Next Article in Journal
First Insights into the Mitochondrial DNA Diversity of the Italian Sea-Slater Across the Strait of Sicily
Previous Article in Journal
Correction: Santiago-Valentín et al. A New Holoplanktonic Nudibranch (Nudibranchia: Phylliroidae) from the Central Mexican Pacific. Diversity 2025, 17, 479
Previous Article in Special Issue
Influence of Cold Exposure for Different Durations on Laboratory-Reared Habrobracon hebetor (Say) (Hymenoptera: Braconidae)
 
 
Font Type:
Arial Georgia Verdana
Font Size:
Aa Aa Aa
Line Spacing:
Column Width:
Background:
Article

Effect of Cover Cropping on the Abundance, Community Composition and Functional Diversity of Ground-Dwelling Arthropods in a Mediterranean Olive Grove

by
Theodoros Angelioudakis
,
George Koliopoulos
and
Theodoros Stathakis
*
Laboratory of Agricultural Zoology and Entomology, Faculty of Crop Science, Agricultural University of Athens, 75 Iera Odos Str., GR-118 55 Athens, Greece
*
Author to whom correspondence should be addressed.
Diversity 2025, 17(9), 621; https://doi.org/10.3390/d17090621
Submission received: 27 July 2025 / Revised: 27 August 2025 / Accepted: 2 September 2025 / Published: 3 September 2025
(This article belongs to the Special Issue Integrated Pest Management and Its Role in Biodiversity Conservation)

Abstract

Cover cropping is increasingly recognized as a biodiversity-friendly practice in Mediterranean agriculture. However, its impact on ground-dwelling arthropods in olive groves remains insufficiently studied. This study assesses the effects of two perennial cover crops, tall fescue (Festuca arundinacea) and white clover (Trifolium repens) on the abundance, community composition, and functional diversity of ground-dwelling arthropods in a traditional olive grove in Crete, Greece. From April to September 2023, arthropods were sampled bi-weekly using pitfall traps and classified by taxonomic identity and functional traits, with particular focus on spiders (Araneae) and ground beetles (Carabidae). Cover cropping significantly increased total arthropod abundance compared to a control, with clover favoring omnivores and saprophages, and fescue promoting predatory taxa. Fescue plots exhibited the highest abundance of spiders and carabids, as well as greater carabid species richness and functional diversity. Although spider beta diversity differed across treatments, their functional diversity remained unchanged. Our findings indicate that perennial cover crops, especially fescue, enhance ground predator diversity and may contribute to natural pest regulation in Mediterranean olive groves, offering a sustainable alternative to conventional management.

Graphical Abstract

1. Introduction

Sustainable agricultural landscape management practices are of paramount importance, as they mitigate the negative impacts of agricultural intensification, such as soil erosion, pesticide pollution, disruption of nutrient cycling, pest outbreaks, and biodiversity loss [1,2]. This requirement is especially critical in Mediterranean regions, where climate change increasingly alters vegetation patterns and the hydrological cycle, thereby threatening agroecosystem stability [3,4]. Agroecological strategies, such as cover cropping, semi-natural habitats, and enhancing functional biodiversity, have been shown to support ecosystem services and improve increase the resilience of Mediterranean farming systems [5,6].
In recent years, several studies in Greece have furthered this agroecological agenda by evaluating plant–resource management interventions, including the establishment of annual flowering strips within or along field margins and the use of perennial hedgerows in key crops such as olive, citrus, apple, watermelon and tomato. These practices have yielded positive outcomes in terms of boosting beneficial arthropod populations, especially pollinators and natural enemies, as well as improving soil fertility and structure [7,8,9,10,11,12,13,14].
Cover cropping is a widely adopted and ecologically sound agronomic practice that enhances soil health and crop productivity in agroecosystems. It supports multiple ecosystem services, including nutrient cycling, soil fertility, water retention, and mitigation of extreme weather events [15]. Beyond soil-related benefits, cover crops, especially legumes and grasses, promote soil arthropod biodiversity by enriching organic matter inputs, fostering nitrogen fixation, and limiting erosion [16,17,18].
Soil arthropod communities are primarily composed of insects, springtails, arachnids, myriapods, and crustaceans. These groups perform a range of ecological functions essential to soil health and agroecosystem sustainability. Arthropods contribute to soil structure through bioturbation and fragmentation of organic matter, enhance nutrient cycling and decomposition as decomposers and detritivores, and support natural pest regulation as predators or parasitoids. Certain taxa also influence plant health and productivity directly through herbivory or indirectly via pollination and facilitation of microbial interactions [19,20,21,22,23].
Plant diversification shapes arthropod communities through both bottom-up and top-down processes. Bottom-up effects arise from changes in habitat complexity, microclimate, and resource availability, while top-down effects occur through shifts in predator abundance and activity. Dassou and Tixier [24] reported that greater plant diversity often benefits generalist predators, enhancing suppression of specialist herbivores. At the same time, generalist herbivores may also increase due to the broader range of resources, potentially counteracting predator control. The strength and direction of these interactions depend on predator foraging strategies, plant strata, and habitat type, highlighting their strong context dependence. Diversification-driven changes in community composition can either mitigate or worsen pest damage, depending on the functional traits of the predator taxa favored [25].
Among predatory arthropods, spiders (Araneae) and ground beetles (Carabidae) are particularly important due to their role in regulating pest populations year-round, including active and overwintering pests [26,27]. Spiders, as generalist predators, employ diverse foraging strategies—from active ground hunting to web building—and their abundance is positively influenced by vegetation complexity [28]. However, their populations are sensitive to agricultural disturbances such as pesticide application and pruning [29]. Ground beetles (Carabidae) also play a significant role in biological control, with many species capable of consuming prey equivalent to their own body mass daily [30]. Their distribution and abundance are influenced by food availability, vegetation cover, and landscape structure, while large-bodied, flightless species often exhibit limited dispersal capacity [31].
Olive (Olea europaea L.) is the most emblematic and socioeconomically important perennial crop in the Mediterranean, occupying approximately 10 million hectares and supplying more than 85% of global olive oil production [32]. Despite its cultural and economic significance, intensive management practices, such as excessive agrochemical input and poor soil management, threaten the long-term sustainability of olive agroecosystems [33]. Therefore, the adoption of sustainable and biodiversity-friendly practices in olive groves is crucial for maintaining ecosystem function, conserving natural resources, and enhancing ecological resilience.
Although cover-cropping experiments in Mediterranean orchards have proliferated during the past decade [14,34,35,36,37], the evidence base for soil-dwelling arthropods in olive systems remains fragmentary and taxonomically narrow. Studies integrating perennial cover crops are rare, and when present, they seldom contrast grasses with legumes, quantify functional traits, or disentangle predator guilds such as Araneae and Carabidae. Furthermore, trait-based assessments of spider and carabid beetle functional diversity—a key indicator of biological control potential—are virtually absent from Mediterranean olive landscapes.
In this context, the present study assesses the impact of cover cropping on soil-dwelling arthropod communities in a traditional olive grove on Crete, Greece. Two perennial plant species commonly used as cover crops, tall fescue (Festuca arundinacea Schreb., Poaceae) and white clover (Trifolium repens L., Fabaceae) [38], were tested. The study examines how these cover crops affect the abundance, taxonomic composition and functional diversity of soil-dwelling arthropods, assessing whether this agroecological practice can enhance the species richness and functional diversity of spiders (Araneae) and carabid beetles (Carabidae), two ecologically important predator groups in Mediterranean agroecosystems.

2. Materials and Methods

2.1. Study Area

The study was conducted in two adjacent traditional olive groves in Kolymbari, Chania, on the island of Crete, Greece, situated approximately 150 m apart. Both groves were planted with the ‘Koroneiki’ cultivar at a spacing of 7 × 7 m. The larger field (35°30′59.5″ N, 23°45′11.9″ E), covering 3200 m2, was divided into two sections, each sown with one cover crop species: fescue (F. arundinacea) and clover (T. repens) (Figure 1B,C). The smaller field (35°31′03.6″ N, 23°45′09.3″ E), measuring 1100 m2, served as undisturbed control (Figure 1D). Spontaneous vegetation in the control field consisted primarily of Oxalis pes-caprae L. (Oxalidaceae), Rubus sp. (Rosaceae), Picris sp., Dittrichia viscosa (L.) Greuter (Asteraceae), Foeniculum vulgare Mill. (Apiaceae), Vicia sp. (Fabaceae), Dioscorea communis (L.) Caddick & Wilkin (Dioscoreaceae), Orobanche sp. (Orobanchaceae), and several unidentified grasses (Poaceae).
No agricultural practices, including irrigation, fertilization, weed management, or pesticide application were implemented during the experimental period.

2.2. Establishment of Cover Crops

On 30 December 2022, soil preparation was carried out using a tiller in the field designated for cover crop establishment. Each plant species was sown in a large plot corresponding to a grid of 5 × 4 olive trees (approximately 735 m2) within each of the two field sections (Figure 1A). The two cover crop plots were separated by a buffer zone of approximately 20 m to limit potential cross-contamination and limit arthropod movement between treatments. Sowing was performed manually, with 5 kg of certified commercial seed applied per plant species in each designated plot. The seeds were then lightly covered with a rake to ensure proper soil contact.

2.3. Sampling Protocol

In each experimental plot, six pitfall traps (6 in fescue plot, 6 in clover plot and 6 in the control field) were permanently installed at randomly selected positions, ensuring a minimum distance of 10 m between traps in order to reduce potential spatial autocorrelation and sampling bias [39] (Figure 1A). Each trap consisted of two nested 400 mL plastic cups, with the inner cup serving as the collection container. A pot plate was positioned approximately 10 cm above each trap to function as a protective cover, preventing access by larger animals and minimizing disturbance from abiotic factors such as wind and rainfall (Figure 2A).
Traps were filled with an aqueous solution for killing and preserving the captured arthropods consisted of water, 5% sodium hypochlorite (bleach), and 10% sodium chloride (salt) (Figure 2B). Sodium chloride reduced water evaporation during the hot summer months, while sodium hypochlorite acted as a deterrent to small mammals (e.g., shrews, rodents) that might otherwise damage the trap contents [40]. The overhanging pot plates also contributed to this protective function and provided shade, further limiting liquid evaporation.
The traps were first installed on 9 April 2023. Sampling was conducted biweekly (every 14 days) from April to September 2023, yielding a total of 12 sampling events (a total of 213 trap samples). This period was selected because it coincides with the growth of cover crops, peak arthropod activity, and the emergence of key olive pests. At each sampling, trap contents were poured through a strainer to separate arthropods from the liquid preservative. The collected specimens were then transferred into containers filled with 70% ethanol for storage and subsequent analysis.

