Abstract
In recent years, the cultivation techniques of large-diameter forests have garnered increasing attention due to their significant ecological and economic values. However, the effects of small-scale latitudinal changes on the species distribution and community composition of large-diameter trees remain poorly understood. This study aims to investigate the effects of narrow latitudinal gradients on the species composition and structure of large-diameter forests. Investigating these impacts provides critical insights for silvicultural species selection and forest structure optimization, particularly in the context of global warming, and is essential for the sustainable development of large-diameter forests. In this study, three forest communities along a small-scale latitudinal gradient in subtropical China were selected to study the community structure of large-diameter trees by analyzing species composition and species diversity. The community structure was also studied by analyzing species rank curves, the diameter structure, PCoA, MRPP, and indicator species. The results revealed that as latitude increased, the proportion of rare species rose from 43.8% in LL (low-latitude) to 63.2% in HL (high-latitude) areas, while the stem density of dominant species and the number of stems per species also increased. Additionally, species composition homogeneity decreased (based on PCoA and MRPP analysis), age-class structures became more complex, and the proportion of tropical genera gradually declined, whereas temperate genera increased. These findings indicate that small-scale latitudinal variation is a key driver of changes in the composition and structure of large-diameter forests. Currently, the northern Guangdong region is suitable for large-diameter forest development, with Fagaceae species (particularly Castanopsis and Lithocarpus) showing high potential. Specifically, Castanopsis eyrei, Castanopsis fissa, and Ternstroemia gymnanthera are well-suited for large-diameter stand cultivation in Guangdong. For mixed large-diameter forests, Machilus chinensis, Cinnamomum porrectum, and Schima superba are recommended as optimal associated species. However, as global warming progresses, the suitability of tree species for afforestation may shift, necessitating adaptive management strategies.
1. Introduction
Climate is one of the important factors affecting biodiversity and habitat in forests [1]. Species richness and complexity of stand structure increase with an increase in temperature and precipitation [1]. At the same time, the amount and quality of sunlight also affect the growth of trees [2]. Among the various hypotheses explaining the decline in biodiversity with increasing latitude under large-scale latitudinal gradients, the energetic hypothesis of species diversity dominated by hydrothermal changes is widely accepted [3]. A latitudinal gradient is a feature of interest (such as species richness) that changes gradually with gradual changes in latitude [4]. A latitude gradient synthesizes changes in environmental conditions, such as temperature and moisture, and forest communities at different latitudes often show different biodiversity [5]. The vast majority of research has focused on species richness at broad focal scales (such as different climatic zones) [4]. However, species diversity shows different patterns of latitude distribution at different study scales [6]. In the latitudinal gradient from south to north, plant species diversity was found to increase on the regional scale but decrease on the community scale [7]. Therefore, smaller-scale ranges should also be worth exploring.
A large-diameter tree (hereafter referred to as LDT) is defined as a tree at the upper end of the size distribution in the local area [8]. A large-diameter forest (LDF) is a stand for the purpose of cultivating LDTs. In this study, trees with a diameter at breast height (DBH) greater than or equal to 20 cm will be considered LDTs. LDTs have high commercial value in terms of high-quality timber used for building, construction, art, and sculpture [8,9]. Therefore, the economic benefits gained through the development of LDFs are considerable. Not only do LDTs have an impact on tree renewal and forest succession, but they also play an important role in biomass carbon storage [10,11,12,13,14]. What is more, LDFs are vital for water conservation and climate change mitigation [15,16]. Even though LDTs have important values, they could also experience physiological decline [17,18]. Natural forests continue to decline due to deforestation and degradation [19]. In addition, the expansion of planted forest area increases carbon storage under a continuous decrease in the natural forest area [15]. Therefore, the cultivation and management of LDTs have received extensive attention. Previous studies of LDTs have principally concentrated on cultivation measures [20], factors of large-diameter wood formation [21], and ecological functions [22]. In contrast, whether small-scale latitudinal changes significantly affect the community structure and diversity of LDTs has received less attention.
Influenced by monsoons and topography, the distribution range of the subtropical zone in China is approximately 22° to 34° N [23]. The subtropical region of China, with favorable hydrothermal conditions and abundant forest resources, which contrasts with the world’s same latitude regions with almost no vegetation cover [24], has the potential to develop LDFs. Here, we studied the effects of small-scale latitude changes on the species composition and community structure of LDFs in subtropical areas, so as to provide a scientific basis for the formulation of forest construction plans and sustainable timber management under the background of global warming. We conducted a study in three nature reserves in Guangdong Province, including the analysis of common species, rare species, shared species, and unique species, as well as the study of species diversity and indicator species. We aimed to identify differences in the species distribution and community structure of LDFs under small-scale latitude changes, so as to find the most suitable LDT species for cultivation in subtropical Guangdong Province.
2. Materials and Methods
2.1. Study Sites
This study was conducted in Guangdong Province, and the specific areas of high latitude to low latitude included Chebaling National Nature Reserve (high-latitude; hereafter referred to as HL), Chenhedong Nature Reserve (mid-latitude; hereafter referred to as ML), and Yinpingshan Nature Reserve (low-latitude; hereafter referred to as LL). The natural characteristics of HL, ML, and LL are given in Table 1, and the geographical locations are shown in Figure 1. The three nature reserves have been established for a long time, and the vegetation is well preserved. They all have subtropical monsoon climates with abundant heat throughout the year, a mild climate, alternation of cold and warmth, and abundant water and heat resources [25,26,27]. The study sites exhibit distinct climatic profiles in annual mean temperature and precipitation, respectively, as follows: HL (19.5 °C and 1615 mm) [25], ML (19.5–21.4 °C and 2000 mm) [26], and LL (23.1 °C and 1500–1802.5 mm) [27].
Table 1.
Summary of site characteristics.
Figure 1.
The localization of the study area (including the distribution of Guangdong Province in China and the distribution of the three sample sites in Guangdong Province). The sampling plots from north to south are as follows: HL (high-latitude), ML (mid-latitude), LL (low-latitude).
