Effects of Rubber Plantation Restoration in National Parks on Plant Diversity and Soil Chemical Properties
Abstract
1. Introduction
2. Materials and Methods
2.1. Study Area
2.2. Experimental Design
2.3. Plant Diversity Survey
2.4. Determination of Soil Chemical Properties
2.5. Data Statistical Analysis
- (1)
- Shannon–Wiener index (H): ;
- (2)
- Simpson index (D): ;
- (3)
- Pielou uniformity index (EH): ;
- (4)
- Marglef richness index (F): .
3. Results
3.1. Analysis of Understory Plant Species Composition of Rubber Plantations Left for Natural Succession
3.2. Analysis of Plant Species Diversity Under Rubber Plantations Left for Natural Succession
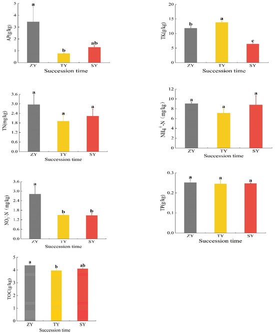
3.3. Analysis of Soil Chemical Properties of Rubber Plantations Left for Natural Succession
3.3.1. Analysis of Soil pH of Natural Succession Rubber Plantations
3.3.2. Analysis of Soil Chemical Properties in Natural Succession Rubber Plantations
3.4. Relationship Between Plant Diversity and Soil Chemical Properties in Rubber Plantations Left for Natural Succession
3.5. Comparative Analysis of the Recovery Speed of Understory Vegetation and Soil Chemical Properties in Rubber Plantations Left for Natural Succession
4. Discussion
4.1. The Impact of the Succession Process on Plant Community
4.2. The Impact of the Succession Process on Soil Chemical Properties in Rubber Plantations Left for Natural Succession
4.3. The Relationship Between Soil Chemical Properties and Understory Plant Community Diversity in Discontinued Rubber Plantations
4.4. Comparison of the Recovery Rate of Understory Vegetation and Soil Properties in Discontinued Rubber Plantations
5. Conclusions
Author Contributions
Funding
Institutional Review Board Statement
Data Availability Statement
Acknowledgments
Conflicts of Interest
References
- Wen, Z.; Chen, Y.Z.; Ni, Y.N.; Dong, P.; Fu, M.K.; Wang, Y.L.; Zheng, H. Impact of tropical forest restoration on plant diversity and soil properties in national parks. Natl. Park 2023, 1, 223–231. [Google Scholar]
- Shen, Z.; Tian, Y.; Yao, Y.; Jiang, W.; Dong, J.; Huang, X.; Wu, X.; Farooq, T.H.; Yan, W. Ecological restoration research progress and prospects: A bibliometric analysis. Ecol. Indic. 2023, 155, 110968. [Google Scholar] [CrossRef]
- Zhang, K.F.; Wang, S.J.; Zhang, L.L.; Fan, Y.X.; Xie, L.L.; Xiao, B.; Wang, Z.J.; Guo, Z.P. Response of soil bacterial respiration to tropical forest restoration in Xishuangbanna, China. Acta Ecol. Sin. 2023, 43, 4142–4153. [Google Scholar]
- Hu, Y.W.; Shi, Z.L.; Liu, C.; Xu, Q.T.; Zhang, J.J. Effects of stand densities on understory vegetation diversity and soil physicochemical properties of Robinia pseudoacacia forest in loess region of western Shanxi Province. Chin. J. Ecol. 2023, 42, 2072–2080. [Google Scholar]
- Li, Y.Q.; Meng, M.; Hu, G.H.; Zhou, Y.; Zhou, Y.; Fu, Y.P.; Qiu, Q. Effects of Underwood Planting Patterns on the Diversity of Vegetation Species in Pinus yunnanensis Plantation. J. West China For. Sci. 2023, 52, 39–46. [Google Scholar] [CrossRef]
