Next Article in Journal
Systematic of a Massively Constructed Specimen of Iguanodon galvensis (Ornithopoda, Iguanodontidae) from the Early Barremian (Early Cretaceous) of Eastern Spain
Next Article in Special Issue
Are Painted Turtles (Chrysemys picta) Resilient to the Potential Impact of Climate Change on Vitamin D via Overgrown Floating Vegetation?
Previous Article in Journal
Invasive Glossy Buckthorn (Frangula alnus) Has Weak Impact on Native Understory Plant and Saprophagous Macroarthropod Communities
Previous Article in Special Issue
Wood Mice Utilize Understory Vegetation of Leafless Dead Dwarf Bamboo Culms as a Habitat and Foraging Site
 
 
Font Type:
Arial Georgia Verdana
Font Size:
Aa Aa Aa
Line Spacing:
Column Width:
Background:
Article

Vertical Distribution of Culicoides Biting Midges in Temperate Forests

by
Rasa Bernotienė
*,
Rimgaudas Treinys
and
Dovilė Bukauskaitė
Nature Research Centre, Akademijos St. 2, 08412 Vilnius, Lithuania
*
Author to whom correspondence should be addressed.
Diversity 2024, 16(9), 585; https://doi.org/10.3390/d16090585
Submission received: 1 July 2024 / Revised: 28 August 2024 / Accepted: 12 September 2024 / Published: 16 September 2024
(This article belongs to the Special Issue Wildlife in Natural and Altered Environments)

Abstract

Culicoides biting midges are small dipterous insects known as biological vectors of arboviruses, protozoa, and filaria parasites worldwide. Many studies on Culicoides focus on trapping them at ground level, without considering the best trap heights for different vector species. This implies that we might overlook insects positioned higher in the canopy. From June to August, we used UV traps to catch Culicoides biting midges at three different heights in three temperate mature forest areas in east Lithuania, Baltic region of Europe. We conducted this study to test the differences in midge numbers, male and female proportions, and female parity at each height. We caught the majority of biting midges (80.6%) at the mid-canopy and high-canopy. A higher number of female Culicoides midges than males was caught, with the proportion of males varying based on height and reaching its lowest point at ground level. No significant difference between the proportion of nulliparous and parous females caught at different height was detected. Culicoides pictipennis and C. festivipennis were the most common species of biting midge we found. They were found in the mid-canopy (86.8%) and the high-canopy (50.0%), respectively. Culicoides kibunensis was next, found at ground level (66.2%), and C. punctatus was found at the high canopy strata (63.0%). Each species’ abundance was seasonal dependent. Information on the vertical distribution of vector species in the temperate forest ecosystem is an important step in understanding patterns of vector borne disease transmission in wildlife.

1. Introduction

Culicoides biting midges are small dipterous insects well known as biological vectors of pathogens of primarily veterinary importance, including viruses such as epizootic hemorrhagic disease virus, bluetongue virus, and African horse sickness virus [1,2]. They can also transmit hemosporidian parasites, which can cause disease or even mortality in birds [3,4,5], other protozoa, and filaria parasites worldwide [3]. Due to their vector ability, these insects transfer the abovementioned pathogens to vertebrates in tropical, subtropical, and temperate latitudes [1,2,3]. Culicoides biting midges play a crucial role in the parasite–host relationship within ecosystems, and they could potentially have a significant economic impact [1,4,5,6]. Therefore, the distribution and biology of biting midges have been investigated both experimentally [7] and in the wild [8,9,10]. However, until now, many studies investigating the biology of Culicoides primarily trapped them at ground level up to 4 m [8,9,11,12,13], leading to a lack of understanding about the optimal trap heights for specific vector species and potentially overlooking insects of medical and veterinary importance that may be present at higher vertical strata. This vertical spacing pattern of insects could be especially important in forest ecosystems where different avian species nest in tree canopies at different heights.
Investigations of the vertical distribution of arthropods have found that insects of different taxa can be stratified by species [14] or physiological status, especially vector insects such as Culicidae, Simuliidae, and Ceratopogonidae [15,16]. This stratification impacts interactions with host animals and the transmission of vector-borne pathogens. Researchers have recently reported relatively high prevalences of hemosporidian [15] and Trypanosoma [17] parasites in bloodsucking insects collected in the canopy at tree-nesting bird nests if compared with the ground level. Thus, it is of great importance to know which vector species can be found more abundantly in the canopy and may have more frequent contact with the birds. Differences in the composition of bloodsucking insects among forest strata highlight the importance of trap placement in vector surveillance and understanding the ecological relationships of blood-feeding insects [18]. Studies on the vertical distribution of Culicoides biting midges in Africa [19], North and South America [20], and Europe [17,21] revealed that some species of biting midges are more prevalent in tree canopy. Thus, focusing investigations solely on the ground level may overlook a significant portion of these insects. Some species of Culicoides, particularly those with ornithophilic behavior, are typically abundant in tree canopies but not on the ground level, which is crucial for understanding the transmission features of bird parasites [21]. Knowledge on the best heights for collecting Culicoides males is also important, because male identification is easier and more accurate, especially when studying morphologically close species.
We aimed to investigate the vertical spacing pattern of biting midges in temperate mature forests in the Baltic region of Europe. Specifically, we focused on (1) analyzing the abundance of Culicoides biting midges across three different strata; (2) examining the proportion of Culicoides sexes within these strata; (3) assessing the presence of parous females at various canopy heights; (4) identifying other groups of insects caught alongside Culicoides. To achieve these objectives, we employed UV BG-Pro traps, a method proven effective in previous studies conducted in our region [8,9,12,17]. We collected samples during the peak season for biting midges, which occurs in June, July, and August [13]. Traps were placed simultaneously at three different heights within the mature tree stands: ground level (1.5 m), mid-canopy (~13 m), and high-canopy (~23 m). This research provides valuable insights into the vertical distribution of Culicoides biting midges and is an important step in understanding patterns of vector-borne disease transmission in wildlife.

