Species-Level Saltmarsh Vegetation Fractional Cover Estimation Based on Time Series Sentinel-2 Imagery with the Assistance of Sample Expansion
Abstract
1. Introduction
2. Study Area and Data
2.1. Study Area
2.2. Datasets and Preprocessing
2.2.1. Sentinel-2 Satellite Images
2.2.2. In Situ Measurements
2.2.3. Unmanned Aerial Vehicle Images
2.2.4. High-Spatial-Resolution Satellite Images
3. Method
3.1. Real Sample Collection
3.2. Feature Extraction Based on Time-Series Sentinel-2 Images
3.3. FVC-WGAN Model
3.4. Quality Evaluation of the Generated Sample
3.5. Experiments of Species-Level Fractional Cover Estimation Based on Real and/or Generated Samples
3.5.1. Fractional Vegetation Cover Estimation Using Random Forest Regression
3.5.2. Design of Experiment Schemes
3.5.3. Model Training and Results Evaluation
4. Results
4.1. Evaluation of FVC-WGAN Samples
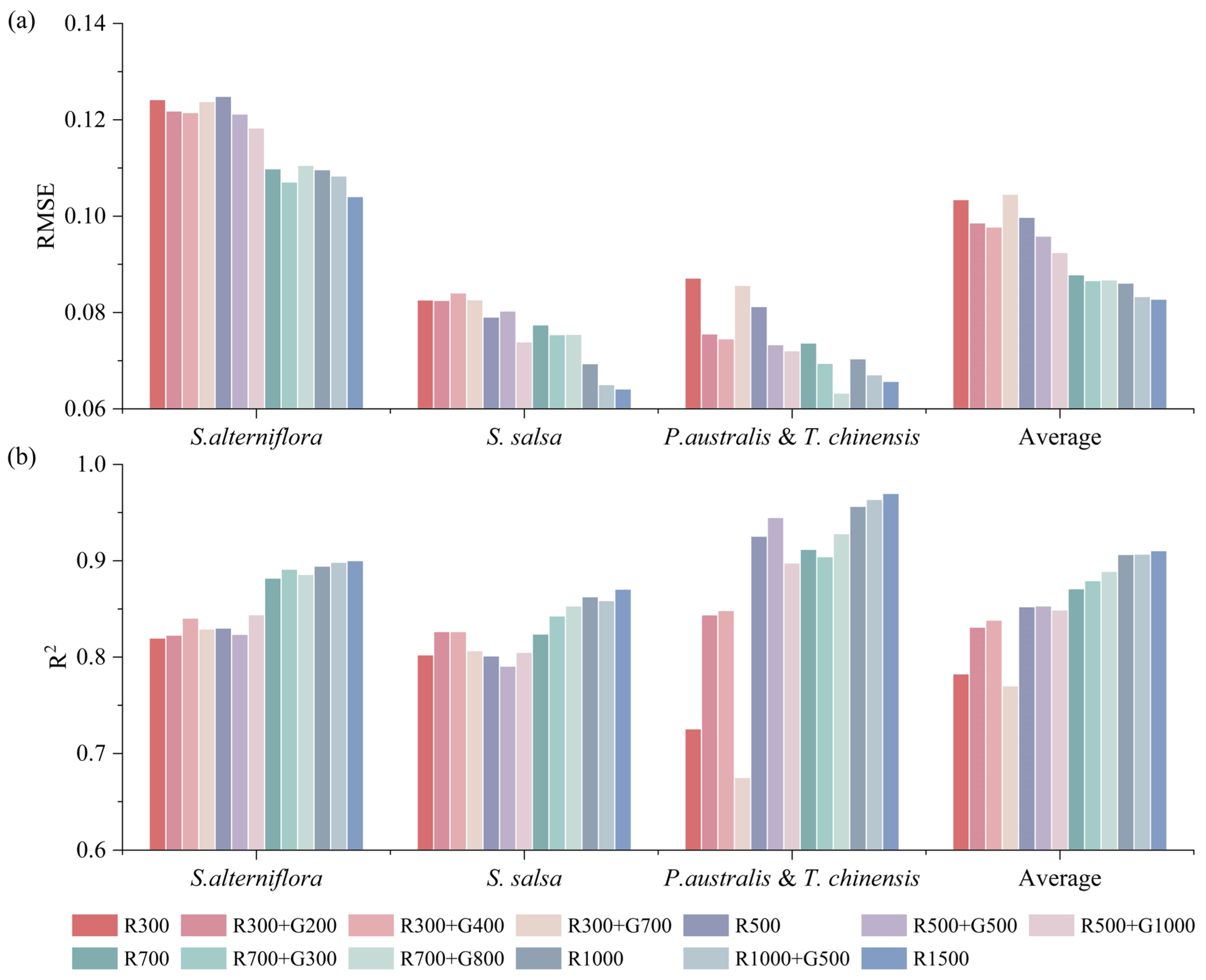
4.2. Accuracy Evaluation and Comparison of the 13 Experimental Schemes
4.3. Spatial Consistency Evaluation of Fractional Vegetation Cover Maps
5. Discussion
5.1. Validity of FVC-WGAN Model
5.2. Comparison with Previous Studies
5.3. Limitations and Uncertainties
5.4. The Application Potential of the FVC-WGAN Model
6. Conclusions
Author Contributions
Funding
Data Availability Statement
Conflicts of Interest
References
- Campbell, A.D.; Fatoyinbo, T.; Charles, S.P.; Bourgeau-Chavez, L.L.; Goes, J.; Gomes, H.; Halabisky, M.; Holmquist, J.; Lohrenz, S.; Mitchell, C. A review of carbon monitoring in wet carbon systems using remote sensing. Environ. Res. Lett. 2022, 17, 25009. [Google Scholar] [CrossRef]
- Chen, C.; Ma, Y.; Ren, G.; Wang, J. Aboveground biomass of salt-marsh vegetation in coastal wetlands: Sample expansion of in situ hyperspectral and Sentinel-2 data using a generative adversarial network. Remote Sens. Environ. 2022, 270, 112885. [Google Scholar] [CrossRef]
- Wang, Z.; Ke, Y.; Lu, D.; Zhuo, Z.; Zhou, Q.; Han, Y.; Sun, P.; Gong, Z.; Zhou, D. Estimating fractional cover of saltmarsh vegetation species in coastal wetlands in the Yellow River Delta, China using ensemble learning model. Front. Mar. Sci. 2022, 9, 1077907. [Google Scholar] [CrossRef]
- Hao, J.; Xu, G.; Luo, L.; Zhang, Z.; Yang, H.; Li, H. Quantifying the relative contribution of natural and human factors to vegetation coverage variation in coastal wetlands in China. Catena 2020, 188, 104429. [Google Scholar] [CrossRef]
- Zhang, X.; Xiao, X.; Wang, X.; Xu, X.; Chen, B.; Wang, J.; Ma, J.; Zhao, B.; Li, B. Quantifying expansion and removal of Spartina alterniflora on Chongming island, China, using time series Landsat images during 1995–2018. Remote Sens. Environ. 2020, 247, 111916. [Google Scholar] [CrossRef]