- Randriamananjara, M.A.; Fenton, N.J.; Desrochers, A. How does understory vegetation diversity and composition differ between monocultures and mixed plantations of hybrid poplar and spruce? For. Ecol. Manag. 2023, 549, 121434. [Google Scholar] [CrossRef]
- Ceng, R.J.; Wang, Q.; Yang, X.B.; Li, D.H.; Wang, H.; Xia, D. Effects of Environmental Factors on the Biodiversity of Understory Vegetation in Rubber Plantations. Acta Bot. Boreali-Occident. Sin. 2023, 43, 2130–2139. [Google Scholar]
- Wang, Q.; Li, D.H.; Yang, X.B.; Ceng, R.J.; Xia, D.; Wang, H.; Qi, C.L.; Hao, J.W. Study on the Characteristics of Understory Plant Diversity of Bawangling Rubber plantation in Hainan. For. Grassl. Resour. Res. 2022, 05, 76–83. [Google Scholar]
- Tata, H.L.; van Noordwijk, M.; Rasnovi, S.; Werger, M.J. Forests as provider of tree diversity in rubber agroforest in lowland Sumatra. In Proceedings of the XIII World Forestry Congress, Buenos Aires, Argentina, 18–23 October 2009; pp. 18–23. Available online: https://www.cifor-icraf.org/knowledge/publication/28691/ (accessed on 12 July 2024).
- Xiang, Y.Z.; Xu, D.P.; Yang, C.J.; Zhang, N.N.; Guo, J.Y. Relationship between Plant Species Diversities and Soil Hydro-Physical Properties in Two Plantations in Hainan Province. Res. Soil Water Conserv. 2012, 19, 37–41. [Google Scholar]
- Xing, H.; Jiang, J.S.; Mai, Q.F.; Wu, N.Y. Biodiversity of Different Forest Community and Structure in Rubber Planting Areas in Hainan. Chin. J. Trop. Agric. 2012, 32, 49–53. [Google Scholar]
- Deng, L.; Liu, Y.L.; Li, J.W.; Shang, G.Z.P. Effect of Vegetation Restoration on Soil Carbon Sequestration: Dynamics and Its Driving Mechanisms. J. Soil Water Conserv. 2023, 37, 1–10. [Google Scholar] [CrossRef]
- Li, T.T.; Tang, Y.B.; Zhou, R.H.; Yu, F.Y.; Dong, H.J.; Wang, M.; Hao, J.F. Understory plant diversity and its relationship with soil physicochemical properties indifferent plantations in Yunding Mountain. Acta Ecol. Sin. 2021, 41, 1168–1177. [Google Scholar]
- Zhao, M.; Zhang, X.M.; Yang, M.J. Effects of Forest Fire Disturbance on Species Diversity and Soil Physicochemical Properties of Quercus variabilis and Quercus wutaishansea Mixed Forests. Ecol. Environ. Sci. 2023, 32, 1732–1740. [Google Scholar]
- Lu, H.F.; Xu, J.M.; Li, G.Y.; Ma, N.; Su, G.L.; Zhang, Y.D. Dynamic change trends and patterns of soil physical and chemical properties and understory plant diversity in Eucalyptus grandis forest at different growth and development stages. For. Res. 2024, 37, 82–91. [Google Scholar]
- Ma, T.; Deng, X.; Chen, L.; Xiang, W. The soil properties and their effects on plant diversity in different degrees of rocky desertification. Sci. Total Environ. 2020, 736, 139667. [Google Scholar] [CrossRef]
- Sanaei, A.; Yuan, Z.; Ali, A.; Loreau, M.; Mori, A.S.; Reich, P.B.; Jucker, T.; Lin, F.; Ye, J.; Fang, S. Tree species diversity enhances plant-soil interactions in a temperate forest in northeast China. For. Ecol. Manag. 2021, 491, 119160. [Google Scholar] [CrossRef]
