Biodiversity and Abundance of Angiosperms and Environmental Resilience in the Tidal Range of Yuanjiang Dry–Hot Valley, Southwestern China
Abstract
1. Introduction
- (1)
- Species diversity indices will vary with the environmental conditions along the valley.
- (2)
- Changes in these indices will be closely related to water and soil conditions.
2. Materials and Methods
2.1. Field Transect and Plot Design
2.2. Meteorological Records
2.3. Biodiversity Indices
2.4. Estimated Species: Rarity and Richness Indices
2.5. Indicators Screening
2.6. Physical and Chemical Properties of Surface Soil
3. Results
3.1. Alpha-Biodiversity in P-Transect and L-Transect
3.2. Beta-Diversity and the Habitat Similarity in the Valley
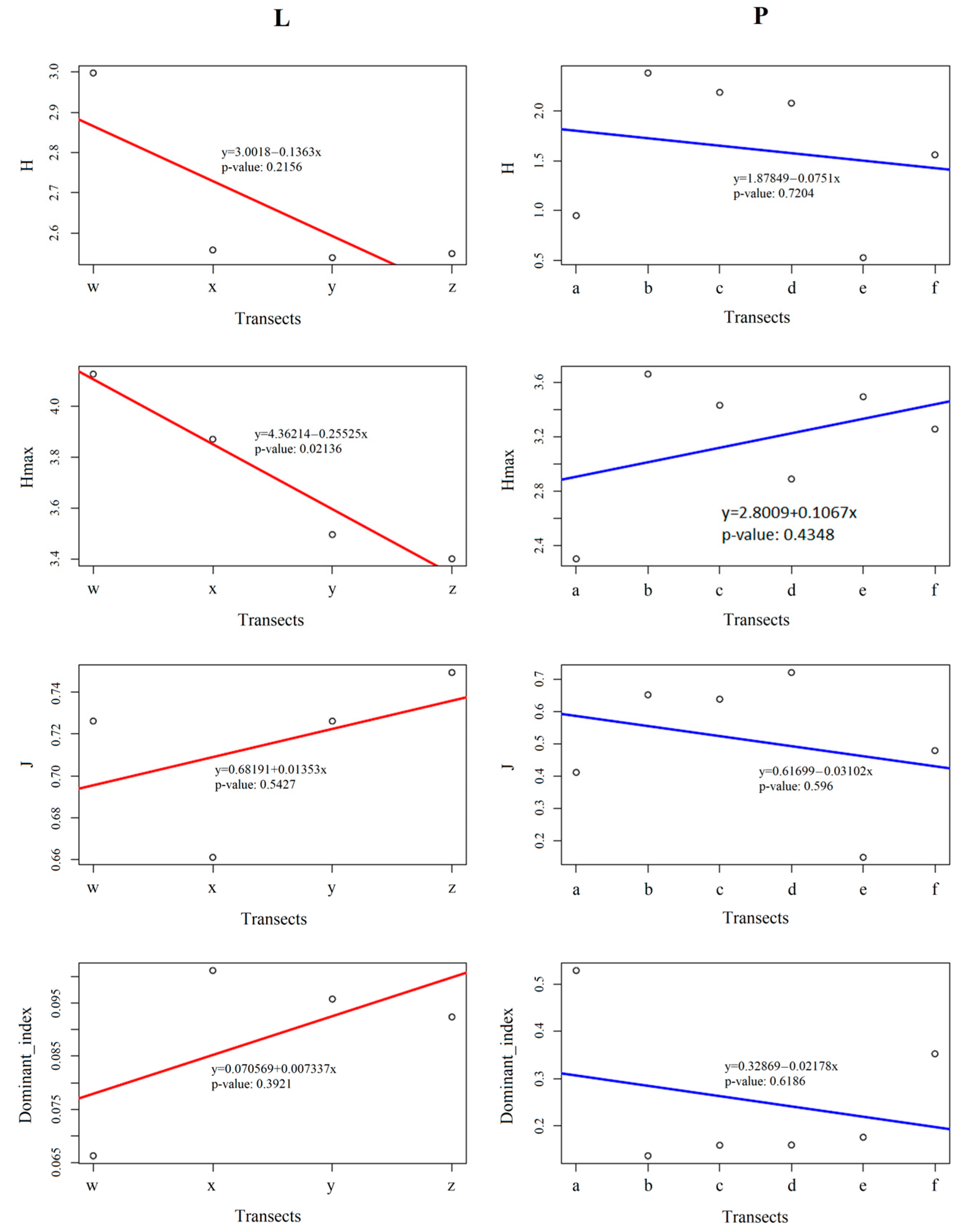
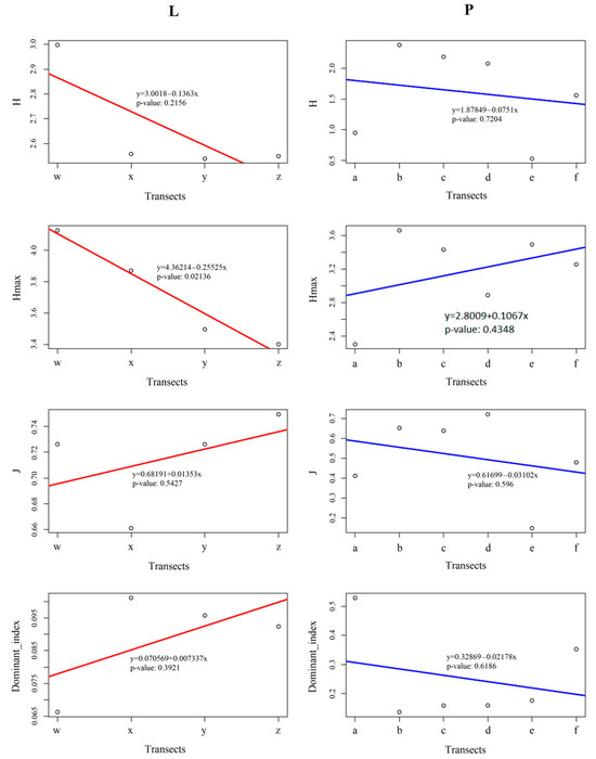
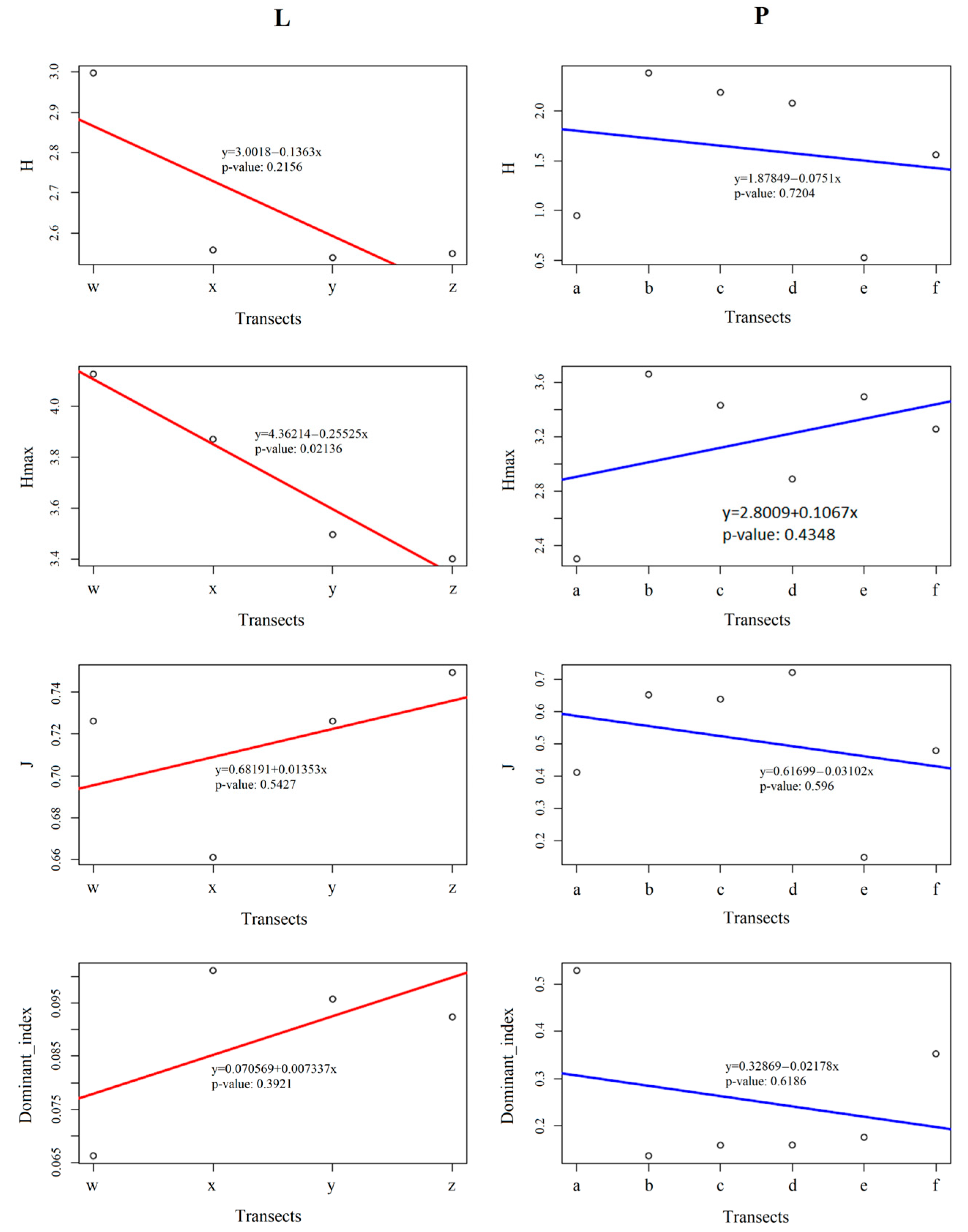
3.3. L-Transect and the Variance of Expected Species, Rarity, and Abundance Indices
3.4. P-Transect and the Variance of Expected Species, Rarity, and Abundance Indices
3.5. Indicator Species
3.6. Physical and Chemical Conditions of Surface Soil
4. Discussion
4.1. Water Condition and Plant Distribution
4.2. Soil Condition and Plant Distribution
4.3. Heterogeneous Habitats in the Valley
4.4. Environmental Indicators
5. Conclusions
Author Contributions
Funding
Institutional Review Board Statement
Data Availability Statement
Acknowledgments
Conflicts of Interest
References
