design and performance analysis for MIMO sonar. In Proceedings of the IEEE Signal Process Conference, Beijing, China, 24–28 October 2010; pp. 2382–2385.
- Pailhas, Y.; Petillot, Y.; Capus, C.; Brown, K. Broadband MIMO sonar system: A theoretical and experimental approach. In Proceedings of the 3rd International Conference and Exhibition on Underwater Acoustic Measurements: Technologies & Results, Nafplion, Greece, 21–26 June 2009.
- Pailhas, Y.; Petillot, Y. Large MIMO sonar systems: A tool for underwater surveillance. In Proceedings of the Sensor Signal Processing for Defence Conference, Edinburgh, UK, 8–9 September 2014.
- Hassanien, A.; Vorobyov, S.A. Phased-MIMO Radar: A tradeoff between phased-array and MIMO Radars. IEEE Trans. Signal Process. 2010, 6, 3137–3151. [Google Scholar] [CrossRef]
- Scharf, L.L. Statistical Signal Processing: Detection, Estimation and Time Series Analysis; Addison Wesley: New York, NY, USA, 1991. [Google Scholar]
- Friedlander, B.; Zeira, A. Detection of broadband signals in frequency and time dispersive channels. IEEE Trans. Signal Process. 1996, 7, 127–145. [Google Scholar] [CrossRef]











© 2017 by the authors; licensee MDPI, Basel, Switzerland. This article is an open access article distributed under the terms and conditions of the Creative Commons Attribution (CC-BY) license (http://creativecommons.org/licenses/by/4.0/).
Share and Cite
Pan, X.; Jiang, J.; Wang, N. Evaluation of the Performance of the Distributed Phased-MIMO Sonar. Sensors 2017, 17, 133. https://doi.org/10.3390/s17010133
Pan X, Jiang J, Wang N. Evaluation of the Performance of the Distributed Phased-MIMO Sonar. Sensors. 2017; 17(1):133. https://doi.org/10.3390/s17010133
Chicago/Turabian StylePan, Xiang, Jingning Jiang, and Nan Wang. 2017. "Evaluation of the Performance of the Distributed Phased-MIMO Sonar" Sensors 17, no. 1: 133. https://doi.org/10.3390/s17010133
APA StylePan, X., Jiang, J., & Wang, N. (2017). Evaluation of the Performance of the Distributed Phased-MIMO Sonar. Sensors, 17(1), 133. https://doi.org/10.3390/s17010133