2. Materials and Methods

2.1. Insect Collection

This study was conducted in eastern Lithuania, Baltic region of Europe. Insects were collected using three UV BG-Pro traps (Biogents) designed for collecting biting midges in three mature forest areas (near Dusetos 55°47′, 25°48′, in Labanoras forest 55°18′, 25°50′, and near Tauragnai 55°28′, 25°55′), which represent the coniferous dominant forest landscape of that region. All three study sites were coniferous forest stands bordering with the swamp forests, suitable for the breeding of Culicoides larvae. In each forest area three traps were installed simultaneously on different mature Norway spruce trees (Picea abies) growing at least 20 m apart from each other (to avoid interference between traps), but closer than 50 m and growing at the same habitat. We hung each trap at different heights (Table S1): at ground level (1.5 m), mid-canopy (~13 m, range 12.3–13.5 m above the ground), and high-canopy (~23 m, from 22.7 to 23.5 m). The slight variations in heights of set-up traps in mid-canopy and high-canopy were because of the necessity of finding the branches suitable to hang the trap within individual tree. The Norway spruce was chosen because trees of this species have a straight vertical trunk from the bottom to the tree top and are tall enough to reach a height of more than 25 m; therefore, traps can be hung at similar heights in different forest stands. Using rope and ascending equipment, we climbed to the trees to set up traps. The traps were turned on 3–4 h before sunset and turned off 2–3 h after sunrise the next morning (Figure 1). A mesh with a diameter of 2 mm limited the entry of insects into the trap, preventing large insects from entering. Insects were collected in a container with water supplemented with a drop of soap.
We collected biting midges in each study site once a month in June, July, and August 2021, i.e., three nights for each study site (Table S1). All collection nights were without precipitation, the average wind speed varied between 0.9 and 3 m/s, and average day air temperature varied between 10.9 °C (August, Dusetos) and 26.4 °C (June, Tauragnai) (Table S1).

2.2. Insect Identification

We transported all collected insects to the Nature Research Centre the same day, where we sorted them according to orders and dipterous insects were also sorted by families. Culicoides midges were identified based on Mathieu et al. [22], and mosquitoes were identified based on Becker et al. [23]. Culicoides biting midges were sorted by sexes and the parity status of females was determined as described by Dyce [24].

2.3. Statistical Analysis

We calculated the average numbers of insects collected using traps of the same height at different months and provided them with standard errors. Differences between proportions of insects at different heights were evaluated using the chi2 test. A p value of 0.05 or less was considered significant.

3. Results

3.1. The Abundance of Biting Midges across Vertical Strata

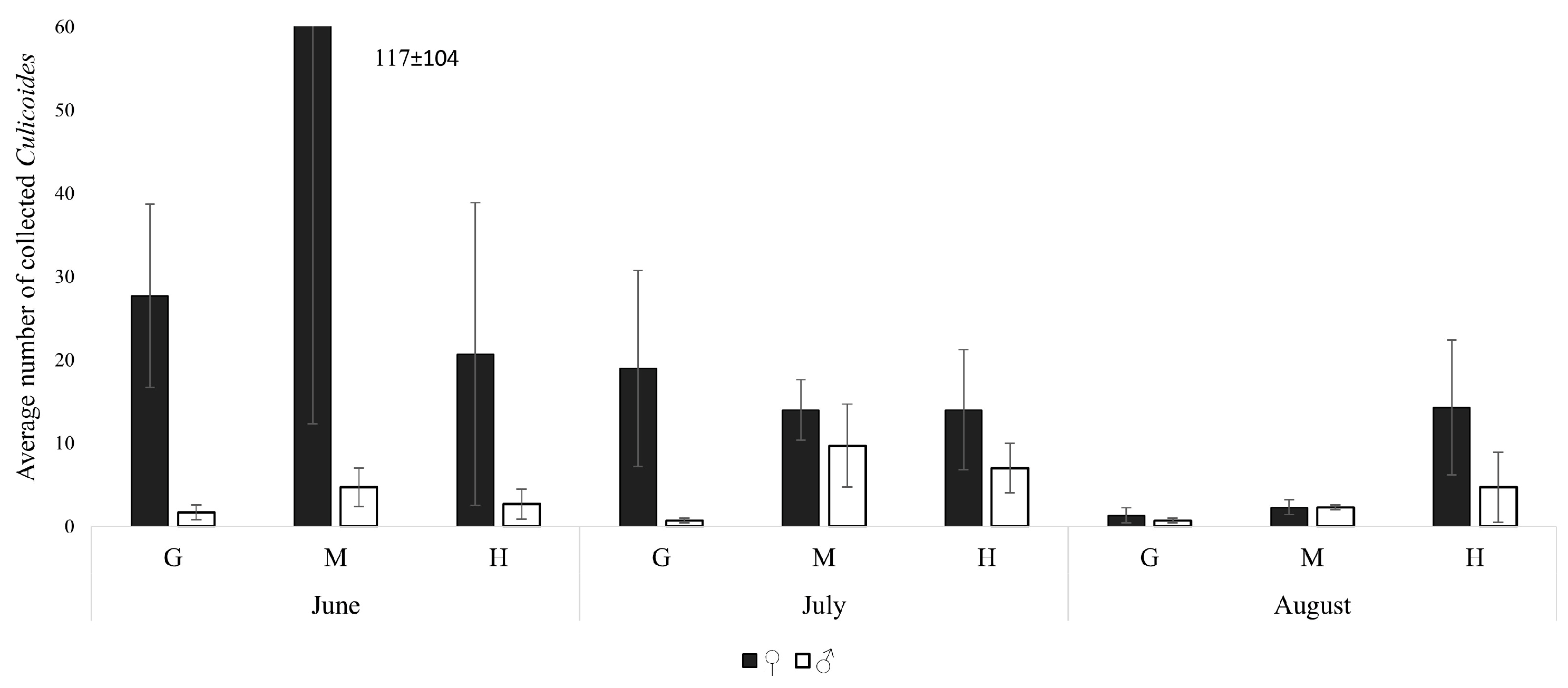
In total, 11,277 insects were collected. The most abundant insects were dipterous (87.0% of collected insects), followed by Lepidoptera. Ceratopogonidae formed 15.7% of all dipterous and the most abundant genus in this family were Culicoides (53.4% of all Ceratopogonidae, n = 801) and Forcipomyia (46.3%, n = 692). The majority of Culicoides biting midges were caught at the mid-canopy (56.9%) and high-canopy (23.7%) and only 19.4% of all Culicoides midges were caught at the ground level (Figure 2). The majority of Forcipomyia were collected with high-canopy traps (84.5% of all Forcipomyia).