- Hea, Z.; Dua, J.; Chena, L.; Zhua, X.; Lina, P.; Zhao, M.; Fan, S. Impacts of recent climate extremes on spring phenology in arid-mountain ecosystems in China. Agric. For. Meteorol. 2018, 260–261, 31–40. [Google Scholar] [CrossRef]
- Jina, J.; Wang, Q.; Wanga, J.; Otienoc, D. Tracing water and energy fluxes and reflectance in an arid ecosystem using the integrated model SCOPE. J. Environ. Manag. 2018, 231, 1082–1090. [Google Scholar] [CrossRef] [PubMed]
- Srivastava, P.; Singh, R.; Tripathi, S.; Singh, H.; Raghubanshi, A. Understanding the complex interaction between soil N availability and soil C dynamics under changing climate conditions. Soil Manag. Clim. Chang. 2018, 20, 337–348. [Google Scholar] [CrossRef]
- Ochoa-Hueso, R.; Delgado-Baquerizo, M.; Risch, A.C.; Schrama, M.; Morriën, E.; Barmentlo, S.H.; Geisen, S.; Hannula, S.E.; Resch, M.C.; Snoek, B.L.; et al. Ecosystem coupling: A unifying framework to understand the functioning and recovery of ecosystems. One Earth 2021, 4, 951–966. [Google Scholar] [CrossRef]
- Tang, B.; Clark, J.S.; Marra, P.P. Modeling Community Dynamics Through Environmental Effects, Species Interactions and Movement. J. Agric. Biol. Environ. Stat. 2023, 28, 178–195. [Google Scholar] [CrossRef]
- Dong, Y.; Xiong, D.; Su, Z.A.; Li, J.; Yang, D.; Shi, L.; Liu, G. The distribution of and factors influencing the vegetation in a gully in the Dry-hot Valley of southwest China. Catena 2014, 116, 60–67. [Google Scholar] [CrossRef]
