Study on the Diversity of Flower Color Phenotypes in Paeonia delavayi
Abstract
1. Introduction
2. Materials and Methods
2.1. Experimental Material
2.2. Measurement of Petal Color Values
2.3. Measurement of Petal Pigment Content
2.3.1. HPLC Analysis of Anthocyanin Compounds
2.3.2. Total Flavonoid Content Determination
2.3.3. Determination of Photosynthetic Pigment Content
2.4. Acquisition of Environmental Factor Data for Different Populations of P. delavayi
2.5. Statistical Analysis
3. Results
3.1. Classification of Flower Color Phenotypes in P. delavayi
3.1.1. Color Classification Based on the ISCC-NBS Color System
3.1.2. Color Classification Based on Cluster Analysis of L*, a*, and b* Values
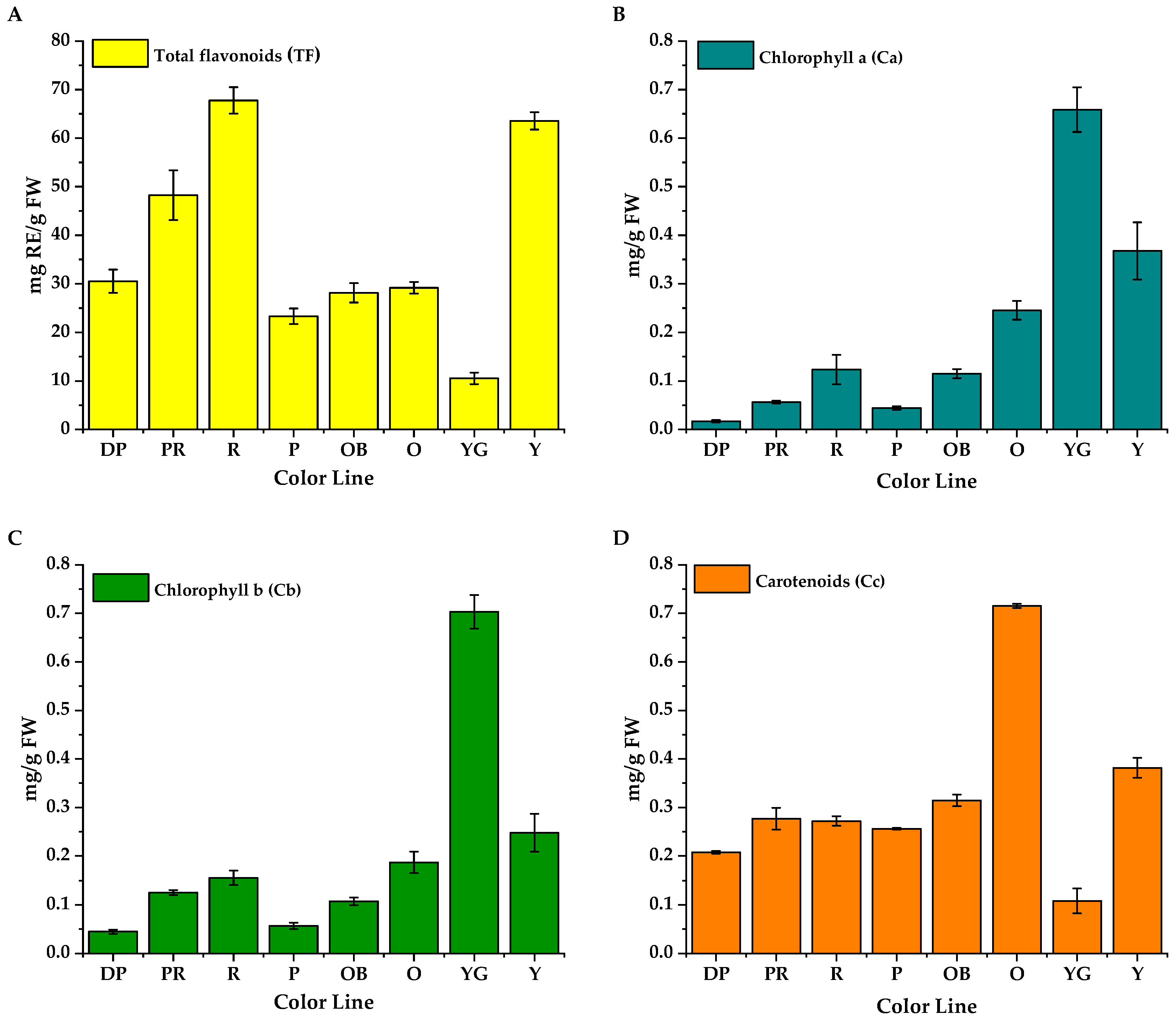
3.2. Pigment Determination in P. delavayi Petals and Correlation Analysis with Color Values
3.3. Influence of Environmental Factors on Flower Color Variation in P. delavayi
4. Discussion and Conclusions
Supplementary Materials
Author Contributions
Funding
Data Availability Statement
Acknowledgments
Conflicts of Interest
Abbreviations
| Pn3G | Peonidin-3-O-glucoside |
| Cy3G | Cyanidin-3-O-glucoside |
| Pn3G5G | Peonidin-3,5-diglucoside |
| Cy3G5G | Cyanidin-3,5-diglucoside |
| ACN | Total Anthocyanin |
| TF | Total Flavonoid |
| CHL | Chlorophyll |
| SOC | Soil Organic Carbon |
| STN | Soil Total Nitrogen |
| MAT | Mean Annual Temperature |
| APA | Annual precipitation |
| MAUV | annual average UV intensity |
| CHS | Chalcone Synthase |
| DFR | Dihydroflavonol 4-Reductase |
| ANS | Anthocyanidin Synthase |
| PSY | Phytoene Synthase |
| LCD | Lycopene Cyclase D |
References
- Zhou, S.L.; Xu, C.; Liu, J.; Yu, Y.; Wu, P.; Cheng, T.; Hong, D.Y. Out of the Pan-Himalaya: Evolutionary history of the Paeoniaceae revealed by phylogenomics. J. Syst. Evol. 2021, 59, 1170–1182. [Google Scholar] [CrossRef]
