Next Article in Journal
Bio-Cultural Diversity for Food Security: Traditional Wild Food Plants and Their Folk Cuisine in Lakki Marwat, Northwestern Pakistan
Previous Article in Journal
Diet Diversity of Two Sculpin Species (Cottidae) in Midwestern USA Trout Streams: Patterns Across Nine Years After Severe Summer Flooding
 
 
Font Type:
Arial Georgia Verdana
Font Size:
Aa Aa Aa
Line Spacing:
Column Width:
Background:
Article

Forty-Five Years of Caterpillar Rearing in Area de Conservación Guanacaste (ACG) Northwestern Costa Rica: DNA Barcodes, BINs, and a First Description of Plant–Caterpillar–Ichneumonoid Interactions Detected

by
Donald L. J. Quicke
1,
Daniel H. Janzen
2,
Winnie Hallwachs
2,
Mike J. Sharkey
3,
Paul D. N. Hebert
4,5 and
Buntika A. Butcher
1,*
1
Integrative Insect Ecology Research Unit, Department of Biology, Faculty of Science, Chulalongkorn University, Bangkok 10330, Thailand
2
Department of Biology, University of Pennsylvania, Philadelphia, PA 19104, USA
3
The Hymenoptera Institute, 1339 La Loma Dr., Redlands, CA 92373, USA
4
Centre for Biodiversity Genomics, Guelph, ON N1G 2W1, Canada
5
Department of Integrative Biology, University of Guelph, Guelph, ON N1G 2W1, Canada
*
Author to whom correspondence should be addressed.
Diversity 2024, 16(11), 683; https://doi.org/10.3390/d16110683
Submission received: 20 September 2024 / Revised: 31 October 2024 / Accepted: 1 November 2024 / Published: 7 November 2024
(This article belongs to the Section Animal Diversity)

Abstract

Foliage-feeding wild caterpillars have been collected and reared year-round by 1–30 rural resident parataxonomists in the Area de Conservación Guanacaste (ACG) in northwestern Costa Rica since 1978. The aim of the work was to describe the diversity and interactions of Lepidoptera and their associations with larval food plants and parasitoids in a diverse tropical community. A total of 457,816 caterpillars developed into a moth or butterfly, and these were identified to the family and species/morphospecies, with 151,316 having been successfully barcoded and assigned a Barcode Index Number (BIN) and/or “scientific name”. The host food plant was usually identified to the species or morphospecies. In addition to adult moths and butterflies, rearings also yielded many hundreds of species of parasitic wasps and tachinid flies, many of which were also DNA-barcoded and assigned a name and/or BIN. Increasingly over recent years, these have been identified or described by expert taxonomists. Here, we provide a summary of the number of species of ichneumonoid (Ichneumonidae and Braconidae) parasitoids of the caterpillars, their hosts, the host food plants involved, the bi- and tritrophic interactions, and their relationships to the caterpillar sampling effort. The dataset includes 16,133 and 9453 independent rearings of Braconidae and Ichneumonidae, respectively, collectively representing 31 subfamilies, all with parasitoid barcodes and host and host food plant species-level identifications. Host caterpillars collectively represented 2456 species, which, in turn, were collectively eating 1352 species of food plants. Species accumulation curves over time for parasitoids, hosts, and plants show various asymptotic trends. However, no asymptotic trends were detected for numbers of unique parasitoid–host and host–plant bitrophic interactions, nor for tritrophic interactions, after 1983, because climate change then began to conspicuously reduce caterpillar densities. Parasitoid host ranges, the proportions of specialists at the host species and host genus levels, host family utilisation, and host guild sizes show some differences among taxa and are discussed in turn. Ichneumonidae are shown to preferentially parasitise caterpillars of larger-bodied hosts compared to Braconidae. Several of the host plant species from which caterpillars were collected have been introduced from outside of the Americas and their utilisation by endemic parasitoids is described. The obligately hyperparasitoid ichneumonid subfamily Mesochorinae is dealt with separately and its strong association with microgastrine braconid primary parasitoids is illustrated. We discuss the implications for studies of tropical insect community food web ecology and make suggestions for future work. The aim was to make available the data from this remarkable study and to provide an overview of what we think are some of the more interesting relationships that emerge—other scientists/readers are expected to have different questions that they will go on to explore the data to answer.

1. Introduction

In 1978, Dan Janzen and Winnie Hallwachs started their investigation of the ecology of Costa Rican forests. Their focus shifted towards conservation in 1985, and particularly the conservation of the Area de Conservación Guanacaste (ACG) [1,2,3,4]. The ACG comprises ~120,000 ha of now conserved wildland in northwestern Costa Rica (www.acguanacaste.ac.cr). During the course of this effort, they set up the largest caterpillar rearing programme ever to investigate tropical biodiversity and the interactions among Lepidoptera, their parasitoids, hyperparasitoids, and their food plants. The magnitude of the task is put into perspective as it is estimated that, living in the ACG, there are approximately 15,000 species of butterflies and moths [5,6]. The project relies on a large team of parataxonomists who are local residents, largely trained on-the-job to carry out fieldwork, rearings, record-keeping, and identifications of caterpillars, food plants, and hosts [7,8,9,10]. Here, we present an overview of the results and examine in more detail the various aspects of these data that we find interesting. However, an important part of our aim is to make available the data from this study so that other scientists/readers can explore the data to answer their own different questions.
Food webs are central in ecology and have been the subject of a large number of theoretical studies and field investigations. Parasitoid–host–plant food web studies have principally been conducted in extratropical regions where communities are often relatively simple. They have mostly concerned agroforestry systems, with a particular focus on a limited number of plant species or host species, sometimes only one [11]. In these cases, the taxonomy of the species involved is generally well understood. Notable among the pre-barcoding studies of seminatural insect parasitoid food webs in the temperate region are Müller et al.’s [12] study on aphid parasitoids in a wet meadow at Silwood Park, U.K., Dawah et. al.’s study on the parasitoids of grass-feeding chalcidoid wasps [13] across a wide range of U.K. sites between 1980 and 1992, Lewis et al.’s quantitative leaf miner parasitoid study in a hurricane-affected moist tropical forest at the Chiquibul Forest Reserve in southwest Belize [14,15,16], and Memmott et al.’s study of the tritrophic relationships between leaf miners, their parasitoids, and food plants in a regenerating forest in Santa Rosa National Park (today, Sector Santa Rosa of the ACG) [17]. In addition, there have been several studies of trap-nesting bees and their parasitoids, which are facilitated because they will adopt man-made bee hotels and, unlike the case with caterpillars, the hosts come to the scientist [18,19].
Barcode Index Numbers (BINs) [20] are widely used as a generally reliable surrogate for species-level segregation and identification [21,22,23], usually performing with >90% accuracy and often >98% accuracy [24,25,26,27,28,29] depending on group. Although there are cases where it either lumps together members of more than one species, or suggests that there are multiple species when there is only one, these form a small minority of cases (e.g., Macrocentrus species [30]). It was estimated to unambiguously distinguish some 97% of the more than 1000 species of Lepidoptera reared at the ACG up to that time [5,31]. For discussions of the use of BINs in the taxonomic separation of species, see [30,32,33]. For well-represented groups with well-known named morphospecies, there is an automated R programme tool (BAGS) that helps to assign a quality scale to barcode-based species identifications [34], but this is not yet appropriate for tropical ichneumonoid faunae because their taxonomy is so poorly developed and many species are represented by just a few individuals in the collections. In many less-well-studied groups, barcoding has been revealing large numbers of closely related undescribed species [35,36,37,38]. Further, in taxonomically difficult groups, this fact can make a substantial difference to identifications. For example, Kaartinen et al. [39], who were the first to employ barcoding systematically in a food web study, found that it changed 31% of the species assignments that were initially made based on morphology in a Finnish assembly of gall wasps (Cynipidae) and their parasitoids associated with oak trees (Fagaceae: Quercus robur). The level of misidentification was surprisingly high, demonstrating the importance of the technique in food web studies [40].
Salcido et al. [41] reported on a 22-year-long study of caterpillars and their parasitoids in La Selva, a protected lowland secondary successional forest in northeastern Costa Rica. In total, they reared 24,037 caterpillars over the period from 1998 to 2018, and from these, they reared 1357 parasitoids. To achieve this, they also employed a team of parataxonomists. Interestingly, and sadly, along with the observations in the ACG [42], they noticed a significant decline in caterpillar and parasite abundance over the study period, despite accounting for the collecting effort (the number of parataxonomists per year involved).
The parasitoid host data from the ACG are unique in another respect. The identifications at all levels involves taxonomic experts supplemented by a large number of both barcoded specimens, and the number of caterpillars per species, together with the carefully controlled rearing conditions, means that there is very high level of accuracy, which contrasts starkly with much of the earlier literature on host associations, which is riddled with errors and with probably more than 50% of published associations simply being wrong [43,44,45,46]. Understanding the host ranges or associations of any parasitoid or host based on the published literature, and particularly catalogues that regurgitate the numerous errors, requires expert quality control.
In this paper, we analyse parasitoid–host, host–food plant, and tritrophic food webs. Barcode Index Numbers (BINs) are used as a proxy for the parasitoid species [20], since their taxonomy is so poorly known, with a large majority of the species in the ACG being undescribed [11,30,47,48,49,50].
Finally, we must emphasise that these data are not the final word. As data continue to be added, the understanding of species boundaries may change. BINs may split or fuse as additional sequences are obtained, and the re-examination of more specimens and relationships to others or food plants and microgeography can reveal that what was thought to be a single species by its BIN is actually two or more.