- Wang, B.; Jia, K.; Wei, X.; Xia, M.; Yao, Y.; Zhang, X.; Liu, D.; Tao, G. Generating spatiotemporally consistent fractional vegetation cover at different scales using spatiotemporal fusion and multiresolution tree methods. ISPRS-J. Photogramm. Remote Sens. 2020, 167, 214–229. [Google Scholar] [CrossRef]
- Zhou, Z.; Yang, Y.; Chen, B. Estimating Spartina alterniflora fractional vegetation cover and aboveground biomass in a coastal wetland using SPOT6 satellite and UAV data. Aquat. Bot. 2018, 144, 38–45. [Google Scholar] [CrossRef]
- Chen, M.; Ke, Y.; Bai, J.; Li, P.; Lyu, M.; Gong, Z.; Zhou, D. Monitoring early stage invasion of exotic Spartina alterniflora using deep-learning super-resolution techniques based on multisource high-resolution satellite imagery: A case study in the Yellow River Delta, China. Int. J. Appl. Earth Obs. Geoinf. 2020, 92, 102180. [Google Scholar] [CrossRef]
- Hu, Y.; Tian, B.; Yuan, L.; Li, X.; Huang, Y.; Shi, R.; Jiang, X.; Wang, L.; Sun, C. Mapping coastal salt marshes in China using time series of Sentinel-1 SAR. ISPRS-J. Photogramm. Remote Sens. 2021, 173, 122–134. [Google Scholar] [CrossRef]
- Na, X.; Li, X.; Li, W.; Wu, C. Wetland mapping using HJ-1A/B hyperspectral images and an adaptive sparse constrained least squares linear spectral mixture model. Remote Sens. 2021, 13, 751. [Google Scholar] [CrossRef]
- Sun, C.; Li, J.; Liu, Y.; Liu, Y.; Liu, R. Plant species classification in salt marshes using phenological parameters derived from Sentinel-2 pixel-differential time-series. Remote Sens. Environ. 2021, 256, 112320. [Google Scholar] [CrossRef]
- Gao, L.; Wang, X.; Johnson, B.A.; Tian, Q.; Wang, Y.; Verrelst, J.; Mu, X.; Gu, X. Remote sensing algorithms for estimation of fractional vegetation cover using pure vegetation index values: A review. ISPRS-J. Photogramm. Remote Sens. 2020, 159, 364–377. [Google Scholar] [CrossRef] [PubMed]
- Jia, K.; Liang, S.; Liu, S.; Li, Y.; Xiao, Z.; Yao, Y.; Jiang, B.; Zhao, X.; Wang, X.; Xu, S.; et al. Global Land Surface Fractional Vegetation Cover Estimation Using General Regression Neural Networks from MODIS Surface Reflectance. IEEE Trans. Geosci. Remote Sensing 2015, 53, 4787–4796. [Google Scholar] [CrossRef]
- Li, Y.; Wang, H.; Li, X.B. Fractional Vegetation Cover Estimation Based on an Improved Selective Endmember Spectral Mixture Model. PLoS ONE 2015, 10, e0124608. [Google Scholar] [CrossRef]
- Bacour, C.; Baret, F.; Béal, D.; Weiss, M.; Pavageau, K. Neural network estimation of LAI, fAPAR, fCover and LAI×Cab, from top of canopy MERIS reflectance data: Principles and validation. Remote Sens. Environ. 2006, 105, 313–325. [Google Scholar] [CrossRef]