- Spohn, M.; Bagchi, S.; Biederman, L.A.; Borer, E.T.; Bråthen, K.A.; Bugalho, M.N.; Caldeira, M.C.; Catford, J.A.; Collins, S.L.; Eisenhauer, N. The positive effect of plant diversity on soil carbon depends on climate. Nat. Commun. 2023, 14, 6624. [Google Scholar] [CrossRef]
- Singh, A.K.; Liu, W.; Zakari, S.; Wu, J.; Yang, B.; Jiang, X.J.; Zhu, X.; Zou, X.; Zhang, W.; Chen, C. A global review of rubber plantations: Impacts on ecosystem functions, mitigations, future directions, and policies for sustainable cultivation. Sci. Total Environ. 2021, 796, 148948. [Google Scholar] [CrossRef]
- Zhu, Z.C.; Qi, C.L.; Yang, X.B.; Li, D.H.; Su, F. Study on Species Composition and Competition Relationship of Camellia sinensis var. assamica Community in Yinggeling. For. Grassl. Resour. Res. 2023, 06, 129–136. [Google Scholar]
- Yang, W.F.; Huang, C.T.; Chen, F.F.; Wei, J.X.; Chen, H.X. Population and Habitat Characteristics of Bretschneidera sinensis in Yinggeling, Hainan lsland. Hortic. Seed. 2023, 43, 23–26. [Google Scholar]
- Zhou, Y.H.; Zhang, Z.H.; Li Jie Liu, X.; Hu, G. Ecological Stoichiometry of Carbon, Nitrogen and Phosphorus in Plant Leaves and Soils of Mangrove Forests in the Beilun Estuary, Guangxi, China. Earth Environ. 2020, 48, 58–65. [Google Scholar]
- Qi, D.L.; Zhang, F.; Wu, Z.X.; Yang, X.B.; Lan, G.Y.; Yang, C. Effect of Michelia macclurei intercropping on soil properties and microbial population in young rubber plantation. J. Rubber Res. 2024, 27, 415–427. [Google Scholar] [CrossRef]
- He, Z.; Zhu, Y.; Qiu, Y.; Xu, L. Effects of different human interventions on the composition and diversity of plant communities in Ziwuling. J. Northwest For. Univ. 2017, 32, 87–95. [Google Scholar]
- Wang, Q.; Li, D.; Yang, X.; Zeng, R.; Xia, D.; Wang, H.; Qi, C.; Hao, J. Study on the diversity characteristics of understory plants in the Bawangling rubber forest in Hainan. For. Grassl. Resour. Res. 2022, 5, 76–83. [Google Scholar]
- Li, M.M.; Lan, G.Y.; Yang, C.; Wu, Z.X.; Chen, B.Q.; Sun, R.; Zhou, J.N.; Quan, F. Species diversity undergrowth plants in rubber plantations in Myanmar. J. Trop. Biol. 2023, 13, 64–72. [Google Scholar]
- Wei, J.X.; Chen, H.H.; Zheng, W.; Tian, L.Y. Changes of Understory Plant Species Diversity and Distribution Pattern of Dominant Species in Rubber Plantation after Natural Management. For. Sci. Tech. 2023, 08, 30–33. [Google Scholar]
- Li, Q.B.; Zhang, C.Y.; Zhao, X.H. Species diversity and influencing factors of coniferous and broad-leaved mixed forest communities in different successional stages of Changbai Mountain. Acta Ecol. Sin. 2022, 42, 7147–7155. [Google Scholar]
- Fan, R.; Xu, H.F.; Li, C.; Zhang, H.; Zhang, H.; Chen, L.; Wang, N.L. Changes in plant diversity and water use efficiency during the restoration process of subtropical forests. Geogr. Res. 2024, 43, 776–790. [Google Scholar]
- Yu, Y.H.; Zhong, X.P.; Zheng, W.; Chen ZXWang, J.X. Species diversity, functional traits, stoichiometry and correlation of plant community indifferent succession stages of karst forest. Acta Ecol. Sin. 2021, 41, 2408–2417. [Google Scholar]
