The Range of the Colonial Microcystis’ Biomass for Shift to Diatom Aggregates Under Aeration Mixing and Low Light
Abstract
1. Introduction
2. Materials and Methods
2.1. Experimental Design
2.2. Shading Rate in the Greenhouse and Its Measurement
2.3. Water Quality and Chl-a Measurements
2.4. Diatom Identification and Counting
2.5. Data Analysis
3. Results
3.1. Chl-a, TN, and TP Concentrations at the Beginning of the Experiment
3.2. Light
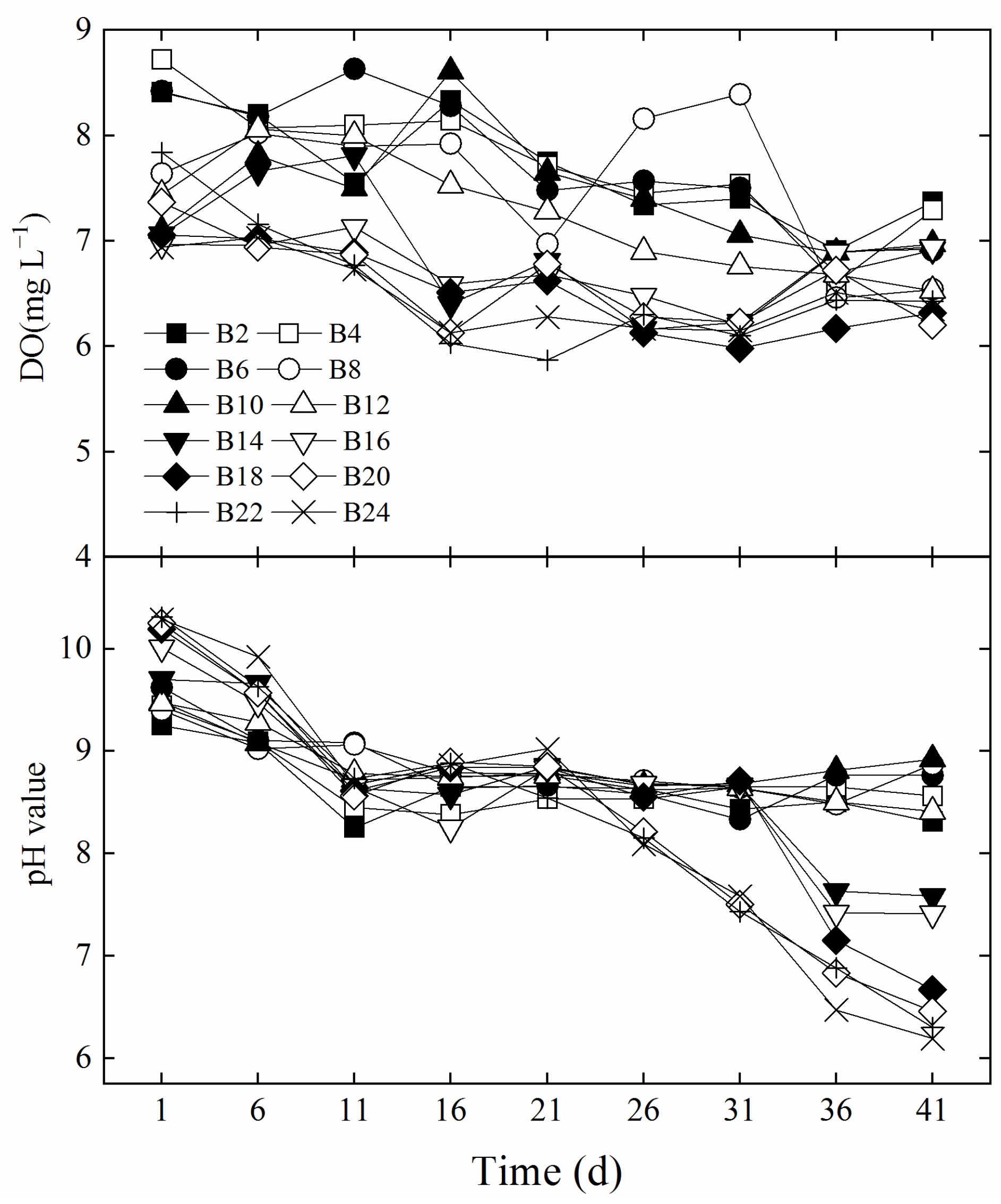
3.3. WT, DO, and pH
3.4. Changes in Chl-a and the Phenomenon of the Jars
3.5. Diatom Density
3.6. Linear Regression Between Chl-a and Nitzschia Density
3.7. Process Underlying the Algal Shift from Microcystis Colonies to Nitzschia Dominance
4. Discussion
4.1. Algal Shifts and Diversity Under Hydrodynamic Mixing
4.2. Reasons for the Algal Shift Under Hydrodynamic Mixing
4.3. Reasons for Diatom Aggregation Formation Under Hydrodynamic Mixing
5. Conclusions
Author Contributions
Funding
Institutional Review Board Statement
Data Availability Statement
Acknowledgments
Conflicts of Interest
References
- Ho, J.C.; Michalak, A.M.; Pahlevan, N. Widespread global increase in intense lake phytoplankton blooms since the 1980s. Nature 2019, 574, 667–670. [Google Scholar] [CrossRef] [PubMed]
- Guo, L. Doing battle with the green monster of Taihu Lake. Science 2007, 317, 1166. [Google Scholar] [CrossRef] [PubMed]
- Li, M.; Xiao, M.; Zhang, P.; Hamilton, D.P. Morphospecies-dependent disaggregation of colonies of the cyanobacterium Microcystis under high turbulent mixing. Water Res. 2018, 141, 340–348. [Google Scholar] [CrossRef] [PubMed]
- Xiao, M.; Willis, A.; Burford, M.A.; Li, M. Review: A meta-analysis comparing cell-division and cell-adhesion in Microcystis colony formation. Harmful Algae 2017, 67, 85–91. [Google Scholar] [CrossRef]
- Hawkins, P.R.; Griffiths, D.J. Artificial destratification of a small tropical reservoir: Effects upon the phytoplankton. Hydrobiologia 1993, 254, 169–181. [Google Scholar] [CrossRef]
- Heo, W.M.; Kim, B. The effect of artificial destratification on phytoplankton in a reservoir. Hydrobiologia 2004, 524, 229–239. [Google Scholar] [CrossRef]
- Jungo, E.; Visser, P.M.; Stroom, J.; Mur, L.R. Artificial mixing to reduce growth of the blue-green alga Microcystis in Lake Nieuwe Meer, Amsterdam: An evaluation of 7 years of experience. Water Sci. Technol. Water Supply 2001, 1, 17–23. [Google Scholar] [CrossRef]
- Ferris, J.A.; Lehman, J.T. Interannual variation in diatom bloom dynamics: Roles of hydrology, nutrient limitation, sinking, and whole lake manipulation. Water Res. 2007, 41, 2551–2562. [Google Scholar] [CrossRef]
