Next Article in Journal
On BER Performance of EBPSK-MODEM in AWGN Channel
Next Article in Special Issue
Spectroscopic Interpretation of PAH-Spectra in Minerals and Its Possible Application to Soil Monitoring
Previous Article in Journal
Alternative Sensor System and MLP Neural Network for Vehicle Pedal Activity Estimation
Previous Article in Special Issue
Structures and Encapsulation Motifs of Functional Molecules Probed by Laser Spectroscopic and Theoretical Methods
 
 
Font Type:
Arial Georgia Verdana
Font Size:
Aa Aa Aa
Line Spacing:
Column Width:
Background:
Article

Optical Sensor for Characterizing the Phase Transition in Salted Solutions

by
Rémy Claverie
1,*,
Marc D. Fontana
2,
Ivana Duričković
1,2,
Patrice Bourson
2,
Mario Marchetti
1 and
Jean-Marie Chassot
1
1
Laboratoire Régional des Ponts et Chaussées de Nancy, Centre d’ Études Techniques de l’ Équipement de l’Est – 71 rue de la grande haie, 54510 Tomblaine, France
2
Laboratoire Matériaux Optiques, Photonique et Systèmes, University Paul Verlaine of Metz and Supélec – 2 rue Edouard Belin, 57070 Metz, France
*
Author to whom correspondence should be addressed.
Sensors 2010, 10(4), 3815-3823; https://doi.org/10.3390/s100403815
Submission received: 11 February 2010 / Revised: 27 February 2010 / Accepted: 17 March 2010 / Published: 14 April 2010
(This article belongs to the Special Issue Laser Spectroscopy and Sensing)

Abstract

:
We propose a new optical sensor to characterize the solid-liquid phase transition in salted solutions. The probe mainly consists of a Raman spectrometer that extracts the vibrational properties from the light scattered by the salty medium. The spectrum of the OH stretching band was shown to be strongly affected by the introduction of NaCl and the temperature change as well. A parameter SD defined as the ratio of the integrated intensities of two parts of this band allows to study the temperature and concentration dependences of the phase transition. Then, an easy and efficient signal processing and the exploitation of a modified Boltzmann equation give information on the phase transition. Validations were done on solutions with varying concentration of NaCl.

1. Introduction

Raman spectroscopy (RS) is a well-established technique to study the vibrational properties of solid, liquids or gas, in relation with the structure and the properties of the substance. It is less frequent to use RS as a probe of physical characteristics or properties of a substance. Raman sensors are able to employ recent technical improvements in the development of smart apparatus, with higher spatial resolution and possibilities of long-distance or on-line measurements [1,2].
One of the main advantages of a Raman sensor is the combination of the determination of a physical parameter, as in usual sensors, with the physical microscopic mechanism associated with its change. An additional advantage of the Raman probe is its non-destructive character, as many optical techniques. Furthermore in contrast with many other ones, it does not need any preparation of the specimen, allowing an on-site measurement, and only a small volume of the substance (diameter of one micrometer) is necessary for the analysis. It is reminded that the RS results in an inelastic collision between the exciting light beam with the substance under study and the energy shift of the photons provides the energy (frequency) of the optical phonons characterizing the substance.
The efficiency of the Raman effect and thus the scattered light intensity depends on the deformability and polarizability of chemical bonds. A Raman line is often specific to a chemical bond. Therefore RS can be used to identify the vibrational mode and thus the associated chemical bond responsible, as an example, to a phase transition. Three spectral parameters can be usually derived from the treatment of a Raman line. Generally the line is fitted to a lorentzian or to a gaussian shape, from which are deduced the peak maximum (phonon frequency shift), the FWHM (Full Width at Half Maximum) (or phonon damping) and the intensity. The phonon frequency is sensitive to any external parameter such as the temperature, the pressure, etc. affecting the substance. The linewidth of the Raman peak reflects the ordered or disordered character of the structure. At last, the intensity at the peak maximum, or rather the integrated intensity of the Raman line can be related to the concentration of a particular species in a material. As a consequence, the peak position (mode frequency), the linewidth (damping) and intensity extracted from a Raman line can be used for the determination of some physical parameters. The choice of the relevant parameter among these three possibilities mainly depends on the efficiency, the resolution and the accuracy which can be achieved using frequency, damping or intensity. In addition, it is generally possible to identify which chemical bond is responsible to a peculiar property of the substance and/or is affected by a change of an external parameter. Therefore, a Raman line can be considered as a real fingerprint of a chemical bond. The study detailed hereafter shows that the Raman spectrometry can be applied to the temperature and concentration dependences of the solid-liquid phase transition in a salted solutions.