- Wang, X.; Zhao, L.; Yan, B.; Shi, L.; Liu, G.; He, Y. Morphological and physiological responses of Heteropogon contortus to drought stress in a dry-hot valley. Bot. Stud. 2016, 57, 17. [Google Scholar] [CrossRef]
- Abotsi, K.E.; Bose, R.; Adjossou, K.; Deblauwe, V.; Rouhan, G.; Segla, K.N.; Atsri, K.H.; Kokou, K. Ecological drivers of pteridophyte diversity and distribution in Togo (West Africa). Ecol. Indic. 2020, 108, 105741. [Google Scholar] [CrossRef]
- Ding, J.; Delgado-Baquerizo, M.; Wang, J.-T.; Eldridge, D.J. Ecosystem functions are related to tree diversity in forests but soil biodiversity in open woodlands and shrublands. J. Ecol. 2021, 109, 4158–4170. [Google Scholar] [CrossRef]
- Schoenbohm, L.M.; Burchfiel, B.C.; Liangzhong, C.; Jiyun, Y. Exhumation of the Ailao Shan shear zone recorded by Cenozoic sedimentary rocks, Yunnan Province, China. Tectonics 2005, 24, TC6015. [Google Scholar] [CrossRef]
- Jost, L. Partitioning diversity into independent alpha and beta components. Ecology 2007, 88, 2427–2439. [Google Scholar] [CrossRef]
- Colwell, R.K. EstimateS: Statistical Estimation of Species Richness and Shared Species from Samples. Version 9.1. 2012 User’s Guide and Application Published at 2016. Available online: http://viceroy.eeb.uconn.edu/estimates/EstimateSPages/AboutEstimateS.htm (accessed on 14 July 2016).