- Jia, K.; Liang, S.; Gu, X.; Baret, F.; Wei, X.; Wang, X.; Yao, Y.; Yang, L.; Li, Y. Fractional vegetation cover estimation algorithm for Chinese GF-1 wide field view data. Remote Sens. Environ. 2016, 177, 184–191. [Google Scholar] [CrossRef]
- Ludwig, M.; Morgenthal, T.; Detsch, F.; Higginbottom, T.P.; Lezama Valdes, M.; Nauß, T.; Meyer, H. Machine learning and multi-sensor based modelling of woody vegetation in the Molopo Area, South Africa. Remote Sens. Environ. 2019, 222, 195–203. [Google Scholar] [CrossRef]
- Yang, L.; Jia, K.; Liang, S.; Wei, X.; Yao, Y.; Zhang, X. A robust algorithm for estimating surface fractional vegetation cover from landsat data. Remote Sens. 2017, 9, 857. [Google Scholar] [CrossRef]
- Hernandez-Matamoros, A.; Fujita, H.; Perez-Meana, H. A novel approach to create synthetic biomedical signals using BiRNN. Inf. Sci. 2020, 541, 218–241. [Google Scholar] [CrossRef]
- Zhu, Q.; Zhang, H.; Tian, Y.; Zhang, N.; Xu, Y.; He, Y. Co-training based virtual sample generation for solving the small sample size problem in process industry. ISA Trans. 2023, 134, 290–301. [Google Scholar] [CrossRef]
- Goodfellow, I.; Pouget-Abadie, J.; Mirza, M.; Xu, B.; Warde-Farley, D.; Ozair, S.; Courville, A.; Bengio, Y. Generative Adversarial Nets. In Neural Information Processing Systems; Neural Information Processing Systems Foundation, Inc. (NeurIPS): La Jolla, CA, USA, 2014. [Google Scholar]
- Han, W.; Wang, L.; Feng, R.; Gao, L.; Chen, X.; Deng, Z.; Chen, J.; Liu, P. Sample generation based on a supervised Wasserstein Generative Adversarial Network for high-resolution remote-sensing scene classification. Inf. Sci. 2020, 539, 177–194. [Google Scholar] [CrossRef]
- Xiong, D.; He, C.; Liu, X.; Liao, M. An end-to-end Bayesian segmentation network based on a generative adversarial network for remote sensing images. Remote Sens. 2020, 12, 216. [Google Scholar] [CrossRef]
- Zhu, D.; Xia, S.; Zhao, J.; Zhou, Y.; Jian, M.; Niu, Q.; Yao, R.; Chen, Y. Diverse sample generation with multi-branch conditional generative adversarial network for remote sensing objects detection. Neurocomputing 2020, 381, 40–51. [Google Scholar] [CrossRef]
- Jozdani, S.; Chen, D.; Pouliot, D.; Alan Johnson, B. A review and meta-analysis of generative adversarial networks and their applications in remote sensing. Int. J. Appl. Earth Obs. Geoinf. 2022, 108, 102734. [Google Scholar] [CrossRef]
- Salgueiro Romero, L.; Marcello, J.; Vilaplana, V. Super-resolution of sentinel-2 imagery using generative adversarial networks. Remote Sens. 2020, 12, 2424. [Google Scholar] [CrossRef]