2. Physical background of the sensor

On Figure 1 is plotted the typical OH stretching band recorded by RS in pure water in both solid and liquid phases. This broad band was widely investigated [35], and it is worth noting that the large change in its shape which occurs in both sides of the solid-liquid phase transition. This means that the lower part of the spectrum, which is related to fully H bonded atoms, is closely linked to the ordered solid phase, whereas the upper part which is ascribed by partly H−bonded and free OH characterizes the liquid phase [6]. Figure 2 shows the same part of the spectrum recorded in NaCl liquid solutions of various concentrations. This clearly reflects the own influence of NaCl introduction which affects the higher frequency part.
From these observations, a parameter S𝒟 is defined as the ratio of the lower and upper parts of the OH spectrum, which should be able to describe the temperature and concentration dependences of the solid-liquid phase transition. The order or disorder character of the transition in salted solutions can be reflected from the values of this quantity. We propose to use this parameter deduced from Raman scattering measurements to study the phase transition characteristics. According to the frequency range of the spectrum recorded in pure water (see Figure 2), the acquisition of the spectrum is made from 3000 to 3650 cm−1. The OH vibrations are then studied by comparing via S𝒟 the integrated intensity J1 (3000 → 3325 cm−1) of the left side which is more sensitive to the temperature change and the integrated intensity J2 (3325 → 3650 cm−1) of the right side which is rather affected by the salt introduction. We therefore define the S𝒟 parameter on Equation 1.
S 𝒟 = J 2 J 1
The RS of OH of water or brines is rather centered on 3325 cm−1. This value was shown as the limit between the right and the left frequency parts of the OH spectrum. We have checked that such a choice of the exact limit is not so important. In fact the analysis of physical mechanisms involved in the OH spectrum is more complicated and usually the spectrum is deconvoluted into 4, 5 or 6 bands to interpret it. This is the subject of many controversies [3,7,8]. Here we choose an easier way by considering only two parts which are rather linked to one or another process. The results described below show that the results derived from the method described here are fairly good. Figure 3 shows the typical plot of S𝒟 for pure water from −25 °C to 10 °C. This material could therefore be considered clearly as a standard, its freezing point identified at 0 °C. We point out the phase transition around the mid part of the two extrema.
This plot can be, as usually, fitted by means of a modified Boltzmann equation (Michel [9] and Polidori [10]) shown on Equation 2.
S 𝒟 = ( A 2 + A 3   ·   T ) + A 1 ( A 2 + A 3   ·   T ) 1 + e ( T T c ) / Δ T
where T is the temperature of the medium, Tc the phase transition temperature, A1 is the value of S𝒟 when TTc, A2 is the y-intercept for the linear part of S𝒟, obtained for TTc, A3 is the slope for TTc, and ΔT is the specific slope at T = Tc. Thus defined, the parameters A1 and A2 characterize the order and disorder process within the phase transition since they correspond to ice and liquid water, respectively. Indeed A3 is related to the thermal agitation, which is responsible for the breakdown of some hydrogen bonds, leading to an increasing disorder as the temperature raises.
As S𝒟, A1, A2 and A3 are quantities without units. We can notice that in case of A3 = 0, typical Boltzmann curve is well obtained.
The fit curve on Figure 3 is obtained by the Levenberg-Marquart algorithm on the −25 → +10°C temperature range and the regression coefficient is R2 = 0.998. It clearly indicates the good agreement between the experimental data and the calculated curve. From the results of the pure water, the suggested method was extended to study the phase transition characteristics of salted solutions of various concentrations.