2.4. Arthropod Identification

The collected samples were transferred to the Laboratory of Agricultural Zoology and Entomology at the Agricultural University of Athens for further processing. Each sample was placed in a Petri dish and examined under a stereomicroscope (Zeiss Stemi DV4, Carl Zeiss MicroImaging GmbH, Göttingen, Germany). Arthropods were counted and initially identified to higher taxonomic levels. Arthropod taxa were classified into four different functional groups (predators, omnivores, herbivores and saprophagous) based on the literature [41,42,43,44,45]. Spiders (Araneae) and ground beetles (Carabidae) were then separated from the rest of the arthropod fauna for more detailed analysis. Juvenile spiders and carabid larvae that could not be identified at species level were excluded from diversity analyses. All specimens were preserved in 70% ethanol. Taxonomic identification was performed using appropriate identification keys [43,46,47].

2.5. Dominance, Frequency, Species Richness and Diversity

The dominance (D) of each spider and carabid beetle species within treatment was calculated using the following formula:
D = (nA/N) × 100
where nA represents the number of individuals of species A, and N is the total number of individuals of all recorded species.
Based on the calculated dominance values, species were categorized according to the classification proposed by Tischler [48] as follows: eudominant (>10%), dominant (5–10%), subdominant (1.00–4.99%), recedent (0.5–0.99%), subrecedent (0.01–0.49%).
Species frequency (C) was expressed as follows:
C = (nsA/Ns) × 100
where nsA is the number of samples containing species A, and Ns is the total number of samples.
According to Tischler [48], species were classified by frequency into the following categories: euconstant (75–100%), constant (50–75%), accessory (25–50%), accidental (0.1–25%).
Species alpha diversity within spider and carabid assemblages was assessed using the Shannon–Wiener diversity index (H′) [49], calculated as follows:
H = i = 1 S pi × lnpi
where pi is the proportion of individuals of a particular species (pi = n/N), with n being the number of individuals of that species and N the total number of individuals in the sample. S denotes the number of species, representing species richness. The index was computed using the “vegan” package in R [50].
Beta diversity was calculated to assess differences in spider and carabid community composition among the three ground-cover treatments. Arthropod abundance data were arranged in a site-by-taxon matrix, with each row representing a sample and each column representing a taxon. The Bray–Curtis dissimilarity index was computed using the vegdist function in the “vegan” package [50]. Differences in beta diversity among treatments were evaluated using a distance-based test for homogeneity of multivariate dispersion (betadisper), followed by permutation tests (999 permutations) to assess statistical significance. To partition beta diversity into turnover and nestedness components, presence–absence data were analyzed with the “betapart” package (beta.multi) in R using the Jaccard dissimilarity index [51]. Ordination of community dissimilarities was visualized through Principal Coordinates Analysis (PCoA) based on Bray–Curtis distances (cmdscale) in the plots generated via “ggplot2” package in R [52].

2.6. Species Traits and Functional Diversity

Spiders were classified by body size and hunting strategy, while carabid beetles were categorized by body size and feeding habit. Body size for both taxa was divided into four classes—very small (<0.5 cm), small (0.5–1.0 cm), medium (1.0–1.5 cm), and large (>1.5 cm)—following standardized size categories commonly used in functional trait studies.
For spiders, hunting strategies were assigned according to Cardoso et al. [53], and included four major functional groups: active hunters, specialist predators, web builders, and ambushers. Carabid beetles were similarly assigned to feeding categories according to Homburg et al. [54] and were grouped as predators, herbivores, omnivores, or specialist predators.
To quantify the functional diversity of spider and carabid assemblages, two indices were calculated: Functional Dispersion (FDis) and Functional Richness (FRic) [55]. These indices were computed using the “FD” package in R [56], based on Gower distance matrices derived from the categorically coded trait data, including body size, hunting strategy (for spiders), and feeding habit (for carabids).

2.7. Data Analysis

Ground-dwelling arthropod counts were analyzed with a generalized linear mixed model (GLMM) in SPSS v.21, using a negative binomial distribution and log link. For the predator:herbivore ratio, a normal distribution with identity link was used. Trap identity was included as a random intercept to account for repeated measures over 12 biweekly sampling occasions. Fixed effects were treatment, time (sampling date), and their interaction. An autoregressive AR(1) covariance structure was used for residuals across time within traps. Post hoc pairwise comparisons among treatments were adjusted using the Bonferroni method.
The differences in arthropod community functional composition among treatments were examined by performing a non-metric multidimensional scaling (NMDS) analysis based on Bray–Curtis dissimilarities, using abundance data from four functional groups (predators, omnivores, herbivores, and saprophagous). Prior to analysis, abundance data were Hellinger-transformed to reduce the influence of highly abundant taxa and to improve the performance of the ordination. The NMDS was conducted with two dimensions (k = 2) and a maximum of 100 iterations, and the stress value was used to evaluate the ordination fit.
The relationship between community functional composition and treatments was tested using permutational multivariate analysis of variance (PERMANOVA) with 999 permutations. Additionally, an envfit analysis was applied to the NMDS ordination to assess the correlation of each functional group with the ordination axes, providing R2 and p-values for each vector. All analyses were conducted using the “vegan” package [50], and NMDS plots were generated with “ggplot2” package in R [52].
The Kruskal–Wallis nonparametric analysis of variance was used to assess differences in trait-based abundance, species richness, Shannon diversity, FRic, and FDis indices of spiders and carabid beetles among treatments. When significant differences were detected, Dunn’s post hoc test with Bonferroni correction was applied to identify pairwise differences between treatments. All post hoc comparisons were conducted using the “FSA” package in R [57].

3. Results

3.1. Abundance and Community Composition of Ground-Dwelling Arthropods

A total of 39,247 ground-dwelling arthropod individuals were collected during the study. The majority belonged to omnivorous taxa, with Formicidae, Anthicidae, and Melyridae being the most abundant arthropod families followed by saprophagous groups (Isopoda, Collembola), predatory taxa (Araneae, Carabidae, Opiliones), and, in smaller numbers, herbivores such as Sylvanidae and Tenebrionidae (Table A1).
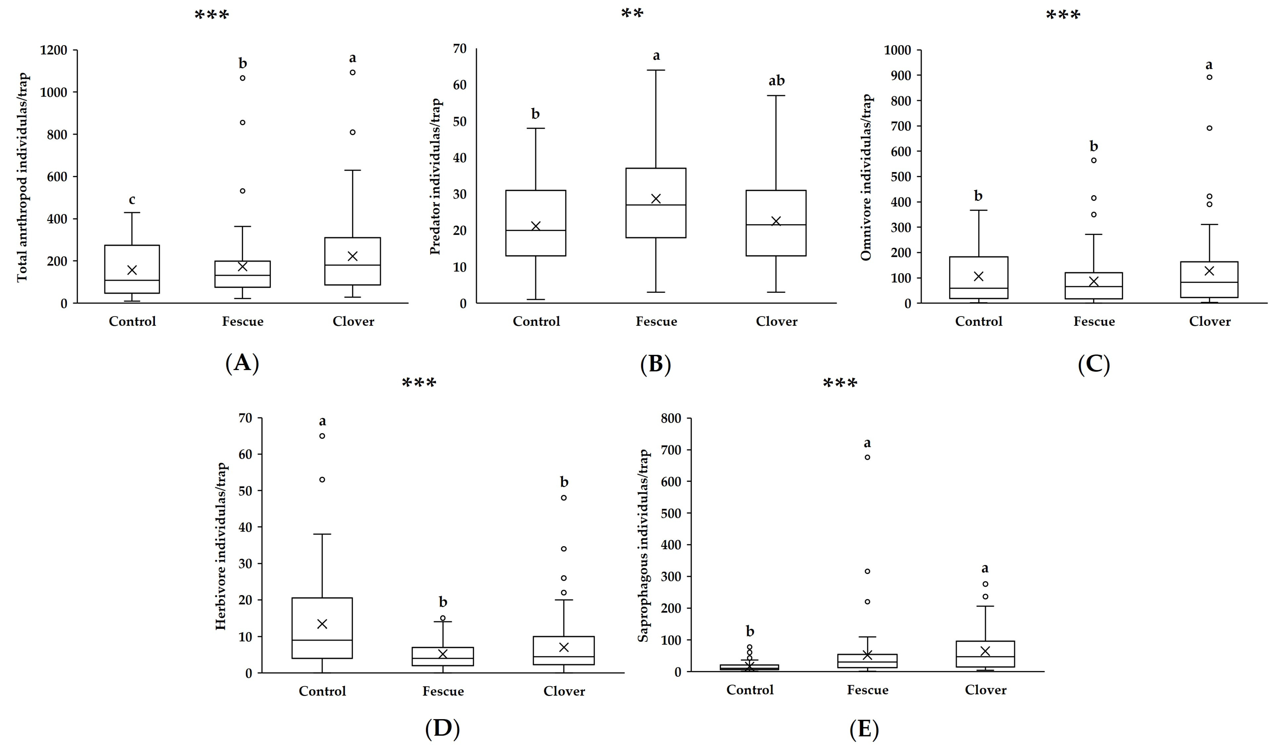
Total arthropod abundance was significantly higher in the clover-sown plot compared to the control field (F2,177 = 11.328, p < 0.0001), while the greatest number of ground-dwelling predators was recorded in the fescue plot (F2,177 = 5.496, p = 0.005). By contrast, herbivores were the most abundant in the control field (F2,177 = 12.588, p < 0.0001). Both cover-crop treatments supported significantly greater numbers of saprophagous arthropods than the control field (F2,177 = 14.338, p < 0.0001), whereas omnivore abundance was significantly higher in clover plot (F2,177 = 8.658, p < 0.0001) (Figure 3 and Table 1).The highest predator:herbivore ratio was observed in the fescue treatment followed by clover and control (8.02 ± 0.82a, 5.36 ± 0.72b, 2.57 ± 0.25c, respectively) (F2,165 = 13.556, p < 0.0001). The distribution of ground-dwelling arthropods significantly differed in time (total arthropods: F11,177 = 35.696, p < 0.0001; predators: F11,177 = 17.999, p < 0.0001; omnivores: F11,177 = 47.532, p < 0.0001; herbivores: F11,177 = 17.470, p < 0.0001; saprophagous: F11,177 = 16.355, p < 0.0001) (Supplementary Figure S1 and Table 1).
The two-dimensional NMDS ordination provided a good representation of differences in functional composition of arthropod community among treatments (stress = 0.107; Figure 4). PERMANOVA indicated a significant effect of treatment on arthropod community composition (F = 13.028, R2 = 0.11, p = 0.001). The envfit analysis showed that the vectors for predators (R2 = 0.88, p = 0.001), omnivores (R2 = 0.97, p = 0.001), herbivores (R2 = 0.24, p = 0.001), and saprophagous arthropods (R2 = 0.95, p = 0.001) were significantly correlated with the NMDS ordination.
Formicidae was the dominant taxon across all treatments, accounting for 26–42% of total individuals. In the control field, other numerically dominant taxa were Melyridae (24%) and Blattodea (13%). The two cover-crop plots exhibited similar arthropod community compositions, dominating Isopoda (19–21%), Anthicidae (10–15%), and Collembola (8–11%). Spiders (Araneae) comprised 7–10% of the arthropod communities across treatments, while Carabidae represented a smaller proportion, ranging from 2% to 3% (Figure 5).