- López-Acosta, J.C.; Pantoja-Aparicio, E.I.; Gómez-Díaz, J.A.; Lascurain-Rangel, M.; Falfán, I. Floristic Diversity on Rubber Plantations and Their Importance for Subsistence at Foothill Landscapes of Mexico. In Ethnobotany of the Mountain Regions of Mexico. Ethnobotany of Mountain Regions; Casas, A., Blancas Vázquez, J.J., Eds.; Springer: Cham, Switzerland, 2022. [Google Scholar] [CrossRef]
- Tondoh, J.E.; Dimobe, K.; Guéi, A.M.; Adahe, L.; Baidai, Y.; N’Dri, J.K.; Forkuor, G. Soil Health Changes Over a 25-Year Chronosequence from Forest to Plantations in Rubber Tree (Hevea brasiliensis) Landscapes in Southern Côte d’Ivoire: Do Earthworms Play a Role? Front. Environ. Sci. 2019, 7, 73. [Google Scholar] [CrossRef]
- Guillaume, T.; Muhammad, D.; Kuzyakov, Y. Losses of soil carbon by converting tropical forest to plantations: Erosion and decomposition estimated by δ13c. Glob. Change Biol. 2015, 21, 3548–3560. [Google Scholar] [CrossRef] [PubMed]
- Straaten, O.V.; Corre, M.; Wolf, K.; Tchienkoua, M.; Cuellar, E.; Matthews, R.B.; EVeldkamp, E. Conversion of lowland tropical forests to tree cash crop plantations loses up to one–half of stored soil organic carbon. Proc. Natl. Acad. Sci. USA 2015, 112, 9956–9960. [Google Scholar] [CrossRef] [PubMed]
- Sérgio, A.P.; Malvar, M.C.; Diana CS, V.; Macdonald, L.; Keizer, J.J. Effectiveness of hydromulching to reduce runoff and erosion in a recently burnt pine plantation in central Portugal. Land Degrad. Dev. 2016, 27, 1319–1333. [Google Scholar]
- Venter, Z.S.; Scott, S.L.; Desmet, P.G.; Hoffman, M.T. Application of landsat–derived vegetation trends over South Africa: Potential for monitoring land degradation and restoration. Ecol. Indic. 2020, 113, 106206. [Google Scholar] [CrossRef]
- Kumari, M.; Sharma, R.; Sepehya, S.; Kumar, A. Land degradation. J. Pharmacogn. Phytochem. 2020, 9, 221–226. [Google Scholar]
- Davis, W. The rubber industry’s biological nightmare. Fortune 1997, 136, 86. [Google Scholar]
- Ziegler, A.D.; Fox, J.M.; Xu, J.C. The rubber juggernaut. Science 2009, 324, 1024–1025. [Google Scholar] [CrossRef]
- Li, Y.; Yang, F.; Ou, Y.; Zhang, D.; Liu, J.; Chu, G.; Zhang, Y.; Otieno, D.; Zhou, G. Changes in forest soil properties in different successional stages in lower tropical China. PLoS ONE 2013, 8, e81359. [Google Scholar] [CrossRef]
- Xue, P.P.; Qi, D.H.; Cheng, K.P. Dynamics of Soil Physical-chemical Properties and Soil Fertility Evaluation in Cinnamomumcamphora Forest Succession. For. Inventory Plann. 2019, 1, 67–70. [Google Scholar]
- Su, Z.; Zhong, Y.; Zhu, X.; Wu, Y.; Shen, Z.; Shangguan, Z. Vegetation restoration altered the soil’s organic carbon composition and favored its stability in a Robinia pseudoacacia plantation. Sci. Total Environ. 2023, 899, 165665. [Google Scholar] [CrossRef]
- Cao, J.; Chen, Q.; Chang, Y.J.; Miao, J.J.; Wang, J. Assessment on Effects of Forest Succession on Soil Fertility in Xinglongshan Mountain National Nature Reserve, Gansu Province. Res. Water Conserv. 2009, 16, 89–93. [Google Scholar]