- Xiong, Y.; Guo, S.; Chen, J.; Deng, X.; Sun, L.; Zheng, X.; Xu, W. Improved SRGAN for remote sensing image super-resolution across locations and sensors. Remote Sens. 2020, 12, 1263. [Google Scholar] [CrossRef]
- Jiang, K.; Wang, Z.; Yi, P.; Wang, G.; Lu, T.; Jiang, J. Edge-enhanced GAN for remote sensing image superresolution. IEEE Trans. Geosci. Remote Sens. 2019, 57, 5799–5812. [Google Scholar] [CrossRef]
- Yang, Z.; Ji, Y.; Bi, N.; Lei, K.; Wang, H. Sediment transport off the Huanghe (Yellow River) delta and in the adjacent Bohai Sea in winter and seasonal comparison. Estuar. Coast. Shelf Sci. 2011, 93, 173–181. [Google Scholar] [CrossRef]
- Ren, G.; Wang, J.; Wang, A.; Wang, J.; Zhu, Y.; Wu, P.; Ma, Y.; Zhang, J. Monitoring the invasion of smooth cordgrass Spartina alterniflora within the modern Yellow River Delta using remote sensing. J. Coast. Res. 2019, 90, 135–145. [Google Scholar] [CrossRef]
- Wang, Z.; Ke, Y.; Chen, M.; Zhou, D.; Zhu, L.; Bai, J. Mapping coastal wetlands in the Yellow River Delta, China during 2008–2019: Impacts of valid observations, harmonic regression, and critical months. Int. J. Remote Sens. 2021, 42, 7880–7906. [Google Scholar] [CrossRef]
- Zhou, Q.; Ke, Y.; Wang, X.; Bai, J.; Zhou, D.; Li, X. Developing seagrass index for long term monitoring of Zostera japonica seagrass bed: A case study in Yellow River Delta, China. ISPRS-J. Photogramm. Remote Sens. 2022, 194, 286–301. [Google Scholar] [CrossRef]
- Meyer, G.E.; Neto, J.C. Verification of color vegetation indices for automated crop imaging applications. Comput. Electron. Agric. 2008, 63, 282–293. [Google Scholar] [CrossRef]
- Woebbecke, D.M.; Meyer, G.E.; Von Bargen, K.; Mortensen, D.A. Color Indices for Weed Identification Under Various Soil, Residue, and Lighting Conditions. Trans. ASAE 1995, 38, 259–269. [Google Scholar] [CrossRef]
- Tucker, C.J. Red and photographic infrared linear combinations for monitoring vegetation. Remote Sens. Environ. 1979, 8, 127–150. [Google Scholar] [CrossRef]
- Huete, A.; Didan, K.; Miura, T.; Rodriguez, E.P.; Gao, X.; Ferreira, L.G. Overview of the radiometric and biophysical performance of the MODIS vegetation indices. Remote Sens. Environ. 2002, 83, 195–213. [Google Scholar] [CrossRef]
- Huete, A.R. A soil-adjusted vegetation index (SAVI). Remote Sens. Environ. 1988, 25, 295–309. [Google Scholar] [CrossRef]
- Grevstad, F.S.; Strong, D.R.; Garcia-Rossi, D.; Switzer, R.W.; Wecker, M.S. Biological control of Spartina alterniflora in Willapa Bay, Washington using the planthopper Prokelisia marginata: Agent specificity and early results. Biol. Control 2003, 27, 32–42. [Google Scholar] [CrossRef]