3.2. Proportion of Culicoides Sexes across Vertical Forest Strata and during the Season

We collected more Culicoides females (87.0% of all Culicoides) than males, with the highest abundance of Culicoides females being recorded in June (Figure 2). The highest abundance of males was recorded in July, while the highest relative abundance of males was recorded in August. The relative abundance of collected males increased with height, from 5.7% at ground level to 23.8% at the top (Figure 3). We also recorded a significant proportion of males at mid-canopy (11.0% on average), they were abundant particularly in July and August. More than 91% of all collected males were caught in the high- and mid-canopy strata. Differences in proportion between males and females at different heights were statistically significant (p = 0.00001, t = 28.4). We detected differences between the high-canopy and the ground level (p = 0.00001, t = 21.1), as well as between the mid-canopy and the high-canopy (p = 0.00003, t = 17.6). There was only nearly significant difference in sex proportion between mid-canopy and ground level (p = 0.06).
A large number of Forcipomyia (n = 510) was collected in July using the high-canopy traps and only 46 Forcipomyia were collected at lower heights at the same time with no statistically significant differences between sexes in height preferences detected.

3.3. Distribution of Parous Females across Vertical Forest Strata and during the Season

Of the total, 55.4% of the collected Culicoides females (n = 697) were nulliparous, and 44.6% were parous. The relative abundance of parous Culicoides females varied from 42.4% in the mid-canopy to 50.0% at the high-canopy collection points, and no statistically significant differences between the proportion of nulliparous and parous females were determined (p = 0.2). The proportion of parous and nulliparous females varied during the season, as in June and July, we collected 45.8% and 48.6% of parous females, respectively, and only 23.6% of females were parous in August (Figure 3 and Figure 4). Thus, statistically significant differences were detected in the proportion of parous females between August and June (p = 0.002, t = 9.9), as well as between August and July (p = 0.015, t = 10.1). However, we found no differences in female parity between June and July (p = 0.6). We did not detect freshly blood-fed females during this investigation.

3.4. Distribution of Gravid Females across Vertical Forest Strata and in Different Months

Only 4.0% of all collected females (n = 697) were gravid. The proportion of gravid females increased during the season from 2.0% in June to the 9.4% and 9.1% in July and August, respectively. These differences were statistically significant (p = 0.00006, t = 19.5). Gravid females were detected in all vertical strata the highest proportions reaching in high canopy (8.9%) and ground level (5.5%). These two values differed significantly from the mid-canopy (1.7%; p = 0.00007, t = 15.9 and p = 0.02, t = 5.8, respectively), but the proportion of gravid females did not differ between the high canopy and ground level. The low proportion of gravid females in mid-canopy can be explained by the fact that no gravid C. pictipennis were detected in mid-canopy at the beginning of June, while the total abundance of females of this species was high (Figure 5).