- National-Forestry-and-Grassland-Administration. Announcement by the National Forestry and Grassland Administration and the Ministry of Agriculture and Rural Affairs of the Central People’s Government of the People’s Republic of China. Available online: https://www.forestry.gov.cn/c/www/lczc/10746.jhtml (accessed on 7 May 2024).
- Hong, D.Y.; Zhou, Q.L.; He, S.; He, X.J.; Yuan, J.H.; Zhang, Y.L.; Cheng, F.Y.; Zeng, X.L.; Wang, Y. The Survival Status and Conservation of Wild Tree Peonies. Biodivers. Sci. 2017, 25, 781–793. (In Chinese) [Google Scholar] [CrossRef]
- Gong, X.; Pan, Y.Z.; Yang, Z.Y. The diversities and value of present situation of Paeonia delavayi. Acta Bot. Boreali-Occident. Sin. 2003, 23, 218–223. (In Chinese) [Google Scholar]
- Zou, H.Z.; Zhou, L.; Han, L.L.; Lv, J.H.; Jia, Y.H.; Wang, Y. Transcriptome profiling reveals the roles of pigment formation mechanisms in yellow Paeonia delavayi flowers. Mol. Genet. Genom. 2022, 298, 375–387. [Google Scholar] [CrossRef] [PubMed]
- Wang, L.Y.; Yuan, T.; Li, Q.D.; Zhao, X.Z. Illustrated Catalogue of Chinese Peony Varieties: Supplement; China Forestry Publishing House: Beijing, China, 2015; pp. 2–16. (In Chinese) [Google Scholar]
- Yuan, T.; Wang, L.Y. Morphological Studies on Paeonia Sect. Moutan Subsect Vagiatae in China. Acta Hortic. Sin. 2003, 2, 187–191. (In Chinese) [Google Scholar] [CrossRef]
- Li, S.F.; Cai, Y.F.; Zhang, X.X.; Xue, J.Q.; Xiong, C.K.; Zhai, S.P. Phenotypic Diversity of Natural Populations of P. delavayi. Southwest China J. Agric. Sci. 2016, 29, 2470–2478. (In Chinese) [Google Scholar] [CrossRef]
- Zhang, X.X.; Sun, J.Y.; Niu, L.X.; Zhang, Y.L. Chemical Compositions and Antioxidant Activities of Essential Oils Extracted from the Petals of Three Wild Tree Peony Species and Eleven Cultivars. Chem. Biodivers. 2017, 14, e1700282. [Google Scholar] [CrossRef]
- Yan, Z.G.; Xie, L.H.; Tian, Y.; Li, M.C.; Ni, J.; Zhang, Y.L.; Niu, L.X. Insights into the Phytochemical Composition and Bioactivities of Seeds from Wild Peony Species. Plants 2020, 9, 729. [Google Scholar] [CrossRef]