3.2. Abundance, Temporal Distribution and Functional Diversity of Spiders

A total of 3201 spider individuals, representing 67 species and 16 families, were collected during the study (Table A2). The highest abundance was recorded in the plot sown with fescue; however, it did not differ statistically from the other treatments (F2,177 = 2.855, p = 0.060) (Figure 6A and Table 1). Spider activity peaked in warmer months, specifically from mid-May to mid-September. In the control plot, distinct population peaks occurred on May 21 and June 18, indicating earlier seasonal activity. By contrast, peak abundances in the fescue plot were recorded later, on July 16 and August 13, while in the clover plot, spider densities peaked on August 13 and September 10 (F11,177 = 4.254, p < 0.0001) (Figure 6B).
Family-level composition varied among treatments. In the control plot, the most abundant families were Zodariidae (18%) and Agelenidae (16%), followed by Gnaphosidae (14%), Lycosidae (12.5%), and Dysderidae (10.5%). The fescue plot was dominated by Gnaphosidae (31%) and Zodariidae (29%), with Linyphiidae (10%) and Palpimanidae (7.5%) also well represented. In the clover plot, Gnaphosidae (35%) was the dominant family, followed by Linyphiidae (17%) and Zodariidae (15%) (Figure 7).
Species dominance and frequency patterns also varied among plots. In the control plot, Hellamalthonica irini Bosmans (Agelenidae; small web builder), Zodarion spinibarbe Wunderlich (Zodariidae; very small specialist predator), and Alopecosa albofasciata Brullé (Lycosidae; medium-sized active hunter) were eudominant. Dysdera spinicrus Simon (Dysderidae; medium-sized specialist predator), Palliduphantes malickyi Wunderlich (Linyphiidae; very small web builder), and Palpimanus gibbulus Dufour (Palpimanidae; small active hunter) were dominant. In the fescue plot, Z. spinibarbe was eudominant, and P. gibbulus was dominant. In the clover plot, dominant species included A. albofasciata, Z. spinibarbe, Diplocephalus graecus Pickard-Cambridge (Linyphiidae; very small web builder), and three Gnaphosidae active hunters: Drassyllus praeficus Koch (small), Leptodrassus albidus Simon (very small), and Pterotricha lentiginosa Koch (medium-sized). Z. spinibarbe was constant in both the control and fescue plots (Table A2).
No significant differences were found among treatments in the abundance of spider individuals across body size classes (large: χ2 = 5.032, df = 2, p = 0.081; medium: χ2 = 5.342, df = 2, p = 0.069; small: χ2 = 5.561, df = 2, p = 0.062; very small: χ2 = 2.462, df = 2, p = 0.292) (Figure 8A). However, the abundance of specialized predators was significantly higher in the control plot (active hunters: χ2 = 0.436, df = 2, p = 0.804; ambushers: χ2 = 2.778, df = 2, p = 0.249; web builders: χ2 = 4.947, df = 2, p = 0.084; specialists: χ2 = 10.867, df = 2, p = 0.004) (Figure 8B).
Species richness, Shannon diversity index, functional richness, and functional dispersion did not differ statistically among treatments (Table 2).
By contrast, beta diversity of spiders’ communities (Figure 9) differed significantly among treatments (ANOVA on multivariate dispersion: F2,198 = 3.7054, p = 0.026; permutation test, p = 0.023). Partitioning of beta diversity (Jaccard index) revealed that species turnover accounted for 99.7% of the total beta diversity, while nestedness contributed 0.3%.

3.3. Abundance, Temporal Distribution and Functional Diversity of Carabidae

A total of 1019 individuals representing 19 species of the family Carabidae were collected during the study (Table A3). The highest abundance was recorded in the fescue plot, while the clover plot had the lowest numbers (F2,177 = 3.356, p = 0.037) (Figure 10A and Table 1). Carabid beetle activity peaked from mid-May to late July, followed by a marked decline toward the end of the sampling period (F11,177 = 22.295, p < 0.0001). In the control field, a distinct population peak was observed on July 2. In contrast, both the fescue and clover plots reached peak abundances earlier, on June 4 (Figure 10B).
Concerning dominance and frequency, Tapinopterus creticus Frivaldszky von Frivald (a large carnivore) was eudominant and constant across all treatments. In the control field, Carabus banoni Dejean (large carnivore) and Harpalus distinguendus Duftschmid (medium-sized omnivore) were dominant. In both cover crop plots, Microlestes sp. (very small carnivore) was eudominant, while Bembidion tethys Netolitzky (very small carnivore) and Siagona europaea Dejean (medium-sized specialist predator) were eudominant in the fescue plot and dominant in the clover plot (Table A3).
Large carabids were more abundant in the control field (χ2 = 8.193, df = 2, p = 0.017), whereas the fescue plot harbored significantly greater numbers of medium-sized and very small species (medium: χ2 = 15.583, df = 2, p < 0.001; very small: χ2 = 17.726, df = 2, p < 0.001). The abundance of small species did not differ significantly among treatments (χ2 = 0.913, df = 2, p = 0.633) (Figure 11A). Herbivorous and specialized predatory species were significantly more abundant in the fescue plot (herbivores: χ2 = 12.368, df = 2, p = 0.002; specialists: χ2 = 14.283, df = 2, p = 0.001), while there were no statistical differences among treatments for carnivorous and omnivorous species (carnivores: χ2 = 5.446, df = 2, p = 0.066; omnivores: χ2 = 0.561, df = 2, p = 0.755) (Figure 11B).
In contrast to the spider community, species richness, Shannon diversity index, functional richness, and functional dispersion of Carabidae differed statistically among treatments. The fescue-sown plot exhibited higher species richness, a greater Shannon index, and increased functional richness. Functional dispersion was also elevated in both cover crop treatments compared to the control (Table 3).
Beta diversity of Carabidae assemblages (Figure 12) differed significantly among treatments (ANOVA on multivariate dispersion: F2,212 = 4.7367, p = 0.010; permutation test, p = 0.007). In this case, species turnover accounted for 99% of the total beta diversity, while nestedness contributed 1%.

4. Discussion

Several studies have investigated the effects of cover crops in Mediterranean fruit orchards and vineyards, highlighting the multiple ecological benefits of this agroecological practice, particularly the enhancement of local biodiversity and increased abundance and diversity of beneficial arthropods such as natural enemies [14,34,35,36,37]. The present study extends this understanding to Mediterranean olive groves by demonstrating that cover cropping significantly affects the abundance, community composition, and functional diversity of ground-dwelling arthropods.
Both cover crop treatments—fescue (F. arundinacea) and clover (T. repens)—supported more abundant and functionally diverse arthropod communities than the undisturbed control, although responses varied among arthropod groups and functional traits. Clover significantly increased total arthropod and omnivores abundance, whereas fescue was more effective in promoting ground-dwelling predators, particularly spiders and carabid beetles. These findings align with previous studies employing these plant species individually or in mixtures as cover crops [58,59,60].
The predator:herbivore ratio was significantly higher in the fescue treatment. This predominance of predators may be linked to the more complex food web structure supported by fescue cover. In addition to ground-dwelling herbivores, fescue biomass can host other herbivorous taxa (e.g., thrips, aphids, leafhoppers, mites), thereby broadening the range of potential prey [61]. Such resource diversity likely favors the presence of generalist predators, such as spiders, even if these are often underrepresented in pitfall trap samples [28,59].
Ants (Formicidae) remained the dominant taxon across all treatments, reflecting their ecological plasticity and generalist foraging strategies [62]. However, cover-cropped plots also showed greater representation of saprophagous taxa (e.g., Isopoda, Collembola), likely due to by increased detrital input from plant biomass, a well-documented outcome of cover cropping in soil macrofaunal communities [63,64,65,66].
Both cover crop species provide litter (leaves and stems), which supports the presence of macro-detritivores, particularly during mid-summer [67,68]. This finding is consistent with the higher population densities recorded in July within the cover crop plots in the present study, compared to the sparse vegetation of the control. However, the decomposition rate of organic matter differs, as perennial grasses such as Festuca spp. exhibit a slower rate compared to Trifolium spp., thereby prolonging the availability of organic resources over a longer period of time [69].
Spider abundance peaked later in the season in cover-cropped plots, suggesting that vegetative cover extended the period of favorable microclimatic conditions and prey availability. The dominance of Gnaphosidae, Zodariidae, Lycosidae, and Linyphiidae aligns with patterns observed in other Mediterranean ecosystems [70,71].
The effectiveness of pitfall trapping contributed to the high numbers of ground-active predators such as Gnaphosidae and Lycosidae, which rely on cursorial hunting strategies [53]. Zodariidae, specialized ant hunters [72], were probably favored by the high density of ants in all treatments, indicating strong predator–prey dynamics within the system. Interestingly, Linyphiidae, typically associated with web-building in vegetation, were also well-represented in traps, as observed in similar studies [71].
Spider abundance did not differ significantly among treatments; however, higher values were observed in the plot with fescue. These results support earlier findings that ground cover vegetation enhances spider abundance by providing structural complexity and microclimatic stability [34,73]. Spider beta diversity differed among treatments, with the observed differences being mainly attributed to species turnover. Nevertheless, their functional diversity remained statistically unchanged. This suggests that cover cropping may not substantially alter the functional trait structure of spider communities—possibly due to trait redundancy or resilience in ground-dwelling spider assemblages [53].
From a biological control perspective, spiders, especially Linyphiidae, Gnaphosidae, and Lycosidae, are key predators. Linyphiidae are known to consume Diptera, including the olive fruit fly Bactrocera oleae (Rossi) (Tephritidae), and may reduce pest activity through both direct predation and non-consumptive effects [74,75,76]. Although direct predation on B. oleae pupae by terrestrial spiders has not been conclusively demonstrated, several families, including Thomisidae and Salticidae, have been associated with reduced pest presence [28].
Carabid beetles exhibited stronger responses to cover cropping. The fescue treatment supported the highest species richness, diversity, and functional trait metrics, with the clover treatment yielding intermediate values. These findings are consistent with previous research showing that vegetative ground cover enhances carabid diversity and functional structure [77,78]. Regarding the temporal distribution of adult Carabidae, the sharp population decline observed in August and September across all treatments can be attributed to the phenology of the family, a pattern consistent with previous population studies conducted in Mediterranean island ecosystems [79].
Smaller-bodied carabids were more abundant in cover-cropped plots, particularly fescue, whereas large-bodied species such as T. creticus and C. banoni were more prevalent in the control plot, likely because soil disturbance associated with cover crop establishment adversely affects large-bodied beetles and their overwintering larvae [80,81]. The increase in smaller, more mobile carabids suggests a community shift commonly observed in disturbed or managed agroecosystems [82].
Specialist predators, mainly Siagona europaea, showed significantly higher abundances in cover crop plots, likely in response to the elevated presence of ants, its primary prey [83]. Herbivorous carabids were also more frequent in sown fields, these species are generally seed predators and may contribute to weed suppression [84,85].
Numerous studies have demonstrated that carabids can act as effective predators of B. oleae pupae, particularly during the vulnerable overwintering stage in the soil [86,87,88,89]. Enhancing carabid abundance through cover cropping may therefore improve biological control, especially if predator activity is synchronized with pest phenology [90].
However, although cover cropping clearly increases predator abundance, translating this into consistent pest suppression is complex. Studies have shown that higher predator richness does not always result in lower pest densities, due to factors such as intra-guild predation, prey switching, or limited temporal overlap with pests [91,92,93]. Abiotic factors and landscape context may also influence pest dynamics independently of predator populations [94].
Nevertheless, under suitable conditions, cover crops can contribute to pest regulation. Studies in olive groves have reported declines in B. oleae and the olive moth Prays oleae Bernard (Lepidoptera: Praydidae) with enhanced predator activity, particularly involving Chrysopidae larvae, Heteroptera, ants, and spiders [76,95].
During the present study, four spider species, P. malickyi, H. irini, Zelotes chaniaensis Senglet (Gnaphosidae), and Harpactea coccifera Brignoli (Dysderidae), and two Carabidae species, T. creticus and C. banoni, endemic to Crete were recorded [46,47]. This finding underscores the conservation value of traditional olive agroecosystems in maintaining local biodiversity. These endemic species were found exclusively, or more frequently, in the undisturbed control field, suggesting that soil disturbance associated with cover crop establishment may negatively affect their abundance. However, as the study spanned only a six-month sampling period, long-term monitoring is necessary to confirm this observation, especially for species with limited dispersal abilities, such as the agelenid funnel weaver H. irini and the large, flightless carabid C. banoni [46,96].
Similar patterns have been reported in a previous study on grasshoppers, where the installation of annual cover crops in vineyards favored flying and widely distributed species at the expense of flightless and narrowly distributed endemic ones [97]. The use of perennial cover crops, maintained as permanent ground cover or under reduced tillage regimes, could potentially mitigate the negative effects on such organisms.