3.5. Distribution across Forest Strata of the Most Abundant Culicoides Species

During this investigation, we collected biting midges of eleven species (Table S1). The most abundant Culicoides species was Culicoides pictipennis (Staeger) (n = 394, 49.2% of all collected Culicoides); 96.5% of all C. pictipennis were females, and the majority (94.1%) of midges of this species were collected in June; 86.8% of all collected C. pictipennis were caught at the mid-canopy and 10.7% were collected at the ground level. Only 2.5% of C. pictipennis were collected with the high-canopy traps (Figure 5).
Culicoides festivipennis Kieffer was the second most abundant species (n = 148), forming 18.5% of all collected biting midges. This species was collected throughout the summer, with its abundance peaking in July (42.3%). The majority of C. festivipennis midges were caught at high-canopy (50.0%) and mid-canopy strata (38.5%), while only 11.5% were caught at the ground level (Figure 5).
Culicoides punctatus (Mg.) (n = 46) were collected from June to August, with the highest abundance being at the high-canopy strata (63.0%), and some biting midges were caught at the mid-canopy (28.3%). Culicoides kibunensis Tokunaga (n = 65) was caught mostly in June (n = 35) and July (n = 28), with the majority (66.2%) of biting midges caught at the ground level (Figure 5).
Biting midges from Culicoides obsoletus group (n = 92) were caught almost equally abundantly at all investigated heights (30.8%, 31.9%, and 37.4%, respectively, from ground to high-canopy level). The majority of C. impunctatus Goetghebuer were collected in June (91.4%, n = 35) and using high-canopy traps (65.7%). However, due to the low abundance of this species, no definitive conclusions were drawn.

3.6. Distribution of Other Insects Collected across Vertical Strata in the Forest

Among other dipterous insects collected using BG-Pro traps, the most abundant were Cecidomyiidae (45.7%), Chironomidae (22.3%), and Psychodidae (10.3%). The abundance of Chironomidae at different heights was similar (38.6%, 37.2%, and 24.2%, respectively for ground, mid-canopy, and high-canopy levels; n = 2138). We found that Cecidomyiidae (n = 4332) and Psychodidae (n = 981) were more abundant at mid-canopy (46.7% and 41.3% respectively) or at ground level (35.4% and 33.7%).
34 mosquitoes (Culex pipiens L. (8♂7♀) and Aedes cinereus Mg. (12♂7♀)) were collected, and most mosquitoes of both species (55.9%) were caught at ground level. Some mosquitoes (32.4%) were collected with the high-canopy traps.