2. Materials and Methods

2.1. Study Area

The Area de Conservación Guanacaste (ACG) is a UNESCO-designated Natural World Heritage Site comprising 169,000 hectares, of which 120,000 are terrestrial. It is predominantly a seasonal restoring tropical dry forest [51,52], with about a third being interdigited with tropical rain forest and cloud forest [5] (Figure 1). Its history and ecology were described in detail by [4]. A large caterpillar rearing programme has been conducted there, starting in 1985, with the aims of understanding their diversity and trophic interactions with parasitoids, hyperparasitoids, and food plants.

2.2. Caterpillar Collecting and Rearing

The ACG inventory methodology is illustrated in detail at the University of Pennsylvania/Janzen web site [53], and here we reproduce some representative photographs with brief explanations.
External foliage-feeding caterpillars were found opportunistically in the wild by Costa Rican rural parataxonomists utilising their visual and logic/memory, as would any member of the various insectivore guilds (birds, lizards, monkeys, bats, predaceous wasps, etc.). Collection was carried out during the night, as well as in daytime, since caterpillars of many species hide during daylight hours. The numbers of parataxonomists varied through the course of the study, and the exact time spent collecting was not recorded or rigorously standardised because of variations in things such heavy rainfall periods. This research generates 23–40,000 rearings per year, for a total of about 852,000 rearings as of 31 December 2023.
Each located caterpillar is transferred to its own virgin plastic bag with a generous sample of the foliage it was, or appeared to be, eating, and transferred to 1 of 13 purpose-built rearing barns, which are largely open-sided to maintain ambient conditions so that development proceeds close to biological time [54]. If it has not fed on that foliage in the next 24 h, the record is discarded.
On a given collecting foray, 1 to 10 caterpillars are generally found and taken to the rearing barn. Prepupae or pupae are collected but the presumed food plant is recorded in the comments field rather than the food plant (the so-called host plant) field, and these are not analysed here. Each caterpillar is given its own individual voucher code of the format ‘yy-SRNP-nnnnn’; a 6-digit suffix is used for light-caught adult Lepidoptera, but from 1 to 5 digits are used for immatures. That caterpillar record then has 20–70 fields in a FileMaker Pro flat file database, with data entered during its lifetime, depending on the record-keeper, dates, mortality, and parasitoids, if any emerge.
If a cluster of “gregarious” caterpillars is found, many or even all individuals may be collected when found for the first few times. However, if it is a common occurrence, just 2–10 individuals are likely to be collected on each subsequent encounter. The bag, along with its foliage, is hung on a “clothesline” in the shade of the rearing barn (Figure 2A,B), along with as many as 20–300 other caterpillar bags. These all have their food changed every 3–5 days (Figure 2C), usually by the parataxonomist who found them. The frequency depends on the species of caterpillar and food plant species, and the climate of the rearing barn. Very small caterpillars (leafrollers, etc.) are reared individually in a 300 mL jar with a loose top, but are otherwise treated the same as those in much larger plastic bags.
Once collected in this manner, the caterpillar is no longer available to be parasitised, meaning that the inventory percentage parasitisation is lower than it would be in nature. However, some tachinid flies (e.g., Belvosia [55]) that oviposit directly on foliage may inadvertently be fed as parasite eggs to a caterpillar during a food change.
The rate-limiting process, now that the field operation has graduated from notebooks to laptop computers (with their annoying susceptibility to humidity), is food plant changing for all of the accumulated caterpillars at 3–5-day intervals, depending on the ambient temperature, in an open-air rearing barn (cooler weather at higher elevations allows for less frequent food change). However, since the caterpillars are no longer free to search out their optimal food quality, the resulting adults tend to have slightly smaller wings than those of their free-living conspecifics.
Once pupated, the insect remains in its silk cocoon (if one is constructed) or silked-together foliage and is hung in a different area of the rearing barn. Each pupa-containing rearing container is then checked visually in the morning and late afternoon for moth, butterfly, or parasite eclosion. The entire bag, with its newly eclosed insect, goes into a nearby freezer, unless it is suspected that there may be more uneclosed parasitoids in the same container. The latter is especially the case with multiple tachinid puparia that are sourced from a single caterpillar or multiple Microgastrinae cocoons from a single caterpillar.
The frozen adult moth or butterfly receives a written museum-sized label, with its voucher code hand-written into a glassine envelop, which is held shut with a plastic clothespin. These are accumulated for D.H.J. at many-month intervals to check against the computerised records, so as to decide whether to discard or mount (pin) by the parataxonomists for a later DNA barcode treatment, after oven-drying, as a museum-grade voucher to be deposited in the Smithsonian USNM Natural History Museum in Washington, D.C, and/or the Museo Nacional de Costa Rica in Santo Domingo de Heredia (pre-2014, known as the INBio insect collection) [56]. Adult wasps are pinned if large enough, or stored in 3 mL vials filled with 95% ethanol and a coded label if too small to pin.

2.3. Parasitoid Identification

Before a taxonomist sees the parasitoid, a leg is removed and placed into a coded lysis plate, accompanied by a coded Excel file and the preliminary identification, with subsequent positioning in an NJ tree (Nearest Neighbor-Joining tree) for the supposed family or subfamily, a tree that may contain 5000–35,000 voucher codes, accompanied by an Excel file of the same data. D.H.J. then skims that Excel file, filling in the blank records within a BIN (previously within a cluster within the NJ tree). The specimens are then passed to an expert taxonomist for his/her taxon group, checking the clusters or BINs and comparing with the hosts reported in the same BIN. The experts were José L. Fernandez-Triana, Michael J. Sharkey, Donald L.J. Quicke, David B. Wahl, Ian D. Gauld (RIP), and others, and the taxonomy team at the CBG (Centre for Biodiversity Genomics at the University of Guelph, Canada) also identified specimens to the family, subfamily, and generic levels. These identifications provide a template so that, when new sequences were added, they automatically landed in an NJ tree within the boundaries of the correct genus in the tree. These taxa are then given interim genus or species names based on their positions in the NJ trees. These temporary identifications are then periodically checked by the taxonomy team and the likes of Fernandez-Triana, Sharkey, Wahl, Gauld, and Quicke. When the classification of any ichneumonoid taxon is mature, the NJ trees on BOLD group the subfamilies and genera with nearly a 100% accuracy, e.g., Agathidinae, Euphorinae, and Rogadinae. When this taxonomic placement does not occur, misidentifications or contamination are likely and are checked visually by an expert. To recognise contamination events, the sequence can be submitted to BOLD for identification and the results can be reviewed. For misidentifications, BOLD has the option of generating matching specimen photographs, and this photograph is carefully scrutinised to check for misplaced taxa. Although reared ACG parasitoids were not imaged, they are usually conspecific with specimens that were Malaise-trapped, barcoded, identified by expert taxonomists, and imaged. This reference is a further check on the initial identifications.
When species lacks a Linnean name, they are given an interim identifier in the form of a ‘Genus Code’, often in the form of a ‘Genus Identifier##’, for example, ‘Hylesicida crassitarsusDHJ01’, with the epithet not in italics.

