Förster Resonance Energy Transfer between Quantum Dot Donors and Quantum Dot Acceptors
Abstract
:1. Introduction
2. Background
2.1. Semiconductor Nanocrystal Quantum Dots


2.2. Electronic Structure of QDs

2.3. FRET Equations

| FRET Pair | Donor Molar Extinction Coefficient (εD; M−1∙cm−1) | Acceptor Molar Extinction Coefficient (εA; M−1∙cm−1) | Donor Quantum Yield (ΦD) | Overlap Integral (J; M−1∙cm−1∙nm4) | Förster Distance (R0; nm) | |
|---|---|---|---|---|---|---|
| a | FP-FP | 32,500 a (ECFP) | 83,400 (EYFP) | 0.40 | 1.99 × 1015 | 4.53 |
| b | QD-FP | 190,860 (λ1S); b 389,700 (λe) c | 72,000 (mCherry) | 0.60 d | 6.20 × 1015 | 5.86 |
| c | QD-QD (Homo-FRET) | 142,220 (λ1S); 208,800 (λe) | 142,220 (λ1S); 208,800 (λe) | 0.60 | 8.52 × 1015 | 6.18 |
| d | QD-QD (Hetero-FRET) | 102,370 (λ1S); 116,200 (λe) | 190,860 (λ1S); 387,900 (λe); | 0.60 | 1.29 × 1016 | 6.63 |
2.4. Crosstalk
2.5. FRET Measurement Techniques

3. QD-QD FRET
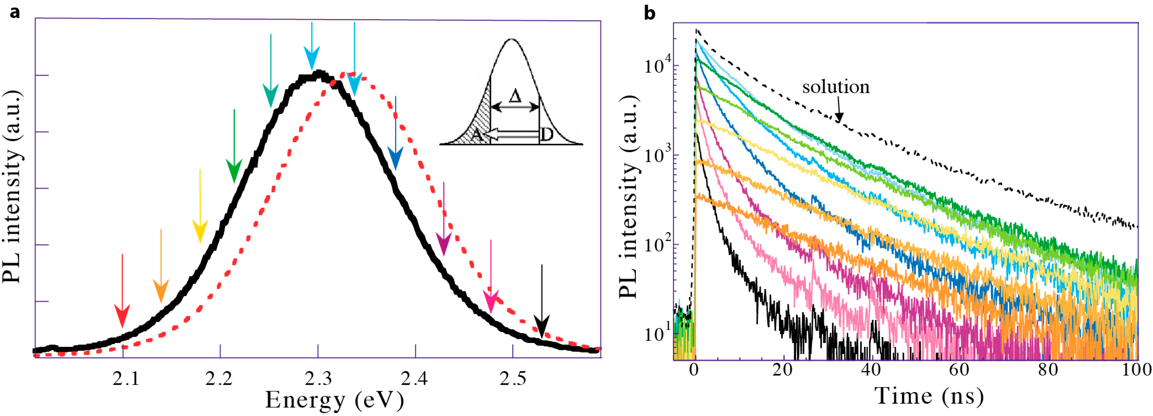
3.1. Homotransfer amongst QDs

3.2. QD-QD Heterotransfer

3.3. FRET between Different Species of QDs
3.4. Controlling Donor-Acceptor Distance through Concentration

3.5. Controlling Donor-Acceptor Distance by Embedding QDs in Polymers
3.6. Ligand-Induced Aggregation

4. QD-QD FRET Biosensors



5. QD-QD FRET within Complex Nanostructures
5.1. Increasing FRET Efficiency

5.2. Directing Energy Transfer
5.3. Biosensing Using Complex Nanostructures

6. Discussion
6.1. Multivalency in QD-QD FRET Systems


6.2. Crosstalk in QD-QD FRET
6.3. Point-Dipole Approximation
6.4. Future Directions
7. Conclusions
Acknowledgments
Conflicts of Interest
References
- Förster, T. Zwischenmolekulare Energiewanderung und Fluoreszenz. Ann. Phys. 1948, 437, 55–75. [Google Scholar] [CrossRef]
- Lakowicz, J.R. Principles of Fluorescence Spectroscopy, 3rd ed.; Springer: New York, NY, USA, 2006; pp. 1–954. [Google Scholar]
- Zhang, Y.; Wang, T.H. Quantum dot enabled molecular sensing and diagnostics. Theranostics 2012, 2, 631–654. [Google Scholar] [CrossRef] [PubMed]
- Medintz, I.L.; Mattoussi, H. Quantum dot-based resonance energy transfer and its growing application in biology. Phys. Chem. Chem. Phys. 2009, 11, 17–45. [Google Scholar] [CrossRef] [PubMed]
- Medintz, I.L.; Uyeda, H.T.; Goldman, E.R.; Mattoussi, H. Quantum dot bioconjugates for imaging, labelling and sensing. Nat. Mater. 2005, 4, 435–446. [Google Scholar] [CrossRef] [PubMed]
- Yuan, L.; Lin, W.; Zheng, K.; Zhu, S. FRET-based small-molecule fluorescent probes: Rational design and bioimaging applications. Acc. Chem. Res. 2013, 46, 1462–1473. [Google Scholar] [CrossRef] [PubMed]
- Miyawaki, A. Visualization of the spatial and temporal dynamics of intracellular signaling. Dev. Cell 2003, 4, 295–305. [Google Scholar] [CrossRef]
- Claussen, J.C.; Algar, W.R.; Hildebrandt, N.; Susumu, K.; Ancona, M.G.; Medintz, I.L. Biophotonic logic devices based on quantum dots and temporally-staggered Förster energy transfer relays. Nanoscale 2013, 5, 12156–12170. [Google Scholar] [CrossRef] [PubMed]
- Claussen, J.C.; Hildebrandt, N.; Susumu, K.; Ancona, M.G.; Medintz, I.L. Complex logic functions implemented with quantum dot bionanophotonic circuits. ACS Appl. Mater. Interfaces 2014, 6, 3771–3778. [Google Scholar] [CrossRef] [PubMed]
- Choi, S.; Jin, H.; Bang, J.; Kim, S. Layer-by-layer quantum dot assemblies for the enhanced energy transfers and their applications toward efficient solar cells. J. Phys. Chem. Lett. 2012, 3, 3442–3447. [Google Scholar] [CrossRef]
- Santra, P.K.; Kamat, P.V. Tandem-layered quantum dot solar cells: Tuning the photovoltaic response with luminescent ternary cadmium chalcogenides. J. Am. Chem. Soc. 2013, 135, 877–885. [Google Scholar] [CrossRef] [PubMed]
- Zheng, K.; Žídek, K.; Abdellah, M.; Torbjörnsson, M.; Chábera, P.; Shao, S.; Zhang, F.; Pullerits, T. Fast monolayer adsorption and slow energy transfer in CdSe quantum dot sensitized ZnO nanowires. J. Phys. Chem. A 2013, 117, 5919–5925. [Google Scholar] [CrossRef] [PubMed]