- Liu, H.Y.; Huang, J.G. Dynamics of soil properties under secondary succession forest communities in Mt.Jinyun. Chin. J. Appl. Ecol. 2005, 16, 2041–2046. [Google Scholar]
- Jun, G.; Jian-Ying, Y.; Chang-Qing, S.; Bo, G.; Zi-Jing, L. Understory plant diversity and soil physicochemical properties of Pinus tabuliformis artificial water conservation forests in the upper reaches of Miyun Reservoir, China. Chin. J. Appl. Ecol. 2022, 33, 2305–2313. [Google Scholar]
- Colmanetti, M.A.A.; Barbosa, L.M.; Do Couto, H.T.Z.; Casagrande, J.C.; Shirasuna, R.T.; Ortiz, P.R.T.; de Lima, R.P.; Diniz, M.M. Impact of soil properties, tree layer, and grass cover on forest regeneration in a mixed native species reforestation. Sci. For. 2021, 49, e3312. [Google Scholar] [CrossRef]
- Nguyen, T.T.; Do, T.T.; Harper, R.; Pham, T.T.; Linh, T.V.K.; Le, T.S.; Thanh, L.B.; Giap, N.X. Soil Health Impacts of Rubber Farming: The Implication of Conversion of Degraded Natural Forests into Monoculture Plantations. Agriculture 2020, 10, 357. [Google Scholar] [CrossRef]
- Li, M.P.; Miao, N.; Liu, S.R. Effects of nitrogen-fixing tree species Alnus nepalensis on the degraded soils and understory restoration in the upper reaches of the Jinsha River, China. Acta Ecol. Sin. 2022, 42, 2321–2330. [Google Scholar]




| ST | NS | NF | NG |
|---|---|---|---|
| ZY | 15 | 12 | 10 |
| TY | 66 | 29 | 49 |
| SY | 52 | 28 | 45 |
| Total | 134 | 81 | 104 |
| ST | pH |
|---|---|
| ZY | 5.74 ± 0.58a |
| TY | 5.19 ± 0.19b |
| SY | 5.19 ± 0.26b |
| Name | Explains % | Contribution % | Pseudo-F | p |
|---|---|---|---|---|
| pH | 19.3 | 45.0 | 5.0 | 0.032 |
| NO3−−(mg/kg) | 6.2 | 14.4 | 1.7 | 0.188 |
| TP(g/kg) | 7.3 | 17.1 | 2.1 | 0.158 |
| NH4+–N(mg/kg) | 2.1 | 4.8 | 0.6 | 0.496 |
| TK(g/kg) | 0.9 | 2.1 | 0.2 | 0.654 |
| AP(mg/kg) | 3.8 | 8.9 | 1.0 | 0.322 |
| TN(mg/kg) | 3.0 | 7.0 | 0.8 | 0.378 |
| Succession Times | Species | Family |
|---|---|---|
| Rubber plantation with 0 years of natural succession | Dichroa mollissima | Hydrangeaceae |
| Maesa perlarius | Primulaceae | |
| Heptapleurum heptaphyllum | Araliaceae | |
| Lithocarpus elaeagnifolius | Fagaceae | |
| Sterculia lanceolata | Malvaceae | |
| Ficus hirta | Moraceae | |
| Ficus hispida | Moraceae | |
| Ficus esquiroliana | Moraceae | |
| Camellia sinensis var. assamica | Theaceae | |
| Trema tomentosa | Cannabaceae | |
| Melastoma sanguineum | Melastomataceae | |
| Mallotus paniculatus | Euphorbiaceae | |
| Aporosa dioica | Phyllanthaceae | |
| Heynea trijuga | Meliaceae | |
| Castanopsis indica | Fagaceae | |
| Rubber plantation with 3 years of natural succession | Maesa perlarius | Primulaceae |
| Canarium subulatum | Burseraceae | |
| Ormosia pinnata | Fabaceae | |
| Cinnamomum parthenoxylon | Lauraceae | |
| Litsea monopetala | Lauraceae | |
| Ficus fistulosa | Moraceae | |
| Ficus variegata | Moraceae | |
| Wendlandia uvariifolia | Rubiaceae | |
| Eurya nitida | Pentaphylacaceae | |