According to the Koppen–Geiger climate classification [28], HL belongs to the Cfa type, with no dry winter or dry summer and hot summer (Thot ≥ 22, Thot = the air temperature of the warmest month (°C)), while ML and LL belong to the Cwa type, with dry winters (Pwdry < Pswet/10, Pwdry = precipitation in the driest month in winter (mm month−1); Pswet = precipitation in the wettest month in summer (mm month−1)) and hot summers (Thot ≥ 22, Thot = the air temperature of the warmest month (°C)).
2.2. Sampling Design and Plant Census
We selected representative natural forest communities with well-preserved vegetation that have been undisturbed for a long time to set up a 1 ha sample plot in HL, ML, and LL. Each plot was further divided into 100 contiguous 10 × 10 m quadrats. All trees with a diameter at breast height (DBH) ≥ 20 cm in the sample plots were surveyed. The surveyed data included species, DBH, and tree height. In this study, trees with a diameter at breast height (DBH) greater than or equal to 20 cm were considered LDT, while a large-diameter forest (LDF) was considered to be a stand to cultivate LDTs.
2.3. Statistical Analysis
2.3.1. Species Composition Analysis
Rare species, with smaller populations in a forest, face different threats [29]. Rarity can be defined in several ways, such as abundance (mean and maximum), geographic range, and habitat specificity [30]. We categorized the LDTs in the three sample plots into common species (≥two trees per hectare) and rare species (<2 trees per hectare) according to their abundance; then, we calculated the abundance and importance values of each common species and rare species separately. We counted the number and proportion of unique species (species that occurred only in one plot) and shared species (species that occurred in all three plots).
2.3.2. Calculation of Species Diversity Indices
We calculated the importance value (IV) to analyze the dominance of a species in a community [31]. As the importance value increases, the species’ dominance within the community strengthens. The Shannon–Wiener index, the Menhinick index, the number of stems of the most abundant species, and the number of stems per species were employed to quantify the species diversity of the communities [32]. The calculation formulas are below:
where IV is the importance value of trees; RA is the relative abundance, which is the ratio of the number of individuals of one species to the sum of the number of individuals of all species, multiplied by 100%; RF is the relative frequency, which is the ratio of the frequency of one species to the sum of the frequencies of all species, multiplied by 100%; RP is the relative dominance, which is the ratio of the dominance of one species to the sum of the dominance of all species, multiplied by 100%; is the relative importance of species i in the community; S is the total number of species per sample plot; and N is the total number of individuals of all species per sample plot.
A boxplot can show the data distribution and outliers by describing the quartiles of the data. By drawing the boxplots of the Shannon–Wiener index, the Menhinick index, the number of stems of the most abundant species, and the number of stems per species, we can make the data distribution more intuitive and more clearly see the changes in the four indicators with latitude changes.
2.3.3. Species Rank Curve
We used the species rank curve to analyze the distribution of LDTs along the latitudinal gradient. The species rank curve can effectively characterize changes in species richness due to succession or environmental impacts. A longer extension of the curve to the right of the abscissa indicates a higher number of species, and a steeper slope of the curve indicates a lower species evenness [33].
2.3.4. Diameter Structure Analysis
We employed the diameter class structure rather than the age structure to analyze the diameter distribution of the LDF communities along the latitudinal gradient. We plotted the diameter structure based on the number of LDTs of each DBH size in the three sample plots, using the DBH of LDTs as the horizontal coordinate and the number of LDTs as the vertical coordinate.
2.3.5. Principal Coordinates Analysis
Principal coordinates analysis (PCoA) was used to test for differences in community structure in the LDF communities along the latitudinal gradient. The principal axes that expressed interspecific variability were obtained by principal coordinates analysis, which allows the assessment of interspecific associations or differences. The Distance Measure used in this study was Squared Euclidean.
2.3.6. Multi-Response Permutation Procedure
We tested for differences in the distribution of the LDTs among the different latitudes using multi-response permutation procedures (MRPPs). The T-statistic describes the separation among groups (the more negative T is, the stronger the separation is). The A-statistic describes within-group similarity (the larger A is, the stronger the intragroup homogeneity is) [34].
2.3.7. Indicator Species Analysis
Indicator species analysis (ISA) was performed to analyze the correlation between latitude and the LDT species. The indicator value (IV) ranges from <1 to 100, and a higher IV indicates a better indicative role [33]. This study used LDTs with an indicator value (IV) ≥ 16 for analysis. The calculation formula is below:
2.3.8. Statistical Analyses
Species abundance and species IV calculations were carried out using Microsoft Office Excel. Boxplots were performed using stastista8.0 (StatSoft, Inc., Tulsa, OK, USA), while the species rank curve, PCoA, MRPP, and ISA were performed using PC-ORD 7.0 (MjM Software, Gleneden Beach, OR, USA).
3. Results
3.1. Species Composition and Diversity
A total of 619 LDTs were recorded within three sampling plots, and these belonged to 61 species in 40 genera and 25 families. These species showed diverse abundance patterns. Among these plants, there were 542 stems of common species, belonging to 12 families, 17 genera, and 23 species, and 77 stems of rare species, belonging to 21 families, 28 genera, and 38 species. In LL, ML, and HL, the proportion of the number of species of rare species to the total number of species in each plot was 43.8%, 59.0%, and 63.2%. The rare species had many species but fewer individuals than the common species. There were 19 species in 11 families and 16 genera in HL, 39 in 16 families and 27 genera in ML, and 16 in 13 families and 15 genera in YY.
The number of unique species in LL, ML, and HL was 11, 30, and 9, respectively. The number of unique species accounted for 68.8%, 76.9%, and 47.4% of the number of species in LL, ML, and HL. There were three shared species in LL, ML, and HL. The shared species in the three latitudes were Machilus chinensis, Cinnamomum porrectum, and Schima superba.