- Gitelson, A.A.; Merzlyak, M.N. Remote sensing of chlorophyll concentration in higher plant leaves. Adv. Space Res. 1998, 22, 689–692. [Google Scholar] [CrossRef]
- Merzlyak, M.N.; Gitelson, A.A.; Chivkunova, O.B.; Rakitin, V.Y. Non-destructive optical detection of pigment changes during leaf senescence and fruit ripening. Physiol. Plant. 1999, 106, 135–141. [Google Scholar] [CrossRef]
- Fang, C.Y.; Wang, L.; Xu, H.Q. A comparative study of different red edge indices for remote sensing detection of urban grassland health status. J. Geo-Inf. Sci. 2017, 19, 1382–1392. [Google Scholar]
- Gitelson, A.A.; Keydan, G.P.; Merzlyak, M.N. Three-band model for noninvasive estimation of chlorophyll, carotenoids, and anthocyanin contents in higher plant leaves. Geophys. Res. Lett. 2006, 33, L11402. [Google Scholar] [CrossRef]
- Ranjan, R.; Chandel, A.K.; Khot, L.R.; Bahlol, H.Y.; Zhou, J.; Boydston, R.A.; Miklas, P.N. Irrigated pinto bean crop stress and yield assessment using ground based low altitude remote sensing technology. Inf. Process. Agric. 2019, 6, 502–514. [Google Scholar] [CrossRef]
- Daughtry, C.S.; Walthall, C.L.; Kim, M.S.; De Colstoun, E.B.; Mcmurtrey Iii, J.E. Estimating corn leaf chlorophyll concentration from leaf and canopy reflectance. Remote Sens. Environ. 2000, 74, 229–239. [Google Scholar] [CrossRef]
- Ke, Y.; Han, Y.; Cui, L.; Sun, P.; Min, Y.; Wang, Z.; Zhuo, Z.; Zhou, Q.; Yin, X.; Zhou, D. Suaeda salsa spectral index for Suaeda salsa mapping and fractional cover estimation in intertidal wetlands. ISPRS-J. Photogramm. Remote Sens. 2024, 207, 104–121. [Google Scholar] [CrossRef]
- Xu, H. Modification of normalised difference water index (NDWI) to enhance open water features in remotely sensed imagery. Int. J. Remote Sens. 2006, 27, 3025–3033. [Google Scholar] [CrossRef]
- Zhou, Y.; Wang, J.; Guo, H. Application of Harmonic Analysis and Linear Spectral Mixture Model to Extract the Cultivated Resource. Remote Sens. Technol. Appl. 2015, 30, 706–713. [Google Scholar]
- Mirza, M.; Osindero, S. Conditional generative adversarial nets. arXiv 2014, arXiv:1411.1784. [Google Scholar]
- Gulrajani, I.; Ahmed, F.; Arjovsky, M.; Dumoulin, V.; Courville, A.C. Improved Training of Wasserstein GANs. Advances in Neural Information Processing Systems; Neural Information Processing Systems Foundation, Inc. (NeurIPS): La Jolla, CA, USA, 2017; p. 30. [Google Scholar]
- Steinwart, I. On the influence of the kernel on the consistency of support vector machines. J. Mach. Learn. Res. 2001, 2, 67–93. [Google Scholar]
- Borgwardt, K.M.; Gretton, A.; Rasch, M.J.; Kriegel, H.; Schölkopf, B.; Smola, A.J. Integrating structured biological data by kernel maximum mean discrepancy. Bioinformatics 2006, 22, e49–e57. [Google Scholar] [CrossRef]