5. Conclusions

This study demonstrates that cover cropping with perennial species enhances the abundance, taxonomic composition, and functional diversity of ground-dwelling arthropods in Mediterranean olive groves. Fescue favored saprophagous taxa and supported significantly higher numbers of predatory taxa, including spiders and carabid beetles, and increased carabid species richness and trait diversity, notably among smaller-bodied and specialist predator species. Clover, although less effective for predators, contributed to overall arthropod abundance and increased omnivore and detritivore density. Spider abundance responded positively to both cover crops, yet their functional diversity remained resilient, indicating a stable trait composition across treatments. The occurrence of endemic spider and carabid species underscores the conservation value of traditional olive agroecosystems. Although greater predator abundance suggests potential for improved biological control, further research is needed to confirm pest suppression. Nonetheless, integrating perennial cover crops into olive grove management appears to be a viable agroecological strategy to support biodiversity and ecosystem services. Particularly, tall fescue may generate stronger legacy effects by providing longer-lasting habitat and resources for decomposers and predators, thereby enhancing soil quality and contributing to the biological control of pests.

Supplementary Materials

The following supporting information can be downloaded at https://www.mdpi.com/article/10.3390/d17090621/s1. Figure S1: Temporal distribution of (A) total arthropods, (B) predatory, (C) omnivore, (D) herbivore, and (E) saprophagous ground-dwelling arthropods in cover crop plots and the control field.

Author Contributions

Conceptualization, T.S.; methodology, T.A. and T.S.; formal analysis, T.A. and T.S.; investigation, T.A.; resources, G.K. and T.S.; data curation, T.A.; writing—original draft preparation, T.A.; writing—review and editing, T.A., G.K. and T.S.; visualization, T.A.; supervision, G.K. and T.S. All authors have read and agreed to the published version of the manuscript.

Funding

This research received no external funding.

Institutional Review Board Statement

Not applicable.

Data Availability Statement

The datasets used and/or analyzed during the current study are available from the corresponding author on reasonable request.

Conflicts of Interest

The authors declare no conflicts of interest.

Appendix A

Table A1. Ground-dwelling arthropod taxa found during study classified according to their feeding habits with total number of individuals collected per treatment.
Table A1. Ground-dwelling arthropod taxa found during study classified according to their feeding habits with total number of individuals collected per treatment.
ClassOrderFamilyFeeding HabitsControlFescueClover
ArachnidaAraneae Predators92012371044
Opiliones Predators80215163
Pseudoscorpiones Predators207022
ChilopodaScolopendromorphaScolopendridaePredators181920
ScutigeromorphaScutigeridaePredators1106
Diplopoda Saprophagous402214
MalacostracaIsopoda Saprophagous73722863330
EntognathaCollembola Saprophagous18413391217
InsectaArchaeognatha Saprophagous111
Zygentoma Saprophagous013
Blattodea Omnivores1325511570
ColeopteraAnthicidaeOmnivores68717701501
CantharidaeOmnivores133260
CarabidaePredators347411266
ChrysomelidaeHerbivores6116
CoccinellidaePredators41016
CurculionidaeHerbivores202832
DermestidaeSaprophagous2821
ElateridaeHerbivores92325
GeotrupidaeSaprophagous100
HisteridaeSaprophagous152
HydraenidaeSaprophagous010
LaemophloidaeSaprophagous100
LatridiidaeSaprophagous1610788
LeiodidaeSaprophagous2731
MelyridaeOmnivores2504370577
MordellidaeHerbivores3223
NitidulidaeSaprophagous040
PtinidaeSaprophagous86811
ScarabaeidaeHerbivores122533
SilphidaeSaprophagous021
StaphylinidaePredators538071
SylvanidaeHerbivores794174231
TenebrionidaeHerbivores950119
Dermaptera Omnivores10123
Embidiina Saprophagous935
Mantodea Predators101
NeuropteraChrysopidaePredators1230
MyrmeleontidaePredators100
HemipteraAnthocoridaePredators011
ReduviidaePredators21013
HymenopteraFormicidaeOmnivores269932236468
OrthopteraAcrididaeHerbivores54214
GryllidaeHerbivores371945
Table A2. Spider species found during study, classified according to their body size and hunting strategy. n: total number of individuals collected per treatment. Dominance (D) categories: eudominant (>10%); dominant (5–10%); subdominant (1.00–4.99%); recedent (0.5–0.99%); subrecedent (0.01–0.49%). Frequency (C) categories: euconstant (75–100%); constant (50–75%); accessory (25–50%); accidental (0.1–25%). S—small; VS—very small; M—medium-sized; L—large; Act—active hunter; Amb—ambusher; Web—web builder; Spec—specialist predator.
Table A2. Spider species found during study, classified according to their body size and hunting strategy. n: total number of individuals collected per treatment. Dominance (D) categories: eudominant (>10%); dominant (5–10%); subdominant (1.00–4.99%); recedent (0.5–0.99%); subrecedent (0.01–0.49%). Frequency (C) categories: euconstant (75–100%); constant (50–75%); accessory (25–50%); accidental (0.1–25%). S—small; VS—very small; M—medium-sized; L—large; Act—active hunter; Amb—ambusher; Web—web builder; Spec—specialist predator.
ControlFescueClover
FamilySpeciesSizeHunting
Strategy
nDCnDCnDC
AgelenidaeHellamalthonica irini BosmansSWeb7716.127.5101.96.9---
DysderidaeDysdera spinicrus SimonMSpec479.840.671.38.371.79.7
Harpactea coccifera BrignoliVSSpec30.64.3------
Harpactea sp.VSSpec10.21.410.21.4---
GnaphosidaeCivizelotes caucasius KochSAct40.85.8224.222.292.29.7
Civizelotes solstitialis LevySAct51.07.2163.016.7184.413.9
Drassodes lutescens KochMAct------10.21.4
Drassyllus praeficus Koch SAct61.35.8264.916.7245.816.7
Drassodes serratichelis Roewer VSAct10.21.4---10.21.4
Haplodrassus dalmatensis KochSAct---40.84.210.21.4
Leptodrassus albidus Simon VSAct---234.415.3235.619.4
Marinarozelotes adriaticus CaporiaccoSAct10.21.410.21.430.74.2
Marinarozelotes barbatus KochSAct10.21.4---10.21.4
Marinarozelotes malkini Platnick & Murphy SAct71.58.7163.013.9163.912.5
Nomisia ripariensis Pickard-CambridgeSAct---20.42.851.25.6
Pterotricha lentiginosa KochMAct51.07.271.38.3256.125.0
Synaphosus trichopus RoewerVSAct---30.64.210.21.4
Zelotes chaniaensis SengletSAct81.78.7101.913.910.21.4
Zelotes metellus RoewerSAct---10.21.451.26.9
Zelotes minous ChatzakiVSAct214.414.5234.412.571.78.3
Zelotes prishutovae Ponomarev & TsvetkovVSAct---71.38.320.52.8
Zelotes subterraneus KochSAct---30.64.220.52.8
Zelotes tenuis KochSAct81.78.710.21.4---
LinyphiidaeAgyneta pseudorurestris WunderlichVSWeb---91.711.1174.113.9
Diplocephalus graecus Pickard-Cambridge VSWeb20.42.9244.618.1389.216.7
Palliduphantes malickyi WunderlichVSWeb336.920.3112.18.3122.98.3
Trichoncoides piscator Simon VSWeb10.21.471.39.741.02.8
Tenuiphantes tenuis BlackwallVSWeb30.61.4------
Linyphiidae sp.VSWeb---20.41.4---
LycosidaeAlopecosa albofasciata Brullé MAct5812.113.0244.619.4338.016.7
Hogna radiata LatreilleLAct20.42.910.21.410.21.4
OonopidaeOrchestina setosa DalmasVSAct---20.42.830.74.2
Silhouettella loricatula Roewer VSAct20.42.950.96.961.56.9
PalpimanidaePaplimanus gibbulus DufourSAct265.429.0407.631.9184.419.4
PhilodromidaeThantaus atratus SimonSAct------30.74.2
Tibellus macellus SimonMAct10.21.410.21.420.52.8
Pulchellodromus pulchellus LucasVSAct------20.51.4
PisauridaePisaura mirabilis ClerckLAct---10.21.4---
SalticidaeCyrba algerina LucasVSAct------41.04.2
Chalcoscirtus infimus SimonVSAct10.21.430.64.241.05.6
Euophrys herbigrada Simon VSAct51.07.240.85.6143.416.7
Evarcha jucunda LucasSAct10.21.4------
Heliophanus cupreus WalckenaerSAct---10.21.410.21.4
Habrocestum egaeum MetznerSAct91.910.110.21.400.00.0
Heliophanus equester KochSAct---163.015.330.74.2
Philaeus chrysops PodaSAct------10.21.4
Phlegra fasciata HahnSAct10.21.4---20.52.8
Pellenes geniculatus Simon VSAct10.21.410.21.420.52.8
Synageles dalmaticus KeyserlingVSAct81.710.110.21.441.05.6
Salticus zebraneus KochVSAct10.21.4------
ScytodidaeScytodes thoracica LatreilleSAct132.714.530.64.241.05.6
SicariidaeLoxosceles rufescens DufourSAct---10.21.4---
TheridiidaeEuryopis episinoides WalckenaerVSWeb153.120.371.38.351.26.9
Kochiura aulica KochVSWeb10.21.4------
Theridion cinereum ThorellVSWeb------10.21.4
Theridiidae sp.VSWeb40.84.3------
Enoplognatha sp.VSWeb------10.21.4
ThomisidaeBassaniodes bufo DufourMAmb---10.21.4---
Monaeses paradoxus LucasMAmb20.42.910.21.410.21.4
Ozyptila confluens KochSAmb30.62.9---10.21.4
Ozyptila sanctuaria Pickard-CambridgeVSAmb30.64.3173.215.381.99.7
Synema globosum FabriciusSAmb---10.21.4---
Xysticus acerbus ThorellSAmb------10.21.4
TitanoecidaeNurscia albomaculata LucasMWeb---61.15.630.74.2
ZodariidaePalaestina expolita Pickard-CambridgeVSSpec---71.39.7153.615.3
Zodarion frenatum SimonVSSpec112.311.6203.88.3153.612.5
Zodarion spinibarbe WunderlichVSSpec7716.152.212523.751.4317.527.8
Table A3. Carabid species found during study, classified according to their body size and feeding habits. n: total number of individuals collected per treatment. Dominance (D) categories: eudominant (>10%); dominant (5–10%); subdominant (1.00–4.99%); recedent (0.5–0.99%); subrecedent (0.01–0.49%). Frequency (C) categories: euconstant (75–100%); constant (50–75%); accessory (25–50%); accidental (0.1–25%). S—small; VS—very small; M—medium-sized; L—large; Carn—carnivore; Herb—herbivore; Omni—omnivore; Spec—specialist predator.
Table A3. Carabid species found during study, classified according to their body size and feeding habits. n: total number of individuals collected per treatment. Dominance (D) categories: eudominant (>10%); dominant (5–10%); subdominant (1.00–4.99%); recedent (0.5–0.99%); subrecedent (0.01–0.49%). Frequency (C) categories: euconstant (75–100%); constant (50–75%); accessory (25–50%); accidental (0.1–25%). S—small; VS—very small; M—medium-sized; L—large; Carn—carnivore; Herb—herbivore; Omni—omnivore; Spec—specialist predator.
ControlFescueClover
SpeciesSizeFeeding HabitnDCnDCnDC
Tapinopterus creticus Frivaldszky von FrivaldLCarn26978.266.715335.762.515056.663.8
Syntomus fuscomaculatus MotschulskyVSCarn72.08.7204.718.151.97.2
Carabus banoni DejeanLCarn205.821.781.98.3114.211.6
Olisthopus fuscatus DejeanSHerb72.08.751.26.972.68.7
Asaphidion sp.SCarn10.31.410.21.410.41.4
Bembidion tethys NetolitzkyVSCarn---7818.225.0207.510.1
Bembidion splendidum SturmVSCarn72.08.781.99.710.41.4
Notiophilus palustris DuftschmidSSpec20.62.9------
Microlestes sp.VSCarn30.94.36214.529.23011.320.3
Siagona europaea DejeanMSpec---4510.525.0186.815.9
Acinopus laevigatus MénétriesMHerb10.31.4163.716.7---
Ditomus calydonius RossiMHerb10.31.420.52.8---
Carterus angustipennis Chaudoir MHerb---10.21.4---
Scybalicus oblongiusculus DejeanMHerb---30.74.2---
Chlaenius decipiens DufourMCarn10.31.4------
Platytarus faminii DejeanMCarn41.25.8163.715.372.68.7
Harpalus distinguendus Duftschmid MOmni216.113.071.69.7134.913.0
Ophonus cordatus DuftschmidMHerb---30.72.810.41.4
Oedesis caucasicus DejeanMHerb------10.41.4