- Visser, P.M.; Ibelings, B.W.; Bormans, M.; Huisman, J. Artificial mixing to control cyanobacterial blooms: A review. Aquat. Ecol. 2016, 50, 423–441. [Google Scholar] [CrossRef]
- Visser, P.M.; Ibelings, B.W.; Van Der Veer, B.; Koedood, J.; Mur, R. Artificial mixing prevents nuisance blooms of the cyanobacterium Microcystis, in Lake Nieuwe Meer, the Netherlands. Freshw.Biol. 1996, 36, 435–450. [Google Scholar] [CrossRef]
- Huisman, J.; Sharples, J.; Stroom, J.M.; Visser, P.M.; Kardinaal, W.E.A.; Verspagen, J.M.H.; Sommeijer, B. Changes in turbulent mixing shift competition for light between phytoplankton species. Ecology 2004, 85, 2960–2970. [Google Scholar] [CrossRef]
- Hambright, K.D.; Zohary, T. Phytoplankton species diversity control through competitive exclusion and physical disturbances. Limnol. Oceanogr. 2000, 45, 110–122. [Google Scholar] [CrossRef]
- Huisman, J.; Oostveen, P.V.; Weissing, F.J. Species dynamics in phytoplankton blooms: Incomplete mixing and competition for light. Am. Nat. 1999, 154, 46–68. [Google Scholar] [CrossRef] [PubMed]
- Wilkinson, A.; Hondzo, M.; Guala, M. Effect of small-scale turbulence on the growth and metabolism of Microcystis aeruginosa. Adv. Microbiol. 2016, 6, 351–367. [Google Scholar] [CrossRef][Green Version]
- Wang, X.; Liu, X.; Qin, B.; Tang, X.; Che, X.; Ding, Y.; Gu, Z. The biomass of bloom-forming colonial Microcystis affects its response to aeration disturbance. Sci. Rep. 2022, 12, 20985. [Google Scholar] [CrossRef]
- Wang, X.; Che, X.; Zhou, J.; Qin, B.; Tang, X.; Liu, Z.; Liu, X. Colonial Microcystis’ biomass affects its shift to diatom aggregates under aeration mixing. Sci. Rep. 2024, 14, 4058. [Google Scholar] [CrossRef]
- Neale, P.J.; Heaney, S.I.; Jaworski, G.H.M. Responses to high irradiance contribute to the decline of the spring diatom maximum. Limnol. Oceanogr. 1991, 36, 761–768. [Google Scholar] [CrossRef]
- Xu, H.; Paerl, H.W.; Qin, B.; Zhu, G.; Gao, G. Nitrogen and phosphorus inputs control phytoplankton growth in eutrophic Lake Taihu, China. Limnol. Oceanogr. 2010, 55, 420–432. [Google Scholar] [CrossRef]
- Wang, W.; Shi, K.; Zhang, Y.; Li, N.; Sun, X.; Zhang, D.; Zhang, Y.; Qin, B.; Zhu, G. A ground-based remote sensing system for high-frequency and real-time monitoring of phytoplankton blooms. J. Hazard. Mater. 2022, 439, 129623. [Google Scholar] [CrossRef]
- Gross, A.; Boyd, C.E. A digestion procedure for the simultaneous determination of total nitrogen and total phosphorus in pond water. J. World Aquacult. Soc. 1998, 29, 300–303. [Google Scholar] [CrossRef]