- Zhang, J.M.; Liu, J.; Sun, H.L.; Yu, J.; Wang, J.X.; Zhou, S.L. Nuclear and chloroplast SSR markers in Paeonia delavayi (Paeoniaceae) and cross-species amplification in P. ludlowii. Am. J. Bot. 2011, 98, e346–e348. [Google Scholar] [CrossRef]
- Xue, Y.Q.; Liu, R.; Xue, J.Q.; Wang, S.L.; Zhang, X.X. Genetic diversity and relatedness analysis of nine wild species of tree peony based on simple sequence repeats markers. Hortic. Plant J. 2021, 7, 579–588. [Google Scholar] [CrossRef]
- Zhao, Y.J.; Yin, G.S.; Pan, Y.Z.; Tian, B.; Gong, X. Climatic Refugia and Geographical Isolation Contribute to the Speciation and Genetic Divergence in Himalayan-Hengduan Tree Peonies (Paeonia delavayi and Paeonia ludlowii). Front. Genet. 2021, 11, 595334. [Google Scholar] [CrossRef]
- Zhang, Y.L.; Li, Z.H.; Ma, H.; Wang, Y.; Li, W.J.; Liu, X.X.; Wan, Y.M. Character Variation of Flower Color Groups in P. delavayi Franch. Plant Divers. 2011, 33, 183–190. (In Chinese) [Google Scholar]
- Wang, X.Q. Studies on Genetic Diversity of P. delavayi in Shangri-la. Ph.D. Thesis, Beijing Forestry University, Beijing, China, 2009. [Google Scholar]
- Phillip, C.P.; Mark, A.S. Measuring Camellia Petal Color Using a Portable Color Sensor. Horticulturae 2020, 6, 53. [Google Scholar] [CrossRef]
- Gonnet, J.F. CIELab measurement, a precise communication in flower colour: An example with carnation (Dianthus caryophyllus) cultivars. J. Hortic. Sci. 2015, 68, 499–510. [Google Scholar] [CrossRef]
- Cochrane, S. The munsell color system: A scientific compromise from the world of art. Stud. Hist. Philos. Sci. Part A 2014, 47, 26–41. [Google Scholar] [CrossRef]
- Kelly, K.L.; Judd, D.B. Color Universal Language and Dictionary of Names; U.S. Department of Commerce, National Bureau of Standards: Washington, DC, USA, 2018; pp. 1–19.