Only the six most abundant LDT species together accounted for over 50% of the total number of stems, and the single most abundant species, Castanopsis eyrei, had 96 (15.5%) stems. In contrast, rare species were represented by only 77 (12.4%) individuals.
Fagaceae was the dominant family, and Castanopsis was the dominant genus. Castanopsis eyrei showed absolute dominance in abundance (Table 2 and Table 3). The dominant species in HL were Castanopsis eyrei (82 individuals), Castanopsis fissa (56 individuals), Ternstroemia gymnanthera (29 individuals), and Schima superba (16 individuals). The dominant species in ML were Castanopsis fabri (50 individuals), Lithocarpus hancei (46 individuals), and Cyclobalanopsis jenseniana (37 individuals). The dominant species in LL were Cinnamomum porrectum (15 individuals) and Pinus massoniana (13 individuals).
Table 2.
Importance values of the common large-diameter tree species and the abundance distribution across the three sites at different latitudes. Common species are defined as those with ≥2 individuals per hectare. Abbreviations: RF = relative frequency (%), RA = relative abundance (%), RP = relative dominance (%), IV = importance value (%).
Table 3.
Importance values of the rare large-diameter tree species and the abundance distribution across the three sites at different latitudes. Rare species are defined as those with <2 individuals per hectare. Abbreviations: RF = relative frequency (%), RA = relative abundance (%), RP = relative dominance (%), IV = importance value (%).
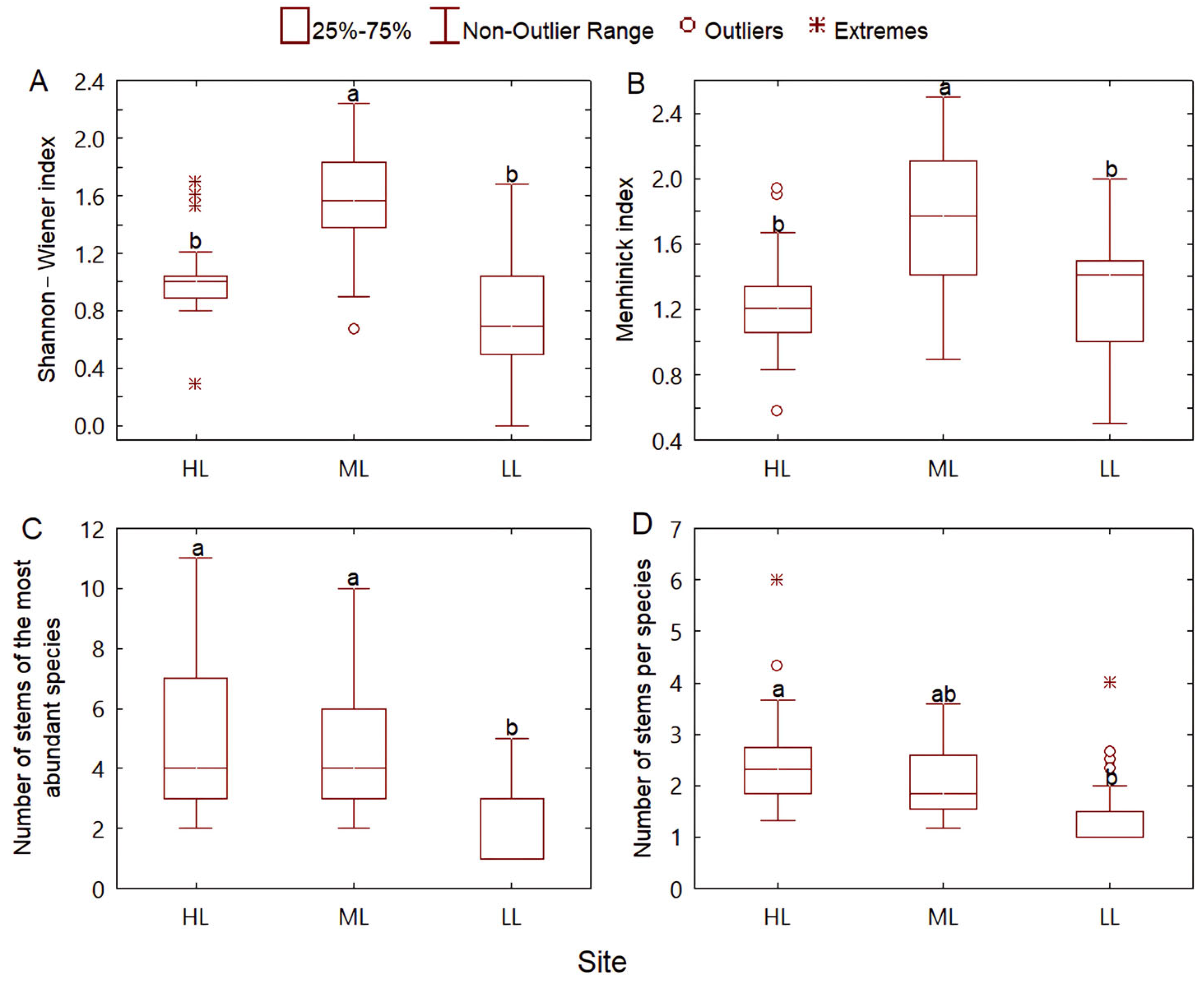
The differences in the Shannon–Wiener diversity index, the Menhinick index, the number of stems of the most abundant species, and the number of stems per species in the three LDT stands along the latitudinal gradient were highly significant (p < 0.0001, Figure 1). The Shannon–Wiener diversity index and the Menhinick index were significantly higher in ML than in HL and LL (Figure 2A,B), indicating that ML had the greatest species richness among the three latitudes. The number of stems of the most abundant species and the number of stems per species increased with increasing latitude (Figure 2C,D).
Figure 2.