- Zhang, K.; Wei, S.; Zhou, Y.; Shu, S.; Li, B. Assembly similarity study based on the maximum mean discrepancy measure. J. Mech. Electr. Eng. 2023, 40, 867–874. [Google Scholar]
- Pang, B.; Xie, T.; Ning, Z.; Cui, B.; Zhang, H.; Wang, X.; Gao, F.; Zhang, S.; Lu, Y. Invasion patterns of Spartina alterniflora: Response of clones and seedlings to flooding and salinity—A case study in the Yellow River Delta, China. Sci. Total Environ. 2023, 877, 162803. [Google Scholar] [CrossRef] [PubMed]
- Xie, T.; Wang, Q.; Ning, Z.; Chen, C.; Cui, B.; Bai, J.; Shi, W.; Pang, B. Artificial modification on lateral hydrological connectivity promotes range expansion of invasive Spartina alterniflora in salt marshes of the Yellow River delta, China. Sci. Total Environ. 2021, 769, 144476. [Google Scholar] [CrossRef]
- Gilmore, M.S.; Wilson, E.H.; Barrett, N.; Civco, D.L.; Prisloe, S.; Hurd, J.D.; Chadwick, C. Integrating multi-temporal spectral and structural information to map wetland vegetation in a lower Connecticut River tidal marsh. Remote Sens. Environ. 2008, 112, 4048–4060. [Google Scholar] [CrossRef]
- Bian, J.; Li, A.; Zhang, Z.; Zhao, W.; Lei, G.; Yin, G.; Jin, H.; Tan, J.; Huang, C. Monitoring fractional green vegetation cover dynamics over a seasonally inundated alpine wetland using dense time series HJ-1A/B constellation images and an adaptive endmember selection LSMM model. Remote Sens. Environ. 2017, 197, 98–114. [Google Scholar] [CrossRef]
- Prigent, C.; Matthews, E.; Aires, F.; Rossow, W.B. Remote sensing of global wetland dynamics with multiple satellite data sets. Geophys. Res. Lett. 2001, 28, 4631–4634. [Google Scholar] [CrossRef]
- Yan, K.; Gao, S.; Chi, H.; Qi, J.; Song, W.; Tong, Y.; Mu, X.; Yan, G. Evaluation of the vegetation-index-based dimidiate pixel model for fractional vegetation cover estimation. IEEE Trans. Geosci. Remote Sens. 2021, 60, 1–14. [Google Scholar] [CrossRef]
- Li, L.; Mu, X.; Jiang, H.; Chianucci, F.; Hu, R.; Song, W.; Qi, J.; Liu, S.; Zhou, J.; Chen, L. Review of ground and aerial methods for vegetation cover fraction (fCover) and related quantities estimation: Definitions, advances, challenges, and future perspectives. ISPRS-J. Photogramm. Remote Sens. 2023, 199, 133–156. [Google Scholar] [CrossRef]
- Yang, Z.; D’Alpaos, A.; Marani, M.; Silvestri, S. Assessing the fractional abundance of highly mixed salt-marsh vegetation using random forest soft classification. Remote Sens. 2020, 12, 3224. [Google Scholar] [CrossRef]