2.4. Caterpillar and Food Plant Identification

Reared and light-trapped butterflies and moths were identified by general taxonomic experts, and several hundred thousand of these have been barcoded, enabling matching between adults and caterpillars. The caterpillar and adult photo databases are also stored on the parataxonomists’ laptops, where they are used by them for initial identifications at their rearing barns and to reinforce their memories, along with images of the food plants that they have learned by collecting them initially. The parataxonomists thus recognise the plant species fed on when a caterpillar is the first caterpillar found feeding on it, and then they collect that plant and conspecifics for later identification by expert taxonomists of Costa Rican plants (Nelson Zamora, Mike Grayum, Barry Hammel, Ron Liesner, and Daniel Santamaría Aguilar). As a result, the parataxonomists do not have to try to learn the many hundreds of plant species within the range of their rearing barn before collecting them and the caterpillars feeding on them. Further, most food plants are in vegetative stages when the caterpillars are found. Over the decades, the parataxonomists have become extraordinarily familiar with the vegetative phases of the plant species on which they find caterpillars feeding. Additionally, they all learned the plant names through apprenticeships, with more experienced parataxonomists, as well as three Costa Rican parataxonomists, specialised at providing names (Adrian Guadamuz, Roberto Espinoza, and Jorge Hernandez) because of their proclivity and enthusiasm for this task.

2.5. DNA Barcoding

Barcoding was carried out by the Centre for Biodiversity Genomics (CBG; University of Guelph, Guelph, Ontario, Canada). The barcoding methodologies have evolved over the duration of the molecular study, although, for most samples, the barcode region was amplified through PCR using a cocktail of Folmer primers [57], and LepF1 and LepR1 [35], and sequenced on the Sequel platform (Pacific Biosciences, Menlo Park, CA, U.S.A.). From 48,505 individual caterpillar rearings that yielded a braconid or ichneumonid, 32,035 were successfully DNA-sequenced for the approximately 650 base pair barcoding region of the mitochondrial cytochrome c oxidase subunit I gene (COI). In addition, a very large number of lepidoptera adults have also been barcoded [58].

2.6. Data Analysis

Data analyses were performed using the R environment for statistical computing [59]. A semi-quantitative food web [60] was constructed using the R package Bipartite package [61], Sankey network diagrams were constructed using the R package networkD3 [62], and a statistical comparison of regression slopes was performed using the function tsum.test in the package BSDA [63]. The total numbers of species of braconids and ichneumonids in the study area were estimated using Chao 1 [64].

2.7. Host Size

We used the mean forewing length based on literature sources as a proxy for body size (of the full-grown caterpillar). Data for most Lepidoptera families came from [65], with the measurements for families not included in that study coming from [66,67,68,69,70,71,72] and from specimens illustrated with scale bars on Wikipedia (Doidae; 3 spp).

2.8. Obligate Hyperparasitoids

Our analyses of the Ichneumonidae excluded members of the subfamily Mesochorinae, which are obligate hyperparasitoids [73,74], and the interactions of the Mesochorinae were considered separately. However, we did include their primary host parasitoids (when known with high confidence).

2.9. Raw and Cleaned Data

The raw (barely cleaned) data for Braconidae, Ichneumonidae, and Mesochorinae (Ichneumonidae) hyperparasitoids and non-parasitised caterpillars, including all rearings, even if no parasitoid barcode was obtained or not all of the fields were filled, are provided as .csv files in Tables S1, S2, S3, and S4, respectively. The final analysed data, including only results for parasitoids with barcodes, and full host and larval food plant data, are provided as .csv files in Table S5 for Braconidae and Table S6 for Ichneumonidae, including Mesochorinae.

3. Preamble About Parasitoids

For readers unfamiliar with the biology of ichneumonoid parasitoids belonging to different subfamilies, Table 1 summarises the major features that may be relevant to interpreting the findings. Most of the caterpillars collected feed exposed on their food plant, but some hide in the litter or in a silked-together leaf shelter during the daylight hours. Most parasitic Hymenoptera are endoparasitoids, and nearly all of these are koinobionts. That is, they allow their host to continue feeding or roaming before they finally rapidly complete their development and kill the host. Two of the groups that are ectoparasitoids are also koinobionts. Female rhysipoline braconids temporarily paralyse the host caterpillar and glue the egg firmly to an intersegmental membrane, and whilst the host continues feeding for a while, the female parasitoid’s venom induces it to undergo premature cocoon formation, which is when the host is finally fully consumed and killed [75]. Tryphonine ichneumonids do a similar thing, but instead of the egg being attached to the host using a glue, it possesses an anchor which is inserted through the host cuticle. Again, the host is not killed until it has constructed its cocoon or leaf shelter.
In addition to endo- and ectoparasitism, the parasitoid life history is often categorised as idiobiont versus koinobiont (although there is really a spectrum between the extremes). These strategies are defined as follows: the hosts of idiobionts do not continue further development, e.g., feeding, growing, moulting, after parasitisation, whereas koinobiont hosts continue development, perhaps going through several larval instars or even pupating before the parasitoid completes its development. This distinction leads to a number of correlations with other life history features [76,77]. Among these, the one most relevant to this study is their degree of host specialisation. Some species may parasitise members of numerous host families, whereas others appear to be limited to one or perhaps a small number of hosts. Idiobionts are typically generalists, while most koinobionts are more host-specific, although there are numerous exceptions [78,79,80,81,82].
The caterpillar primary parasitoids reared represent a number of life history guilds [83,84]. In addition to ecto- and endoparasitism, parasitoids vary in a number of other ways. The host, although usually attacked at the caterpillar stage, may also be attacked as an egg, with the parasitoid larva developing much later in the caterpillar’s development. Different parasitoid species may have preferences for attacking hosts in different instars, whereas some show little or no preference. The parasitoid might kill the host whilst still a caterpillar or as a prepupa, or even emerge from the pupa.
The only hyperparasitoids of caterpillars among the Ichneumonoidea are the Mesochorinae. They oviposit within the young larva of their endoparasitoid hosts [85]. However, Sharkey et al. have suggested that gregarious species with large brood sizes might do otherwise [50].
On three independent occasions, parasitoids have integrated viral genomes into their own [86,87,88,89,90], and these viral genes replicate many times and are expressed in specialised ‘glandular’ tissue (the calyx) at the anterior end of the wasp oviduct, where the modified viruses are produced and injected into the host caterpillar at the time of oviposition, along with the wasp egg and various venom components. These viruses are called polydnaviruses because each virion contains multiple circular DNA molecules with different coding regions. Inside the host, these ‘viruses’ infect various host tissues, where their gene products are expressed and make a large contribution to the wasp larva, overcoming host immune defence mechanisms [91,92,93]. This occurred in the ancestors of the microgastroid lineage of Braconidae (Cardiochilinae, Cheloninae, Microgastrinae, Miracinae, and Mendesellinae), and in those of the ichneumonid subfamilies Banchinae and Campopleginae [90].
Table 1. Biological features of the various braconid and ichneumonid subfamilies that have been reared from the ACG caterpillars.
Table 1. Biological features of the various braconid and ichneumonid subfamilies that have been reared from the ACG caterpillars.
Family/SubfamilyParasitisation ModeLife History StrategyGuild 1Notes
Braconidae
AgathidinaeEndoparasitoidKoinobiontEL/ML/LL-LL-Ex
BraconinaeEctoparasitoidIdiobiontLL-LL-ExEctoparasitoid
CardiochilinaeEndoparasitoidKoinobiontML/LL-LL-ExPolydnavirus
CheloninaeEndoparasitoidKoinobiontEgg-LL-ExPolydnavirus
EuphorinaeEndoparasitoidKoinobiontEL-ML/LL-ExOnly Meteorini here
HomolobinaeEndoparasitoidKoinobiontEL(egg)-LL-Ex
HormiinaeEctoparasitoidIdiobiontML/LL-ML/LL-Ex
IchneutinaeEndoparasitoidKoinobiontunknown
MacrocentrinaeEndoparasitoidKoinobiontEL/ML/LL-LL-Ex
MendesellinaeEndoparasitoidKoinobiontunknown?Polydnavirus
MicrogastrinaeEndoparasitoidKoinobiontEL-LL-ExPolydnavirus
MiracinaeEndoparasitoidKoinobiontunknownPolydnavirus
OrgilinaeEndoparasitoidKoinobiont?EL-?LL-ExSemiconcealed hosts (Orgilus) or exposed (Stantonia)
RhysipolinaeEctoparasitoidKoinobiontML/LL-PP-ExEctoparasitoid
RogadinaeEndoparasitoidKoinobiontML/LL-LL-Inemerges from mummified host caterpillar
SigalphinaeEndoparasitoidKoinobiontEL-LL-In
Ichneumonidae
AnomaloninaeEndoparasitoidKoinobiontEL/ML/LL-P-In
BanchinaeEndoparasitoidKoinobiontEL-LL-ExPolydnavirus. Hosts exposed (Banchini) or weakly concealed
CampopleginaeEndoparasitoidKoinobiontEL(egg)-ML/LL(P)-Ex(In)Polydnavirus
CremastinaeEndoparasitoidKoinobiontEL/?ML-LL/PP-ExWeakly concealed hosts
CryptinaeEctoparasitoidIdiobiontLL-LL-Ex
IchneumoninaeEndoparasitoidIdiobiontLL/P-PP-In
LycorininaeEctoparasitoidKoinobiontML-PP-ExParasitoid larva develops within lumen of host gut
MesochorinaeEndoparasitoidKoinobiontEL-LL-? 2obligate Hyperparasitoid
MetopiinaeEndoparasitoidKoinobiontLL-P-In
OphioninaeEndoparasitoidKoinobiontML/LL(EL)-LL-Ex
Phygadeuontinae 3EctoparasitoidIdiobiontLL/PP-LL/PP-ExWeakly concealed hosts
Pimplinae 4EndoparasitoidIdiobiontP-P-In or LL-LL-Ex
TryphoninaeEctoparasitoidKoinobiontML/LL-LL/PP-Ex
1 Principal guilds sensu [83,84] are coded as host stage attacked–host stage development completed in/on-where pupation occurs. Terms in parentheses indicate uncommon alternatives. Abbreviations: EL = early instar larva; Ex = external pupation; In = internal pupation; ML = middle instar larva; LL = late instar larva; P = pupa; PP = prepupa. 2 Parasitoid emergence is always from its primary parasitoid host cocoon (or puparium if a hyperparasitoid of Tachinidae). 3 Many Phygadeuontinae are also obligate or opportunistic pseudohyperparasitoids attacking their primary parasitoid host within the host caterpillar’s cocoon. 4 Pimplinae are represented here by several tribes. Pimplini are P-P-In endoparasitoids, while Ephialtini are LL-LL-Ex ectoparasitoids. The biology of members of the Theronia genus group is not well known, but at least some are probably obligate pseudohyperparasitoids attacking their primary parasitoid host within the host caterpillar’s cocoon.