- Ji, K.M.; Xue, Y.Q.; Cui, Z.X. A new method for colors characterization of colored stainless steel using CIE and Munsell color systems. Opt. Mater. 2015, 47, 180–184. [Google Scholar] [CrossRef]
- Boronkay, G.; Hamar-Farkas, D.; Kisvarga, S.; Békefi, Z.; Neményi, A.; Orlóci, L. Developing a Colorimetrically Balanced, Measurement-Based Petal Colour System for Cultivated Rose (Rosa L. Cultivars) and the Resulting Colour Categories. Plants 2024, 13, 1368. [Google Scholar] [CrossRef] [PubMed]
- Cui, H.L.; Zhang, Y.N.; Shi, X.L.; Gong, F.F.; Xiong, X.; Kang, X.P.; Xing, G.M.; Li, S. The numerical classification and grading standards of daylily (Hemerocallis) flower color. PLoS ONE 2019, 14, e0216460. [Google Scholar] [CrossRef]
- Lu, C.F.; Li, Y.F.; Wang, J.Y.; Qu, J.P.; Chen, Y.; Chen, X.Y.; Huang, H.; Dai, S.L. Flower color classification and correlation between color space values with pigments in potted multiflora chrysanthemum. Sci. Hortic. 2021, 283, 110082. [Google Scholar] [CrossRef]
- Zhou, Y.W.; Mao, Y.; Farhat, A.; Sun, Y.; Gao, T.; Yan, F.L.; Li, X.Y.; Yu, Y.Y.; Yue, Y.C.; Yu, R.C.; et al. Classification and Association Analysis of Gerbera (Gerbera hybrida) Flower Color Traits. Front Plant Sci. 2021, 12, 779288. [Google Scholar] [CrossRef]
- Guo, X.; Cheng, F.Y.; Zhong, Y.; Chen, X.Y.; Tao, X.W. The Quantitative Classification of Flower Color Phenotype in Paeonia rockii (Flare Tree Peony). Acta Hortic. Sin. 2022, 49, 86–99. (In Chinese) [Google Scholar] [CrossRef]
- Li, Y.X.; Liu, H.Y.; Li, Z.; Liu, P.; Hao, Q. The analysis of flower color phenotype in tree peony. Liaoning For. Sci. Technol. 2018, 1–6. (In Chinese) [Google Scholar]
- Wang, S.Y.; Zhang, G.; Yang, S.C.; Jiang, S.L.; Wang, R.H.; Wang, J. Numerical Classification of Phalaenopsis Flower Colour Based on Phenotype. Chin. J. Trop. Crops 2023, 44, 2227–2235. [Google Scholar]
- Wang, L.S.; Fumio, H.; Aya, S.; Noriaki, A.; Li, J.J.; Sakata, Y. Chemical taxonomy of the Xibei tree peony from China by floral pigmentation. J. Plant Res. 2004, 117, 47–55. [Google Scholar] [CrossRef]
- Wang, H.; Fan, Y.; Yang, Y.; Zhang, H.; Li, M.; Sun, P.; Zhang, X.; Xue, Z.; Jin, W. Classification of rose petal colors based on optical spectrum and pigment content analyses. Hortic. Environ. Biotechnol. 2022, 64, 153–166. [Google Scholar] [CrossRef]
- Wang, J.; Lewis, D.; Shi, R.; McGhie, T.; Wang, L.; Arathoon, S.; Schwinn, K.; Davies, K.; Qian, X.H.; Zhang, H.B. The colour variations of flowers in wild Paeonia delavayi plants are determined by four classes of plant pigments. N. Z. J. Crop Hortic. Sci. 2021, 50, 69–84. [Google Scholar] [CrossRef]
- Wang, Z.X.; Jin, X.M.; Zhang, X.C.; Xie, X.; Tu, Z.C.; He, X.H. From Function to Metabolome: Metabolomic Analysis Reveals the Effect of Probiotic Fermentation on the Chemical Compositions and Biological Activities of Perilla frutescens Leaves. Front. Nutr. 2022, 9, 933193. [Google Scholar] [CrossRef]