References

  1. Tilman, D.; Cassman, K.G.; Matson, P.A.; Naylor, R.; Polasky, S. Agricultural sustainability and intensive production practices. Nature 2002, 418, 671–677. [Google Scholar] [CrossRef] [PubMed]
  2. Tscharntke, T.; Klein, A.M.; Kruess, A.; Steffan-Dewenter, I.; Thies, C. Landscape perspectives on agricultural intensification and biodiversity–Ecosystem service management. Ecol. Lett. 2005, 8, 857–874. [Google Scholar] [CrossRef]
  3. Schröter, D.; Cramer, W.; Leemans, R.; Prentice, I.C.; Araújo, M.B.; Arnell, N.W.; Bondeau, A.; Bugmann, H.; Carter, T.R.; Gracia, C.A.; et al. Ecosystem service supply and vulnerability to global change in Europe. Science 2005, 310, 1333–1337. [Google Scholar] [CrossRef]
  4. Giorgi, F. Climate change hot-spots. Geophys. Res. Lett. 2006, 33, L08707. [Google Scholar] [CrossRef]
  5. Altieri, M.A. The ecological role of biodiversity in agroecosystems. Agric. Ecosyst. Environ. 1999, 74, 19–31. [Google Scholar] [CrossRef]
  6. Loizou, E.; Spinthiropoulos, K.; Kalogiannidis, S.; Chatzitheodoridis, F.; Kalfas, D.; Tzilantonis, G. Enhancing climate resilience and food security in Greece through agricultural biodiversity. Land 2025, 14, 838. [Google Scholar] [CrossRef]
  7. Karamaouna, F.; Kati, V.; Volakakis, N.; Varikou, K.; Garantonakis, N.; Economou, L.; Birouraki, A.; Markellou, E.; Liberopoulou, S.; Edwards, M. Ground cover management with mixtures of flowering plants to enhance insect pollinators and natural enemies of pests in olive groves. Agric. Ecosyst. Environ. 2019, 274, 76–89. [Google Scholar] [CrossRef]
  8. Kati, V.; Karamaouna, F.; Economou, L.; Mylona, P.V.; Samara, M.; Mitroiu, M.-D.; Barda, M.; Edwards, M.; Liberopoulou, S. Sown wildflowers enhance habitats of pollinators and beneficial arthropods in a tomato field margin. Plants 2021, 10, 1003. [Google Scholar] [CrossRef]
  9. Barda, M.; Karamaouna, F.; Kati, V.; Perdikis, D. Do patches of flowering plants enhance insect pollinators in apple orchards? Insects 2023, 14, 208. [Google Scholar] [CrossRef]
  10. Stathakis, T.; Economou, L.; Barda, M.; Angelioudakis, T.; Kati, V.; Karamaouna, F. Potential of hedgerows with aromatic plants as reservoirs of natural enemies of pests in orange orchards. Insects 2023, 14, 391. [Google Scholar] [CrossRef] [PubMed]
  11. Karamaouna, F.; Kati, V.; Economou, L.; Troyanos, G.; Samara, M.; Liberopoulou, S.; Barda, M.; Mitroiu, M.-D.; Edwards, M. Selected flowering plants as a habitat for pollinators and natural enemies in field margins of a watermelon crop—Implications for crop yield. Int. J. Pest Manag. 2024, 70, 920–936. [Google Scholar] [CrossRef]
  12. Barda, M.S.; Karamaouna, F.; Kati, V.; Stathakis, T.I.; Economou, L.P.; Perdikis, D.C. Flowering plant patches to support the conservation of natural enemies of pests in apple orchards. Agric. Ecosyst. Environ. 2025, 381, 109405. [Google Scholar] [CrossRef]
  13. Kati, V.; Stathakis, T.; Economou, L.; Mylonas, P.; Barda, M.; Angelioudakis, T.; Parlapani, A.B.; Tsamis, I.; Karamaouna, F. Processing tomato crop benefits from flowering plants in field margins that support pollinators and natural enemies. Agronomy 2025, 15, 1558. [Google Scholar] [CrossRef]
  14. Michail, I.; Pantazis, C.; Solomos, S.; Michailidis, M.; Molassiotis, A.; Gkisakis, V. Cover crops for carbon mitigation and biodiversity enhancement: A case study of an olive grove in Messinia, Greece. Agriculture 2025, 15, 898. [Google Scholar] [CrossRef]
  15. Quintarelli, V.; Radicetti, E.; Allevato, E.; Stazi, S.R.; Haider, G.; Abideen, Z.; Bibi, S.; Jamal, A.; Mancinelli, R. Cover crops for sustainable cropping systems: A review. Agriculture 2022, 12, 2076. [Google Scholar] [CrossRef]
  16. Rivers, A.N.; Mullen, C.A.; Barbercheck, M.E. Cover crop species and management influence predatory arthropods and predation in an organically managed, reduced-tillage cropping system. Environ. Entomol. 2018, 47, 340–355. [Google Scholar] [CrossRef]
  17. Carmona, G.I.; Delserone, L.M.; Campos, J.N.D.; de Almeida, T.F.; Ozório, D.V.B.; Cardona, J.D.B.; Wright, R.; McMechan, A.J. Does cover crop management affect arthropods in the subsequent corn and soybean crops in the United States? A systematic review. Ann. Entomol. Soc. Am. 2021, 114, 151–162. [Google Scholar] [CrossRef]
  18. Abajue, M.C.; Ogwu, M.C. Sustainable alternative land management strategies and their impacts on soil arthropod diversity. In Sustainable Soil Systems in Global South; Ogwu, M.C., Izah, S.C., Dessureault-Rompré, J., Gasparatos, D., Eds.; Springer Nature: Singapore, 2024; pp. 497–521. [Google Scholar]
  19. Rusek, J. Biodiversity of Collembola and their functional role in the ecosystem. Biodivers. Conserv. 1998, 7, 1207–1219. [Google Scholar] [CrossRef]
  20. Filser, J. The role of Collembola in carbon and nitrogen cycling in soil: Proceedings of the Xth International Colloquium on Apterygota, České Budějovice 2000: Apterygota at the beginning of the third millennium. Pedobiologia 2002, 46, 234–245. [Google Scholar] [CrossRef]
  21. Lavelle, P.; Decaëns, T.; Aubert, M.; Barot, S.; Blouin, M.; Bureau, F.; Margerie, P.; Mora, P.; Rossi, J.-P. Soil invertebrates and ecosystem services. Eur. J. Soil Biol. 2006, 42, S3–S15. [Google Scholar] [CrossRef]
  22. Bardgett, R.D.; van der Putten, W.H. Belowground biodiversity and ecosystem functioning. Nature 2014, 515, 505–511. [Google Scholar] [CrossRef]
  23. Thanuja, A.; Dori, B.; Panigrahi, C.K.; Gautam, S.K.; Gawaria, J.; Sarangi, S.; Chaware, G.G.; Mandal, I. Ecology of soil-dwelling insects and their influence on crop health: A review. Int. J. Environ. Clim. Change 2025, 15, 285–296. [Google Scholar] [CrossRef]
  24. Dassou, A.G.; Tixier, P. Response of pest control by generalist predators to local-scale plant diversity: A meta-analysis. Ecol. Evol. 2016, 6, 1143–1153. [Google Scholar] [CrossRef] [PubMed]
  25. Dassou, A.G.; Carval, D.; Dépigny, S.; Fansi, G.; Tixier, P. Ant abundance and cosmopolites sordidus damage in plantain fields as affected by intercropping. Biol. Control 2015, 81, 51–57. [Google Scholar] [CrossRef]
  26. Kromp, B. Carabid beetles in sustainable agriculture: A review on pest control efficacy, cultivation impacts and enhancement. Agric. Ecosyst. Environ. 1999, 74, 187–228. [Google Scholar] [CrossRef]
  27. Pekár, S.; Michalko, R.; Loverre, P.; Líznarová, E.; Černecká, Ľ. Biological control in winter: Novel evidence for the importance of generalist predators. J. Appl. Ecol. 2015, 52, 270–279. [Google Scholar] [CrossRef]
  28. Picchi, M.S.; Bocci, G.; Petacchi, R.; Entling, M.H. Effects of local and landscape factors on spiders and olive fruit flies. Agric. Ecosyst. Environ. 2016, 222, 138–147. [Google Scholar] [CrossRef]
  29. Benamú, M.A.; Lacava, M.; García, L.F.; Santana, M.; Viera, C. Spiders associated with agroecosystems: Roles and perspectives. In Behaviour and Ecology of Spiders: Contributions from the Neotropical Region; Viera, C., Gonzaga, M.O., Eds.; Springer International Publishing: Cham, Switzerland, 2017; pp. 275–302. [Google Scholar]
  30. Thiele, H.-U. Carabid Beetles in Their Environments; Springer: Berlin/Heidelberg, Germany, 1977. [Google Scholar]
  31. Šerić Jelaska, L.; Ivanković Tatalović, L.; Kostanjšek, F.; Kos, T. Ground beetle assemblages and distribution of functional traits in olive orchards and vineyards depend on the agricultural management practice. BioControl 2022, 67, 275–286. [Google Scholar] [CrossRef]
  32. IOC Statistics. 2023. Available online: https://www.internationaloliveoil.org/wp-content/uploads/2022/12/IOC-Olive-Oil-Dashboard-2.html (accessed on 7 February 2023).
  33. Gkisakis, V.; Volakakis, N.; Kollaros, D.; Bàrberi, P.; Kabourakis, E.M. Soil arthropod community in the olive agroecosystem: Determined by environment and farming practices in different management systems and agroecological zones. Agric. Ecosyst. Environ. 2016, 218, 178–189. [Google Scholar] [CrossRef]
  34. Sommaggio, D.; Peretti, E.; Burgio, G. The effect of cover plants management on soil invertebrate fauna in vineyard in northern Italy. BioControl 2018, 63, 795–806. [Google Scholar] [CrossRef]
  35. Sáenz-Romo, M.G.; Veas-Bernal, A.; Martínez-García, H.; Ibáñez-Pascual, S.; Martínez-Villar, E.; Campos-Herrera, R.; Marco-Mancebón, V.S.; Pérez-Moreno, I. Effects of ground cover management on insect predators and pests in a Mediterranean vineyard. Insects 2019, 10, 421. [Google Scholar] [CrossRef] [PubMed]
  36. Castro, J.; Tortosa, F.S.; Carpio, A.J. Structure of canopy and ground-dwelling arthropod communities in olive orchards is determined by the type of soil cover. Eur. J. Entomol. 2021, 118, 159–170. [Google Scholar] [CrossRef]
  37. Perera-Fernández, L.G.; de Pedro, L.; Sanchez, J.A. Sown covers enhance the diversity and abundance of ground-dwelling predators in Mediterranean pear orchards. Agronomy 2023, 13, 3049. [Google Scholar] [CrossRef]
  38. Crézé, C.M.; Horwath, W.R. Cover cropping: A malleable solution for sustainable agriculture? Meta-analysis of ecosystem service frameworks in perennial systems. Agronomy 2021, 11, 862. [Google Scholar] [CrossRef]
  39. Hohbein, R.R.; Conway, C.J. Pitfall traps: A review of methods for estimating arthropod abundance. Wildl. Soc. Bull. 2018, 42, 597–606. [Google Scholar] [CrossRef]
  40. Kwon, T.-S.; Park, Y.K.; Jung, J.-K.; Lee, Y.G.; Park, C.W.; Park, Y.-S. Effects of preservatives in pitfall traps for collecting arthropods: A comparison of ethylene glycol and five alternative preservatives. J. Asia-Pac. Biodivers. 2022, 15, 541–546. [Google Scholar] [CrossRef]
  41. Werner, F.G.; Chandler, D.S. Anthicidae (Insecta: Coleoptera). Fauna N. Z. 1995, 34, 1–64. [Google Scholar] [CrossRef]
  42. Majka, C.G. New Records of Melyridae (Coleoptera) from the Maritime Provinces of Canada. Can. Entomol. 2005, 137, 325–327. [Google Scholar] [CrossRef]
  43. Triplehorn, C.A.; Johnson, N.F.; Borror, D.J. Borror and Delong’s Introduction to the Study of Insects, 7th ed.; Thompson Brooks/Cole: Belmont, CA, USA, 2005. [Google Scholar]
  44. Majka, C.G. The Flat Bark Beetles (Coleoptera, Silvanidae, Cucujidae, Laemophloeidae) of Atlantic Canada. ZooKeys 2008, 2, 221–238. [Google Scholar] [CrossRef]
  45. Resh, V.H.; Cardé, R.T. (Eds.) Encyclopedia of Insects, 2nd ed.; Academic Press: Amsterdam, The Netherlands, 2009. [Google Scholar]
  46. Arndt, E.; Schnitter, P.; Sfenthourakis, S.; Wrase, D.W. (Eds.) Ground Beetles (Carabidae) of Greece; Series Faunistica; Pensoft: Sofia, Bulgaria, 2011; Volume 100, p. 393. [Google Scholar]
  47. Nentwig, W.; Blick, T.; Bosmans, R.; Gloor, D.; Hänggi, A.; Kropf, C. Spiders of Europe. Available online: https://www.araneae.nmbe.ch (accessed on 2 February 2024).
  48. Tischler, W. Grundzüge der Terrestrischen Tierökologie; Vieweg+Teubner Verlag: Wiesbaden, Germany, 1949. [Google Scholar]
  49. Magurran, A.E. Ecological Diversity and Its Measurement; Springer: Dordrecht, The Netherlands, 1988. [Google Scholar]
  50. Oksanen, J.; Blanchet, F.G.; Kindt, R.; Legendre, P.; Minchin, P.R.; O’Hara, R.B.; Simpson, G.L.; Solymos, P.; Henry, M.; Stevens, H.; et al. Vegan: Community Ecology Package. R Package Version 2.7-1. 2025. Available online: http://CRAN.R-project.org/package=vegan (accessed on 10 June 2025).