4. Results

Here, we consider several aspects of the ACG data. Firstly, we provide a summary of the overall numbers of caterpillars reared, what emerged, the numbers of associations with parasitoids and food plants, and the numbers of hosts and parasitoids that have been successfully barcoded. The following two sections (Section 4.1, Section 4.2 and Section 4.3) consider the accumulation of parasitoid, host, and food plants through the course of the study and how this reflects the total rearing effort, as well as illustrating the likely unsuitability of the data to applying estimators of total species abundance. Section 4.5 shows that the numbers of bi- and tritrophic interactions discovered show little or no trends towards plateauing. The next three sections (Section 4.6, Section 4.7 and Section 4.8) deal with different aspects of parasitoid–host associations from the parasitoid point of view, especially potential differences between Braconidae and Ichneumonidae. Section 4.6 presents several summary food web metrics, Section 4.7 considers the host ranges and host utilisation of the different parasitoid subfamilies, and Section 4.8 specifically explores host specialisation, which has been suggested as likely being an important factor explaining tropical parasitoid abundance and diversity. Section 4.9 deals with the parasitoid assemblage size, that is, the number of parasitoid taxa that attack a given host.
The last two results sections deal with specific topics. Section 4.10 examines the parasitoids associated with caterpillars that are feeding on plant species that are not native to the Americas and, therefore, would not have been part of a pre-human era food web. In all cases, these exotic host plants had been colonised by indigenous lepidopterans. The final section (Section 4.11) considers the ichneumonid subfamily Mesochorinae separately, because they are obligate hyperparasitoids, primarily of other ichneumonoid primary parasitoids.

4.1. Overview of the ACG Rearing Data

A total of 531,453 individual caterpillars were reared successfully to yield an adult moth, butterfly, or parasitoid. Of the insect parasitoids, 70.2% were hymenopterans and 29.8% (34,294 rearings) were Diptera (Tachinidae). A few records lacking full associated data (e.g., identified food plant) were excluded. In addition, we excluded seven food categories (algae, dead leaves, epiphytic micro-plants, ferns, fungi, mosses, and lichens) for which the herbivore most likely browses on a range of species on its substrate; these constituted a small proportion of the total rearings. Data for two more identified host species were excluded, as they did not directly involve the consumption of green plants: dead mice that were being fed upon by Tineidae moth larvae and Apis mellifera (Hymenoptera: Apoidea), whose resources were being scavenged by a pyralid caterpillar. Data are not presented for the very few caterpillars (≪1%) killed by nematodes, as these were not identified to species. A summary of the successful caterpillar rearing results is provided in Table 2.
Basic rearing and association numbers per braconid and ichneumonid species are shown in Table 3 and Table 4, respectively. Collectively, Braconidae were reared from 40 different Lepidoptera families, and Ichneumonidae were reared from 32. The most commonly reared parasitoid subfamilies were the Microgastrinae in the Braconidae and the Campopleginae in the Ichneumonidae, and these were also the subfamilies represented by most reared species in their families.
The hosts from which ichneumonoids have been reared were feeding on 1338 species of food plants. However, the total number of food plants from which caterpillars were successfully reared was 2673, meaning that parasitoids had been reared from caterpillars feeding on only 50% of known caterpillar food plants.

4.2. Relationships Between Rearing Effort/Successes and Species Growth by Taxon

Sampling effort, here defined as the total number of successful parasitoid rearings, was strongly and linearly correlated with the number of parasitoid BINs detected in both families (Figure 3). The apparent difference in intercepts is not meaningful because both best-fit lines must go through the origin, and the slopes were not significantly different (Welch-modified two-sample t-test: t = 1.8524, d.f. = 21.41, and p = 0.078).

4.3. Species Accumulation Through the ACG Rearing Programme

The caterpillar rearing effort was not even over the course of the ACG study. Figure 4 and Figure 5 show the progressive accumulation of parasitoid species, their host caterpillars, and the latter’s food plant species for Braconidae and Ichneumonidae. Parasitoid species and food plant species both show some degree of plateauing, but the host species increase is nearly linear in both cases.

4.4. Chao Estimation of Likely Total Numbers of Species

Despite the species accumulation curves showing little indication of approaching an asymptote, Chao 1 estimators for all taxa deceptively suggest only moderate numbers of species awaiting discovery (Table 5 and Table 6). The near linearity of the massive discrepancy between reared and Malaise-trap-collected species [Sharkey et al., personal communication] indicates that caterpillar collection is failing to discover many species, and these hosts presumably consume foliage inaccessible to the parataxonomists who are restricted to collecting from vegetation between ground level and 3 m.
For the Braconidae (Table 5), the largest predicted increase (3.5) was for the Braconinae, which are a hugely species-rich group of ectoparasitoids of concealed hosts, e.g., [94], often with broad host ranges. The second highest (3.33) was for the Homolobinae, which are generally a fairly rarely collected group. For all but one other subfamily, the predicted increases were less than 1.6.
For the Ichneumonidae, the largest relative difference between the observed numbers of BINs and their respective Chao1 estimates was for Cryptinae, a huge species-rich subfamily of idiobiont ectoparasitoids of concealed hosts, often with broad host ranges. They are represented by 11 BINs based on a total of only 13 rearings with full data, so there were many singletons. For all other subfamilies, the predicted increases were less than 1.6.
In the case of the braconid subfamily Rogadinae, for example, there are currently (as of October 2024) 230 BINs on BOLD from the ACG and 373 from the whole of the country, so the ACG rearing programme is missing many species that we know to be present there. It seems likely that the small predicted Chao increases may be due to some non-independence of caterpillar rearings, with multiple individuals, if present on a plant, collected and reared, thus reducing the number of parasitoid singletons and doubletons in the dataset.