- Kamat, P.V. Quantum dot solar cells. Semiconductor nanocrystals as light harvesters. J. Phys. Chem. C 2008, 112, 18737–18753. [Google Scholar] [CrossRef]
- Sapsford, K.E.; Berti, L.; Medintz, I.L. Materials for fluorescence resonance energy transfer analysis: Beyond traditional donor-acceptor combinations. Angew. Chem. Int. Ed. 2006, 45, 4562–4589. [Google Scholar] [CrossRef] [PubMed]
- Resch-Genger, U.; Grabolle, M.; Cavaliere-Jaricot, S.; Nitschke, R.; Nann, T. Quantum dots versus organic dyes as fluorescent labels. Nat. Methods 2008, 5, 763–775. [Google Scholar] [CrossRef] [PubMed]
- Alivisatos, A.P.; Gu, W.; Larabell, C. Quantum dots as cellular probes. Annu. Rev. Biomed. Eng. 2005, 7, 55–76. [Google Scholar] [CrossRef] [PubMed]
- Michalet, X.; Pinaud, F.; Lacoste, T.D.; Dahan, M.; Bruchez, M.P.; Alivisatos, A.P.; Weiss, S. Properties of fluorescent semiconductor nanocrystals and their application to biological labeling. Single Mol. 2001, 2, 261–276. [Google Scholar] [CrossRef]
- Alivisatos, P. The use of nanocrystals in biological detection. Nat. Biotechnol. 2004, 22, 47–52. [Google Scholar] [CrossRef] [PubMed]
- Dabbousi, B.O.; Rodriguez-Viejo, J.; Mikulec, F.V.; Heine, J.R.; Mattoussi, H.; Ober, R.; Jensen, K.F.; Bawendi, M.G. (CdSe)ZnS core−shell quantum dots: Synthesis and characterization of a size series of highly luminescent nanocrystallites. J. Phys. Chem. B 1997, 101, 9463–9475. [Google Scholar] [CrossRef]
- Han, M.; Gao, X.; Su, J.Z.; Nie, S. Quantum-dot-tagged microbeads for multiplexed optical coding of biomolecules. Nat. Biotechnol. 2001, 19, 631–635. [Google Scholar] [CrossRef] [PubMed]
- Klostranec, J.M.; Chan, W.C.W. Quantum dots in biological and biomedical research: Recent progress and present challenges. Adv. Mater. 2006, 18, 1953–1964. [Google Scholar] [CrossRef]
- Clapp, A.R.; Medintz, I.L.; Mauro, J.M.; Fisher, B.R.; Bawendi, M.G.; Mattoussi, H. Fluorescence resonance energy transfer between quantum dot donors and dye-labeled protein acceptors. J. Am. Chem. Soc. 2004, 126, 301–310. [Google Scholar] [CrossRef] [PubMed]
- Clapp, A.R.; Medintz, I.L.; Mattoussi, H. Förster resonance energy transfer investigations using quantum-dot fluorophores. Chemphyschem 2006, 7, 47–57. [Google Scholar] [CrossRef] [PubMed]
- Sapsford, K.E.; Pons, T.; Medintz, I.L.; Mattoussi, H. Biosensing with luminescent semiconductor quantum dots. Sensors 2006, 6, 925–953. [Google Scholar] [CrossRef]
- Chen, G.W.; Song, F.L.; Xiong, X.Q.; Peng, X.J. Fluorescent nanosensors based on fluorescence resonance energy transfer (FRET). Ind. Eng. Chem. Res. 2013, 52, 11228–11245. [Google Scholar] [CrossRef]
- Chen, N.T.; Cheng, S.H.; Liu, C.P.; Souris, J.S.; Chen, C.T.; Mou, C.Y.; Lo, L.W. Recent advances in nanoparticle-based Förster resonance energy transfer for biosensing, molecular imaging and drug release profiling. Int. J. Mol. Sci. 2012, 13, 16598–16623. [Google Scholar] [CrossRef] [PubMed]
- Petryayeva, E.; Algar, W.R.; Medintz, I.L. Quantum dots in bioanalysis: A review of applications across various platforms for fluorescence spectroscopy and imaging. Appl. Spectrosc. 2013, 67, 215–252. [Google Scholar] [CrossRef] [PubMed]
- Clapp, A.R.; Medintz, I.L.; Fisher, B.R.; Anderson, G.P.; Mattoussi, H. Can luminescent quantum dots be efficient energy acceptors with organic dye donors? J. Am. Chem. Soc. 2005, 127, 1242–1250. [Google Scholar] [CrossRef] [PubMed]
- Algar, W.R.; Wegner, D.; Huston, A.L.; Blanco-Canosa, J.B.; Stewart, M.H.; Armstrong, A.; Dawson, P.E.; Hildebrandt, N.; Medintz, I.L. Quantum dots as simultaneous acceptors and donors in time-gated Förster resonance energy transfer relays: Characterization and biosensing. J. Am. Chem. Soc. 2012, 134, 1876–1891. [Google Scholar] [CrossRef] [PubMed]