- Ju, Y.; Bohrer, G. Classification of wetland vegetation based on NDVI time series from the HLS dataset. Remote Sens. 2022, 14, 2107. [Google Scholar] [CrossRef]
- Wang, Y.; Tan, L.; Wang, G.; Sun, X.; Xu, Y. Study on the impact of spatial resolution on fractional vegetation cover extraction with single-scene and time-series remote sensing data. Remote Sens. 2022, 14, 4165. [Google Scholar] [CrossRef]
- Guo, Z.; Pu, Z.; Du, W.; Wang, H.; Li, C. Improved adversarial learning for fault feature generation of wind turbine gearbox. Renew. Energy 2022, 185, 255–266. [Google Scholar] [CrossRef]
- Di, Q.; Amini, H.; Shi, L.; Kloog, I.; Silvern, R.; Kelly, J.; Sabath, M.B.; Choirat, C.; Koutrakis, P.; Lyapustin, A. An ensemble-based model of PM2. 5 concentration across the contiguous United States with high spatiotemporal resolution. Environ. Int. 2019, 130, 104909. [Google Scholar] [CrossRef] [PubMed]











| Spectral Indices | Equation | Reference |
|---|---|---|
| Normalized Difference Vegetation Index (NDVI) | [35] | |
| Enhanced Vegetation Index (EVI) | [36] | |
| Soil Adjustment Vegetation Index (SAVI) | [37] | |
| Green Chlorophyll Vegetation Index (GCVI) | [38] | |
| Green Normalized Difference Vegetation Index (gNDVI) | [39] | |
| Plant Senescence Reflectance Index (PSRI) | [40] | |
| Red-Edge Chlorophyll Index (CIr) | [41] | |
| Green Chlorophyll Index (CIg) | [42] | |
| MERIS Terrestrial Chlorophyll Index (MTCI) | [43] | |
| Modified Chlorophyll Absorption Ratio Index (MCARI) | [44] | |
| Suaeda Salsa Spectral Index (SSSI) | [45] | |
| Modified Normalized Difference Water Index (MNDWI) | [46] |
| Feature Variable | Feature Name |
|---|---|
| Time series spectral reflectance characteristics (11 variables) | Blue-avg, Blue-median, Green-avg, Red-avg, Red-median, RE1-avg, NIR-avg, SWIR1-avg, SWIR1-median, SWIR 2-avg, SWIR 2-median |
| Temporal spectral index characteristics (18 variables) | CIg-avg, CIg-median, CIr-avg, EVI-avg, EVI-median, GCVI-median, gNDVI-median, MCARI-avg, mNDWI-avg, mNDWI-median, MTCI-avg, NDVI-avg, NDVI-median, PSRI-avg, PSRI-median, SAVI-median, SSSI-avg, SSSI-median |
| Harmonic regression features (22 variables) | CIg-A, CIr-A, CIr-b0, Cir-φ, EVI-b0, EVI-φ, GCVI-A, GCVI-φ, gNDVI-A, gNDVI-φ, gNDVI-b0, MCARI-A, MCARI-φ, MCARI-b0, NDVI-φ, NDVI-b0, PSRI-φ, PSRI-b0, SAVI-A, SSSI-A, SSSI-φ, SSSI-b0 |
| Schemes | Real Sample Set | Generated Sample Set | Total |
|---|---|---|---|
| 1 | 300 | 0 | 300 |
| 2 | 300 | 200 | 500 |
| 3 | 300 | 400 | 700 |
| 4 | 300 | 700 | 1000 |
| 5 | 500 | 0 | 500 |
| 6 | 500 | 500 | 1000 |
| 7 | 500 | 1000 | 1500 |
| 8 | 700 | 0 | 700 |
| 9 | 700 | 300 | 1000 |
| 10 | 700 | 800 | 1500 |
| 11 | 1000 | 0 | 1000 |
| 12 | 1000 | 500 | 1500 |