4. Discussion

Our study has proven that a large portion of Culicoides biting midges is found not only at the ground level but also higher in the canopy. We determined that (1) the abundance of Culicoides varied across different forest strata; (2) the proportion of males was the lowest at the ground level and varied based on height and season; (3) height was not related to the Culicoides female parity; (4) gravid Culicoides females were caught at all vertical strata; (5) other dipterous insects such as Chironomidae, Cecidomyiidae, and Psychodidae midges were caught using BG-Pro traps in abundance. At a height of 13 or 23 m, biting midge species like C. pictipennis and C. festivipennis, known as vectors of avian hemosporidian parasites [11,12], were collected more abundantly than at ground level. On the other hand, certain Culicoides species, like C. kibunensis, exhibit a higher abundance at ground level, despite their known role as vectors of various avian parasites [8,11]. The seasonal activity of certain Culicoides species was in accordance with previous investigations carried out in the country, as C. pictipennis and C. impunctatus were caught mostly in June (activity of C. pictipennis was known to be from May until the end of June and C. impunctatus—in June [13]), C. kibunensis was known to fly from June till July [13] as it was also recorded in this investigation. This information is useful for planning experimental studies of avian parasite transmission in the wild.
Biting midges were investigated from June to August, the time when the activity of Culicoides in our study area is the highest [12,13]. The activity of biting midges is known to be temperature-dependent [13,25]. We chose to collect insects during not windy days without rain, but it was a challenge to find days with similar air temperatures, as July is usually the warmest month of a year (according to Lithuanian Hydrometeorological Service, www.meteo.lt) and August was colder in 2021 than the long-term average. However, no correlation was detected between air temperature and numbers of collected Culicoides (r = −0.036) in this research and this can be related to the range of temperature favorable for the activity of biting midges. The conclusions were based on the comparison of relative abundances of collected biting midges between different heights as three traps in all three heights were set up the same day.
Typically, researchers conduct insect studies at ground level, potentially overlooking the diversity of insects in the tree canopy. While there is a lack of data on the vertical distribution of insects, some studies have shown that, for example, the richness and abundance of Coleoptera species do not vary at different heights, but the upper canopy can yield more specimens and species of Diptera compared to the ground level [26]. Research on the vertical distribution of blood-sucking insects holds significant importance in the context of vector-borne diseases, particularly in the transmission of bird pathogens. It is important to note that certain pathogens, like the West Nile virus, can be harmful not only to birds but also to humans. In the United States, field studies showed that two species of vector mosquitoes in canopy-level traps were much more likely to be infected with West Nile virus than in ground-level traps [27].
There are several studies on the vertical distribution of Culicoides biting midges. Culicoides have been caught at heights from 170 to 200 m above ground [28] and even at over 1.5 km in the samples reported by Glick [29], but the abundance of biting midges at such a high level was very low. We collected biting midges at the ground level, in the mid-canopy (13 m above ground level) and in the high-canopy (23 m). We chose spruce trees because these species are taller than some deciduous trees, making them more suitable for hanging traps at a higher level of forest strata (i.e., more than 20 m). In a salted marsh in the USA, it was determined that numbers of biting midges (both males and females) were the highest at 13 m above the ground, compared with values of 1.5 and 18 m [20]. It was also noted in a wooded area of South Carolina that some Culicoides species were more abundant in the tree canopy at heights of 13 m, with the C. chiopterus (Meigen) and C. obsoletus group being more abundant at or below 7 m above ground [20]. We caught biting midges of the C. obsoletus group almost equally abundantly in all investigated heights and did not detect differences between different heights in our study, but this can be also attributed to the fact that two species of this group have been detected based on the identification of collected males [Table S1] or to the low number of collected insects of this group.
Nielsen [30], who studied the vertical distribution of Culicoides spp. in a wood in Denmark, found three flight patterns with respect to altitude: species active primarily near the ground, ones active from ground level into the canopy, and those active only in the canopy. It was determined that C. circumscriptus Kieffer and C. cataneii Clastrier showed a significant difference in abundance related to trap height and were collected more abundantly at heights 20 or more meters above the ground [21]. Despite being known from Lithuania, this study did not detect Culicoides circumscriptus in the study area [31]. It was also noted [21] that species collected more frequently in higher traps may be more susceptible to long-distance carriage by air currents, indicating their potential importance as dispersal vectors. We identified three Culicoides species, C. pictipennis, C. festivipennis, and C. punctatus, as collected more abundantly in the canopy (both mid- and high-canopy) compared to the ground level. The majority of C. pictipennis were collected in the beginning of June in one locality at mid-canopy, so distribution of this biting midge species should be further investigated. Culicoides pictipennis and C. festivipennis are known as important vectors of Haemoproteus parasites in birds [11,12] and are also known to have ornithophilic behavior [13]. Their habit of living at great heights makes them particularly good vectors of bird parasites. The higher abundance of these three species in the canopy led to the recording of the overall Culicoides abundance there. Similarly, McGregor et al. [32], investigating the abundance of Culicoides biting midges up to 9 m high, found that the highest abundance of biting midges was collected in the forest canopy.
Culicoides kibunensis was found to be more abundant at ground level, but this species is also known to feed on birds and to be a vector of avian blood parasites. Culicoides kibunensis was recorded to be often infected with parasites of Turdus sp. birds [33] that used to live at ground level; thus, biting midges living at the ground level can also be competent vectors of bird parasites. This example shows that vertical distribution of Culicoides may not be related to the feeding preference of certain species on birds or mammals as it was also noted by McGregor et al., who indicated [32] that there was no significant association between the number of blood-engorged midges collected and the class of vertebrate they had been feeding upon. The height at which traps are placed can also have an effect on the dominant species. For example, collections that were caught at the ground level in Lithuania were dominated by the C. obsoletus group [12,13] and C. kibunensis [11,12,13] species, while in an investigation carried out at a height of 15 m near bird’s nests, C. festivipennis was the dominant species [17]. This issue should be investigated in the future, as habitats also are important for the distribution of Culicoides species.
A study performed in South Africa at various heights (0.6, 1.4, 2.2, and 2.8 m above ground level) found that most Culicoides midges were collected at 2.8 m [19], and at 1.4 m, the parity rate of two species of Culicoides (C. imicola Kieffer and C. magnus Colaço) was the highest [19]. We investigated biting midges at the 1.5 m, 13 m, and 23 m, but we did not find differences in the physiological status of Culicoides females at different heights.
The portions of gravid females increased during the season from 2% in June to more than 9% in July and August. This can be explained by the fact that it takes time for a female to start producing eggs (mating, host-seeking, blood meal, blood digestion) after hatching from pupae. We collected big number of C. pictipennis females in June in mid-canopy with no gravid females among them (Table S1). This may affect our results and a very small portion of gravid females being in mid-canopy. This issue should still be investigated in the future. Anyway, we found big numbers of gravid females in high-canopy strata, although we expected that gravid females should be found more often at the ground level, where they usually look for a suitable place to lay eggs. There are data that gravid Culicoides females were collected in the canopy up to 9 m in height [32]; we caught them even higher, at 23 m.
Culicoides males are usually very scarcely collected using traps; however, they are attracted to and captured more frequently using UV traps [34], which is important for species that can only be identified based on male genitalia. Only 1.4% of males was collected in Germany [35], 2.2% of males was collected in Algeria [36], no male individual of some Culicoides species have been collected in the USA [32]. According to our data, males were collected more abundantly in the canopy, but the tendency of males to be found more often at a certain height can also depend on a season, as was detected in our study. This parameter can also depend on the species, as it was detected by McGregor et al. [32]. For example, we caught no male C. punctatus at ground level (out of 24 males collected) and just one C. festivipennis male was caught at ground level (out of 32). Our data can help detect males, which are less common because they live shorter than females and do not fly as far from breeding grounds [6].

5. Conclusions

Summarizing the results of our research, we can state that the total abundance of Culicoides is higher in the tree canopy compared with the ground level in temperate forests—only 19.4% of all Culicoides midges were caught at the ground level—and this should be taken into account when assessing biodiversity or searching the most abundant vector species. Some species of biting midges, for example, C. festivipennis or C. punctatus, are found more abundantly at mid-canopy or high-canopy than at the ground level. This information is important when searching for target species in the wild or investigating insect–bird interactions. A higher number of female Culicoides midges than males was caught, with the proportion of males reaching its lowest point at ground level and increasing based on height and season. The parity of Culicoides females was not related to height. Gravid females were caught in all investigated vertical strata. It is recommended to hang the traps in the canopy when studying Culicoides as vectors of bird parasites, evaluating biodiversity or looking for male biting midges that can be used for the identification of species within species groups. BG-Pro traps, which are used for investigation of Culicoides biting midges, can be successfully used for the study of other small insects such as Psychodidae and Cecidomyiidae, and attention should be paid to the distribution of these insects in the canopy, not only at ground level. This information can be useful for the understanding the ecology of vector species and can be an important step in developing not only scientific investigations and monitoring of vector species but also management and maintenance plans.