- Geissler, D.; Linden, S.; Liermann, K.; Wegner, K.D.; Charbonniere, L.J.; Hildebrandt, N. Lanthanides and quantum dots as Förster resonance energy transfer agents for diagnostics and cellular imaging. Inorg. Chem. 2014, 53, 1824–1838. [Google Scholar] [CrossRef] [PubMed]
- So, M.-K.; Loening, A.M.; Gambhir, S.S.; Rao, J. Creating self-illuminating quantum dot conjugates. Nat. Protoc. 2006, 1, 1160–1164. [Google Scholar] [CrossRef] [PubMed]
- So, M.K.; Xu, C.J.; Loening, A.M.; Gambhir, S.S.; Rao, J.H. Self-illuminating quantum dot conjugates for in vivo imaging. Nat. Biotechnol. 2006, 24, 339–343. [Google Scholar] [CrossRef] [PubMed]
- Yao, H.Q.; Zhang, Y.; Xiao, F.; Xia, Z.Y.; Rao, J.H. Quantum dot/bioluminescence resonance energy transfer based highly sensitive detection of proteases. Angew. Chem. Int. Ed. 2007, 46, 4346–4349. [Google Scholar] [CrossRef] [PubMed]
- Huang, X.Y.; Li, L.; Qian, H.F.; Dong, C.Q.; Ren, J.C. A resonance energy transfer between chemiluminescent donors and luminescent quantum-dots as acceptors (CRET). Angew. Chem. 2006, 45, 5140–5143. [Google Scholar] [CrossRef] [PubMed]
- Chan, W.C.W.; Maxwell, D.J.; Gao, X.H.; Bailey, R.E.; Han, M.Y.; Nie, S.M. Luminescent quantum dots for multiplexed biological detection and imaging. Curr. Opin. Biotechnol. 2002, 13, 40–46. [Google Scholar] [CrossRef]
- Baskoutas, S.; Terzis, A.F. Size-dependent band gap of colloidal quantum dots. J. Appl. Phys. 2006, 99, 013708. [Google Scholar] [CrossRef]
- Hines, M.A.; Guyot-Sionnest, P. Synthesis and characterization of strongly luminescing ZnS-capped CdSe nanocrystals. J. Phys. Chem. 1996, 100, 468–471. [Google Scholar] [CrossRef]
- Cox, J. A quantum paintbox. Chem Brit. 2003, 39, 21–25. [Google Scholar]
- Smith, A.M.; Nie, S.M. Semiconductor nanocrystals: Structure, properties, and band gap engineering. Accounts Chem. Res. 2010, 43, 190–200. [Google Scholar] [CrossRef] [PubMed]
- Nam, J.; Won, N.; Bang, J.; Jin, H.; Park, J.; Jung, S.; Jung, S.; Park, Y.; Kim, S. Surface engineering of inorganic nanoparticles for imaging and therapy. Adv. Drug Deliv. Rev. 2013, 65, 622–648. [Google Scholar] [CrossRef] [PubMed]
- Biju, V. Chemical modifications and bioconjugate reactions of nanomaterials for sensing, imaging, drug delivery and therapy. Chem. Soc. Rev. 2014, 43, 744–64. [Google Scholar] [CrossRef] [PubMed]
- Hines, D.A.; Kamat, P.V. Recent advances in quantum dot surface chemistry. ACS Appl. Mater. Inter. 2014, 6, 3041–3057. [Google Scholar] [CrossRef] [PubMed]
- Tyrakowski, C.M.; Snee, P.T. A primer on the synthesis, water-solubilization, and functionalization of quantum dots, their use as biological sensing agents, and present status. Phys. Chem. Chem. Phys. 2014, 16, 837–855. [Google Scholar] [CrossRef] [PubMed]
- Klimov, V.I.; McBranch, D.W.; Leatherdale, C.A.; Bawendi, M.G. Electron and hole relaxation pathways in semiconductor quantum dots. Phys. Rev. B 1999, 60, 13740–13749. [Google Scholar] [CrossRef]
- Reiss, P.; Protière, M.; Li, L. Core/shell semiconductor nanocrystals. Small 2009, 5, 154–168. [Google Scholar] [CrossRef] [PubMed]
- Lunz, M.; Bradley, A.L.; Chen, W.Y.; Gerard, V.A.; Byrne, S.J.; Gun’Ko, Y.K.; Lesnyak, V.; Gaponik, N. Influence of quantum dot concentration on Förster resonant energy transfer in monodispersed nanocrystal quantum dot monolayers. Phys. Rev. B 2010, 81, 205316. [Google Scholar] [CrossRef]
- Dennis, A.M.; Rhee, W.J.; Sotto, D.; Dublin, S.N.; Bao, G. Quantum dot-fluorescent protein FRET probes for sensing intracellular pH. ACS Nano 2012, 6, 2917–2924. [Google Scholar] [CrossRef] [PubMed]
- Mićić, O.I.; Sprague, J.; Lu, Z.; Nozik, A.J. Highly efficient band-edge emission from InP quantum dots. Appl. Phys. Lett. 1996, 68, 3150. [Google Scholar] [CrossRef]
- Wu, P.; Yan, X.P. Doped quantum dots for chemo/biosensing and bioimaging. Chem. Soc. Rev. 2013, 42, 5489–5521. [Google Scholar] [CrossRef] [PubMed]