- Colwell, R.K.; Chao, A.; Gotelli, N.J.; Lin, S.Y.; Mao, C.X.; Chazdon, R.L.; Longino, J.T. Models and estimators linking individual-based and sample-based rarefaction, extrapolation and comparison of assemblages. J. Plant Ecol. 2012, 5, 3–21. [Google Scholar] [CrossRef]
- Budka, A.; Łacka, A.; Szoszkiewicz, K. Estimation of river ecosystem biodiversity based on the Chao estimator. Biodivers. Conserv. 2018, 27, 205–216. [Google Scholar] [CrossRef]
- Xia, Y.; Sun, J. Introduction to Generalized Linear Mixed Models. In Bioinformatic and Statistical Analysis of Microbiome Data; Springer: Cham, Switzerland, 2023. [Google Scholar] [CrossRef]
- Oksanen, J.; Simpson, G.; Blanchet, F.G.; Kindt, R.; Legendre, P.; Minchin, P.; O’hara, R.; Solymos, P.; Stevens, H.; Szöcs, E.; et al. Package ‘Vegan’ Community Ecology Package Version 2.6-8. Available online: https://cran.r-project.org/web/packages/vegan/vegan.pdf (accessed on 28 August 2024).
- Shapiro, S.S.; Wilk, M.B. An analysis of variance test for normality (complete samples). Biometrika 1965, 52, 591–611. Available online: https://www.jstor.org/stable/2333709 (accessed on 16 April 2022). [CrossRef]
- Lee, S.; Lee, D.K. What is the proper way to apply the multiple comparison test? Korean J. Anesthesiol. 2020, 73, 572. [Google Scholar] [CrossRef] [PubMed]
- Cáceres, M.; Legendre, P. Associations between species and groups of sites: Indices and statistical inference. Ecology 2009, 90, 3566–3574. [Google Scholar] [CrossRef] [PubMed]
- Zeitoun, R.; Biswas, A. Review—Potentiometric Determination of Phosphate Using Cobalt: A Review. J. Electrochem. Soc. 2020, 167, 127507. [Google Scholar] [CrossRef]
- Xia, X.; Li, M.; Liu, H.; Zhu, Q.; Huang, D. Soil Organic Matter Detection Based on Pyrolysis and Electronic Nose Combined with Multi-Feature Data Fusion Optimization. Agriculture 2022, 12, 1540. [Google Scholar] [CrossRef]
- Aguirre, J. The Kjeldahl Method. In The Kjeldahl Method: 140 Years; Springer: Cham, Switzerland, 2023. [Google Scholar] [CrossRef]
- Yang, J.; Bai, J.W.; Liu, M.Y.; Chen, Y.; Wang, S.T.; Yang, Q.Y. Determination of Phosphorus in Soil by ICP-OES Using an Improved Standard Addition Method. J. Anal. Methods Chem. 2018, 2018, 1324751. [Google Scholar] [CrossRef]
- He, Y.L.; Zhang, Y.P.; Wu, Z.J. Analysis of climate variability in the Jinsha river valley. J. Trop. Meteorol. 2016, 22, 243–251. [Google Scholar]
- Dubbert, M.; Couvreur, V.; Kübert, A.; Werner, C. Plant water uptake modelling: Added value of cross-disciplinary approaches. Plant Biol. 2023, 25, 32–42. [Google Scholar] [CrossRef] [PubMed]
- Temmerman, S.; Bouma, T.J.; Van de Koppel, J.; Van der Wal, D.; De Vries, M.B.; Herman, P.M.J. Vegetation causes channel erosion in a tidal landscape. Geology 2007, 35, 631–634. [Google Scholar] [CrossRef]