- Sari, K.R.P.; Ikawati, Z.; Danarti, R.; Hertiani, T. Micro-titer plate assay for measurement of total phenolic and total flavonoid contents in medicinal plant extracts. Arab. J. Chem. 2023, 16, 105003. [Google Scholar] [CrossRef]
- Lichtenthaler, H.K. Chlorophylls and carotenoids: Pigments of photosynthetic biomembranes. Methods Enzymol. 1987, 148, 350–382. [Google Scholar]
- Rajalakshmi, K.; Banu, N. Extraction and Estimation of Chlorophyll from Medicinal Plants. Int. J. Sci. Res. 2015, 4, 209–212. [Google Scholar]
- Zhou, Z.L.; Wang, G.-Y.; Wang, X.L.; Huang, X.J.; Zhu, Z.S.C.; Wang, L.L.; Yang, Y.P.; Duan, Y.W. Flower color polymorphism of a wild Iris on the Qinghai-Tibet plateau. BMC Plant Biol. 2023, 23, 633. [Google Scholar] [CrossRef]
- Li, Z.M.; Zhou, H.G.; Chen, Y.; Chen, M.Y.; Yao, Y.T.; Luo, H.H.; Wu, Q.; Wang, F.L.; Zhou, Y.W. Analysis of Transcriptional and Metabolic Differences in the Petal Color Change Response to High-Temperature Stress in Various Chrysanthemum Genotypes. Agronomy 2024, 14, 2863. [Google Scholar] [CrossRef]
- Wu, D.; Zhuang, F.C.; Wang, J.R.; Gao, R.Q.; Zhang, Q.N.; Wang, X.L.; Zhang, G.C.; Fang, M.H.; Zhang, Y.L.; Li, Y.H.; et al. Metabolomics and Transcriptomics Revealed a Comprehensive Understanding of the Biochemical and Genetic Mechanisms Underlying the Color Variations in Chrysanthemums. Metabolites 2023, 13, 742. [Google Scholar] [CrossRef]
- Shi, Q.Q.; Li, L.; Zhou, L.; Wang, Y. Morphological and Biochemical Studies of the Yellow and Purple–red Petal Pigmentation in Paeonia delavayi. HortScience 2018, 53, 1102–1108. [Google Scholar] [CrossRef]
- Hua, M.; Yuan, X.L.; Yang, W.; Chen, J.; Hu, Y.L.; Bing, T.; Yang, Y.M.; Juan, W. Analysis of Anthocyanins and Flavonols in six Different Colors of Petals of Paeonia delavayi by High Performance Liquid Chromatography. J. West China For. Sci. 2017, 46, 40–45. (In Chinese) [Google Scholar] [CrossRef]
- Miyagawa, N.; Miyahara, T.; Okamoto, M.; Hirose, Y.; Sakaguchi, K.; Hatano, S.; Ozeki, Y. Dihydroflavonol 4-reductase activity is associated with the intensity of flower colors in delphinium. Plant Biotechnol. 2015, 32, 249–255. [Google Scholar] [CrossRef]
- Stevens, J.T.E.; Wheeler, L.C.; Williams, N.H.; Norton, A.M.; Wessinger, C.A. Predictive Links between Petal Color and Pigment Quantities in Natural Penstemon Hybrids. Integr. Comp. Biol. 2023, 63, 1340–1351. [Google Scholar] [CrossRef]
- Wan, W.Y.; Jia, F.F.; Liu, Z.Y.; Sun, W.; Zhang, X.F.; Su, J.S.; Guan, Z.Y.; Chen, F.D.; Zhang, F.; Fang, W.M. Quantitative evaluation and genome-wide association studies of chrysanthemum flower color. Sci. Hortic. 2024, 338, 113561. [Google Scholar] [CrossRef]
- Zhang, Y.; Xu, Y.C.; Zhang, X.X.; Xue, J.Q.; Zhang, Q. Investigation and study of the population and ecological environment of P. delavayi. Jiangsu Agric. Sci. 2009, 415–417. (In Chinese) [Google Scholar]
- Grossenbacher, D.L.; Lo, M.S.; Waddington, M.E.; O’Dell, R.; Kay, K.M. Soil and climate contribute to maintenance of a flower color polymorphism. Am. J. Bot. 2025, 113, e70018. [Google Scholar] [CrossRef] [PubMed]