  51. Baselga, A.; Orme, D.; Villeger, S.; Bortoli, J.D.; Leprieur, F.; Logez, M.; Martinez-Santalla, S.; Martin-Devasa, R.; Gomez-Rodriguez, C.; Crujeiras, R.M.; et al. Betapart: Partitioning Beta Diversity into Turnover and Nestedness Components. R Package Version 1.6.1. 2025. Available online: https://CRAN.R-project.org/package=betapart (accessed on 10 August 2025).
  52. Wickham, H. Ggplot2: Elegant Graphics for Data Analysis; Springer: New York, NY, USA, 2016. [Google Scholar]
  53. Cardoso, P.; Pekár, S.; Jocqué, R.; Coddington, J.A. Global patterns of guild composition and functional diversity of spiders. PLoS ONE 2011, 6, e21710. [Google Scholar] [CrossRef]
  54. Homburg, K.; Homburg, N.; Schäfer, F.; Schuldt, A.; Assmann, T. Carabids.org—A dynamic online database of ground beetle species traits (Coleoptera, Carabidae). Insect Conserv. Divers. 2014, 7, 195–205. [Google Scholar] [CrossRef]
  55. Laliberté, E.; Legendre, P. A distance-based framework for measuring functional diversity from multiple traits. Ecology 2010, 91, 299–305. [Google Scholar] [CrossRef]
  56. Laliberté, E.; Legendre, P.; Shipley, B. FD: Measuring Functional Diversity (FD) from Multiple Traits, and Other Tools for Functional Ecology. R Package Version 1.0-12.3. 2023. Available online: https://CRAN.R-project.org/package=FD (accessed on 10 June 2025).
  57. Ogle, D.H.; Doll, J.C.; Wheeler, A.P. FSA: Simple Fisheries Stock Assessment Methods. R Package Version 0.10.0. 2025. Available online: https://CRAN.R-project.org/package=FSA (accessed on 10 June 2025).
  58. Fernández, D.E.; Cichón, L.I.; Sánchez, E.E.; Garrido, S.A.; Gittins, C. Effect of different cover crops on the presence of arthropods in an organic apple (Malus domestica Borkh) orchard. J. Sustain. Agric. 2008, 32, 197–211. [Google Scholar] [CrossRef]
  59. Cruz-Miralles, J.; Guzzo, M.; Ibáñez-Gual, M.V.; Dembilio, Ó.; Jaques, J.A. Ground-covers affect the activity density of ground-dwelling predators and their impact on the mediterranean fruit fly, Ceratitis capitata. BioControl 2022, 67, 583–592. [Google Scholar] [CrossRef]
  60. Blubaugh, C.K.; Huss, C.P.; Lindell, H.C.; Spann, G.L.; Basinger, N.T. Cover crops dismantle keystone ant/aphid mutualisms to enhance insect pest suppression and weed biocontrol. Agric. For. Entomol. 2025, 27, 294–303. [Google Scholar] [CrossRef]
  61. Dix, M.; Baxendale, F. Insect pests and arthropod predators associated with tree-turf landscapes. J. Entomol. Sci. 1997, 32, 257–270. [Google Scholar]
  62. Holway, D.A.; Lach, L.; Suarez, A.V.; Tsutsui, N.D.; Case, T.J. The causes and consequences of ant invasions. Annu. Rev. Ecol. Syst. 2002, 33, 181–233. [Google Scholar] [CrossRef]
  63. Sapkota, T.B.; Mazzoncini, M.; Bàrberi, P.; Antichi, D.; Silvestri, N. Fifteen years of no till increase soil organic matter, microbial biomass and arthropod diversity in cover crop-based arable cropping systems. Agron. Sustain. Dev. 2012, 32, 853–863. [Google Scholar] [CrossRef]
  64. Blanco-Canqui, H.; Shaver, T.M.; Lindquist, J.L.; Shapiro, C.A.; Elmore, R.W.; Francis, C.A.; Hergert, G.W. Cover crops and ecosystem services: Insights from studies in temperate soils. Agron. J. 2015, 107, 2449–2474. [Google Scholar] [CrossRef]
  65. Kelly, C.; Fonte, S.J.; Shrestha, A.; Daane, K.M.; Mitchell, J.P. Winter cover crops and no-till promote soil macrofauna communities in irrigated, Mediterranean cropland in California, USA. Appl. Soil Ecol. 2021, 166, 104068. [Google Scholar] [CrossRef]
  66. Fiorini, A.; Remelli, S.; Boselli, R.; Mantovi, P.; Ardenti, F.; Trevisan, M.; Menta, C.; Tabaglio, V. Driving crop yield, soil organic C pools, and soil biodiversity with selected winter cover crops under no-till. Soil Tillage Res. 2022, 217, 105283. [Google Scholar] [CrossRef]
  67. Mayer, P.M.; Tunnell, S.J.; Engle, D.M.; Jorgensen, E.E.; Nunn, P. Invasive grass alters litter decomposition by influencing macrodetritivores. Ecosystems 2005, 8, 200–209. [Google Scholar] [CrossRef]
  68. Nakamoto, T.; Tsukamoto, M. Abundance and activity of soil organisms in fields of maize grown with a white clover living mulch. Agric. Ecosyst. Environ. 2006, 115, 34–42. [Google Scholar] [CrossRef]
  69. Koukoura, Z.; Mamolos, A.P.; Kalburtji, K.L. Decomposition of dominant plant species litter in a semi-arid grassland. Appl. Soil Ecol. 2003, 23, 13–23. [Google Scholar] [CrossRef]
  70. de Pedro, L.; Ortín-Angulo, M.C.; Miñano, J.; López-Gallego, E.; Sanchez, J.A. Structure of the assemblages of spiders in Mediterranean pear orchards and the effect of intensity of spraying. Insects 2020, 11, 553. [Google Scholar] [CrossRef]
  71. Kubiak, K.L.; Pereira, J.A.; Tessaro, D.; Santos, S.A.P.; Benhadi-Marín, J. Functional diversity of epigeal spiders in the olive grove agroecosystem in northeastern Portugal: A comparison between crop and surrounding semi-natural habitats. Entomol. Exp. Appl. 2022, 170, 449–458. [Google Scholar] [CrossRef]
  72. Cushing, P.E. Spider-ant associations: An updated review of myrmecomorphy, myrmecophily, and myrmecophagy in spiders. Psyche 2012, 2012, 151989. [Google Scholar] [CrossRef]
  73. Beaumelle, L.; Auriol, A.; Grasset, M.; Pavy, A.; Thiéry, D.; Rusch, A. Benefits of increased cover crop diversity for predators and biological pest control depend on the landscape context. Ecol. Solut. Evid. 2021, 2, e12086. [Google Scholar] [CrossRef]
  74. Maloney, D.; Drummond, F.A.; Alford, R. Spider Predation in Agroecosystems: Can Spiders Effectively Control Pest Populations; MAFES Technical Bulletin 190; University of Maine: Orono, MN, USA, 2003. [Google Scholar]
  75. Nyffeler, M.; Sunderland, K.D. Composition, abundance and pest control potential of spider communities in agroecosystems: A comparison of European and US studies. Agric. Ecosyst. Environ. 2003, 95, 579–612. [Google Scholar] [CrossRef]
  76. Álvarez, H.A.; Jiménez-Muñoz, R.; Morente, M.; Campos, M.; Ruano, F. Ground cover presence in organic olive orchards affects the interaction of natural enemies against Prays oleae, promoting an effective egg predation. Agric. Ecosyst. Environ. 2021, 315, 107441. [Google Scholar] [CrossRef]
  77. Rivers, A.; Mullen, C.; Wallace, J.; Barbercheck, M. Cover crop-based reduced tillage system influences Carabidae (Coleoptera) activity, diversity and trophic group during transition to organic production. Renew. Agric. Food Syst. 2017, 32, 538–551. [Google Scholar] [CrossRef]
  78. Triquet, C.; Roume, A.; Wezel, A.; Tolon, V.; Ferrer, A. In-field cover crop strips support carabid communities and shape the ecological trait repartition in maize fields. Agric. For. Entomol. 2023, 25, 152–163. [Google Scholar] [CrossRef]
  79. Trihas, A.; Legakis, A. Phenology and patterns of activity of ground Coleoptera in an insular Mediterranean ecosystem (Cyclades, Greece). Pedobiologia 1991, 35, 327–335. [Google Scholar] [CrossRef]
  80. Blake, S.; Foster, G.N.; Eyre, M.D.; Luff, M.L. Effects of habitat type and grassland management practices on the body size distribution of carabid beetles. Pedobiologia 1994, 38, 502–512. [Google Scholar] [CrossRef]
  81. Hanson, H.I.; Palmu, E.; Birkhofer, K.; Smith, H.G.; Hedlund, K. Agricultural land use determines the trait composition of ground beetle communities. PLoS ONE 2016, 11, e0146329. [Google Scholar] [CrossRef]
  82. Ribera, I.; Dolédec, S.; Downie, I.S.; Foster, G.N. Effect of land disturbance and stress on species traits of ground beetle assemblages. Ecology 2001, 82, 1112–1129. [Google Scholar] [CrossRef]
  83. Bauer, T.; Talarico, F.; Mazzei, A.; Giglio, A.; Zetto-Brandmayr, T.; Brandmayr, P.; Betz, O. Hunting ants in Mediterranean clay soils: Life history of Siagona europaea (Coleoptera, Carabidae). Ital. J. Zool. 2005, 72, 33–42. [Google Scholar] [CrossRef]
  84. Kulkarni, S.S.; Dosdall, L.M.; Willenborg, C.J. The role of ground beetles (Coleoptera: Carabidae) in weed seed consumption: A review. Weed Sci. 2015, 63, 355–376. [Google Scholar] [CrossRef]
  85. Cividanes, F.J. Carabid beetles (Coleoptera: Carabidae) and biological control of agricultural pests in Latin America. Ann. Entomol. Soc. Am. 2021, 114, 175–191. [Google Scholar] [CrossRef]
  86. Orsini, M.M.; Daane, K.M.; Sime, K.R.; Nelson, E.H. Mortality of olive fruit fly pupae in California. Biocontrol Sci. Technol. 2007, 17, 797–807. [Google Scholar] [CrossRef]
  87. Dinis, A.M.; Pereira, J.A.; Pimenta, M.C.; Oliveira, J.; Benhadi-Marín, J.; Santos, S.A.P. Suppression of Bactrocera oleae (Diptera: Tephritidae) pupae by soil arthropods in the olive grove. J. Appl. Entomol. 2016, 140, 677–687. [Google Scholar] [CrossRef]
  88. Lantero, E.; Ortega, M.; Sánchez-Ramos, I.; González-Núñez, M.; Fernández, C.E.; Rescia, A.J.; Matallanas, B.; Callejas, C.; Pascual, S. Effect of local and landscape factors on abundance of ground beetles and assessment of their role as biocontrol agents in the olive growing area of southeastern Madrid, Spain. BioControl 2019, 64, 685–696. [Google Scholar] [CrossRef]
  89. Pizzolotto, R.; Mazzei, A.; Bonacci, T.; Scalercio, S.; Iannotta, N.; Brandmayr, P. Ground beetles in Mediterranean olive agroecosystems: Their significance and functional role as bioindicators (Coleoptera, Carabidae). PLoS ONE 2018, 13, e0194551. [Google Scholar] [CrossRef]
  90. Albertini, A.; Pizzolotto, R.; Petacchi, R. Carabid patterns in olive orchards and woody semi-natural habitats: First implications for conservation biological control against Bactrocera oleae. BioControl 2017, 62, 71–83. [Google Scholar] [CrossRef]
  91. Rosenheim, J.A.; Kaya, H.K.; Ehler, L.E.; Marois, J.J.; Jaffee, B.A. Intraguild predation among biological-control agents: Theory and evidence. Biol. Control 1995, 5, 303–335. [Google Scholar] [CrossRef]
  92. Paredes, D.; Cayuela, L.; Gurr, G.M.; Campos, M. Is ground cover vegetation an effective biological control enhancement strategy against olive pests? PLoS ONE 2015, 10, e0117265. [Google Scholar] [CrossRef]
  93. Sanchez, J.A.; Cabanillas, D.; López-Gallego, E.; Perera-Fernández, L.G. Sown ground cover in pear orchards influences the abundance of key predators with variable results on pest control depending on the species. BioControl 2025, 70, 487–500. [Google Scholar] [CrossRef]
  94. Bianchi, F.J.J.A.; Booij, C.J.H.; Tscharntke, T. Sustainable pest regulation in agricultural landscapes: A review on landscape composition, biodiversity and natural pest control. Proc. R. Soc. B 2006, 273, 1715–1727. [Google Scholar] [CrossRef]
  95. Álvarez, H.A.; García-García, A.; Sandoval, P.; Martín-Blázquez, R.; Seifert, B.; Tinaut, A.; Ruano, F. Elucidating the trophic role of Tapinoma ibericum (Hymenoptera: Formicidae) as a potential predator of olive pests. J. Appl. Entomol. 2023, 147, 667–675. [Google Scholar] [CrossRef]
  96. Martín-Devasa, R.; Jiménez-Valverde, A.; Leprieur, F.; Baselga, A.; Gómez-Rodríguez, C. Dispersal limitation shapes distance-decay patterns of European spiders at the continental scale. Glob. Ecol. Biogeogr. 2024, 33, e13810. [Google Scholar] [CrossRef]
  97. Adu-Acheampong, S.; Bazelet, C.S.; Samways, M.J. Extent to which an agricultural mosaic supports endemic species-rich grasshopper assemblages in the Cape Floristic Region Biodiversity Hotspot. Agric. Ecosyst. Environ. 2016, 227, 52–60. [Google Scholar] [CrossRef]
Figure 1. (A) General layout of the sown cover crop plots, with tree planting distances, and minimum spacing between traps; (B) fescue plot; (C) clover plot; (D) control field.
Figure 1. (A) General layout of the sown cover crop plots, with tree planting distances, and minimum spacing between traps; (B) fescue plot; (C) clover plot; (D) control field.