3. Description of the probe and discussion of the results

Figure 4 shows the sensor who mainly consists of a Raman spectrometer (including the laser, the notch filter and the CCD camera) and a computer for signal processing. The water sample is excited by an argon-ion laser at a wavelength of 514.5 nm, and with an output power of 25 mW. The Raman spectrum is measured in the backscattering configuration through a 50× long-working distance objective, located at about 8 mm of the top of the sample. The backscattered radiation is collected by a CCD camera of 1024 pixels.
The spectrometer with a spectral resolution of 2 cm−1 is linked to the computer by an USB plug. The software was developed to do acquisitions, calibrations and process the signal to calculate S𝒟, and to extract the phase transition temperature Tc. The value S𝒟 is calculated by midpoint rule and developed on Equation 3.
S 𝒟 = i = 326 650 [ I ( i ) + I ( i 1 ) 2 × { n ( i ) n ( i 1 ) } ] i = 1 325 [ I ( i ) + I ( i 1 ) 2 × { n ( i ) n ( i 1 ) } ]
The main advantage of this simple method is the reduction of the noise influence. This calculus and the Levenberg-Marquart algorithm have been coded under LabVIEW 8.2.
In order to achieve to a simpler equation than Equation 2, calibrate of our sensor was performed by calculating the 5 parameters A1, A2, A3, Tc et ΔT for any concentration. This technique also permits to save a significant calculation time. We perform several acquisitions of S𝒟 for different concentrations in order to apply the modified Boltzmann regression.
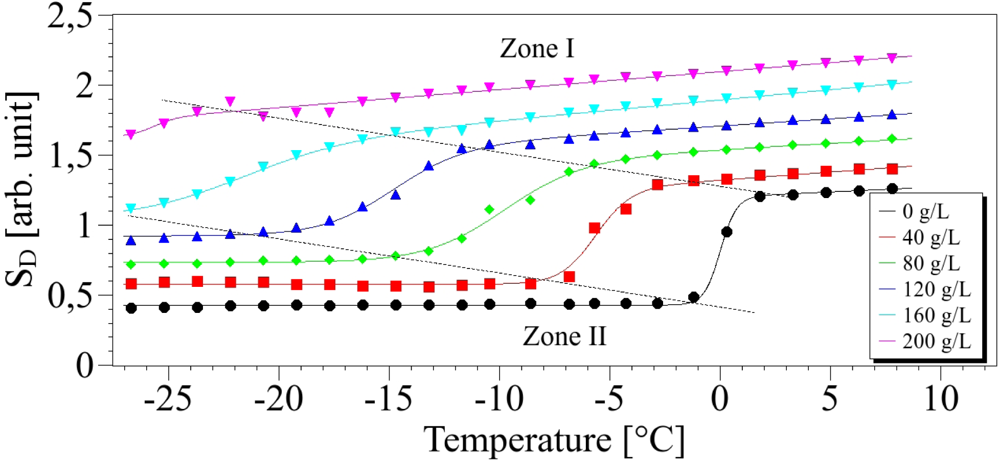
Figure 5 shows results of experimental data and associated fit for concentrations of salt from 0 to 200 g/L.
The values of A2 and A3 of Equation 2 can be determined from the zone I of Figure 5 and are deduced from a linear relationship: A2 + A3 · T which derives from equation 2 when TTc. Both parameters are reported in Figure 6 as function of the concentration. We can observe on Figure 6, that a linear dependence of A2 and A3 on the concentration especially for A2. The standard errors are s = 0.02 and s = 0.29 respectively and the correlation coefficients are respectively R2 = 0.99 and R2 = 0.57. These values for A3 can be explained by the small slope of S𝒟 leading to increasing uncertainties.
The relationship of A2 and A3 are then:
A 2 = 1.16 + 4.50 × 10 3   ·   C A 3 = 8.04 × 10 3 + 2.74 × 10 5   ·   C