- Sullivan, C.; Koski, M. The effects of climate change on floral anthocyanin polymorphisms. Proc. R. Soc. B Biol. Sci. 2021, 288, 20202693. [Google Scholar] [CrossRef]
- Li, K. Research on Conservation Biology and Genetic Diversity of Paeonia delavayi Complex (Peaoniaceae). Ph.D. Thesis, Chinese Academy of Forestry, Beijing, China, 2013. [Google Scholar]
- Landi, M.; Tattini, M.; Gould, K.S. Multiple functional roles of anthocyanins in plant-environment interactions. Environ. Exp. Bot. 2015, 119, 4–17. [Google Scholar] [CrossRef]
- Winkel-Shirley, B. Flavonoid Biosynthesis. A Colorful Model for Genetics, Biochemistry, Cell Biology, and Biotechnology. Plant Physiol. 2001, 126, 485–493. [Google Scholar] [CrossRef] [PubMed]
- Clifford, M.N. Anthocyanins—Nature, occurrence and dietary burden. J. Sci. Food Agric. 2000, 80, 1063–1072. [Google Scholar] [CrossRef]
- Volkova, P.A.; Schanzer, I.A.; Meschersky, I.V. Colour polymorphism in common primrose (Primula vulgaris Huds.): Many colours–many species? Plant Syst. Evol. 2013, 299, 1075–1087. [Google Scholar] [CrossRef]









| No. | Sampling Sites of Yunnan, China | Abbreviation | Longitude | Latitude | Altitude, m.a.s.l. | Number of Specimens |
|---|---|---|---|---|---|---|
| 0 | Mingyong Glacier, Yunling Township, Dêqên County, Dêqên Tibetan Autonomous Prefecture | MY | 98°45′59″ E | 28°27′25″ N | 2890 | 13 |
| 1 | Yeri Village, Nixi Township, Shangri-La City, Dêqên Tibetan Autonomous Prefecture | YRC | 99°8′22″ E | 28°24′4″ N | 2700 | 1 |
| 2 | No. 7 Bridge, Baima Snow Mountain, Dêqên County, Dêqên Tibetan Autonomous Prefecture | BM7 | 99°11′2″ E | 28°17′14″ N | 3231 | 5 |
| 3 | Shusong Village, Benzilan Town, Dêqên County, Dêqên Tibetan Autonomous Prefecture | SSC | 99°11′5″ E | 28°16′32″ N | 2836 | 3 |
| 4 | Xinyang Village, Nixi Township, Shangri-La City, Dêqên Tibetan Autonomous Prefecture | XYC | 99°28′37″ E | 28°3′54″ N | 3249 | 11 |
| 5 | Gêza Township, Shangri-La City, Dêqên Tibetan Autonomous Prefecture | GZ | 99°47′2″ E | 28°0′27″ N | 3186 | 9 |
| 6 | Tangdui Village, Nixi Township, Shangri-La City, Dêqên Tibetan Autonomous Prefecture | GHT | 99°32′19″ E | 27°59′36″ N | 2844 | 7 |
| 7 | Ski Resort, Shangri-La City, Dêqên Tibetan Autonomous Prefecture | HXC | 99°35′22″ E | 27°56′48″ N | 3420 | 97 |
| 8 | Botanical Garden, Shangri-La City, Dêqên Tibetan Autonomous Prefecture | ZWY | 99°38′19″ E | 27°54′18″ N | 3356 | 11 |
| 9 | Caopidian, Yongning Township, Ninglang County, Lijiang City | CPD | 100°28′23″ E | 27°45′4″ N | 2860 | 4 |
| 10 | Lazi, Labo Township, Ninglang County, Lijiang City | LZ | 100°29′59″ E | 27°44′44″ N | 2801 | 7 |
| 11 | Lazi Reservoir, Labo Township, Ninglang County, Lijiang City | LZSK | 100°30′55″ E | 27°44′39″ N | 2769 | 9 |
| 12 | Yangjian Cao, Cuiyu Township, Ninglang County, Lijiang City | YJC | 100°40′23″ E | 27°32′57″ N | 3225 | 5 |
| 13 | Hongqi Village, Hutiaoxia Town, Shangri-La City, Dêqên Tibetan Autonomous Prefecture | HQC | 99°58′34″ E | 27°21′45″ N | 2957 | 16 |