Supplementary Materials

The following supporting information can be downloaded at: https://www.mdpi.com/article/10.3390/d16090585/s1, Table S1: Number of collected Culicoides with collection date, study sites, heights and meteorological parameters obtained from the Utena Meteorological station (55.516, 25.588) for the day of insect collection.

Author Contributions

Conceptualization, R.B. and R.T.; methodology, R.B., R.T. and D.B.; software, R.B.; formal analysis, R.B., R.T. and D.B.; investigation, R.B., R.T. and D.B.; resources, R.B. and D.B., writing—original draft preparation, R.B.; writing—review and editing, R.B., R.T. and D.B.; visualization, R.B.; funding, R.B. and D.B. All authors have read and agreed to the published version of the manuscript.

Funding

This research was funded by the Research Council of Lithuania, grant numbers S-MIP-20-57 and S-MIP-22-50.

Institutional Review Board Statement

Not applicable.

Data Availability Statement

Data are presented as Supplementary Material; additional data presented in this study are available upon email inquiry.

Conflicts of Interest

The authors declare no conflicts of interest.

References

  1. Mellor, P.S.; Boorman, J.; Baylis, M. Culicoides Biting Midges: Their Role as Arbovirus Vectors. Annu. Rev. Entomol. 2000, 45, 307–340. [Google Scholar] [CrossRef] [PubMed]
  2. Kampen, H.; Werner, D. Biting Midges (Diptera: Ceratopogonidae) as Vectors of Viruses. Microorganisms 2023, 11, 2706. [Google Scholar] [CrossRef] [PubMed]
  3. Valkiūnas, G. Avian Malaria Parasites and Other Haemosporidia; CRC Press: Boca Raton, FL, USA, 2005; ISBN 9780415300971. [Google Scholar]
  4. Olias, P.; Wegelin, M.; Zenker, W.; Freter, S.; Gruber, A.; Klopfleisch, R. Avian Malaria Death in Parrots, Europe. Emerg. Infect. Dis. 2011, 17, 950–952. [Google Scholar] [CrossRef] [PubMed]
  5. Ortiz-Catedral, L.; Brunton, D.; Stidworthy, M.F.; Elsheikha, H.M.; Pennycott, T.; Schulze, C.; Braun, M.; Wink, M.; Gerlach, H.; Pendl, H.; et al. Haemoproteus Minutus Is Highly Virulent for Australasian and South American Parrots. Parasites Vectors 2019, 12, 40. [Google Scholar] [CrossRef] [PubMed]
  6. Carpenter, S.; Groschup, M.H.; Garros, C.; Felippe-Bauer, M.L.; Purse, B.V. Culicoides Biting Midges, Arboviruses and Public Health in Europe. Antivir. Res. 2013, 100, 102–113. [Google Scholar] [CrossRef]
  7. Bukauskaitė, D.; Chagas, C.R.F.; Bernotienė, R.; Žiegytė, R.; Ilgūnas, M.; Iezhova, T.; Valkiūnas, G. A New Methodology for Sporogony Research of Avian Haemoproteids in Laboratory-Reared Culicoides Spp., with a Description of the Complete Sporogonic Development of Haemoproteus Pastoris. Parasites Vectors 2019, 12, 582. [Google Scholar] [CrossRef]
  8. Bernotiene, R.; Žiegyte, R.; Vaitkute, G.; Valkiunas, G. Identification of a New Vector Species of Avian Haemoproteids, with a Description of Methodology for the Determination of Natural Vectors of Haemosporidian Parasites. Parasites Vectors 2019, 12, 307. [Google Scholar] [CrossRef]
  9. Žiegyte, R.; Markovets, M.Y.; Bernotiene, R.; Mukhin, A.; Iezhova, T.A.; Valkiunas, G.; Palinauskas, V. The Widespread Biting Midge Culicoides Impunctatus (Ceratopogonidae) Is Susceptible to Infection with Numerous Haemoproteus (Haemoproteidae) Species. Parasites Vectors 2017, 10, 397. [Google Scholar] [CrossRef]
  10. Garrido-Bautista, J.; Martínez-De La Puente, J.; Ros-Santaella, J.L.; Pintus, E.; Lopezosa, P.; Bernardo, N.; Comas, M.; Moreno-Rueda, G. Habitat-Dependent Culicoides Species Composition and Abundance in Blue Tit (Cyanistes Caeruleus) Nests. Parasitology 2022, 149, 1119–1128. [Google Scholar] [CrossRef]
  11. Žiegytė, R.; Bernotienė, R.; Palinauskas, V. Culicoides Segnis and Culicoides Pictipennis Biting Midges (Diptera, Ceratopogonidae), New Reported Vectors of Haemoproteus Parasites. Microorganisms 2022, 10, 898. [Google Scholar] [CrossRef]
  12. Žiegytė, R.; Palinauskas, V.; Bernotienė, R. Natural Vector of Avian Haemoproteus Asymmetricus Parasite and Factors Altering the Spread of Infection. Insects 2023, 14, 926. [Google Scholar] [CrossRef] [PubMed]
  13. Bernotienė, R.; Bartkevičienė, G.; Bukauskaitė, D. The Flying Activity of Biting Midges (Ceratopogonidae: Culicoides) in Verkiai Regional Park, Southeastern Lithuania. Parasitol. Res. 2021, 120, 2323–2332. [Google Scholar] [CrossRef] [PubMed]