Boxplots showing the quadrat-level diversity and dominance metrics of large-diameter trees across the forest communities at different latitudes. Different lowercase letters show significant differences in the latitude gradients (p < 0.0001). The dots represent Mild Outliers, and the star-shaped symbols represent Extreme Outliers.
3.2. Community Structure
The species rank curve shows that (Figure 3) ML had the highest number of species (39), and LL had the lowest number of species (16). The logarithmic values of the species richness of LDTs in ML and LL were relatively flat, while those in HL were more acute and steeper. This phenomenon implies that the distribution of LDTs in HL is significantly more uneven than in ML and LL, and the evenness of LDT species in ML and LL is close to the same level. It can be approximated that the degree of species evenness decreases with increasing latitude within the survey area.
Figure 3.
Rank/abundance plots showing the dominance and diversity patterns across the forest communities at different latitudes.
The number of LDTs decreased with an increase in DBH. The diameter ranges at breast height for LL, ML, and HL were 20–42 cm, 20–68 cm, and 20–104 cm, respectively (Figure 4).
Figure 4.
Histograms showing the size distribution across the forest communities at different latitudes.
The PCoA results showed (Figure 5) that the first axis (axis1) could separate the sample points of HL, ML, and LL, accounting for 37.1% of the total variance, which indicated that there were apparent differences in the community structure of LDFs in the three latitudes. On axis 1, the sample point of LL is in the middle of ML and HL. The second axis (axis 2) explained 18.6% of the variance, further supporting the spatial heterogeneity. LL had the lowest number of species and the highest homogeneity, while ML had the highest number of species and the lowest homogeneity (Figure 3, Figure 4 and Figure 5).
Figure 5.
Scatterplot showing the spatial patterns, as depicted by principal coordinate analysis (PCoA), across the forest communities at different latitudes.
3.3. Indicator Species
MRPP showed that LL, ML, and HL were significantly different (p < 0.0001, Table 4) from one another concerning the heterogeneity in species composition and community structure. The most significant difference was detected between HL and ML because the absolute value of T between these two plots was the largest, and the value of A was the largest. Between ML and LL, the absolute value of T was the smallest, and the value of A was the smallest, indicating that ML and LL had the most minor intergroup variability and the lowest intragroup homogeneity.
Table 4.
Heterogeneity in the species composition and community structure of the large-diameter trees across the sites at different latitudes, as demonstrated by the multi-response permutation process (MRPP).
The results of the indicator species analysis (IV ≥ 16, p ≤ 0.05) showed (Table 5) that 21 species were identified as significant indicators. The three communities had different indicator species. Five species were identified as indicators of HL, eleven of ML, and five of LL. Except for Castanopsis eyrei, Ternstroemia gymnanthera, Schima superba, and Machilus chinensis, all indicator species are unique species. The indicator species in the three latitudes have tropical and temperate lineages. With increasing latitude, the proportion of tropical genera gradually decreases, and the proportion of temperate genera gradually increases.
Table 5.
Indicator species for the three sites at different latitudes with significant indicator values.
4. Discussion
4.1. Changes in the Species Composition of LDTs at Small-Scale Latitudes
Rare species have small populations, limited geographic ranges, or narrow habitat tolerances [35]. In tropical species-rich assemblages, most species are rare [35]. In LL, ML, and HL, the number of rare species was 7, 23, and 12, respectively, and the total number of species was 16, 39, and 19, respectively. Therefore, with increasing latitude, the proportion of the number of rare species in the total number of species in the three LDFs was 43.8%, 59.0%, and 63.2%, respectively. The effects of negative density constraints on LDTs at the small-scale latitudes were markedly different, with ML and HL having more LDT species with smaller constraints and LL having more LDT species with larger constraints. The key to these relatively low extinction risks for so many rare species was negative density dependence [36]. Although strong negative density dependence may allow a rare species to recover from low density, it may also prevent a species from becoming abundant or escaping rarity [36]. The relationship between large-scale latitudinal gradients and the strength of negative density constraints remains controversial, but it is widely recognized that regions with higher species diversity are more strongly constrained by negative density [37,38]. However, the community compensatory trend operates over a broad latitudinal range, and the advantages that some rare species derive from the community compensatory trend may allow them to persist in forest communities, eventually capable of forming LDTs [39].
Our results reveal that with increasing latitude, the number of unique species accounted for 68.8%, 76.9%, and 47.4% of the number of species in the three LDFs. This result indicates that the habitat of LDFs varies greatly with small-scale latitudinal changes, making the distribution of LDT species in the subtropics more regional. The shared species in the three sample plots were Machilus chinensis, Cinnamomum porrectum, and Schima superba, indicating that these LDT species have the most extensive distribution range and the strongest ability to adapt to the environment in the survey area [40]. With increasing latitude, the number of stems of the most abundant species and the number of stems per species increased. High species abundance implies a high degree of dominance and resource competition. The number of stems per species reflects the intensity of resource competition in three LDF communities. It indicates that the competitiveness of the dominant species of LDTs increases with increasing latitude, and the competition for resources within the community becomes intense. The Menhinick index and species richness decrease with increasing latitude. The shading effect of the canopy of LDTs makes them more accessible for gaining thermal energy, and, therefore, higher thermal energy is more favorable to the growth of large trees within a specific range [41].
4.2. Changes in the Community Structure and Indicator Species at Small-Scale Latitudes
The PCoA results showed apparent differences in the community structure of the LDFs in LL, ML, and HL. Moreover, the sample point of LL is in the middle of ML and HL on axis 1. This may be due to temperature differences [42], understory vegetation [43], soil microorganisms [44], and other factors that may affect tree growth in plots at different latitudes (HL, ML, LL). The diameter structure graph shows that the larger the DBH of LDTs, the smaller their number; with increasing latitude, the distribution range of the DBH of LDTs increases. The species rank curve showed that species evenness decreased with increasing latitude. Thermal energy and water have important effects on vegetation distributions [45]. We hypothesize that the closer hydrothermal conditions in ML and LL indirectly led to closer species evenness.