where C is the concentration. In the liquid phase, the behaviour of S𝒟 can be linearly linked to the temperature as detailed Equation 5.
S 𝒟 = 1.16 + ( 4.50 × 10 3 + 2.74 × 10 5   ·   T )   ·   C + 8.04 × 10 3   ·   T
One should mention that temperature in pure liquid water could be therefore theoretically determined by Equation 5 with C = 0 g/L (see Equation 6).
T = 124.3   ·   S 𝒟 144
The liquid-solid phase transition zone was used to determine the Tc and ΔT parameters defined in Equation 2, and their concentration dependences.
We obtained:
T c = 0.131   ·   C Δ T = 0.415 + 0.012   ·   C
The regression curve of the temperature Tc (figure 7) is provided with R2 = 0.99 and s = 0.85, whereas for ΔT, the regression coefficient is R2 = 0.91 and the standard error is s = 0.028. On these calculations, the value at the concentration 200 g/L was discarded since for large salt contents the solution is inhomogeneous so that the transition is not abrupt. Additionally this shows the limitation of our method in these cases. The introduction of increasing NaCl content induces changes of the phase transition characteristics revealed by the Raman probe. First, as expected, the increase in saline water concentration diminishes the freezing point, bringing it closer to −20 °C. Simultaneously the slope ΔT is growing with the salt content. In the high temperature (liquid phase), a disorder increase reflected by the parameter A3 is as well observed with increasing concentration. Below the phase transition (solid phase), the plots of S𝒟 are proportional to temperature (Zone II on Figure 5), so that of the parameter A1 can be easily calculated and its dependence versus the concentration gives a straight line (cf. Figure 8).
The expression of parameter A1 is thus written as:
A 1 = 3.48 × 10 1 + 5.43 × 10 4   ·   C
All values and the errors associated are summarized on Table 1.
From them and from Equations 4, 7 and 8, we are able to simplify Equation 2 into Equation 9.
S 𝒟 = ( 1.16 + 0.0045   ·   C ) + ( 0.00804 + 0.000027   ·   C )   ·   T + ( 0.812 + 0.0009   ·   C ) + ( 0.00804 + 0.000027   ·   C )   ·   T ) 1 + exp T 1.69 + 0.131   ·   C 0.415 + 0.00125   ·   C
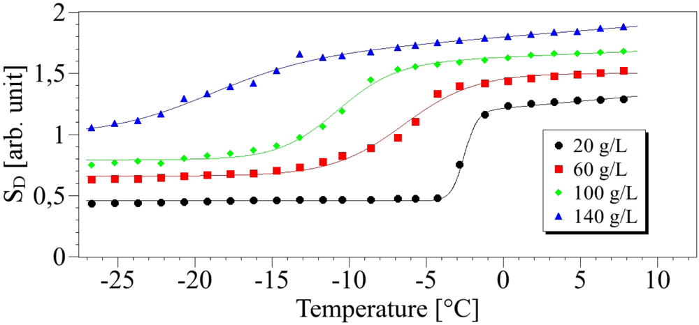
The Raman probe of the phase transition was studied for eleven saline concentrations. The resulting plots for four concentrations are shown on Figure 9.