Diversity 17 00621 g001
Figure 2. (A) Pitfall trap; (B) Sample from a pitfall trap.
Figure 2. (A) Pitfall trap; (B) Sample from a pitfall trap.
Diversity 17 00621 g002
Figure 3. Abundance of ground-dwelling arthropods in cover crop plots and the control field: (A) total arthropods; (B) predators; (C) omnivores; (D) herbivores; (E) saprophagous. The line within the box represents the median; “×” denotes the mean value; the upper and lower parts of the box correspond to the first and the third quartiles, respectively; whiskers show the highest and lowest values within the 95% confidence interval of the median; points represent values outside this interval. Identical letters indicate no statistically significant differences among treatments. n.s. = not significant, ** p < 0.01, *** p < 0.001.
Figure 3. Abundance of ground-dwelling arthropods in cover crop plots and the control field: (A) total arthropods; (B) predators; (C) omnivores; (D) herbivores; (E) saprophagous. The line within the box represents the median; “×” denotes the mean value; the upper and lower parts of the box correspond to the first and the third quartiles, respectively; whiskers show the highest and lowest values within the 95% confidence interval of the median; points represent values outside this interval. Identical letters indicate no statistically significant differences among treatments. n.s. = not significant, ** p < 0.01, *** p < 0.001.
Diversity 17 00621 g003
Figure 4. Non-metric multidimensional scaling (NMDS) ordination of functional composition of ground-dwelling arthropod communities in cover crop plots and the control field. Points represent individual samples, and ellipses indicate 95% confidence intervals around group centroids. Black arrows represent significant correlations of arthropod functional groups with the ordination space, with arrow length proportional to the strength of the correlation.
Figure 4. Non-metric multidimensional scaling (NMDS) ordination of functional composition of ground-dwelling arthropod communities in cover crop plots and the control field. Points represent individual samples, and ellipses indicate 95% confidence intervals around group centroids. Black arrows represent significant correlations of arthropod functional groups with the ordination space, with arrow length proportional to the strength of the correlation.
Diversity 17 00621 g004
Figure 5. Community composition of ground-dwelling arthropods in cover crop plots and the control field.
Figure 5. Community composition of ground-dwelling arthropods in cover crop plots and the control field.
Diversity 17 00621 g005
Figure 6. (A) Abundance and (B) temporal distribution of spiders in cover crop plots and the control field. The line within the box represents the median; “×” denotes the mean value; the upper and lower parts of the box correspond to the first and the third quartiles, respectively; whiskers show the highest and lowest values within the 95% confidence interval of the median; points represent values outside this interval. n.s. = not significant.
Figure 6. (A) Abundance and (B) temporal distribution of spiders in cover crop plots and the control field. The line within the box represents the median; “×” denotes the mean value; the upper and lower parts of the box correspond to the first and the third quartiles, respectively; whiskers show the highest and lowest values within the 95% confidence interval of the median; points represent values outside this interval. n.s. = not significant.
Diversity 17 00621 g006
Figure 7. Family-level community composition of spiders in cover crop plots and the control field.
Figure 7. Family-level community composition of spiders in cover crop plots and the control field.
Diversity 17 00621 g007
Figure 8. Abundance across (A) body size classes and (B) hunting strategies of spiders in cover crop plots and the control field. The line within the box represents the median; “×” denotes the mean value; the upper and lower parts of the box correspond to the first and the third quartiles, respectively; whiskers show the highest and lowest values within the 95% confidence interval of the median; points represent values outside this interval. Identical letters indicate no statistically significant differences among treatments. n.s. = not significant, ** p < 0.01.
Figure 8. Abundance across (A) body size classes and (B) hunting strategies of spiders in cover crop plots and the control field. The line within the box represents the median; “×” denotes the mean value; the upper and lower parts of the box correspond to the first and the third quartiles, respectively; whiskers show the highest and lowest values within the 95% confidence interval of the median; points represent values outside this interval. Identical letters indicate no statistically significant differences among treatments. n.s. = not significant, ** p < 0.01.
Diversity 17 00621 g008
Figure 9. Principal Coordinates Analysis (PCoA) plot based on Bray–Curtis dissimilarities of spider communities in cover crop plots and the control field. Points represent individual samples, and ellipses indicate one standard deviation around group centroids.
Figure 9. Principal Coordinates Analysis (PCoA) plot based on Bray–Curtis dissimilarities of spider communities in cover crop plots and the control field. Points represent individual samples, and ellipses indicate one standard deviation around group centroids.
Diversity 17 00621 g009
Figure 10. (A) Abundance and (B) temporal distribution of carabid beetles in cover crop plots and the control field. The line within the box represents the median; “×” denotes the mean value; the upper and lower parts of the box correspond to the first and the third quartiles, respectively; whiskers show the highest and lowest values within the 95% confidence interval of the median; points represent values outside this interval. Identical letters indicate no statistically significant differences among treatments. n.s. = not significant, * p < 0.05.
Figure 10. (A) Abundance and (B) temporal distribution of carabid beetles in cover crop plots and the control field. The line within the box represents the median; “×” denotes the mean value; the upper and lower parts of the box correspond to the first and the third quartiles, respectively; whiskers show the highest and lowest values within the 95% confidence interval of the median; points represent values outside this interval. Identical letters indicate no statistically significant differences among treatments. n.s. = not significant, * p < 0.05.
Diversity 17 00621 g010
Figure 11. Abundance across (A) body size classes and (B) feeding habits of Carabidae in cover crop plots and the control field. The line within the box represents the median; “×” denotes the mean value; the upper and lower parts of the box correspond to the first and the third quartiles, respectively; whiskers show the highest and lowest values within the 95% confidence interval of the median; points represent values outside this interval. Identical letters indicate no statistically significant differences among treatments. n.s. = not significant, * p < 0.05, ** p < 0.01, *** p < 0.001.
Figure 11. Abundance across (A) body size classes and (B) feeding habits of Carabidae in cover crop plots and the control field. The line within the box represents the median; “×” denotes the mean value; the upper and lower parts of the box correspond to the first and the third quartiles, respectively; whiskers show the highest and lowest values within the 95% confidence interval of the median; points represent values outside this interval. Identical letters indicate no statistically significant differences among treatments. n.s. = not significant, * p < 0.05, ** p < 0.01, *** p < 0.001.
Diversity 17 00621 g011
Figure 12. Principal Coordinates Analysis (PCoA) plot based on Bray–Curtis dissimilarities of Carabidae communities in cover crop plots and the control field. Points represent individual samples, and ellipses indicate one standard deviation around group centroids.
Figure 12. Principal Coordinates Analysis (PCoA) plot based on Bray–Curtis dissimilarities of Carabidae communities in cover crop plots and the control field. Points represent individual samples, and ellipses indicate one standard deviation around group centroids.
Diversity 17 00621 g012
Table 1. Summary of the statistics for Generalized Linear Mixed Models (GLMM) with repeated measures testing the effect of the cover crops and sampling time on the abundance of ground-dwelling arthropods.
Table 1. Summary of the statistics for Generalized Linear Mixed Models (GLMM) with repeated measures testing the effect of the cover crops and sampling time on the abundance of ground-dwelling arthropods.
Fixed FactorsFdf1df2p-ValueAICBIC
Total arthropods
Treatment11.3282177<0.001340.676382.549
Time35.69611177<0.001
Treatment × Time6.02422177<0.001
Predators
Treatment5.49621770.005252.133294.006
Time17.99911177<0.001
Treatment × Time2.67522177<0.001
Omnivores
Treatment8.6582177<0.001443.728485.601
Time47.53211177<0.001
Treatment × Time4.73722177<0.001
Herbivores
Treatment12.5882177<0.001459.951501.824
Time17.47011177<0.001
Treatment × Time1.841221770.016
Saprophagous
Treatment14.3382177<0.001413.846455.720
Time16.35511177<0.001
Treatment × Time12.71622177<0.001
Predator:Herbivore
Treatment13.5562165<0.001514.951555.634
Time6.89011165<0.001
Treatment × Time1.237221650.223
Spiders
Treatment2.85521770.060313.580355.454
Time4.25411177<0.001
Treatment × Time3.21822177<0.001
Carabidae
Treatment3.35621770.037541.027582.901
Time22.29511177<0.001
Treatment × Time0.859221770.649
Table 2. Comparison of spider species richness, Shannon diversity index, functional richness, and functional dispersion between treatments.
Table 2. Comparison of spider species richness, Shannon diversity index, functional richness, and functional dispersion between treatments.
Treatments
ControlFescueCloverχ2dfp Value
Species richness3.86 ± 0.254.28 ± 0.304.18 ± 0.280.68020.712
Shannon index (H′)1.20 ± 0.071.38 ± 0.081.33 ± 0.084.57220.102
Functional richness (FRic)3.66 ± 0.203.50 ± 0.203.14 ± 0.173.53820.171
Functional dispersion (FDis)0.37 ± 0.020.37 ± 0.020.34 ± 0.022.28120.320
Table 3. Comparison of carabid species richness, Shannon diversity index, functional richness, and functional dispersion between treatments. Identical letters indicate no statistically significant differences among treatments.
Table 3. Comparison of carabid species richness, Shannon diversity index, functional richness, and functional dispersion between treatments. Identical letters indicate no statistically significant differences among treatments.
Treatments
ControlFescueCloverχ2dfp Value
Species richness1.87 ± 0.14 b2.87 ± 0.23 a2.33 ± 0.17 ab10.47620.005
Shannon index (H′)0.40 ± 0.06 b0.84 ± 0.08 a0.61 ± 0.07 ab18.12220.0001
Functional richness (FRic)1.64 ± 0.12 b2.54 ± 0.18 a2.00 ± 0.12 ab17.31320.0002
Functional dispersion (FDis)0.13 ± 0.03 b0.25 ± 0.02 a0.23 ± 0.03 a11.19020.004
Disclaimer/Publisher’s Note: The statements, opinions and data contained in all publications are solely those of the individual author(s) and contributor(s) and not of MDPI and/or the editor(s). MDPI and/or the editor(s) disclaim responsibility for any injury to people or property resulting from any ideas, methods, instructions or products referred to in the content.