The MRPP test results showed that the effect of small-scale latitude on the heterogeneity in LDT species composition and community structure was statistically significant. Among the indicator species in the three latitudinal gradients, with the increase in latitude, the proportion of temperate species is higher, while the proportion of tropical species is lower. The flora of HL is a meso-subtropical type or a transition type from southern subtropical to meso-subtropical [46,47]. ML and LL are typical of the southern subtropical monsoon climate zone [48,49]. This phenomenon suggests that the results of the geographic zonation study of the genus correspond to the geographic location. To some extent, this may also reflect that the latitudinal gradient in the Northern Hemisphere corresponds to the warming trend.
4.3. Analysis of Suitable LDT Species in Guangdong
Non-native tree species are widely used in plantations because they generally have higher productivity and performance than native trees [50]. The widespread use of non-native tree species is not recommended for biodiversity conservation, as it increases the risk of forest biodiversity loss [51]. Therefore, planting native tree species is advantageous in the long run. Our research shows that the tree species that accounted for the top five essential values were Castanopsis eyrei (Fagaceae, Castanopsis), Castanopsis fabri (Fagaceae, Castanopsis), Castanopsis fissa (Fagaceae, Castanopsis), Ternstroemia gymnanthera (Pentaphylacaceae, Ternstroemia), and Lithocarpus hancei (Fagaceae, Lithocarpus). Fagaceae is the dominant family, and Castanopsis is the dominant genus. Therefore, at present, Crustacea species have the potential to be developed into LDFs in subtropical regions.
The main distribution area of all genera of Fagaceae in China is in the southern subtropics [52]. Species belonging to the genus Castanopsis are more dispersed in the northern subtropics from north to south, mainly concentrated in southern Yunnan and northern Guangdong [53]. Guangdong (especially the northern part of Guangdong) is suitable for planting the genera Castanopsis and Lithocarpus in the family Fagaceae. Castanopsis eyrei, Castanopsis fissa, and Ternstroemia gymnanthera are found in HL and ML. Castanopsis fabri and Lithocarpus hancei are unique species in ML. Compared with other places in Guangdong Province, the northern part of Guangdong is more suitable for developing LDFs of Castanopsis eyrei, Castanopsis fissa, and Ternstroemia gymnanthera. Castanopsis eyrei, Castanopsis fissa, and Ternstroemia gymnanthera are more suitable for developing LDFs in northern Guangdong than Castanopsis fabri and Lithocarpus hancei. The shared species in the three sample plots were Machilus chinensis (Lauraceae), Cinnamomum porrectum (Lauraceae), and Schima superba (Theaceae), and we hypothesized that the shade tolerance of the seedlings of these species enabled them to grow up and grow into LDTs successfully in interspecific competition at a young age. Warmer climates could benefit tree growth in multispecies stands more than in monocultures [54]. Therefore, Machilus chinensis, Cinnamomum porrectum, and Schima superba, which have a wide range of fitness and shade tolerance, are good companion species if mixed LDFs are to be established in Guangdong.
Global warming will change forest growth forms, geographic distributions, and extents [55]. The continued increase in temperatures associated with climate warming may increase drought stress (in the absence of increased precipitation) and increase extreme weather events [56], which could lead to dieback, outbreaks of pest disasters, and pathogens in trees [57]. Different species respond differently to climate change [58]. Many species move to higher latitudes or elevations to track suitable environmental conditions and cope with the loss of suitable habitats due to climate change [58]. Timber has a lengthy rotation period, and to prevent the current dominant forest species from being perpetuated by succession, it is necessary to develop proposals for the introduction of alternative tree species and speculate which thermophilic species may replace or enrich the current tree compositions [59]. With global warming, in our study area, some thermophilic species in LL and ML may migrate to HL, while some thermophilic species in HL may migrate to higher latitude areas.
5. Conclusions
Changes in the small-scale latitudinal gradient significantly affected the species composition and community structure in the LDFs. The habitat conditions in LDFs vary greatly with latitude, resulting in significant differences in the species composition and community structure of the LDFs at different latitudes. In low subtropical latitudes, the species richness and abundance of LDTs in forest stands increased with increasing latitude. At the same time, the competitive ability of dominant species increased, the competition for resources within the community became intense, the evenness of the species composition decreased, the age-class structure became complex, the proportion of tropical genera gradually decreased, and the proportion of temperate genera gradually increased. Small-scale latitudinal changes are the driving factors for changes in the composition and structure of LDF communities.
If LDFs are to be developed in Guangdong, the northern part of Guangdong is more suitable for cultivation, and species of Fagaceae (especially Castanopsis) are more suitable for cultivation. In particular, Castanopsis eyrei, Castanopsis fissa, and Ternstroemia gymnanthera are more suitable for the development of LDFs in Guangdong. Machilus chinensis, Cinnamomum porrectum, and Schima superba are good companion species in Guangdong because they have a wide range of habitats and are shade-tolerant.
Author Contributions
Conceptualization, M.L. and X.J.; formal analysis, M.L. and F.H.; resources, X.J.; investigation, M.L., F.H. and X.J.; writing—original draft preparation, M.L.; writing—review and editing, F.H.; supervision, X.J.; Funding acquisition, X.J. All authors have read and agreed to the published version of the manuscript.
Funding
This research was funded by the Science and Technology Program from Forestry Administration of Guangdong Province (2023KJCX004) and the Science and Technology Program from Forestry Administration of Guangdong Province (2022KJCX015).
Data Availability Statement
The data presented in this study are available on request from the corresponding author. The data are not publicly available due to privacy concerns.
Conflicts of Interest
The authors declare no conflicts of interest.