4. Conclusions

We propose to use a Raman sensor to probe the liquid-solid phase transitions in salted solutions, along with its thermodynamic characteristics. This new method can be deployed on several application fields where the knowledge of the phase transition is needed. We can mention: (1) both the water and ice phases on road during winter period, (2) frozen food control, as well as its production and its storage and (3) biodiversity studies where biological cycle depends on snow/ice/water phases. Our method is based on the rapid exploitation of the OH Raman spectrum which is found to be strongly dependent on the temperature and salt concentration. For the ratio S𝒟 of two parts of the spectrum, only their integrated scattered intensities are needed without any deconvolution. Parameters describing the phase transition are derived from the quantity S𝒟 and their dependences on the concentration can be easily found.

References

  1. Colomban, Ph. Raman imaging of materials and heterogeneous devices. Techniques de l’ingénieur 2002, RE-5:13. [Google Scholar]
  2. Barbillat, J. Spectrométrie Raman. Techniques de l’ingénieur 1999, 9, 2865-1–2865-31. [Google Scholar]
  3. Auer, B.; Skinner, J.L. IR and Raman spectra of liquid water: Theory and interpretation. J. Chem. Phys 2008, 128, 224511–224512. [Google Scholar]
  4. Dolenko, T.A.; Churina, I.V.; Fadeev, V.V.; Glushkov, S.M. Valence band of liquid water Raman scattering: some peculiarities and applications in the diagnostics of water media. J. Raman Spectrosc 2000, 31, 863–870. [Google Scholar]
  5. Monosmith, W.B.; Walrafen, G.E. Temperature dependance of the Raman OH stretching overtone from liquid water. J. Chem. Phys 1984, 81, 669–674. [Google Scholar]
  6. Walrafen, G.E. Raman and infrared spectral investigations of water structure. In Water a comprehensive treatise; Franks, F., Ed.; Plenum: New York, NY, USA, 1972; p. 1035. [Google Scholar]
  7. Schmidt, D.A.; Miki, K. Structural correlatons in liquid water: a new interpretation of IR scpectroscopy. J. Phys. Chem. A 2007, 111, 10119–10122. [Google Scholar]
  8. Chumaevskii, N.A.; Rodnikova, M.N. Some peculiarities of liquid water structure. J. Molec. Liq 2003, 106, 167–177. [Google Scholar]
  9. Michel, N.; Fabiano, A.S.; Polodori, A.; Jack, R.; Pucci, B. Determination of phase transition temperatures of lipids by light scattering. Chem. Phys. lipids 2006, 139, 11–19. [Google Scholar]
  10. Polidori, A.; Michel, N.; Fabiano, A.S.; Pucci, B. Exotic aqueous behavior of synthetic lipids: formation of vesicular nanotubes. Chem. Phys. of lipids 2005, 136, 23–46. [Google Scholar]
Figure 1. Typical Raman spectra of water at liquid and solid states.
Figure 1. Typical Raman spectra of water at liquid and solid states.
Sensors 10 03815f1
Figure 2. Concentration effect of the OH stretching region on a Raman spectrum at 20 °C.
Figure 2. Concentration effect of the OH stretching region on a Raman spectrum at 20 °C.
Sensors 10 03815f2
Figure 3. Points: data of pure water – Line: Fit with the modified Boltzmann equation (Equation 2).
Figure 3. Points: data of pure water – Line: Fit with the modified Boltzmann equation (Equation 2).
Sensors 10 03815f3
Figure 4. Materials of the sensor: the computer drives the spectrometer and proceed acquisitions and signal processing.
Figure 4. Materials of the sensor: the computer drives the spectrometer and proceed acquisitions and signal processing.
Sensors 10 03815f4
Figure 5. Points: concentration index S𝒟 according to the temperature for several values of concentration. Lines: fit with Equation 2.
Figure 5. Points: concentration index S𝒟 according to the temperature for several values of concentration. Lines: fit with Equation 2.
Sensors 10 03815f5
Figure 6. Linear relationship between the parameters A2 and A3 and the concentration.
Figure 6. Linear relationship between the parameters A2 and A3 and the concentration.
Sensors 10 03815f6
Figure 7. Linear relationship between the parameters Tc and ΔT with the concentration.
Figure 7. Linear relationship between the parameters Tc and ΔT with the concentration.
Sensors 10 03815f7
Figure 8. Linear relationship between the parameter A1 and the concentration.
Figure 8. Linear relationship between the parameter A1 and the concentration.
Sensors 10 03815f8
Figure 9. Experimental validation of the method: the curves are plots from Equation 9.
Figure 9. Experimental validation of the method: the curves are plots from Equation 9.
Sensors 10 03815f9
Table 1. Fitted parameters of curves of figure 5.
Table 1. Fitted parameters of curves of figure 5.
Concentration (g/L)Parameters
A1A2A3 (×10−3)Tc (°C)ΔT (°C)
00.430 ± 0.0021.19 ± 0.017.4 ± 1.50.01 ± 0.0020.39 ± 0.02
400.580 ± 0.0031.300 ± 0.00811.4 ± 1.3−5.77 ± 0.060.80 ± 0.05
800.740 ± 0.0041.530 ± 0.0078.8 ± 0.2−8.23 ± 0.121.79 ± 0.09
1200.920 ± 0.0061.690 ± 0.00410.0 ± 0.7−9.93 ± 0.101.63 ± 0.09
1601.05 ± 0.021.870 ± 0.00214.6 ± 0.4−22.26 ± 0.272.48 ± 0.2
2001.64 ± 0.082.080 ± 0.00412.8 ± 0.4−25.79 ± 0.950.56 ± 0.05

Share and Cite

MDPI and ACS Style

Claverie, R.; Fontana, M.D.; Duričković, I.; Bourson, P.; Marchetti, M.; Chassot, J.-M. Optical Sensor for Characterizing the Phase Transition in Salted Solutions. Sensors 2010, 10, 3815-3823. https://doi.org/10.3390/s100403815

AMA Style

Claverie R, Fontana MD, Duričković I, Bourson P, Marchetti M, Chassot J-M. Optical Sensor for Characterizing the Phase Transition in Salted Solutions. Sensors. 2010; 10(4):3815-3823. https://doi.org/10.3390/s100403815

Chicago/Turabian Style

Claverie, Rémy, Marc D. Fontana, Ivana Duričković, Patrice Bourson, Mario Marchetti, and Jean-Marie Chassot. 2010. "Optical Sensor for Characterizing the Phase Transition in Salted Solutions" Sensors 10, no. 4: 3815-3823. https://doi.org/10.3390/s100403815

APA Style

Claverie, R., Fontana, M. D., Duričković, I., Bourson, P., Marchetti, M., & Chassot, J.-M. (2010). Optical Sensor for Characterizing the Phase Transition in Salted Solutions. Sensors, 10(4), 3815-3823. https://doi.org/10.3390/s100403815

Article Metrics

Back to TopTop