4.5. Bi- and Trophic Interactions

The numbers of different parasitoid–host interactions, host–food plant interactions, and tritrophic interactions are presented separately for each braconid subfamily (Table 7) and ichneumonid subfamily (Table 8), and the accumulation of bi- and tritrophic interactions with the number of rearings is shown for both families combined in Figure 6.
For most subfamilies, the number of unique parasitoid–food plant associations was somewhat larger than the number of parasitoid–host associations. For the Braconidae and Ichneumonidae, respectively, the mean difference was 1.1 (range 0.88–1.7) and 1.1 (range: 0.81–1.53). The numbers of host–food plant interactions were similarly larger than the number of parasitoid–food plant interactions (Braconidae: mean = 1.1, range 1.0–1.36; Ichneumonidae: mean = 1.1, range 0.92–1.32). The mean number of tritrophic interactions per parasitoid species did not differ significantly between the two parasitoid families (Welch two-sample t-test, t = 0.39, d.f. = 23.142, p = 0.7).
Following a slight indication of plateauing at 4000 rearings (c. 1994), there was no continuation of that trend, as the interactions subsequently increased with rearings in an essentially linear way (Figure 6).
Firstly, considering the first two trophic levels, the total number of Lepidoptera species (including those from which no parasitoids were reared) was 11,501, which collectively fed on 2673 food plant species, and the total number of Lepidoptera–food plant combinations detected was 37,481. Of these combinations, 6238 were recorded more than 10 times and 836 were recorded more than 100 times.
We examined unique tritrophic interactions in the dataset, limiting our samples to only those parasitoid species that had been reared on more than ten occasions. For the Ichneumonidae, only six species fell into this category (Castrosion reneiDHJ02 (Anomaloninae) (15 rearings), Lissonota Janzen03 (Banchinae) (15 rearings), ‘Gauld06’ (Campopleginae) (12 rearings), Eiphosoma kelpanum (Cremastinae) (46 rearings), Leurus hugokonsi (Metopiinae) (17 rearings), and Enicospilus chiriquensis (Ophioninae) (13 rearings)). However, for the Braconidae, 1056 species fell into this category. The vast majority of these braconids belong to Microgastrinae, with the others being Rogadinae (eight species), Orgilinae (seven species), and Euphorinae (Meteorus) (two species). The notable ones among these (all belonging to the Microgastrinae) were Hypomicrogaster luisi, which was reared in a single tritrophic relationship 250 times; Hypomicrogaster Whitfield08, which was reared 212 times; Parapanteles tessares, which was reared 157 times; Hypomicrogaster OVRGDHJ06, which was reared 132 times; Diolcogaster Choi52 (Microgastrinae), which was reared 112 times; Hypomicrogaster OVRGDHJ03, which was reared 108 times.
The mean numbers of unique bi- and tritrophic interactions for ichneumonid subfamilies were larger than for braconid subfamilies (bitrophic: 1.93 vs. 2.76; tritrophic: 2.71 vs. 3.52, respectively), but the differences were not significantly different (t-tests). With a generalised linear model including the number of rearings and BINs (without interactions), there was a weak indication of an effect (p = 0.052).

4.6. Food Web Metrics

Table 9 presents some frequently used food web statistics; see [14,61,95,96] for the Braconidae and Ichneumonidae. At the parasitoid family level, there was considerable evidence of compartmentalisation, while both connectance and realised connectance were very low. The smaller number of compartments for the Ichneumonidae likely reflects the smaller number of rearings in the dataset; otherwise, the calculated indices for the two families are broadly similar. Figure 7 shows an example food web for the braconid subfamily Orgilinae.

4.7. Parasitoid Host Ranges

The numbers of host species attacked ranged from 1 to 76, and from 1 to 39, for the Braconidae (Table S7) and Ichneumonidae (Table S8), respectively. All of the included braconid subfamilies, and 37 of the 41 included ichneumonid subfamilies, had more than one host species. The mean host ranges were 2.40 and 2.68 for the braconids and ichneumonids, respectively, but these were not statistically significantly different (Mann–Whitney U test, W = 516220, and p = 0.0505).

4.7.1. Comparative Utilisation of Host Families by Braconidae and Ichneumonidae

We examined the number of rearings and species for each parasitoid subfamily from the host families.
Visual inspection of Figure 8 suggests that the rank order of host families might reflect their body size. For example, members of the ichneumonid subfamily Ophioninae, which are generally the largest of those ichneumonids that attack exposed caterpillars, show a strong association with hosts in the families Lasiocampidae, Saturniidae, and Sphingidae (see Figure 10 below). Further, 11 host families (Attevidae, Cosmopterigidae, Doidae, Eupterotidae, Gracillariidae, Immidae, Oecophoridae, Pieridae, Psychidae, Pterophoridae, and Sematuridae) were only attacked by Braconidae, and several of these are also generally smaller bodied. We therefore tested whether the mean size (forewing length) of hosts differed between the two parasitoid families. The forewing length for the hosts of Ichneumonidae was highly significantly larger than that of the hosts attacked by Braconidae (t = 9.27, d.f. = 24,825, and p ≪ 0.01) (Figure 9).

4.7.2. Utilisation of Host Families by Parasitoid Subfamilies

Ichneumonoids were reared from exophytic caterpillars belonging to 40 different host families, with Braconidae reared from all of them but Ichneumonidae reared from only 32 of them. Summary braconid and ichneumonid rearing and larval food plant families and species data for each host family are presented in Tables S9 and S10, respectively, and presented as mosaic plots separately for the two parasitoid families in Figure 10 and Figure 11, respectively.
Figure 10. Mosaic plot showing the numbers of rearings of each braconid subfamily from each host family. Parasitoid subfamilies with fewer than 15 rearings, and host families with fewer than 15 parasitisation records, are excluded. (Abbreviations: Agath = Agathidinae; Br = Braconinae; C = Cardiochilinae; Ch = Cheloninae; Eu = Euphorinae; H = Homolobinae; Ho = Hormiinae; Mac = Macrocentrinae; O = Orgilinae; R = Rhysipolinae; Ro = Rogadinae).
Figure 10. Mosaic plot showing the numbers of rearings of each braconid subfamily from each host family. Parasitoid subfamilies with fewer than 15 rearings, and host families with fewer than 15 parasitisation records, are excluded. (Abbreviations: Agath = Agathidinae; Br = Braconinae; C = Cardiochilinae; Ch = Cheloninae; Eu = Euphorinae; H = Homolobinae; Ho = Hormiinae; Mac = Macrocentrinae; O = Orgilinae; R = Rhysipolinae; Ro = Rogadinae).
Diversity 16 00683 g010
Considerable host specialisation at the family level is apparent. Hesperiidae were attacked almost exclusively by Euphorinae (Meteorinae) and Microgastrinae among the braconids and by Campopleginae and Cremastinae among the ichneumonids. Considering only data with barcoded parasitoids, six host families (Apatelodidae (n = 37), Attevidae (n = 168), Lasiocampidae, Mimallonidae, Nolidae, and Pieridae) were only attacked by a species of Microgastrinae, whereas Zygaenidae were exclusively attacked by Rogadinae among the braconids and by Campopleginae among the ichneumonids.
Hesperiidae were attacked almost exclusively by Euphorinae (i.e., Microgastrinae) in the Braconidae and by Campopleginae and Cremastinae in the Ichneumonidae. Three host families were attacked almost exclusively by members of the Rogadinae, viz. Limacodidae, Mimallionidae, and Zygaenidae, the latter often being toxic [97].