- Fung, T.; Chisholm, R.A.; Anderson-Teixeira, K.; Bourg, N.; Brockelman, W.Y.; Bunyavejchewin, S.; Chang-Yang, C.; Chitra-Tarak, R.; Chuyong, G.; Condit, R.; et al. Temporal population variability in local forest communities has mixed effects on tree species richness across a latitudinal gradient. Ecol. Lett. 2019, 23, 160–171. [Google Scholar] [CrossRef]
- Heydari, M.; Zeynali, N.; Bazgir, M.; Omidipour, R.; Kohzadian, M.; Sagar, R.; Prevosto, B. Rapid recovery of the vegetation diversity and soil fertility after cropland abandonment in a semiarid oak ecosystem: An approach based on plant functional groups. Ecol. Eng. 2020, 155, 105963. [Google Scholar] [CrossRef]
- Heidrich, L.; Bae, S.; Levick, S. Heterogeneity–diversity relationships differ between and within trophic levels in temperate forests. Nat. Ecol. Evol. 2020, 4, 1204–1212. [Google Scholar] [CrossRef]
- Sarathchandra, C.; Abebe, Y.A.; Worthy, F.R.; Wijerathne, I.L.; Ma, H.; Yingfeng, B.; Jiayu, G.; Chen, H.; Yan, Q.; Geng, Y.; et al. Impact of land use and land cover changes on carbon storage in rubber dominated tropical Xishuangbanna, South West China. Ecosyst. Health Sustain. 2021, 7, 1915183. [Google Scholar] [CrossRef]
- Ganguly, T.; Arya, D.S.; Paul, P.K. Spatio-temporal patterns of precipitation in arid and semi-arid regions in western India. J. Earth Syst. Sci. 2023, 132, 71. [Google Scholar] [CrossRef]
- Deák, B.; Kovács, B.; Rádai, Z.; Apostolova, I.; Kelemen, A.; Kiss, R.; Lukács, K.; Palpurina, S.; Sopotlieva, D.; Báthori, F.; et al. Linking environmental heterogeneity and plant diversity: The ecological role of small natural features in homogeneous landscapes. Sci. Total Environ. 2021, 763, 144199. [Google Scholar] [CrossRef]
- Chen, M.; Tan, Y.; Xu, X.; Lin, Y. Identifying ecological degradation and restoration zone based on ecosystem quality: A case study of Yangtze River Delta. Appl. Geogr. 2024, 162, 103149. [Google Scholar] [CrossRef]
- Scharwies, J.D.; Dinneny, J.R. Water transport, perception, and response in plants. J. Plant Res. 2019, 132, 311–324. [Google Scholar] [CrossRef]
- Yang, F.C.; Mao, X.Y.; Liu, J.X.; Huang, H.P.; Li, Y.; Gou, J.Y.; Wen, H.T. Variation of Major Environmental Factors (Temperature and Precipitation) in Yuanjiang Dry-hot Valley and the Response of Pteridophytes. J. Trop. Subtrop. Bot. 2020, 28, 537–546, (In Chinese with English Abstract). [Google Scholar] [CrossRef]








| Transect_a | Transect_b | ||||||||
|---|---|---|---|---|---|---|---|---|---|
| 1 | 2 | 3 | 4 | 1 | 2 | 3 | 4 | ||
| 1 | 0.06 | 0.03 | 0 | 1 | 0 | 0 | 0 | ||
| 2 | 0.60 | 0.02 | 2 | 1.00 | 0.18 | ||||
| 3 | 0.02 | 3 | 0.18 | ||||||
| 4 | 4 | ||||||||
| Transect_c | Transect_d | ||||||||
| 1 | 2 | 3 | 4 | 1 | 2 | 3 | 4 | ||
| 1 | 0.39 | 0.06 | 0.04 | 1 | 0 | 0.33 | 0 | ||
| 2 | 0.22 | 0.19 | 2 | 0.29 | 0.42 | ||||
| 3 | 0.67 | 3 | 0.65 | ||||||
| 4 | 4 | ||||||||
| Transect_e | Transect_f | ||||||||