- Mahler, B.; Spinicelli, P.; Buil, S.; Quelin, X.; Hermier, J.P.; Dubertret, B. Towards non-blinking colloidal quantum dots. Nat. Mater. 2008, 7, 659–664. [Google Scholar] [CrossRef] [PubMed]
- Chen, Y.; Vela, J.; Htoon, H.; Casson, J.L.; Werder, D.J.; Bussian, D.A.; Klimov, V.I.; Hollingsworth, J.A. “Giant” multishell CdSe nanocrystal quantum dots with suppressed blinking. J. Am. Chem. Soc. 2008, 130, 5026–5027. [Google Scholar] [CrossRef] [PubMed]
- Van der Meer, B.W. Förster Theory. In FRET—Förster Resonance Energy Transfer; Wiley-VCH Verlag GmbH & Co. KGaA: Weinheim, Germany, 2013; pp. 23–62. [Google Scholar]
- Hildebrandt, N. How to apply FRET: From experimental design to data analysis. In FRET—Förster Resonance Energy Transfer; Wiley-VCH Verlag GmbH & Co. KGaA: Weinheim, Germany, 2013; pp. 105–163. [Google Scholar]
- Dennis, A.M.; Bao, G. Quantum dot-fluorescent protein pairs as novel fluorescence resonance energy transfer probes. Nano Lett. 2008, 8, 1439–1445. [Google Scholar] [CrossRef] [PubMed]
- Bose, R.; McMillan, J.F.; Gao, J.; Rickey, K.M.; Chen, C.J.; Talapin, D.V.; Murray, C.B.; Wong, C.W. Temperature-tuning of near-infrared monodisperse quantum dot solids at 1.5 microm for controllable Förster energy transfer. Nano Lett. 2008, 8, 2006–2011. [Google Scholar] [CrossRef] [PubMed]
- Crooker, S.A.; Hollingsworth, J.A.; Tretiak, S.; Klimov, V.I. Spectrally resolved dynamics of energy transfer in quantum-dot assemblies: Towards engineered energy flows in artificial materials. Phys. Rev. Lett. 2002, 89, 186802. [Google Scholar] [CrossRef] [PubMed]
- Muñoz-Losa, A.; Curutchet, C.; Krueger, B.P.; Hartsell, L.R.; Mennucci, B. Fretting about FRET: Failure of the ideal dipole approximation. Biophys. J. 2009, 96, 4779–4788. [Google Scholar] [CrossRef] [PubMed]
- Fluorophores.org. Available online: http://www.fluorophores.tugraz.at/ (accessed on 3 April 2015).
- Hink, M.A.; Visser, N.V.; Borst, J.W.; van Hoek, A.; Visser, A.J.W.G. Practical use of corrected fluorescence excitation and emission spectra of fluorescent proteins in Förster resonance energy transfer (FRET) studies. J. Fluoresc. 2003, 13, 185–188. [Google Scholar] [CrossRef]
- Olenych, S.G.; Claxton, N.S.; Ottenberg, G.K.; Davidson, M.W. The fluorescent protein color palette. Curr. Protoc. Cell Biol. 2007. [Google Scholar] [CrossRef]
- Xu, F.; Ma, X.; Haughn, C.R.; Benavides, J.; Doty, M.F.; Cloutier, S.G.; Pbs, C.; Dot, Q. Efficient exciton funneling in cascaded PbS quantum dot superstructures. ACS Nano 2011, 5, 9950–9957. [Google Scholar] [CrossRef] [PubMed]
- Liu, T.-C.; Zhang, H.-L.; Wang, J.-H.; Wang, H.-Q.; Zhang, Z.-H.; Hua, X.-F.; Cao, Y.-C.; Luo, Q.-M.; Zhao, Y.-D. Study on molecular interactions between proteins on live cell membranes using quantum dot-based fluorescence resonance energy transfer. Anal. Bioanal. Chem. 2008, 391, 2819–2824. [Google Scholar] [CrossRef] [PubMed]
- Franzl, T.; Klar, T.A.; Schietinger, S.; Rogach, A.L.; Feldmann, J. Exciton recycling in graded gap nanocrystal structures. Nano Lett. 2004, 4, 1599–1603. [Google Scholar] [CrossRef]
- Broussard, J.A.; Rappaz, B.; Webb, D.J.; Brown, C.M. Fluorescence resonance energy transfer microscopy as demonstrated by measuring the activation of the serine/threonine kinase Akt. Nat. Protoc. 2013, 8, 265–281. [Google Scholar] [CrossRef] [PubMed]
- Geissler, D.; Stufler, S.; Lohmannsroben, H.G.; Hildebrandt, N. Six-color time-resolved Förster resonance energy transfer for ultrasensitive multiplexed biosensing. J. Am. Chem. Soc. 2013, 135, 1102–1109. [Google Scholar] [CrossRef] [PubMed]
- Luchowski, R.; Matveeva, E.G.; Gryczynski, I.; Terpetschnig, E.A.; Patsenker, L.; Laczko, G.; Borejdo, J.; Gryczynski, Z. Single molecule studies of multiple-fluorophore labeled antibodies. Effect of homo-FRET on the number of photons available before photobleaching. Curr. Pharm. Biotechnol. 2008, 9, 411–420. [Google Scholar] [CrossRef] [PubMed]