| 14 | Edi Village, Hutiaoxia Town, Shangri-La City, Dêqên Tibetan Autonomous Prefecture | ED | 99°54′35″ E | 27°21′22″ N | 2852 | 5 |
| 15 | Zhidu Village, Hutiaoxia Town, Shangri-La City, Dêqên Tibetan Autonomous Prefecture | ZDC | 99°57′6″ E | 27°20′11″ N | 2771 | 8 |
| 16 | Songhe Village, Hutiaoxia Town, Shangri-La City, Dêqên Tibetan Autonomous Prefecture | SHC | 100°0′56″ E | 27°19′27″ N | 2941 | 5 |
| 17 | Ludui, Jinxing Village, Hutiaoxia Town, Shangri-La City, Dêqên Tibetan Autonomous Prefecture | LD | 99°59′3″ E | 27°16′5″ N | 2822 | 15 |
| 18 | Yiwan Shui, Ninglang County, Lijiang City | DYW | 99°49′9″ E | 27°3′55″ N | 3000 | 67 |
| 19 | Mahuang Dam, Yulong Snow Mountain, Yulong County, Lijiang City | MHB | 100°12′2″ E | 27°2′26″ N | 3310 | 10 |
| 20 | Yuhu Village, Yulong Snow Mountain, Yulong County, Lijiang City | YHC | 100°12′28″ E | 27°1′44″ N | 2881 | 9 |
| 21 | Wenhai Road, Baisha Town, Yulong County, Lijiang City | WHL | 100°9′36″ E | 26°57′58″ N | 3107 | 3 |
| 22 | Wenhai Village, Baisha Town, Yulong County, Lijiang City | WH | 100°9′36″ E | 26°57′5″ N | 3061 | 11 |
| 23 | Lariguang Village, Gucheng District, Lijiang City | LRG | 100°17′24″ E | 26°57′45″ N | 2950 | 8 |
| 24 | Pingdiying Village, Laodian Town, Qiaojia County, Zhaotong City | PDY | 103°19′48″ E | 26°55′52″ N | 2069 | 4 |
| 25 | Meizi Base, Gucheng District, Lijiang City | MZ | 100°18′1″ E | 26°49′3″ N | 2357 | 4 |
| 26 | Wenbi Mountain, Baxi, Yulong County, Lijiang City | WBS | 100°8′59″ E | 26°46′12″ N | 3078 | 3 |
| 27 | Nanxi Village, Huangshan Town, Yulong County, Lijiang City | NXC | 100°8′59″ E | 26°46′8″ N | 3103 | 19 |
| 28 | Xiachahe Village, Yongsheng County, Lijiang City | XCH | 100°51′11″ E | 26°44′36″ N | 2921 | 3 |
| 29 | Shizhuang Village, Tangdan Town, Dongchuan District, Kunming City | SZC | 102°59′57″ E | 26°8′59″ N | 3094 | 20 |
| 30 | Liangwang Mountain, Chengjiang County, Kunming City | LWS | 103°1′37″ E | 25°25′52″ N | 2780 | 21 |
| 31 | Matou Mountain, Xiaoshao Village, Panlong District, Kunming City | XSC | 102°43′42″ E | 25°11′20″ N | 2473 | 8 |
| 32 | Xiaoshi Lin, Xishan District, Kunming City | XSL | 102°37′56″ E | 25°01′32″ N | 2412 | 10 |
| Color Group | Sample Count | Percentage/% | CIE-Lab Color Coordinate | Munsell Color System | ||||
|---|---|---|---|---|---|---|---|---|
| Light (L*) | Redness/Greenness (a*) | Yellowness/Blueness (b*) | Hue (H) | Value (V) | Chroma (C) | |||
| Yellow | 121 | 26.02% | 63.75~95.47 | −10.58~8.53 | 52.55~94.26 | 1.33 Y~6.94 Y | 6.27~9.54 | 7.29~13.66 |
| Yellow-green | 22 | 4.72% | 57.89~98.69 | −23.10~−4.36 | 13.25~88.65 | 7.15 Y~3.25 GY | 5.68~9.87 | 1.52~12.00 |
| Orange | 23 | 4.93% | 36.38~74.79 | 16.54~47.91 | 31.75~78.31 | 7.59 R~8.29 YR | 3.58~7.41 | 6.64~15.57 |
| White | 4 | 0.85% | 93.56~95.24 | −4.36~−1.84 | 6.13~13.25 | 7.13 Y~0.88 GY | 9.36~9.52 | 0.70~0.83 |
| Pink | 4 | 0.85% | 56.09~67.47 | 27.28~51.52 | −1.32~14.39 | 5.99 RP~2.43 R | 5.50~6.65 | 6.57~12.57 |