- Jespersen, A.M.; Christoffersen, K. Measurements of chlorophyll-a from phytoplankton using ethanol as extraction solvent. Arch. Hydrobiol. 1987, 109, 445–454. [Google Scholar] [CrossRef]
- Palmer, C.M.; Maloney, T.E. A new counting slide for nanoplankton. Limnol. Oceanogr. 1954, 21, 1–7. [Google Scholar]
- Hu, H.; Wei, Y. (Eds.) The Freshwater Algae of China—Systematics, Taxonomy and Ecology; Science Press: Beijing, China, 2006. (In Chinese) [Google Scholar]
- Underwood, A.J. Experiments in Ecology: Their Logical Design and Interpretation Using Analysis of Variance; Cambridge University Press: Cambridge, UK, 1997; pp. 189–192. [Google Scholar]
- Li, H.; Peng, X.; Chen, M.; Bian, Y.; Wu, Q.L. Short-term bacterial community composition dynamics in response to accumulation and breakdown of Microcystis blooms. Water Res. 2011, 45, 1702–1710. [Google Scholar] [CrossRef] [PubMed]
- Shao, K.; Zhang, L.; Wang, Y.; Yao, X.; Tang, X.; Qin, B.; Gao, G. The responses of the taxa composition of particle-attached bacterial community to the decomposition of Microcystis blooms. Sci. Total Environ. 2014, 488–489, 236–242. [Google Scholar] [CrossRef]
- Shi, L.; Huang, Y.; Zhang, M.; Yu, Y.; Lu, Y.; Kong, F. Bacterial community dynamics and functional variation during the long-term decomposition of cyanobacterial blooms in-vitro. Sci. Total Environ. 2017, 598, 77–86. [Google Scholar] [CrossRef]
- Moreno-Ostos, E.; Cruz-Pizarro, L.; Basanta, A.; George, D.G. The influence of wind-induced mixing on the vertical distribution of buoyant and sinking phytoplankton species. Aquat. Ecol. 2009, 43, 271–284. [Google Scholar] [CrossRef]
- Zhou, J.; Qin, B.; Casenave, C.; Han, X.; Yang, G.; Wu, T.; Wu, P.; Ma, J. Effects of wind wave turbulence on the phytoplankton community composition in large, shallow Lake Taihu. Environ. Sci. Pollut. Res. 2015, 22, 12737–12746. [Google Scholar] [CrossRef]
- Reynolds, C.S.; Wiseman, S.W.; Godfrey, B.M.; Butterwick, C. Some effects of artificial mixing on the dynamics of phytoplankton populations in large limnetic enclosures. J. Plankton Res. 1983, 5, 203–234. [Google Scholar] [CrossRef]
- Yang, G.; Zhong, C.; Pan, W.; Rui, Z.; Tang, X.; Yu, R.; Qiu, W.; Guo, Y. Continuous hydrodynamic mixing weakens the dominance of Microcystis: Evidences from microcosm and lab experiments. Environ. Sci. Pollut. Res. 2022, 29, 15631–15641. [Google Scholar] [CrossRef]
- Kang, L.; He, Y.; Dai, L.; He, Q.; Ai, H.; Yang, G.; Liu, M.; Jiang, W.; Li, H. Interactions between suspended particulate matter and algal cells contributed to the reconstruction of phytoplankton communities in turbulent waters. Water Res. 2019, 149, 251–262. [Google Scholar] [CrossRef]