| 1 | 2 | 3 | 4 | 1 | 2 | 3 | 4 | ||
| 1 | 0.43 | 0.43 | 0.21 | 1 | 0.01 | 0 | 0 | ||
| 2 | 0.77 | 0.42 | 2 | 0.07 | 0.02 | ||||
| 3 | 0.73 | 3 | 0.92 | ||||||
| 4 | 4 | ||||||||
| Transect_w | Transect_x | ||||||||||||
|---|---|---|---|---|---|---|---|---|---|---|---|---|---|
| 1 | 2 | 3 | 4 | 5 | 6 | 1 | 2 | 3 | 4 | 5 | 6 | ||
| 1 | 0 | 0.01 | 0.01 | 0.02 | 0 | 1 | 0 | 0.05 | 0.02 | 0.41 | 0.02 | ||
| 2 | 0.03 | 0.04 | 0.02 | 0 | 2 | 0 | 0 | 0 | 0 | ||||
| 3 | 0.03 | 0.01 | 0.01 | 3 | 0.18 | 0 | 0 | ||||||
| 4 | 0.22 | 0 | 4 | 0.39 | 0.09 | ||||||||
| 5 | 0 | 5 | 0 | ||||||||||
| 6 | 6 | ||||||||||||
| Transect_y | Transect_z | ||||||||||||
| 1 | 2 | 3 | 4 | 5 | 6 | 1 | 2 | 3 | 4 | 5 | 6 | ||
| 1 | 0 | 0.05 | 0 | 0.27 | 0.38 | 1 | 0 | 0.04 | 0.01 | 0.03 | 0 | ||
| 2 | 0 | 0 | 0 | 0 | 2 | 0 | 0 | 0 | 0 | ||||
| 3 | 0 | 0.02 | 0.04 | 3 | 0 | 0 | 0 | ||||||
| 4 | 0.53 | 0.02 | 4 | 0.01 | 0 | ||||||||
| 5 | 0.03 | 5 | 0 | ||||||||||
| 6 | 6 | ||||||||||||
Disclaimer/Publisher’s Note: The statements, opinions and data contained in all publications are solely those of the individual author(s) and contributor(s) and not of MDPI and/or the editor(s). MDPI and/or the editor(s) disclaim responsibility for any injury to people or property resulting from any ideas, methods, instructions or products referred to in the content. |
© 2024 by the authors. Licensee MDPI, Basel, Switzerland. This article is an open access article distributed under the terms and conditions of the Creative Commons Attribution (CC BY) license (https://creativecommons.org/licenses/by/4.0/).
Share and Cite
Yang, F.; He, Q.; Huang, H.; Cui, Y.; Gou, J.; Sarathchandra, C.; Prueksakorn, K.; Hashimoto, K.; Liu, L. Biodiversity and Abundance of Angiosperms and Environmental Resilience in the Tidal Range of Yuanjiang Dry–Hot Valley, Southwestern China. Diversity 2024, 16, 703. https://doi.org/10.3390/d16110703
Yang F, He Q, Huang H, Cui Y, Gou J, Sarathchandra C, Prueksakorn K, Hashimoto K, Liu L. Biodiversity and Abundance of Angiosperms and Environmental Resilience in the Tidal Range of Yuanjiang Dry–Hot Valley, Southwestern China. Diversity. 2024; 16(11):703. https://doi.org/10.3390/d16110703
Chicago/Turabian StyleYang, Fengchun, Qiong He, Huaping Huang, Yanmei Cui, Jianyong Gou, Chaya Sarathchandra, Kritana Prueksakorn, Kiyota Hashimoto, and Li Liu. 2024. "Biodiversity and Abundance of Angiosperms and Environmental Resilience in the Tidal Range of Yuanjiang Dry–Hot Valley, Southwestern China" Diversity 16, no. 11: 703. https://doi.org/10.3390/d16110703
APA StyleYang, F., He, Q., Huang, H., Cui, Y., Gou, J., Sarathchandra, C., Prueksakorn, K., Hashimoto, K., & Liu, L. (2024). Biodiversity and Abundance of Angiosperms and Environmental Resilience in the Tidal Range of Yuanjiang Dry–Hot Valley, Southwestern China. Diversity, 16(11), 703. https://doi.org/10.3390/d16110703