4.8. Host Specialisation and Parasitoid Species

The numbers and proportions of parasitoid species that appear to be host specialists at either a species or genus level are given in Table 10 and Table 11 for the Braconidae and Ichneumonidae, respectively, and considering only those parasitoids that were reared more than five times. For the Braconidae, the highest level of host specialisation measured this way is for the Rogadinae (53% of species being monophagous and 66% being restricted to one host genus). Of the ichneumonid subfamilies, the Metopiinae appeared to be the most specialised at the host species level, with 48% of species being monophagous and 62% being restricted to a single host genus. Both Anomaloninae and Tryphoninae have approximately one-third of their species being monophagous, and only slightly more than that in terms of attacking members of a single host genus. However, the Ophioninae, with only 28% of the species being monophagous, appear to be much more taxonomically restricted at higher taxonomic levels, with only 69% recorded from a single genus.
In order to minimise the effects of the rare, but inevitable, misidentifications and of the simply atypical host associations, Table 10 and Table 11 also show the numbers of parasitoid species with greater than 95% of host records being from a single caterpillar species. The numbers of apparent host specialists at the species level differ little (Braconidae: 163 versus 144; Ichneumonidae: 47 versus 52) from those for apparently strictly monophagous species, suggesting that the former values are a fair reflection of host specialisation for each group.
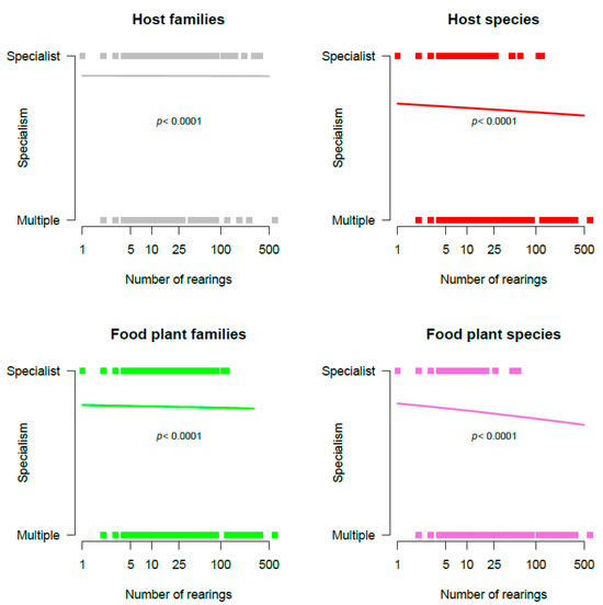
Host specialisation at the parasitoid species level is a continuum, so it is hard to decide what threshold number of rearings is necessary to determine specialisation. In Figure 12 (Braconidae) and Figure 13 (Ichneumonidae), we present logistic regression plots and associated statistics of the relationships between the number of rearings and whether only one or more than one association with the host group or host food plant group occur for each species.
In all cases, there was a statistically significant positive correlation between the number of recorded host or host food plant associations and the number of times a particular parasitoid species was reared. The correlations are higher for associations with host and food plant species than for their respective families, although, due to the large number of species reared a moderate number of times, the ‘slopes’ are not very steep. Some parasitoids are highly host-specific, for example, the ophionine ichneumonid Enicospilus lebophagus only attacks caterpillars of the saturniid moth Rothschildia lebeau, a species which feeds on a small variety of plant species. A small proportion of rearing records (estimated by D.H.J. as <1%) may be of host or plant associations outside of the normal range due to some combination of parataxonomist caterpillar identification error, a starving caterpillar accepting a non-standard host plant as food, or an adult lepidopteran accepting a non-standard host plant to oviposit on when it cannot find its normal one(s).
Therefore, to compare host specificity across parasitoid subfamilies in a way that minimises the effect of the above human and insect ‘errors’, and also to compensate somewhat for the sample size, we calculated the Simpson diversity index of the numbers of hosts (species and family) and host food plants (species and family) (Table 12 and Table 13). To minimise the bias from rarely collected hosts, we also excluded parasitoids that had associations with five or fewer hosts, host families, plant families, or plant species.
In nearly all cases, especially for frequently reared parasitoid subfamilies, the Simpson’s diversity of host species utilisation is markedly greater than for host family utilisation (mean (for calculable values): Braconidae = 4.66×, Ichneumonidae = 3.15×; the difference between parasitoid families was significant: t = 1.415, d.f. = 17.124, and p = 0.1751).

4.9. Parasitoid Assemblage Size

A parasitoid assemblage is the set of parasitoid species attacking a given host species. The numbers of braconid and ichneumonid species reared from each host species are provided in Table S10. The maximum number of braconid species reared from a single host species was 17 (Antaeotricha Janzen146, Depressariidae) and the maximum number of ichneumonids from one host was 12 (Ategumia lotanalis, Crambidae). There is a highly significant difference in the pattern of the assemblage size per host between parasitoid families (Figure 14 top), with braconids being much more frequently encountered from hosts that had only been reared up to three times, whereas ichneumonids were more frequently obtained from hosts that were reared many times. The data for the assemblage size with the number of rearings were necessarily strongly heteroscedastic (Figure 14, bottom).
Considering host families separately for both braconids and ichneumonids, the raw data were positively correlated (linear models, p ≪ 0.001). However, the amount of scatter and skewness does not make the plots easy to interpret, and for the braconids, there was one significant outlier (Cosmopterigidae: 1 species, 11 rearings, and 4 parasitoid species). Logging the explanatory variable (the number of rearings) produced fits with smaller (but not significantly so) mean absolute residual errors; the plot shows essentially linear, highly significant relationships for both families (Figure 15). However, the slopes did not differ significantly (Welch-modified two-sample t-test (t = −1.1118, d.f. = 66.8, and p = 0.27).

4.10. Lepidoptera and Their Parasitoids Associated with Introduced Plants

Of the 1340 species of food plants in the ACG, collectively belonging to 154 families, that gave rise to adult lepidopterans or parasitoids, 117 are introduced into Costa Rica from outside of the New World. There are also some food plants that are introduced from other parts of the New World, or even are known to have been introduced into the ACG from other parts of Costa Rica, but we have not included these records in our results in our category of “introduced” host plants because it is likely that at least some will have close relatives (and their associated herbivores and parasitoids) in or near the ACG.
Most of the introduced plants are either fruit crops such as citrus (Citrus spp.), golden apple (Spondias dulcis), Malay rose apple (Syzygium malaccense), and bananas (Musa spp.), or forage grasses (e.g., Cynodon nlemfuensis, Ischaemum timorense, and Megathyrsus maximus). In addition, they included coconut (Cocos nucifera), cloves (Syzygium aromaticum), taro (Colocasia esculenta), sugarcane (Saccharum spontaneum), the crop weed grass Rottboellia cochinchinensi, the timber (and ornamental) tree Gmelina arborea, and the ornamental trees Ficus benjamina, Spathodea campanulata, and Terminalia catappa.
Braconids were found to parasitise 42 species of caterpillars on 21 introduced species of plants (Table 14), and ichneumonid wasps were found to parasitise 24 species of caterpillars on a total of 17 introduced species of plants (Table 15).
Only seven hosts recorded from introduced plants were attacked by more than one species of braconid parasitoid (Antaeotricha Janzen727 (Depressariidae) (two), Antichloris eriphia (Erebidae: Arctiinae) (two), Cymaenes odilia trebius (Hesperiidae) (two), Lethata trochalosticta (Depressariidae) (three), Lerema lyde (Hesperiidae) (three), and Mythimnia sequax (Noctuidae) (three)), and only five hosts recorded from introduced plants were attacked by more than one species of ichneumonid parasitoid (Cymaenes lumina (Hesperiidae) (two), Mocis latipes (Erebidae) (two), Nyctelius nyctelius (Hesperiidae) (two), Papias allubita (Hesperiidae) (two) Phocides lilea (Hesperiidae) (four), Titya synoecura (Lasiocampidae) (two), and Erebidae sp., the same as 19-SRNP-26720 (two)). These hosts are all endemic to the Americas.
The numbers of host species belonging to all lepidopteran families on endemic and introduced food plants, and, of those, the numbers from which an ichneumonoid has been reared, are summarised in Table 16.