- Grundmann, M.; Christen, J.; Ledentsov, N.N.; Böhrer, J.; Bimberg, D.; Ruvimov, S.S.; Werner, P.; Richter, U.; Gösele, U.; Heydenreich, J.; et al. Ultranarrow luminescence lines from single quantum dots. Phys. Rev. Lett. 1995, 74, 4043–4046. [Google Scholar] [CrossRef] [PubMed]
- Valerini, D.; Creti, A.; Lomascolo, M.; Manna, L.; Cingolani, R.; Anni, M. Temperature dependence of the photoluminescence properties of colloidal CdSe/ZnS core/shell quantum dots embedded in a polystyrene matrix. Phys. Rev. B 2005, 71, 235409. [Google Scholar] [CrossRef]
- Micic, O.I.; Jones, K.M.; Cahill, A.; Nozik, A.J. Optical, electronic, and structural properties of uncoupled and close-packed arrays of InP quantum dots. J. Phys. Chem. B 1998, 102, 9791–9796. [Google Scholar] [CrossRef]
- Li, J.J.; Wang, Y.A.; Guo, W.Z.; Keay, J.C.; Mishima, T.D.; Johnson, M.B.; Peng, X.G. Large-scale synthesis of nearly monodisperse CdSe/CdS core/shell nanocrystals using air-stable reagents via successive ion layer adsorption and reaction. J. Am. Chem. Soc. 2003, 125, 12567–12575. [Google Scholar] [CrossRef] [PubMed]
- Murray, C.B.; Norris, D.J.; Bawendi, M.G. Synthesis and characterization of nearly monodisperse CdE (E = S, Se, Te) semiconductor nanocrystallites. J. Am. Chem. Soc. 1993, 115, 8706–8715. [Google Scholar] [CrossRef]
- Talapin, D.V.; Rogach, A.L.; Kornowski, A.; Haase, M.; Weller, H. Highly luminescent monodisperse CdSe and CdSe/ZnS nanocrystals synthesized in a hexadecylamine-trioctylphosphine oxide-trioctylphospine mixture. Nano Lett. 2001, 1, 207–211. [Google Scholar] [CrossRef]
- Lingley, Z.; Lu, S.; Madhukar, A. A high quantum efficiency preserving approach to ligand exchange on lead sulfide quantum dots and interdot resonant energy transfer. Nano Lett. 2011, 11, 2887–2891. [Google Scholar] [CrossRef] [PubMed]
- Clark, S.W.; Harbold, J.M.; Wise, F.W. Resonant energy transfer in PbS quantum dots. J. Phys. Chem. C 2007, 111, 7302–7305. [Google Scholar] [CrossRef]
- Kagan, C.R.; Murray, C.B.; Nirmal, M.; Bawendi, M.G. Electronic energy transfer in CdSe quantum dot solids. Phys. Rev. Lett. 1996, 76, 1517–1520. [Google Scholar] [CrossRef] [PubMed]
- Mayilo, S.; Hilhorst, J.; Susha, A.S.; Höhl, C.; Franzi, T.; Klar, T.A.; Rogach, A.L.; Feldmann, J. Energy transfer in solution-based clusters of CdTe nanocrystals electrostatically bound by calcium ions. J. Phys. Chem. C 2008, 112, 14589–14594. [Google Scholar] [CrossRef]
- Shepherd, D.P.; Whitcomb, K.J.; Milligan, K.K.; Goodwin, P.M.; Gelfand, M.P.; van Orden, A. Fluorescence intermittency and energy transfer in small clusters of semiconductor quantum dots. J. Phys. Chem. C 2010, 114, 14831–14837. [Google Scholar] [CrossRef]
- Tang, Z.; Ozturk, B.; Wang, Y.; Kotov, N.A. Simple preparation strategy and one-dimensional energy transfer in CdTe nanoparticle chains. J. Phys. Chem. B 2004, 108, 6927–6931. [Google Scholar] [CrossRef]
- Xu, L.; Xu, J.; Li, W.; Zhao, W.; Sun, P.; Ma, Z.; Huang, X.; Chen, K. Luminescence and resonant energy transfer of two sizes of CdTe quantum dots embedded in gelatin films. J. Mater. Sci. 2007, 42, 9696–9699. [Google Scholar] [CrossRef]
- Thuy, U.T.D.; Thuy, P.T.; Liem, N.Q.; Li, L.; Reiss, P. Comparative photoluminescence study of close-packed and colloidal InP/ZnS quantum dots. Appl. Phys. Lett. 2010, 96, 073102. [Google Scholar] [CrossRef]
- Kagan, C.R.; Murray, C.B.; Bawendi, M.G. Long-range resonance transfer of electronic excitations in close-packed CdSe quantum-dot solids. Phys. Rev. B 1996, 54, 8633–8643. [Google Scholar] [CrossRef]
- Miyazaki, J.; Kinoshita, S.; Jin, T. Non-radiative exciton recombination through excitation energy transfer in quantum dot clusters. J. Lumin. 2011, 131, 539–542. [Google Scholar] [CrossRef]