- Znachor, P.; Visocka, V.; Nedoma, J.; Rychtecky, P. Spatial heterogeneity of diatom silicification and growth in a eutrophic reservoir. Freshw. Biol. 2013, 58, 1889–1902. [Google Scholar] [CrossRef]
- Zohary, T.; Pais-Madeira, A.M.; Robarts, R.D.; Hambright, K.D. Interannual phytoplankton dynamics of hypertrophic African lake. Arch. Hydrobiol. 1996, 136, 105–126. [Google Scholar] [CrossRef]
- Thornton, D. Diatom aggregation in the sea: Mechanisms and ecological implications. Eur. J. Phycol. 2002, 37, 149–161. [Google Scholar] [CrossRef]
- Peperzak, L.; Colijn, F.; Gieskes, W.W.C.; Peeters, J.C.H. Development of the diatom-Phaeocystis spring bloom in the Dutch coastal zone of the North Sea: The silicon depletion versus the daily irradiance threshold hypothesis. J. Plankton Res. 1998, 20, 517–537. [Google Scholar] [CrossRef]
- Chen, M.; Chen, F.; Peng, X.; Li, H.; Wu, Q.L. Microbial eukaryotic community in response to Microcystis spp. bloom, as assessed by an enclosure experiment in Lake Taihu, China. FEMS Microbiol. Ecol. 2010, 74, 19–31. [Google Scholar] [CrossRef]
- Chen, J.; Xie, P.; Yu, D.; Xie, L.; Chen, J. Dynamic change of sedimental microbial community during black bloom- an in situ enclosure simulation study. Microb. Ecol. 2021, 81, 304–313. [Google Scholar] [CrossRef]
- Villareal, T.A.; Brown, C.G.; Brzezinski, M.A.; Krause, J.W.; Wilson, C. Summer diatom blooms in the north Pacific subtropical gyre: 2008–2009. PLoS ONE 2012, 7, e33109. [Google Scholar] [CrossRef]
- Xu, H.; Jiang, H.; Yu, G.; Yang, L. Towards understanding the role of extracellular polymeric substances in cyanobacterial Microcystis aggregation and mucilaginous bloom formation. Chemosphere 2014, 117, 815–822. [Google Scholar] [CrossRef]
- Forni, C.; Telo’, F.R.; Caiola, M.G. Comparative analysis of the polysaccharides produced by different species of Microcystis (Chroococcales, Cyanophyta). Phycologia 1997, 36, 181–185. [Google Scholar] [CrossRef]
- Willis, A.; Chiovitti, A.; Dugdale, T.M.; Wetherbee, R. Characterization of the extracellular matrix of Phaeodactylum tricornutum (Bacillariophyceae): Structure, composition, and adhesive characteristics. J. Phycol. 2013, 49, 937–949. [Google Scholar] [CrossRef]









| Treatment | The Bulk Concentration of the Microcystis Bloom (mL L−1) | Chl-a (μg L−1) | Microcystis Cells Concentration (106 cells mL−1) | TN (mg L−1) | TP (mg L−1) |
|---|---|---|---|---|---|
| B2 | 2.0 | 285.72 | 1.99 | 4.498 | 0.314 |