| Purple-red | 17 | 3.62% | 21.67~53.27 | 17.87~53.44 | 0.53~6.57 | 7.92 RP~0.95 R | 2.14~5.22 | 3.67~12.51 |
| Red | 192 | 40.76% | 13.44~54.19 | 16.30~65.54 | 0.30~58.12 | 1.04 R~28.99 R | 1.31~5.31 | 3.22~16.34 |
| Brown | 23 | 4.87% | 6.12~55.93 | 7.65~49.33 | 5.02~45.93 | 6.53 R~3.09 Y | 0.60~5.49 | 1.84~12.39 |
| Purple-black | 59 | 12.47% | 6.53~29.38 | 4.02~17.36 | −4.11~6.70 | 8.17 RP~5.69 YR | 0.64~2.90 | 0.90~3.50 |
| Color Group | Sample Count | Percentage/% | Light (L*) | Redness/Greenness (a*) | Yellowness/Blueness (b*) | Chroma (C*) | Hue (h°) |
|---|---|---|---|---|---|---|---|
| White | 4 | 0.86% | 93.56~95.24 | −4.36~−1.84 | 6.13~13.25 | 6.52~13.95 | 104.13~109.83 |
| Yellow | 119 | 25.59% | 67.98~98.69 | −17.37~8.53 | 61.81~94.26 | 62.40~94.27 | 83.32~102.85 |
| Orange | 18 | 3.87% | 62.27~74.79 | 18.65~46.47 | 58.49~78.31 | 63.09~87.64 | 57.98~74.56 |
| Yellow-green | 24 | 5.16% | 57.89~76.84 | −23.10~1.46 | 49.01~68.50 | 49.67~68.71 | 88.72~110.40 |
| Pink | 6 | 1.29% | 53.27~67.41 | 27.28~53.44 | −1.32~24.49 | 28.47~53.54 | −1.47~31.59 |
| Orange-brown | 13 | 2.80% | 36.24~55.93 | 7.65~28.24 | 24.91~44.33 | 27.69~46.82 | 52.90~79.25 |
| Red | 39 | 8.39% | 23.55~47.03 | 37.50~65.54 | 14.00~58.12 | 48.98~86.68 | 12.75~47.36 |
| Purple-red | 134 | 29.03% | 13.44~42.40 | 22.42~54.07 | 0.30~27.04 | 22.79~54.67 | 0.60~36.45 |
| Dark purple | 108 | 23.44% | 6.12~33.43 | 4.02~29.08 | −4.11~9.33 | 5.11~29.71 | −14.20~56.59 |
| Mean | 46.41 | 19.63 | 33.56 | 48.02 | 45.11 | ||
| CV/% | 54.13% | 102.05% | 94.37% | 51.37% | 79.53% | ||
| SD | 1.16 | 0.93 | 1.47 | 1.14 | 1.67 |
Disclaimer/Publisher’s Note: The statements, opinions and data contained in all publications are solely those of the individual author(s) and contributor(s) and not of MDPI and/or the editor(s). MDPI and/or the editor(s) disclaim responsibility for any injury to people or property resulting from any ideas, methods, instructions or products referred to in the content. |
© 2026 by the authors. Licensee MDPI, Basel, Switzerland. This article is an open access article distributed under the terms and conditions of the Creative Commons Attribution (CC BY) license.
Share and Cite
Liu, S.; Li, H.; Wang, J.; Du, C.; Pan, Y.; He, G.; Xiang, J.; Li, J. Study on the Diversity of Flower Color Phenotypes in Paeonia delavayi. Diversity 2026, 18, 164. https://doi.org/10.3390/d18030164
Liu S, Li H, Wang J, Du C, Pan Y, He G, Xiang J, Li J. Study on the Diversity of Flower Color Phenotypes in Paeonia delavayi. Diversity. 2026; 18(3):164. https://doi.org/10.3390/d18030164
Chicago/Turabian StyleLiu, Siqi, Huiyao Li, Juan Wang, Chun Du, Yue Pan, Guiqing He, Jianying Xiang, and Jin Li. 2026. "Study on the Diversity of Flower Color Phenotypes in Paeonia delavayi" Diversity 18, no. 3: 164. https://doi.org/10.3390/d18030164
APA StyleLiu, S., Li, H., Wang, J., Du, C., Pan, Y., He, G., Xiang, J., & Li, J. (2026). Study on the Diversity of Flower Color Phenotypes in Paeonia delavayi. Diversity, 18(3), 164. https://doi.org/10.3390/d18030164