Share and Cite

MDPI and ACS Style

Angelioudakis, T.; Koliopoulos, G.; Stathakis, T. Effect of Cover Cropping on the Abundance, Community Composition and Functional Diversity of Ground-Dwelling Arthropods in a Mediterranean Olive Grove. Diversity 2025, 17, 621. https://doi.org/10.3390/d17090621

AMA Style

Angelioudakis T, Koliopoulos G, Stathakis T. Effect of Cover Cropping on the Abundance, Community Composition and Functional Diversity of Ground-Dwelling Arthropods in a Mediterranean Olive Grove. Diversity. 2025; 17(9):621. https://doi.org/10.3390/d17090621

Chicago/Turabian Style

Angelioudakis, Theodoros, George Koliopoulos, and Theodoros Stathakis. 2025. "Effect of Cover Cropping on the Abundance, Community Composition and Functional Diversity of Ground-Dwelling Arthropods in a Mediterranean Olive Grove" Diversity 17, no. 9: 621. https://doi.org/10.3390/d17090621

APA Style

Angelioudakis, T., Koliopoulos, G., & Stathakis, T. (2025). Effect of Cover Cropping on the Abundance, Community Composition and Functional Diversity of Ground-Dwelling Arthropods in a Mediterranean Olive Grove. Diversity, 17(9), 621. https://doi.org/10.3390/d17090621

Note that from the first issue of 2016, this journal uses article numbers instead of page numbers. See further details here.

Article Metrics

Back to TopTop