4.11. Mesochorinae—Obligate Hyperparasitoids

Of all rearings of ichneumonoids, 877 yielded mesochorine hyperparasitoids rather than the primary parasitoid, or, in cases where the primary host was gregarious, a mixture of adults of these plus mesochorines and sometimes also chalcidoid hyperparasitoids. Of these, 758 had full associated data (confidently assigned primary parasitoid, host lepidopteran, and host food plant species). Collectively these were recorded from 249 species of primary parasitoid and from 268 species of caterpillar.
Only 14 primary parasitoid subfamilies were found to be attacked by mesochorines (Figure 16), and by far the largest number of rearings were from microgastrine braconids (4.97% of rearings). In comparison, the proportions of the other primary parasitoid subfamilies attacked were generally far lower. Except for Cardiochilinae (4.65%), the rest ranged from 2.47% (Banchinae) down to 0.24% for Metopiinae. The majority of the microgastrines attacked were gregarious parasitoids.

5. Discussion

There are no directly comparable datasets from other tropical projects that will permit searching for generalities or differences as regards tropical parasitoid caterpillar food webs. The closest large surveys are probably those of Sheehan [98], Gentry and Dyer [99], Stireman and Singer [100], Barbosa et al. [101], Le Corff [102], and Hrcek et al. [103], which we briefly discuss below.
Sheehan’s [98] study analysed a database of reared Lepidoptera species that might prove to be suitable alternative hosts for gypsy moth (now called the spongy moth), Lymantria dispar (Erebidae), and brown-tailed moth, Euproctis chrysorrhoea (Erebidae), parasitoids in the northeastern U.S.A., assembled over an 18-year period from 1915 to 1933 and including data on 442,112 individual larvae. Gentry and Dyer [99] conducted a 4-year study at the La Selva Biological Station, Costa Rica, from 1996 to 1999, limiting sampling to common species, and their aim was to investigate the role of the caterpillar defence strategy in protection from parasitism. They found that 31% of caterpillars were parasitised, with most of the parasitism events due to Tachinidae (46%), followed by Braconidae (31%), nematodes (15%), and other Hymenoptera, i.e., Ichneumonidae, Eulophidae, Trichogrammatidae, Encyrtidae, and Chalcididae combined (8%). Stireman and Singer [100] studied folivorous herbivores and their tachinid parasitoids collected in a mesquite Prosopis spp. (Fabaceae)–oak (Quercus spp. (Fabaceae) savanna habitat in Arizona, U.S.A., over their 4-year sampling programme. Most of the approximately 8500 reared herbivores were caterpillars and, from these, they reared 169 species of Lepidoptera. Although they do not state how many plant species were involved, this number, 161, is provided by Dyer et al. [104]. Barbosa et al. [101] investigated parasitoids of caterpillars on Salix nigra (Salicaceae) and Acer negundo (Aceraceae). Le Corff et al.’s study [102] was aimed at answering a number of ecological questions regarding the parasitism rate of caterpillars feeding on two species of Quercus in Missouri, U.S.A. Hrcek et al. [103] reared a total of 39,094 caterpillars collected from the 38 focal tree species with a standardised search effort. The project was aimed particularly at comparing the parasitism of exposed and semiconcealed caterpillars.
From the above summary of the other large caterpillar–parasitoid rearing studies, it clear that none are directly comparable with that described here because they focused only on common species or only on caterpillars feeding on a few target plant species, there was a standardised search effort on different food plants, or because they covered far larger land areas. Given the detailed rearing record-keeping at the ACG, it might be possible to subsample the data in ways that would mimic these so that some quantitative comparisons could be made.
We believe the main message that our current analyses show is that, despite the enormous amount of effort provided by the team of parataxonomists at the ACG, as well as of the fully trained taxonomists who checked the identifications, there are many interactions at both trophic levels that we have not, as yet, come across. Even the discovery of food plants has yet to plateau, and it seems unlikely that there are many plant species that have no folivorous caterpillars.
The near-linear accumulation of tritrophic links in relation to effort (Figure 6) may partly reflect the ever-changing nature of the habitats that have been sampled. The ACG was already an extraordinarily complex patchwork of predators and prey, and is now strongly impacted by both climate change [42] and succession across this countryside. Habitats are changing constantly due to such things as occasional heavy and sometimes destructive rainstorms leading to tree falls and or landslides, logging operations, droughts, fires, and the use of the non-selective insecticide rotenone, etc. Hosts and parasitoids constantly move between habitats and microhabitats, and their populations fluctuate widely, so, sometimes, for periods of years, they may be so scarce that they go undetected or are even locally extinct, and subsequently recolonise a study site.
Importantly, the parasitoids that the rearings are detecting derive mainly from 0 to 3 m above the ground, whereas light trapping suggests that there are many species of caterpillars in the canopy, all of which will have parasitoids. There will be a constant “drift” of those higher-living parasitoids down to the understory, where they may occasionally successfully attack a caterpillar species that is not in their typical host range, though at low frequencies. Further, many parasitoid species simply normally exist at very low densities, both intrinsically and because they are very patchy in their distribution. Sampling this very fluid community structure is not at all like the situation encountered when constructing large caterpillar food webs in the extratropical region.
The distinctness of “species” across an order or even a genus is enormously variable. For example, within the family Sphingidae in the ACG, there are migrant, dormant, rare, common, invasive, aseasonal, seasonal, outbreak, periodic, etc., species that may or may not share particular parasitoid species. It will require decades more of inventory, as well as sampling at all heights above the ground and times of year, to detect robust patterns, but even those patterns may be constantly shifting with climate change and successional stages that are centuries in duration.

5.1. Parasitoid Host Range—The Generalist/Specialist Spectrum

Many workers have published on parasitoid host ranges, but, although some generalisations can be made, e.g., that koinobionts generally have narrower host ranges than idiobionts [77], much of what has been published is potentially/probably misleading [44]. However, caterpillar parasitoids are overwhelmingly koinobionts, and the numbers of ectoparasitoid idiobionts reared (Braconinae in the Braconidae, and Cryptinae and Phygadeuontinae in the Ichneumonidae) were too small to test this meaningfully.

5.1.1. Parasitoid Host Range

It would require a far more thorough analysis to assess this than we have here. However, in Table 10 and Table 11, we show that excluding the rarest 5% of host associations for a given parasitoid species only slightly increases the estimate of the number that are restricted to a single host species, indicating that the data are not much influenced by exceptional events.
However, here, we found large differences in the proportions of parasitoids being limited to hosts of either just one species or belonging to just one genus (Table 10 and Table 11). Considering only those reared many times, the most host-specific braconids belonged to the Rogadinae, whose members are particularly associated with chemically protected Zygaenidae and long-lived, as well as well-protected, Limacodidae [97,105,106,107,108,109]. Among the Ichneumonidae, 48% of Metopiinae species, which have the uncommon biology of attacking late larval instars (probably mostly the final instar) and completing development in the fully formed pupa, were only recorded from a single host species, perhaps suggesting specialisation to host location.
Shaw [44] discusses the meaning of parasitoid host ranges and makes a number of cogent points. Firstly, it has generally not been given a clear definition; secondly, that, within a habitat, parasitoids generally attack one or a few host species far more frequently, although they may occasionally attack a non-normal host, and sometimes this event is successful. Shaw concludes that it might be sensible to discount some genuine host records because they may be freak events [110], but does not specify how a cut-off should be chosen. Here, we chose to examine how large a difference to apparent host specialisation it made to exclude hosts that were only recorded on 5% of occasions or less. Since it made little difference, we conclude that, at least in terms of identifying specialists, it might be a better approach, especially if a host has been reared on a very large number of occasions.