- Franzl, T.; Shovel, A.; Rogach, A.L.; Gaponik, N.; Klar, T.A.; Eychmüller, A.; Feldmann, J. High-rate unidirectional energy transfer in directly assembled CdTe nanocrystal bilayers. Small 2005, 1, 392–395. [Google Scholar] [CrossRef] [PubMed]
- Yatsui, T.; Jeong, H.; Ohtsu, M. Controlling the energy transfer between near-field optically coupled ZnO quantum dots. Appl. Phys. B 2008, 93, 199–202. [Google Scholar] [CrossRef]
- Wang, C.H.; Chen, C.W.; Wei, C.M.; Chen, Y.F.; Lai, C.W.; Ho, M.L.; Chou, P.T. Resonant energy transfer between CdSe/ZnS Type I and CdSe/ZnTe Type II quantum dots. J. Phys. Chem. C 2009, 113, 15548–15552. [Google Scholar] [CrossRef]
- Sarkar, S.; Maity, A.R.; Karan, N.S.; Pradhan, N. Fluorescence energy transfer from doped to undoped quantum dots. J. Phys. Chem C 2013, 117, 21988–21994. [Google Scholar] [CrossRef]
- Ebenstein, Y.; Yoskovitz, E.; Costi, R.; Aharoni, A.; Banin, U. Interaction of scanning probes with semiconductor nanocrystals; physical mechanism and basis for near-field optical imaging. J. Phys. Chem. A 2006, 110, 8297–8303. [Google Scholar] [CrossRef] [PubMed]
- Wang, S.; Mamedova, N.; Kotov, N.A.; Chen, W.; Studer, J. Antigen/antibody immunocomplex from CdTe nanoparticle bioconjugates. Nano Lett. 2002, 2, 817–822. [Google Scholar] [CrossRef]
- Chen, C.-Y.; Cheng, C.-T.; Lai, C.-W.; Wu, P.-W.; Wu, K.-C.; Chou, P.-T.; Chou, Y.-H.; Chiu, H.-T. Potassium ion recognition by 15-crown-5 functionalized CdSe/ZnS quantum dots in H2O. Chem. Commun. 2006, 3, 263–265. [Google Scholar] [CrossRef] [PubMed]
- Lü, W.; Umezu, I.; Sugimura, A. Evolution of energy transfer process between quantum dots of two different sizes during the evaporation of solvent. Jpn. J. Appl. Phys. 2008, 47, 6592–6595. [Google Scholar] [CrossRef]
- Xu, L.; Xu, J.; Ma, Z.; Li, W.; Huang, X.; Chen, K. Direct observation of resonant energy transfer between quantum dots of two different sizes in a single water droplet. Appl. Phys. Lett. 2006, 89, 033121. [Google Scholar] [CrossRef]
- Maenosono, S.; Dushkin, C.D.; Saita, S.; Yamaguchi, Y. Growth of a semiconductor nanoparticle ring during the drying of a suspension droplet. Langmuir 1999, 15, 957–965. [Google Scholar] [CrossRef]
- Yu, W.W.; Qu, L.; Guo, W.; Peng, X. Experimental determination of the extinction coefficient of CdTe, CdSe, and CdS nanocrystals. Chem. Mater. 2003, 15, 2854–2860. [Google Scholar] [CrossRef]
- De Geyter, B.; Hens, Z. The absorption coefficient of PbSe/CdSe core/shell colloidal quantum dots. Appl. Phys. Lett. 2010, 97, 161908. [Google Scholar] [CrossRef]
- Chen, C.W.; Wang, C.H.; Chen, Y.F.; Lai, C.W.; Chou, P.T. Tunable energy transfer efficiency based on the composite of mixed CdSe quantum dots and elastomeric film. Appl. Phys. Lett. 2008, 92, 1–4. [Google Scholar] [CrossRef]
- Generalova, A.N.; Oleinikov, V.A.; Sukhanova, A.; Artemyev, M.V.; Zubov, V.P.; Nabiev, I. Quantum dot-containing polymer particles with thermosensitive fluorescence. Biosens. Bioelectron. 2013, 39, 187–193. [Google Scholar] [CrossRef] [PubMed]
- Tomczak, N.; Janczewski, D.; Han, M.Y.; Vancso, G.J. Designer polymer-quantum dot architectures. Prog. Polym. Sci. 2009, 34, 393–430. [Google Scholar] [CrossRef]
- Lee, J.; Sundar, V.C.; Heine, J.R.; Bawendi, M.G.; Jensen, K.F. Full color emission from II-VI semiconductor quantum dot-polymer composites. Adv. Mater. 2000, 12, 1102–1105. [Google Scholar] [CrossRef]
- Wargnier, R.; Baranov, A.V.; Maslov, V.G.; Stsiapura, V.; Artemyev, M.; Pluot, M.; Sukhanova, A.; Nabiev, I. Energy transfer in aqueous solutions of oppositely charged CdSe/ZnS core/shell quantum dots and in quantum dot−nanogold assemblies. Nano Lett. 2004, 4, 451–457. [Google Scholar] [CrossRef]
- Pai, R.K.; Cotlet, M. Highly stable, water-soluble, intrinsic fluorescent hybrid scaffolds for imaging and biosensing. J. Phys. Chem. C 2011, 115, 1674–1681. [Google Scholar] [CrossRef]