| Toxicodendron succedaneum | Anacardiaceae | |
| Aporosa dioica | Phyllanthaceae | |
| Thysanolaena latifolia | Poaceae | |
| Glochidion lanceolarium | Phyllanthaceae | |
| Ficus hirta | Moraceae | |
| Ficus hispida | Moraceae | |
| Cansjera rheedei | Opiliaceae | |
| Mallotus paniculatus | Euphorbiaceae | |
| Pterospermum lanceifolium | Malvaceae | |
| Engelhardia roxburghiana | Juglandaceae | |
| Archidendron lucidum | Fabaceae | |
| Lithocarpus caudatilimbus | Fagaceae | |
| Macaranga denticulata | Euphorbiaceae | |
| Aralia chinensis | Araliaceae | |
| Camellia sinensis var. assamica | Theaceae | |
| Melastoma sanguineum | Melastomataceae | |
| Ardisia quinquegona | Primulaceae | |
| Heynea trijuga | Meliaceae | |
| Canthium horridum | Rubiaceae | |
| Vitex quinata | Lamiaceae | |
| Melastoma malabathricum | Melastomataceae | |
| Callicarpa longifolia | Lamiaceae | |
| Clerodendrum cyrtophyllum | Lamiaceae | |
| Dracaena angustifolia | Asparagaceae | |
| Oroxylum indicum | Bignoniaceae | |
| Bischofia polycarpa | Phyllanthaceae | |
| Melastoma candidum | Melastomataceae | |
| Ficus nervosa | Moraceae | |
| Ficus oligodon | Moraceae | |
| Ficus esquiroliana | Moraceae | |
| Trema tomentosa | Cannabaceae | |
| Elaeocarpus sylvestris | Elaeocarpaceae | |
| Pterospermum heterophyllum | Malvaceae | |
| Zanthoxylum avicennae | Rutaceae | |
| Ficus tinctoria subsp. gibbosa | Moraceae | |
| Radermachera hainanensis | Bignoniaceae | |
| Toona sureni | Meliaceae | |
| Ficus auriculata | Moraceae | |
| Artocarpus parvus | Moraceae | |
| Tetradium glabrifolium | Rutaceae | |
| Melastoma dendrisetosum | Melastomataceae | |
| Sterculia lanceolata | Malvaceae | |
| Aidia cochinchinensis | Rubiaceae | |
| Lithocarpus corneus | Fagaceae | |
| Saurauia tristyla | Actinidiaceae | |
| Elaeocarpus rugosus | Elaeocarpaceae | |
| Aquilaria sinensis | Thymelaeaceae | |
| Camellia oleifera | Theaceae | |
| Toona ciliata | Meliaceae | |
| Chukrasia tabularis | Meliaceae | |
| Bombax ceiba | Malvaceae | |
| Dalbergia odorifera | Fabaceae | |
| Bischofia javanica | Phyllanthaceae | |
| Micromelum falcatum | Rutaceae | |
| Ceiba speciosa | Malvaceae | |
| Blechnopsis orientalis | Blechnaceae | |
| Alangium chinense | Cornaceae | |
| Rubber plantation with 7 years of natural succession | Aporosa dioica | Phyllanthaceae |
| Heynea trijuga | Meliaceae | |
| Eurya nitida | Pentaphylacaceae | |
| Nauclea officinalis | Rubiaceae | |
| Wendlandia uvariifolia | Rubiaceae | |
| Saurauia tristyla | Actinidiaceae | |
| Ficus variegata | Moraceae | |
| Camellia sinensis var. assamica | Theaceae | |
| Melastoma sanguineum | Melastomataceae | |
| Elaeocarpus rugosus | Elaeocarpaceae | |
| Litsea monopetala | Lauraceae | |
| Litsea variabilis | Lauraceae | |
| Ficus oligodon | Moraceae | |
| Liquidambar formosana | Altingiaceae | |
| Ficus hispida | Moraceae | |
| Alangium chinense | Cornaceae | |
| Ficus esquiroliana | Moraceae | |
| Machilus chinensis | Lauraceae | |
| Macaranga denticulata | Euphorbiaceae | |