  14. Ulyshen, M.D. Arthropod Vertical Stratification in Temperate Deciduous Forests: Implications for Conservation-Oriented Management. For. Ecol. Manag. 2011, 261, 1479–1489. [Google Scholar] [CrossRef]
  15. Chakarov, N.; Chakarov, N.; Kampen, H.; Wiegmann, A.; Werner, D.; Bensch, S. Blood Parasites in Vectors Reveal a United Blackfly Community in the Upper Canopy. Parasites Vectors 2020, 13, 309. [Google Scholar] [CrossRef] [PubMed]
  16. Černý, O.; Votýpka, J.; Svobodová, M. Spatial Feeding Preferences of Ornithophilic Mosquitoes, Blackflies and Biting Midges. Med. Vet. Entomol. 2011, 25, 104–108. [Google Scholar] [CrossRef]
  17. Kazak, M.; Bernotienė, R.; Treinys, R.; Bukauskaitė, D. Trypanosomatids in Bloodsucking Diptera Insects (Ceratopogonidae and Simuliidae) Wild-Caught at Raptor Bird Nests in Temperate Forests. Diversity 2023, 15, 692. [Google Scholar] [CrossRef]
  18. Swanson, D.A.; Adler, P.H. Vertical Distribution of Haematophagous Diptera in Temperate Forests of the Southeastern USA. Med. Vet. Entomol. 2010, 24, 182–188. [Google Scholar] [CrossRef]
  19. Venter, G.J.; Hermanides, K.G.; Boikanyo, S.N.B.; Majatladi, D.M.; Morey, L. The Effect of Light Trap Height on the Numbers of Culicoides Midges Collected under Field Conditions in South Africa. Vet. Parasitol. 2009, 166, 343–345. [Google Scholar] [CrossRef]
  20. Henry, L.G.; Adkins, T.R. Vertical Distribution of Biting Midges1 in Coastal South Carolina2, 3. Ann. Entomol. Soc. Am. 1975, 68, 321–324. [Google Scholar] [CrossRef]
  21. Braverman, Y.; Linley, J.R. Effect of Light Trap Height on Catch of Culicoides (Diptera: Ceratopogonidae) in Israel. J. Med. Entomol. 1993, 30, 1060–1063. [Google Scholar] [CrossRef]
  22. Mathieu, B.; Cêtre-Sossah, C.; Garros, C.; Chavernac, D.; Balenghien, T.; Carpenter, S.; Setier-Rio, M.L.; Vignes-Lebbe, R.; Ung, V.; Candolfi, E.; et al. Development and Validation of IIKC: An Interactive Identification Key for Culicoides (Diptera: Ceratopogonidae) Females from the Western Palaearctic Region. Parasites Vectors 2012, 5, 137. [Google Scholar] [CrossRef] [PubMed]
  23. Becker, N.; Petrić, D.; Boase, C.; Lane, J.; Zgomba, M.; Dahl, C.; Kaiser, A. Mosquitoes and Their Control; Springer: Berlin/Heidelberg, Germany, 2004; ISBN 978-0306473609. [Google Scholar]
  24. Dyce, A.L. The Recognition of Nulliparous and Parous Culicoides (Diptera: Ceratopogonidae) Without Dissection. Aust. J. Entomol. 1969, 8, 11–15. [Google Scholar] [CrossRef]
  25. Groschupp, S.; Kampen, H.; Werner, D. Occurrence of putative Culicoides biting midge vectors (Diptera: Ceratopogonidae) inside and outside barns in Germany and factors influencing their activity. Parasites Vectors 2023, 16, 307. [Google Scholar] [CrossRef] [PubMed]
  26. Maguire, D.Y.; Robert, K.; Brochu, K.; Larrivée, M.; Buddle, C.M.; Wheeler, T.A. Vertical Stratification of Beetles (Coleoptera) and Flies (Diptera) in Temperate Forest Canopies. Environ. Entomol. 2014, 43, 9–17. [Google Scholar] [CrossRef] [PubMed]
  27. Anderson, J.F.; Andreadis, T.G.; Main, A.J.; Kline, D.L. Prevalence of West Nile Virus in Tree Canopy-Inhabiting Culex Pipiens and Associated Mosquitoes. Am. J. Trop. Med. Hyg. 2004, 71, 112–119. [Google Scholar] [CrossRef]
  28. Sanders, C.J.; Selby, R.; Carpenter, S.; Reynolds, D.R. High-Altitude Flight of Culicoides Biting Midges. Vet. Rec. 2011, 169, 18–20. [Google Scholar] [CrossRef]
  29. Glick, P.A. The Distribution of Insects, Spiders, and Mites in the Air; Technical Bulletin No. 673; United States Department of Agriculture: Washington, DC, USA, 1939. [Google Scholar] [CrossRef]
  30. Nielsen, S.A. Vertical Distribution of Biting Midges in a Danish Beech Wood. In Proceedings of the Fourth International Symposium on Ceratopogonidae, London, UK, 3–5 September 1981. [Google Scholar]
  31. Pakalniškis, S.; Rimšaitė, J.; Sprangauskaitė-Bernotienė, R.; Butautaitė, R.; Podėnas, S. Checklist of Lithuanian Diptera. Acta Zool. Litu. 2000, 10, 3–58. [Google Scholar] [CrossRef]
  32. McGregor, B.L.; Runkel, A.E.; Wisely, S.M.; Burkett-Cadena, N.D. Vertical Stratification of Culicoides Biting Midges at a Florida Big Game Preserve. Parasit. Vectors 2018, 11, 505. [Google Scholar] [CrossRef]