References
- Ali, A.; Sanaei, A.; Li, M.; Nalivan, O.A.; Pour, M.J.; Valipour, A.; Karami, J.; Aminpour, M.; Kaboli, H.; Askari, Y. Big-trees—Energy mechanism underlies forest diversity and aboveground biomass. For. Ecol. Manag. 2020, 461, 117968. [Google Scholar] [CrossRef]
- Chiang, C.; Olsen, J.E.; Basler, D.; Bankestad, D.; Hoch, G. Latitude and Weather Influences on Sun Light Quality and the Relationship to Tree Growth. Forests 2019, 10, 610. [Google Scholar] [CrossRef]
- Wang, Z.; Tang, Z.; Fang, J. The species-energy hypothesis as a mechanism for species richness patterns. Biodivers. Sci. 2009, 17, 613–624. (In Chinese) [Google Scholar]
- Willig, M.R.; Presley, S.J. Latitudinal Gradients of Biodiversity: Patterns, Processes, and Prospects. In Encyclopedia of Biodiversity, 3rd ed.; Academic Press: Cambridge, MA, USA, 2024; Volume 6, pp. 754–772. [Google Scholar]
- de Aledo, J.G.; Paneghel, M.; Cayuela, L.; Matas-Granados, L.; Ben Saadi, C.; Salinas, N.; La Torre-Cuadros, M.D.L.A.; Garcia-Villacorta, R.; Macia, M.J. Floristic diversity, composition and dominance across Amazonian forest types respond differently to latitude. Palabras Clave J. Biogeogr. 2023, 50, 685–698. [Google Scholar] [CrossRef]
- Hawkins, B.A.; Diniz, J.A.F. ‘Latitude’ and geographic patterns in species richness. Ecography 2004, 27, 268–272. [Google Scholar] [CrossRef]
- Pianka, R.E. Latitudinal gradients in species diversity. Trends Ecol. Evol. 1989, 8, 223. [Google Scholar] [CrossRef]
- Wu, C.; Jiang, B.; Yuan, W.; Shen, A.; Yang, S.; Yao, S.; Liu, J. On the Management of Large-Diameter Trees in China’s Forests. Forests 2020, 11, 111. [Google Scholar] [CrossRef]
- Macchioni, N.; Sozzi, L.; Fidanza, G.B. The Relationship between Carving Work and Timber Features: A Database for the Italian Wooden Statuary. Forests 2022, 13, 517. [Google Scholar] [CrossRef]
- Lutz, J.A.; Furniss, T.J.; Johnson, D.J.; Davies, S.J.; Allen, D.; Alonso, A.; Anderson-Teixeira, K.J.; Andrade, A.; Baltzer, J.; Becker, K.M.L.; et al. Global importance of large-diameter trees. Glob. Ecol. Biogeogr. 2018, 27, 849–864. [Google Scholar] [CrossRef]
- Hu, Y.; Su, Z.; Li, W.; Li, J.; Ke, X. Influence of Tree Species Composition and Community Structure on Carbon Density in a Subtropical Forest. PLoS ONE 2015, 10, e0136984. [Google Scholar] [CrossRef]
- Keeton, W.S.; Franklin, J.F. Do remnant old-growth trees accelerate rates of succession in mature Douglas-fir forests? Ecol. Monogr. 2005, 75, 103–118. [Google Scholar] [CrossRef]
- Sist, P.; Mazzei, L.; Blanc, L.; Rutishauser, E. Large trees as key elements of carbon storage and dynamics after selective logging in the Eastern Amazon. For. Ecol. Manag. 2014, 318, 103–109. [Google Scholar] [CrossRef]
- He, Z.; Yu, Q.; Hu, X.; Zhao, Q. Analysis on problems and countermeasures in cultivation of llarge-size timber forests in southern China under backaround of carbon neutrality. Guangxi For. Sci. 2024, 53, 116–123. (In Chinese) [Google Scholar]
- Cheng, K.; Yang, H.; Tao, S.; Su, Y.; Guan, H.; Ren, Y.; Hu, T.; Li, W.; Xu, G.; Chen, M.; et al. Carbon storage through China’s planted forest expansion. Nat. Commun. 2024, 15, 4106. [Google Scholar] [CrossRef]
- Yang, Y.; Jing, L.; Li, Q.; Liang, C.; Dong, Q.; Zhao, S.; Chen, Y.; She, D.; Zhang, X.; Wang, L.; et al. Big-sized trees and higher species diversity improve water holding capacities of forests in northeast China. Sci. Total Environ. 2023, 880, 163263. [Google Scholar] [CrossRef]
- Qiu, T.; Aravena, M.-C.; Andrus, R.; Ascoli, D.; Bergeron, Y.; Berretti, R.; Bogdziewicz, M.; Boivin, T.; Bonal, R.; Caignard, T.; et al. Is there tree senescence? The fecundity evidence. Proc. Natl. Acad. Sci. USA 2021, 118, e2106130118. [Google Scholar] [CrossRef]
- Cannon, C.H.; Piovesan, G.; Munne-Bosch, S. Old and ancient trees are life history lottery winners and vital evolutionary resources for long-term adaptive capacity. Nat. Plants 2022, 8, 136–145. [Google Scholar] [CrossRef]
- Ngo, D.T.; Le, A.V.; Le, H.T.; Stas, S.M.; Le, T.C.; Tran, H.D.; Pham, T.; Le, T.T.; Spracklen, B.D.; Langan, C.; et al. The potential for REDD plus to reduce forest degradation in Vietnam. Environ. Res. Lett. 2020, 15, 074025. [Google Scholar] [CrossRef]
- Huang, F.; Zhang, C.; Zeng, Y.; Yan, Y.; Li, M.; Su, Z.; Jia, X. Research Hotspots and Trends of Large-Diameter Trees Based on Bibliometric Data. Sustainability 2024, 16, 4826. [Google Scholar] [CrossRef]
- Yan, S.; Wang, R.; Deng, H.; Zheng, H.; Hu, D.; Wei, R. Study on impact factors of large-diameter wood formation of Cunninghamia lanceolatain Nanling Mountains. J. South China Agric. Univ. 2021, 42, 80–89. (In Chinese) [Google Scholar]