| 13 | 1500 | 0 | 1500 |
| Name | Generator | Discriminator |
|---|---|---|
| Learning rate | 1 × 10−4 | 1 × 10−4 |
| Input layer | 96 + 4 | 51 + 4 |
| Hidden layer 1 | 512 | 256 |
| Hidden layer 2 | 256 | 128 |
| Output layer | 51 × 1(tanh) | 1 × 1 |
| Optimizer | Adam, , | |
| Batch size | 64 | |
| Training rule | 1 | 5 |
| Training epoch | 100,000 | |
| Schemes | Spartina alterniflora | Suaeda salsa | Phragmites australis & Tamarix chinensis |
|---|---|---|---|
| R300 | 0.151 | 0.067 | 0.176 |
| R300+G200 | 0.127 | 0.067 | 0.098 |
| R300+G400 | 0.133 | 0.068 | 0.093 |
| R300+G700 | 0.107 | 0.067 | 0.096 |
| R500 | 0.108 | 0.079 | 0.122 |
| R500+G500 | 0.086 | 0.043 | 0.114 |
| R500+G1000 | 0.089 | 0.053 | 0.114 |
| R700 | 0.047 | 0.049 | 0.108 |
| R700+G300 | 0.029 | 0.044 | 0.079 |
| R700+G800 | 0.033 | 0.043 | 0.076 |
| R1000 | 0.029 | 0.030 | 0.036 |
| R1000+G500 | 0.028 | 0.028 | 0.034 |
Disclaimer/Publisher’s Note: The statements, opinions and data contained in all publications are solely those of the individual author(s) and contributor(s) and not of MDPI and/or the editor(s). MDPI and/or the editor(s) disclaim responsibility for any injury to people or property resulting from any ideas, methods, instructions or products referred to in the content. |
© 2024 by the authors. Licensee MDPI, Basel, Switzerland. This article is an open access article distributed under the terms and conditions of the Creative Commons Attribution (CC BY) license (https://creativecommons.org/licenses/by/4.0/).
Share and Cite
Sha, J.; Zhuo, Z.; Zhou, Q.; Ke, Y.; Zhang, M.; Li, J.; Min, Y. Species-Level Saltmarsh Vegetation Fractional Cover Estimation Based on Time Series Sentinel-2 Imagery with the Assistance of Sample Expansion. Diversity 2025, 17, 3. https://doi.org/10.3390/d17010003
Sha J, Zhuo Z, Zhou Q, Ke Y, Zhang M, Li J, Min Y. Species-Level Saltmarsh Vegetation Fractional Cover Estimation Based on Time Series Sentinel-2 Imagery with the Assistance of Sample Expansion. Diversity. 2025; 17(1):3. https://doi.org/10.3390/d17010003
Chicago/Turabian StyleSha, Jinghan, Zhaojun Zhuo, Qingqing Zhou, Yinghai Ke, Mengyao Zhang, Jinyuan Li, and Yukui Min. 2025. "Species-Level Saltmarsh Vegetation Fractional Cover Estimation Based on Time Series Sentinel-2 Imagery with the Assistance of Sample Expansion" Diversity 17, no. 1: 3. https://doi.org/10.3390/d17010003
APA StyleSha, J., Zhuo, Z., Zhou, Q., Ke, Y., Zhang, M., Li, J., & Min, Y. (2025). Species-Level Saltmarsh Vegetation Fractional Cover Estimation Based on Time Series Sentinel-2 Imagery with the Assistance of Sample Expansion. Diversity, 17(1), 3. https://doi.org/10.3390/d17010003