  33. Chagas, C.R.F.; Duc, M.; Kazak, M.; Valavičiūtė-Pocienė, K.; Bukauskaitė, D.; Hernández-Lara, C.; Bernotienė, R. High Abundance of Haemoproteus Parasites in Culicoides (Diptera, Ceratopogonidae), with a Confirmation of Culicoides Reconditus as a New Vector of These Avian Blood Parasites. Insects 2024, 15, 157. [Google Scholar] [CrossRef]
  34. McDermott, E.G.; Lysyk, T.J. Sampling Considerations for Adult and Immature Culicoides (Diptera: Ceratopogonidae). J. Insect Sci. 2020, 20, 2. [Google Scholar] [CrossRef]
  35. Ayllón, T.; Nijhof, A.M.; Weiher, W.; Bauer, B.; Allène, X.; Clausen, P.H. Feeding Behaviour of Culicoides Spp. (Diptera: Ceratopogonidae) on Cattle and Sheep in Northeast Germany. Parasites Vectors 2014, 7, 34. [Google Scholar] [CrossRef] [PubMed]
  36. Kadjoudj, N.; Bounamous, A.; Kouba, Y.; Dik, B.; Zeroual, S.; Amira, A.; Chenchouni, H. Composition and Diversity of Culicoides Biting Midges (Diptera: Ceratopogonidae) in Rural and Suburban Environments of Algeria. Acta Trop. 2022, 234, 106588. [Google Scholar] [CrossRef] [PubMed]
Figure 1. The UV trap for catching of biting midges hung up in high-canopy.
Figure 1. The UV trap for catching of biting midges hung up in high-canopy.
Diversity 16 00585 g001
Figure 2. The average numbers (±SE) of Culicoides males and females collected at different heights in June, July, and August. G—ground level (~1.5 m above the ground); M—mid-canopy (~13 m above the ground); H—high-canopy (~23 m above the ground).
Figure 2. The average numbers (±SE) of Culicoides males and females collected at different heights in June, July, and August. G—ground level (~1.5 m above the ground); M—mid-canopy (~13 m above the ground); H—high-canopy (~23 m above the ground).
Diversity 16 00585 g002
Figure 3. Proportion of males, parous and nulliparous Culicoides females collected at different heights in June, July, and August. Abbreviations the same as in Figure 2.
Figure 3. Proportion of males, parous and nulliparous Culicoides females collected at different heights in June, July, and August. Abbreviations the same as in Figure 2.
Diversity 16 00585 g003
Figure 4. The average number (±SE) of nulliparous and parous Culicoides females collected at different heights. Abbreviations the same as in Figure 2.
Figure 4. The average number (±SE) of nulliparous and parous Culicoides females collected at different heights. Abbreviations the same as in Figure 2.
Diversity 16 00585 g004
Figure 5. The average numbers (±SE) of Culicoides biting midges of four the most abundant species collected at different heights. Abbreviations the same as in Figure 2.
Figure 5. The average numbers (±SE) of Culicoides biting midges of four the most abundant species collected at different heights. Abbreviations the same as in Figure 2.
Diversity 16 00585 g005
Disclaimer/Publisher’s Note: The statements, opinions and data contained in all publications are solely those of the individual author(s) and contributor(s) and not of MDPI and/or the editor(s). MDPI and/or the editor(s) disclaim responsibility for any injury to people or property resulting from any ideas, methods, instructions or products referred to in the content.

Share and Cite

MDPI and ACS Style

Bernotienė, R.; Treinys, R.; Bukauskaitė, D. Vertical Distribution of Culicoides Biting Midges in Temperate Forests. Diversity 2024, 16, 585. https://doi.org/10.3390/d16090585

AMA Style

Bernotienė R, Treinys R, Bukauskaitė D. Vertical Distribution of Culicoides Biting Midges in Temperate Forests. Diversity. 2024; 16(9):585. https://doi.org/10.3390/d16090585

Chicago/Turabian Style

Bernotienė, Rasa, Rimgaudas Treinys, and Dovilė Bukauskaitė. 2024. "Vertical Distribution of Culicoides Biting Midges in Temperate Forests" Diversity 16, no. 9: 585. https://doi.org/10.3390/d16090585

APA Style

Bernotienė, R., Treinys, R., & Bukauskaitė, D. (2024). Vertical Distribution of Culicoides Biting Midges in Temperate Forests. Diversity, 16(9), 585. https://doi.org/10.3390/d16090585

Note that from the first issue of 2016, this journal uses article numbers instead of page numbers. See further details here.

Article Metrics

Back to TopTop