- Lindenmayer, D.B.; Laurance, W.F. The ecology, distribution, conservation and management of large old trees. Biol. Rev. 2017, 92, 1434–1458. [Google Scholar] [CrossRef] [PubMed]
- Zheng, D. Research on the Regional System of Ecological Geography in China; The Commercial Press: Beijing, China, 2008. [Google Scholar]
- Li, L.; Wen, Z.; Wei, S.; Lian, J.; Ye, W. Functional Diversity and Its Influencing Factors in a Subtropical Forest Community in China. Forests 2022, 13, 966. [Google Scholar] [CrossRef]
- Song, X.; Shu, Z.; Dai, W.; Chen, W.; Fang, B.; Qin, X.; Miao, S. Species Diversity and Structure of Dominant Species Populations of Cunninghamia lanceolata Plantation at Chebaling in Northern Guangdong. For. Environ. Sci. 2017, 33, 1–8. (In Chinese) [Google Scholar]
- Yu, P.; Chen, H.; Zhong, P.; Xiong, L.; Chen, Y.; Gan, X. Distribution of Orchidaceae Resources in Guangdong Conghua Chenhedong Provincial Nature Reserve. For. Environ. Sci. 2024, 40, 135–141. (In Chinese) [Google Scholar]
- Feng, M.; Xie, H.; Deng, N.; Li, J.; Luo, Z.; Lu, D.; Lin, N. Niche Characteristics of Dominant Tree Species of Subtropical Evergreen Broad-leaved Secondary Forest in Dongguan City, Guangdong Province, China. J. Trop. Subtrop. Bot. 2024, 32, 747–756. (In Chinese) [Google Scholar]
- Beck, H.E.; Zimmermann, N.E.; McVicar, T.R.; Vergopolan, N.; Berg, A.; Wood, E.F. Present and future Koppen-Geiger climate classification maps at 1-km resolution. Sci. Data 2018, 5, 180214. [Google Scholar] [CrossRef]
- Hubbell, S.P.; Foster, R.B. Commonness and rarity in a neotropical forest: Implications for tropical tree conservation. In Conservation Biology: The Science of Scarcity and Diversity; Soule, M.E., Ed.; Sinauer Associates: Soule, Argentina, 1986; pp. 205–231. [Google Scholar]
- Jain, M.; Flynn, D.F.B.; Prager, C.M.; Hart, G.M.; DeVan, C.M.; Ahrestani, F.S.; Palmer, M.I.; Bunker, D.E.; Knops, J.M.H.; Jouseau, C.F.; et al. The importance of rare species: A trait-based assessment of rare species contributions to functional diversity and possible ecosystem function in tall-grass prairies. Ecol. Evol. 2014, 4, 104–112. [Google Scholar] [CrossRef]
- Tong, Y.; Qu, L.; Fu, Q.; Chen, Y.; Xiang, X.; Zhu, W.; Qi, G.; Dai, L. Species diversity of forest plant communities on the southern slope of the DabieMountains and its relationship with altitude factors. Acta Ecol. Sin. 2024, 44, 5307–5317. (In Chinese) [Google Scholar]
- Su, Y.; Zhang, Y.; Jia, X.; Xue, Y. Application of several diversity indexes in forest community analysis. Ecol. Sci. 2017, 36, 132–138. (In Chinese) [Google Scholar]
- Ou, Y.; Wang, C.; Su, Z. The dynamics of different growth form ground vegetation following a natural disturbance. Acta Ecol. Sin. 2015, 35, 4500–4507. (In Chinese) [Google Scholar]
- Chavez, V.; Macdonald, S.E. The influence of canopy patch mosaics on understory plant community composition in boreal mixedwood forest. For. Ecol. Manag. 2010, 259, 1067–1075. [Google Scholar] [CrossRef]
- Leitão, R.P.; Zuanon, J.; Villéger, S.; Williams, S.E.; Baraloto, C.; Fortunel, C.; Mendonça, F.P.; Mouillot, D. Rare species contribute disproportionately to the functional structure of species assemblages. Proc. R. Soc. B-Biol. Sci. 2016, 283, 20160084. [Google Scholar] [CrossRef]
- Scholl, J.P.; Urbina-Casanova, R.; Iler, A.M. The importance of negative density dependence for rare species persistence. Biol. Conserv. 2022, 274, 109729. [Google Scholar] [CrossRef]
- LaManna, J.A.; Mangan, S.A.; Alonso, A.; Bourg, N.A.; Brockelman, W.Y.; Bunyavejchewin, S.; Chang, L.-W.; Chiang, J.-M.; Chuyong, G.B.; Clay, K.; et al. Plant diversity increases with the strength of negative density dependence at the global scale. Science 2017, 356, 1389–1392. [Google Scholar] [CrossRef]
- Chisholm, R.A.; Fung, T. Comment on “Plant diversity increases with the strength of negative density dependence at the global scale”. Science 2018, 360, eaar4685. [Google Scholar] [CrossRef]
- Xiao, L.; Yu, S.; Li, M.; Wang, Y. Community Compensatory Trend Prevails from Tropical to Temperate Forest. PLoS ONE 2012, 7, e38621. [Google Scholar] [CrossRef]
- Yu, D.; Hao, Z.; Ji, L.; Li, Y.; Xiong, Z.; Ye, J. Dissimilarity of plant communities with changes in altitudes on the northern slope of Changbai Mountain. Chin. J. Ecol. 2003, 22, 1–5. (In Chinese) [Google Scholar]
- He, S.; Zhong, Y.; Sun, Y.; Su, Z.; Jia, X.; Hu, Y.; Zhou, Q. Topography-associated thermal gradient predicts warming effects on woody plant structural diversity in a subtropical forest. Sci. Rep. 2017, 7, 40387. [Google Scholar] [CrossRef]
- De Frenne, P.; Brunet, J.; Shevtsova, A.; Kolb, A.; Graae, B.J.; Chabrerie, O.; Cousins, S.A.; Decocq, G.; De Schrijver, A.; Diekmann, M.; et al. Temperature effects on forest herbs assessed by warming and transplant experiments along a latitudinal gradient. Glob. Change Biol. 2011, 17, 3240–3253. [Google Scholar] [CrossRef]