| Tetradium glabrifolium | Rutaceae | |
| Heptapleurum heptaphyllum | Araliaceae | |
| Maclurodendron oligophlebia | Rutaceae | |
| Cinnamomum parthenoxylon | Lauraceae | |
| Peltophorum dasyrrhachis var. tonkinensis | Fabaceae | |
| Aralia chinensis | Araliaceae | |
| Alsophila spinulosa | Cyatheaceae | |
| Acer laurinum | Sapindaceae | |
| Carpinus turczaninowii | Betulaceae | |
| Mallotus paniculatus | Euphorbiaceae | |
| Toxicodendron succedaneum | Anacardiaceae | |
| Endospermum chinense | Euphorbiaceae | |
| Bischofia javanica | Phyllanthaceae | |
| Dalbergia hainanensis | Fabaceae | |
| Maesa perlarius | Primulaceae | |
| Ficus nervosa | Moraceae | |
| Dimocarpus longan | Sapindaceae | |
| Maclura cochinchinensis | Moraceae | |
| Albizia odoratissima | Fabaceae | |
| Melia azedarach | Meliaceae | |
| Homalium ceylanicum | Salicaceae | |
| Syzygium samarangense | Myrtaceae | |
| Syzygium tetragonum | Myrtaceae | |
| Boehmeria nivea | Urticaceae | |
| Bridelia balansae | Phyllanthaceae | |
| Alphitonia incana | Rhamnaceae | |
| Lithocarpus caudatilimbus | Fagaceae | |
| Trema tomentosa | Cannabaceae | |
| Ficus auriculata | Moraceae | |
| Allospondias lakonensis | Anacardiaceae | |
| Toona sureni | Meliaceae | |
| Radermachera hainanensis | Bignoniaceae | |
| Glochidion sphaerogynum | Phyllanthaceae |
Disclaimer/Publisher’s Note: The statements, opinions and data contained in all publications are solely those of the individual author(s) and contributor(s) and not of MDPI and/or the editor(s). MDPI and/or the editor(s) disclaim responsibility for any injury to people or property resulting from any ideas, methods, instructions or products referred to in the content. |
© 2024 by the authors. Licensee MDPI, Basel, Switzerland. This article is an open access article distributed under the terms and conditions of the Creative Commons Attribution (CC BY) license (https://creativecommons.org/licenses/by/4.0/).
Share and Cite
Du, C.; Li, D.; Wang, W.; Yang, X.; Wu, Z.; Yang, C.; Zhang, Y.; Fu, Q.; Qi, D. Effects of Rubber Plantation Restoration in National Parks on Plant Diversity and Soil Chemical Properties. Diversity 2024, 16, 701. https://doi.org/10.3390/d16110701
Du C, Li D, Wang W, Yang X, Wu Z, Yang C, Zhang Y, Fu Q, Qi D. Effects of Rubber Plantation Restoration in National Parks on Plant Diversity and Soil Chemical Properties. Diversity. 2024; 16(11):701. https://doi.org/10.3390/d16110701
Chicago/Turabian StyleDu, Chunyan, Donghai Li, Weifeng Wang, Xiaobo Yang, Zhixiang Wu, Chuan Yang, Yingying Zhang, Qingmao Fu, and Dongling Qi. 2024. "Effects of Rubber Plantation Restoration in National Parks on Plant Diversity and Soil Chemical Properties" Diversity 16, no. 11: 701. https://doi.org/10.3390/d16110701
APA StyleDu, C., Li, D., Wang, W., Yang, X., Wu, Z., Yang, C., Zhang, Y., Fu, Q., & Qi, D. (2024). Effects of Rubber Plantation Restoration in National Parks on Plant Diversity and Soil Chemical Properties. Diversity, 16(11), 701. https://doi.org/10.3390/d16110701