| B4 | 4.0 | 575.54 | 4.25 | 9.090 | 0.632 |
| B6 | 6.0 | 867.18 | 6.45 | 13.522 | 0.924 |
| B8 | 8.0 | 1140.98 | 8.62 | 17.992 | 1.254 |
| B10 | 10.0 | 1445.60 | 10.81 | 22.532 | 1.586 |
| B12 | 12.0 | 1732.32 | 13.07 | 27.124 | 1.896 |
| B14 | 14.0 | 2045.04 | 15.63 | 31.568 | 2.132 |
| B16 | 16.0 | 2298.78 | 17.54 | 36.024 | 2.614 |
| B18 | 18.0 | 2579.58 | 19.56 | 40.492 | 2.910 |
| B20 | 20.0 | 2867.50 | 21.93 | 45.010 | 3.158 |
| B22 | 22.0 | 3156.94 | 23.91 | 49.477 | 3.467 |
| B24 | 24.0 | 3448.68 | 26.71 | 55.145 | 3.852 |
| Time | PAR | Under the Black Sun-Shading Net | Outdoors | Shading Rate of the Sun-Shading Net in the Greenhouse |
|---|---|---|---|---|
| 13:00 | Quantum/(μmol m−2 s−1) | 48.02 ± 0.22 | 1649.36 ± 8.27 | 97.1% |
| Energy/(W m−2) | 8.52 ± 0.03 | 320.90 ± 9.50 | 97.3% | |
| 14:30 | Quantum/(μmol m−2 s−1) | 46.59 ± 0.38 | 1569.17 ± 8.60 | 97.0% |
| Energy/(W m−2) | 8.08 ± 0.05 | 257.59 ± 1.57 | 96.9% |
Disclaimer/Publisher’s Note: The statements, opinions and data contained in all publications are solely those of the individual author(s) and contributor(s) and not of MDPI and/or the editor(s). MDPI and/or the editor(s) disclaim responsibility for any injury to people or property resulting from any ideas, methods, instructions or products referred to in the content. |
© 2024 by the authors. Licensee MDPI, Basel, Switzerland. This article is an open access article distributed under the terms and conditions of the Creative Commons Attribution (CC BY) license (https://creativecommons.org/licenses/by/4.0/).
Share and Cite
Wang, X.; Che, X.; Liu, X.; Li, X.; Chen, X.; Li, Y.; Zhu, L. The Range of the Colonial Microcystis’ Biomass for Shift to Diatom Aggregates Under Aeration Mixing and Low Light. Diversity 2024, 16, 695. https://doi.org/10.3390/d16110695
Wang X, Che X, Liu X, Li X, Chen X, Li Y, Zhu L. The Range of the Colonial Microcystis’ Biomass for Shift to Diatom Aggregates Under Aeration Mixing and Low Light. Diversity. 2024; 16(11):695. https://doi.org/10.3390/d16110695
Chicago/Turabian StyleWang, Xiaodong, Xuan Che, Xingguo Liu, Xinfeng Li, Xiaolong Chen, Yiming Li, and Lin Zhu. 2024. "The Range of the Colonial Microcystis’ Biomass for Shift to Diatom Aggregates Under Aeration Mixing and Low Light" Diversity 16, no. 11: 695. https://doi.org/10.3390/d16110695
APA StyleWang, X., Che, X., Liu, X., Li, X., Chen, X., Li, Y., & Zhu, L. (2024). The Range of the Colonial Microcystis’ Biomass for Shift to Diatom Aggregates Under Aeration Mixing and Low Light. Diversity, 16(11), 695. https://doi.org/10.3390/d16110695