- Jin, Y.-S.; Hu, Y.-K.; Wang, J.; Liu, D.-D.; Lin, Y.-H.; Liu, G.; Zhang, Y.-H.; Zhou, Z.-Q. Diversity of Understory Communities in Boreal Forests: Influences of Forest Type, Latitude, and Spatial Scale. Forests 2019, 10, 1003. [Google Scholar] [CrossRef]
- Fu, X.-Y.; Cheng, Z.-C.; Ni, H.-W.; Zhang, R.-T. Latitude variations of soil bacterial community diversity and composition in three typical forests of temperate, northeastern of China. Front. Earth Sci. 2023, 10, 1096931. [Google Scholar] [CrossRef]
- Liu, W.; Zang, R.; Ding, Y. Community features of two types of typical tropical monsoon forests in BawanglingNature Reserve, Hainan Island. Acta Ecol. Sin. 2009, 29, 3465–3476. (In Chinese) [Google Scholar]
- Wu, Z.; Wang, Z.; Luan, F.; Shu, Z.; Li, B. Community Composition and Floral Characteristics of the Chebaling 20 hm2 Forest Dynamic Plot in A Mid-subtropical Evergreen Broad-leaved Forest. For. Environ. Sci. 2021, 37, 86–91. (In Chinese) [Google Scholar]
- Chen, X.; Zhang, C.; Li, B. A syudy on the spermatophyta in the national Chebaling nature reserve of Guangdong. Guihaia 1994, 14, 321–333. (In Chinese) [Google Scholar]
- Huang, L.; Guo, Y.; Zhang, S.; Xiong, L. Flora of Vascular Plants in Chenhedong Nature Reserve from Conghua of Guangdong. Subtrop. Plant Sci. 2019, 48, 169–175. (In Chinese) [Google Scholar]
- Gu, W.; Liang, Y.; Xu, D.; Deng, Z.; Chen, J.; Lu, M.; Tang, J.; Zhang, Z. As-sessment of Ecological Service Function of Forests along Yinpingshan Forest Park in Dongguan City. For. Environ. Sci. 2022, 38, 111–118. (In Chinese) [Google Scholar]
- Branco, M.; Brockerhoff, E.G.; Castagneyrol, B.; Orazio, C.; Jactel, H. Host range expansion of native insects to exotic trees increases with area of introduction and the presence of congeneric native trees. J. Appl. Ecol. 2015, 52, 69–77. [Google Scholar] [CrossRef]
- Karvemo, S.; Schroeder, M.; Ranius, T. Beetle diversity in dead wood is lower in non-native than native tree species, especially those more distantly related to native species. J. Appl. Ecol. 2023, 60, 170–180. [Google Scholar] [CrossRef]
- Qiu, L.; Lu, D.; Li, Y.; Wu, X.; Liu, T.; Chang, H. Quantitative analysis of geographical distributions in all genera of Fagaceae in China. Acta Bot. Boreali-Occident. Sin. 2019, 39, 343–348. (In Chinese) [Google Scholar]
- Qiu, L.; Wu, X.; Liu, T. Spatial Diversities and Differences of All Genera in Fagaceae of China. Acta Bo-Tanica Boreali-Occident. Sin. 2016, 36, 2103–2108. (In Chinese) [Google Scholar]
- Feng, Y.; Schmid, B.; Loreau, M.; Forrester, D.I.; Fei, S.; Zhu, J.; Tang, Z.; Zhu, J.; Hong, P.; Ji, C.; et al. Multispecies forest plantations outyield monocultures across a broad range of conditions. Science 2022, 376, 865. [Google Scholar] [CrossRef] [PubMed]
- Jin, Y.; Qian, H. Drivers of the differentiation between broad-leaved trees and shrubs in the shift from evergreen to deciduous leaf habit in forests of eastern Asian subtropics. Plant Divers. 2023, 45, 535–543. [Google Scholar] [CrossRef] [PubMed]
- Jump, A.S.; Mátyás, C.; Peñuelas, J. The altitude-for-latitude disparity in the range retractions of woody species. Trends Ecol. Evol. 2009, 24, 694–701. [Google Scholar] [CrossRef] [PubMed]
- Thomas, F.M.; Blank, R.; Hartmann, G. Abiotic and biotic factors and their interactions as causes of oak decline in Central Europe. Forest Pathol. 2002, 32, 277–307. [Google Scholar] [CrossRef]
- Zhang, L.; Zhu, L.; Li, Y.; Zhu, W.; Chen, Y. Maxent Modelling Predicts a Shift in Suitable Habitats of a Subtropical Evergreen Tree (Cyclobalanopsis glauca (Thunberg) Oersted) under Climate Change Scenarios in China. Forests 2022, 13, 126. [Google Scholar] [CrossRef]
- Thurm, E.A.; Hernandez, L.; Baltensweiler, A.; Ayan, S.; Rasztovits, E.; Bielak, K.; Zlatanov, T.M.; Hladnik, D.; Balic, B.; Freudenschuss, A.; et al. Alternative tree species under climate warming in managed European forests. For. Ecol. Manag. 2018, 430, 485–497. [Google Scholar] [CrossRef]
Disclaimer/Publisher’s Note: The statements, opinions and data contained in all publications are solely those of the individual author(s) and contributor(s) and not of MDPI and/or the editor(s). MDPI and/or the editor(s) disclaim responsibility for any injury to people or property resulting from any ideas, methods, instructions or products referred to in the content. |
© 2025 by the authors. Licensee MDPI, Basel, Switzerland. This article is an open access article distributed under the terms and conditions of the Creative Commons Attribution (CC BY) license (https://creativecommons.org/licenses/by/4.0/).