- Shiraki, T.; Tsuchiya, Y.; Shinkai, S. Ratiometric fluorescent sensor for 2,4,6-trinitrotoluene designed based on energy transfer between size-different quantum dots. Chem. Lett. 2010, 39, 156–158. [Google Scholar] [CrossRef]
- Goldman, E.R.; Medintz, I.L.; Whitley, J.L.; Hayhurst, A.; Clapp, A.R.; Uyeda, H.T.; Deschamps, J.R.; Lassman, M.E.; Mattoussi, H. A hybrid quantum dot-antibody fragment fluorescence resonance energy transfer-based TNT sensor. J. Am. Chem. Soc. 2005, 127, 6744–6751. [Google Scholar] [CrossRef] [PubMed]
- Ma, Q.; Su, X.G.; Wang, X.Y.; Wan, Y.; Wang, C.L.; Yang, B.; Jin, Q.H. Fluorescence resonance energy transfer in doubly-quantum dot labeled IgG system. Talanta 2005, 67, 1029–1034. [Google Scholar] [CrossRef] [PubMed]
- Boron, W.F.; Boulpaep, E.L. Medical Physiology: A Cellular and Molecular Approach; Elsevier Saunders: Philadelphia, PA, USA, 2005; p. 1319. [Google Scholar]
- Achermann, M.; Jeong, S.; Balet, L.; Montano, G.; Hollingsworth, J.A. Efficient quantum dot-quantum dot and quantum dot-dye energy transfer in biotemplated assemblies. ACS Nano 2011, 5, 1761–1768. [Google Scholar] [CrossRef] [PubMed]
- Li, Y.; Ma, Q.; Wang, X.Y.; Su, X.G. Fluorescence resonance energy transfer between two quantum dots with immunocomplexes of antigen and antibody as a bridge. Luminescence 2007, 22, 60–66. [Google Scholar] [CrossRef] [PubMed]
- Wang, B.B.; Wang, Q.; Jin, Y.G.; Ma, M.H.; Cai, Z.X. Two-color quantum dots-based fluorescence resonance energy transfer for rapid and sensitive detection of Salmonella on eggshells. J. Photochem. Photobiol. A 2015, 299, 131–137. [Google Scholar] [CrossRef]
- Seker, U.O.S.; Ozel, T.; Demir, H.V. Peptide-mediated constructs of quantum dot nanocompositesfor enzymatic control of nonradiative energy transfer. Nano Lett. 2011, 11, 1530–1539. [Google Scholar] [CrossRef] [PubMed]
- Boeneman, K.; Mei, B.C.; Dennis, A.M.; Bao, G.; Deschamps, J.R.; Mattoussi, H.; Medintz, I.L. Sensing caspase 3 activity with quantum dot-fluorescent protein assemblies. J. Am. Chem. Soc. 2009, 131, 3828–3829. [Google Scholar] [CrossRef] [PubMed]
- Medintz, I.L.; Clapp, A.R.; Brunel, F.M.; Tiefenbrunn, T.; Uyeda, H.T.; Chang, E.L.; Deschamps, J.R.; Dawson, P.E.; Mattoussi, H. Proteolytic activity monitored by fluorescence resonance energy transfer through quantum-dot-peptide conjugates. Nature Mater. 2006, 5, 581–589. [Google Scholar] [CrossRef] [PubMed]
- Lee, J.; Govorov, A.O.; Kotov, N.A. Bioconjugated superstructures of CdTe nanowires and nanoparticles: Multistep cascade Förster resonance energy transfer and energy channeling. Nano Lett. 2005, 5, 2063–2069. [Google Scholar] [CrossRef] [PubMed]
- Achermann, M.; Petruska, M.A.; Crooker, S.A.; Klimov, V.I. Picosecond energy transfer in quantum dot Langmuir−Blodgett nanoassemblies. J. Phys. Chem. B 2003, 107, 13782–13787. [Google Scholar] [CrossRef]
- Lunz, M.; Bradley, A.L.; Gerard, V.A.; Byrne, S.J.; Gun’Ko, Y.K.; Lesnyak, V.; Gaponik, N. Concentration dependence of Förster resonant energy transfer between donor and acceptor nanocrystal quantum dot layers: Effect of donor-donor interactions. Phys. Rev. B 2011, 83, 115423. [Google Scholar] [CrossRef]
- De Benedetti, W.J.I.; Nimmo, M.T.; Rupich, S.M.; Caillard, L.M.; Gartstein, Y.N.; Chabal, Y.J.; Malko, A.V. Efficient directed energy transfer through size-gradient nanocrystal layers into silicon substrates. Adv. Funct. Mater. 2014, 24, 5002–5010. [Google Scholar] [CrossRef]
- Xu, F.; Haughn, C.R.; Ma, X.; Doty, M.F.; Cloutier, S.G. Charge-Transfer dynamics in multilayered PbS and PbSe quantum dot architectures. Appl. Phys. Lett. 2014, 104, 051112. [Google Scholar] [CrossRef]
- Su, X.-R.; Zhang, W.; Zhou, L.; Peng, X.-N.; Wang, Q.-Q. Plasmon-enhanced Förster energy transfer between semiconductor quantum dots: Multipole effects. Opt. Express 2010, 18, 6516–6521. [Google Scholar] [CrossRef] [PubMed]
- Lakowicz, J.R. Radiative decay engineering: Biophysical and biomedical applications. Anal. Biochem. 2001, 298, 1–24. [Google Scholar] [CrossRef] [PubMed]
- Hua, X.M.; Gersten, J.I.; Nitzan, A. Theory of energy transfer between molecules near solid state particles. J. Chem. Phys. 1985, 83, 3650–3659. [Google Scholar] [CrossRef]
- Govorov, A.O.; Lee, J.; Kotov, N.A. Theory of plasmon-enhanced Förster energy transfer in optically-excited semiconductor and metal nanoparticles. Phys. Rev. B 2007, 76, 125308. [Google Scholar] [CrossRef]
- Lunz, M.; Gerard, V.A.; Gun’ko, Y.K.; Lesnyak, V.; Gaponik, N.; Susha, A.S.; Rogach, A.L.; Bradley, A.L. Surface plasmon enhanced energy transfer between donor and acceptor CdTe nanocrystal quantum dot monolayers. Nano Lett. 2011, 11, 3341–3345. [Google Scholar] [CrossRef] [PubMed]
- Zhang, X.; Marocico, C.A.; Lunz, M.; Gerard, V.A.; Gun’Ko, Y.K.; Lesnyak, V.; Gaponik, N.; Susha, A.S.; Rogach, A.L.; Bradley, A.L. Experimental and theoretical investigation of the distance dependence of localized surface plasmon coupled Förster resonance energy transfer. ACS Nano 2014, 8, 1273–1283. [Google Scholar] [CrossRef] [PubMed]
- Wang, C.H.; Chen, C.W.; Chen, Y.T.; Wei, C.M.; Chen, Y.F.; Lai, C.W.; Ho, M.L.; Chou, P.T.; Hofmann, M. Surface plasmon enhanced energy transfer between type I CdSe/ZnS and type II CdSe/ZnTe quantum dots. Appl. Phys. Lett. 2010, 96, 071906. [Google Scholar] [CrossRef]
- Feng, C.L.; Zhong, X.H.; Steinhart, M.; Caminade, A.M.; Majoral, J.P.; Knoll, W. Functional quantum-dot/dendrimer nanotubes for sensitive detection of DNA hybridization. Small 2008, 4, 566–571. [Google Scholar] [CrossRef] [PubMed]
- Zheng, K.; Žídek, K.; Abdellah, M.; Zhu, N.; Chábera, P.; Lenngren, N.; Chi, Q.; Pullerits, T. Directed energy transfer in films of CdSe quantum dots: Beyond the point dipole approximation. J. Am. Chem. Soc. 2014, 136, 6259–6268. [Google Scholar] [CrossRef] [PubMed]
- Kundu, J.; Ghosh, Y.; Dennis, A.M.; Htoon, H.; Hollingsworth, J.A. Giant nanocrystal quantum dots: stable down-conversion phosphors that exploit a large stokes shift and efficient shell-to-core energy relaxation. Nano Lett. 2012, 12, 3031–3037. [Google Scholar] [CrossRef] [PubMed]
- Pal, B.N.; Ghosh, Y.; Brovelli, S.; Laocharoensuk, R.; Klimov, V.I.; Hollingsworth, J.A.; Htoon, H. ‘Giant’ CdSe/CdS core/shell nanocrystal quantum dots as efficient electroluminescent materials: Strong influence of shell thickness on light-emitting diode performance. Nano Lett. 2012, 12, 331–336. [Google Scholar] [CrossRef] [PubMed]
- Wong, C.Y.; Curutchet, C.; Tretiak, S.; Scholes, G.D. Ideal dipole approximation fails to predict electronic coupling and energy transfer between semiconducting single-wall carbon nanotubes. J. Chem. Phys. 2009, 130, 081104. [Google Scholar] [CrossRef] [PubMed]
© 2015 by the authors; licensee MDPI, Basel, Switzerland. This article is an open access article distributed under the terms and conditions of the Creative Commons Attribution license (http://creativecommons.org/licenses/by/4.0/).
Share and Cite
Chou, K.F.; Dennis, A.M. Förster Resonance Energy Transfer between Quantum Dot Donors and Quantum Dot Acceptors. Sensors 2015, 15, 13288-13325. https://doi.org/10.3390/s150613288
Chou KF, Dennis AM. Förster Resonance Energy Transfer between Quantum Dot Donors and Quantum Dot Acceptors. Sensors. 2015; 15(6):13288-13325. https://doi.org/10.3390/s150613288
Chicago/Turabian StyleChou, Kenny F., and Allison M. Dennis. 2015. "Förster Resonance Energy Transfer between Quantum Dot Donors and Quantum Dot Acceptors" Sensors 15, no. 6: 13288-13325. https://doi.org/10.3390/s150613288
APA StyleChou, K. F., & Dennis, A. M. (2015). Förster Resonance Energy Transfer between Quantum Dot Donors and Quantum Dot Acceptors. Sensors, 15(6), 13288-13325. https://doi.org/10.3390/s150613288