5.1.2. Evidence for Tritrophic Specialisation

Janzen and Gauld [111] reported that most species of the campoplegine ichneumonid genus Cryptophion were monophagous, and that one species in particular (C. inaequalipes) only attacked its sphingid host caterpillar when it was feeding on one particular host plant species. However, additional rearing records since then have shown that it comprises three species (designated in Table S6 as inaequalipesDHJ01, inaequalipesDHJ02, and inaequalipesDHJ03), of which only the last is monophagous, with only seven records, all from Manduca peggyae, but these were collected from two different plant genera and species (Cestrum racemosum and Solanum arboreum). Thus, this particular story is no longer correct.
However, there are numerous examples of frequently reared parasitoids among the data that do seem to be tightly associated with both a single host species and a single one of its food plants (Section 4.5). Overall, the present data (limited to only those parasitoids that had been reared on more than 10 independent occasions) contained 1064 cases with unique tritrophic interactions.
Several examples were found among the Ichneumonidae, but those specialist species that had been reared on more than 10 occasions each belonged to a different subfamily. In contrast, among the Braconidae, the Microgastrinae dominated the tritrophic specialisation league and included all but 25 of the 1064 apparent tritrophic specialists. This is almost certainly the second most species-rich subfamily in the Americas [112], with over 1000 apparent specialists, i.e., 99%. It is tempting to suggest that their reliance on bracoviruses (the braconid polydnavirus ‘family’) to control host immunological defences and manipulate host development might be responsible. However, members of the ichneumonid subfamilies Campopleginae and Banchinae also have polydnaviruses, and there was no indication of especially high levels of host or tritrophic specialisation among these.
A caterpillar food plant study in Papua New Guinea [113] found that, of the 546 caterpillar species and 63 plant species at their study site, there were a total of 1679 trophic links between them. Some of the links were extremely rare, with 90% of individuals of a caterpillar feeding on only one of the potential host plant species. In that system, generalist caterpillars constituted only a tiny proportion of the total Lepidoptera species, and, overall, the caterpillars and other herbivorous insects displayed low host specificity [114,115], which is a very strong difference with the ACG inventory. Sudta et al. [116], based on an 18-year study of caterpillar feeding in Ecuador, presented evidence to support the “jack-of-all-trades” hypothesis, i.e., that generalists, although widespread, were locally less abundant than specialists.
Here, we found that, of the 11,501 species of reared lepidopterans, 6760 were reared from one food plant species (59%). This difference probably reflects the far larger scale of sampling in the present study and the fact that food plants were not limited as in the Papua New Guinea study. Our findings are far more consistent with those of Dyer et al. [104] and Forister et al. [117], who investigated caterpillar food breadth across a range of latitudes, with the former in the Americas and the latter also including Old World sites. Both of these found that food plant specialisation decreased significantly with latitude, with their tropical communities being characterised by the presence of many specialised species and a “long, thin tail” of more generalist ones.

5.2. Parasitoid Assemblage Size

Parasitoid assemblage size varied widely between caterpillar species, up to a maximum of 17 braconid species parasitising a single species of Depressariidae (Figure 14). For both parasitoid families, there was a strong positive correlation between the assemblage size and the number of rearings, which did not differ significantly between families. The relative proportion of ichneumonids to braconids reared from the more frequently reared host species shows a distinct increase (Figure 14, top).

5.3. Future Directions

We have only scratched the surface of the ACG PHP dataset. The tachinid fly data will be presented in a separate paper. However, the ichneumonoid data offer many interesting opportunities for further investigation. Apart from the detailed consideration of the biology particular species or groups, the data may, for example, reveal changes in species composition and food plant relationships over time, such as changes due to succession, reveal the seasonality of species and duration, and food plant population dynamics, spatial patterns and associations with particular habitats, etc.
The data suggest that there are numerous differences between parasitoid subfamilies, such as the host utilisation at the family level and host specialisation at the species and genus levels. The growing body of phylogenetic studies on both braconids [118,119] and ichneumonids [120,121] now provides a robust framework for examining the evolution of these traits.
It is very much hoped that the research at the ACG will continue for many more years, since, despite the enormous effort and expense so far, we are far from having a complete inventory of either the parasitoids or their hosts. It would be good to have studies on a similar scale in other tropical and temperate regions, and in different types of habitats, where the composition of taxonomic groups is different. At present, the ACG dataset is unique. These data are needed in order properly to assess such things as latitudinal gradients in host specialisation, which is still not fully resolved despite the many publications and assumptions [122].
It seems unlikely that any other tropical parasitoid rearing programme will ever match the scale of the ACG project. However, advances in molecular methods mean that it is relatively straightforward to detect and identify parasitoid juvenile stages within securely barcode-identified caterpillars (or other hosts), either with or without dissecting hosts. Therefore, broadly comparable data at other tropical and temperate locations could be obtained by collecting identified hosts and their food plants, and processing them accordingly. However, the cost of identifying and processing the many non-parasitised host caterpillars will be substantial, and there will always be new barcodes derived from parasites not yet known as adults, as well as new unbarcoded species of caterpillars.
Another item on the ecologist’s wish list might be to extend the study to parasitoids of other host groups, such as lepidopteran leaf miners and Coleoptera, and to other niches. There are large questions, for example, about the very high species richness of groups such as cerambycid and buprestid beetles, whose larvae live subcortically, often in dead or dying wood. Such food is sometimes devoid of secondary plant compounds, so any host specialisation is not as likely to reflect plant chemistry [123,124,125] but instead to a vast number of microniche traits, which are virtually impossible to measure. However, the logistics of sampling the larvae of wood-boring tropical insects is vastly more complex and difficult than locating, capturing, identifying, and rearing a leaf-eating caterpillar.

6. Conclusions

Tropical parasitoid communities pose serious challenges for community ecologists, both because of their enormous diversities and the similarly large numbers of host species and because of the latter’s food plant species. Further, many of the hosts and their food plants are uncommon. Such diversity means that it is difficult to obtain a meaningful snapshot of interspecific interactions in just one or a few seasons of fieldwork. What might seem to be the obvious solution, to extend sampling over many years, is confounded because of factors such as climate change, which has been noted in the ACG over the years, and succession in the case of non-climax communities. These and other factors mean that, even in a vast study such as the present one, the numbers of unique bi- and tritrophic interactions show signs of plateauing. Perhaps better comparisons between studies, especially between tropical and temperate systems, might be made by rarefying the more species-rich food webs.
Compared with temperate regions, little is known about year-on-year fluctuations in the abundances of herbivorous insects, and far less about those of their parasitoids. It is hoped that the further mining of the ACG dataset will help to provide some indications.
It was known from the beginning that the ACG was undergoing succession, and of course it would be wonderful if studies on a similar scale could be conducted in more climax/pristine habitats in the tropics, but there are many practical difficulties, not the least being that obtaining permissions to carry out such research in protected areas is probably impossible today. Given that, it is difficult to know how exactly the summary food web statistics presented here (Table 8) can be compared with those of other studies.
In the diverse tropics, many species of host and parasitoid are rarely encountered, and certain indices no doubt reflect this. However, further mining of the data, examining shorter time periods, treating separate collection station data separately, or focusing on a more limited subset of food plants and hosts might allow for more meaningful comparisons.
The near-linear increases in bi- and tritrophic interactions with rearing effort (and time) observed here can be interpreted in two ways. The first way is that the system is very much more complex than that which has been discovered thus far, which, given the scale of the ACG study, means that, here and in similar tropical systems, it is impossible to obtain a full picture. The second way is that we have actually already obtained a basic and representative picture, but one that is hidden by the large numbers of rare taxa. In the latter case, comparisons of food web metrics might better be restricted to subsamples excluding taxa with very few records, and perhaps doing the same to other published studies if the raw data are still available.
We have also noted that climate change has had obvious effects through the duration of the ACG study. Thus, comparisons might be carried out between data from different time slices of the programme.

Supplementary Materials

The following supporting information can be downloaded at: https://www.mdpi.com/article/10.3390/d16110683/s1, Table S1: Raw data of all Braconidae rearings, including the following fields (when available): the subfamily, genus, species, collection date, date of first eclosure, DHJPAR voucher number, BOLD BIN, host (herbivore) family, herbivore subfamily, herbivore species, herbivore voucher, plant (host) family, and food plant species; Table S2: As for S1, but for Ichneumonidae; Table S3: Host, herbivore, and food plant associations of the hyperparasitoid ichneumonid subfamily Mesochorinae; Table S4: Raw data for all reared, unparasitised Lepidoptera, with their BOLD BINs when available; Table S5: Braconid rearings with full tri-trophic data, and with additional fields for mesochorine hyperparasitoids if relevant, of bi-trophic wasp–host, bitrophic host–plant, wasp–plant, and tri-trophic interactions, and collection data as a Julian day; Table S6: As for S5, but for Ichneumonidae; Table S7: Caterpillar host range for each braconid species; Table S8: As for S7, but for Ichneumonidae; Table S9: Overview of rearing results by caterpillar host family for barcoded ichneumonoid parasitoids with complete tritrophic data; Table S10: Summary of braconid parasitoid assemblage size for each caterpillar host family; Table S11: As for S10, but for Ichneumonidae.

Author Contributions

Conceptualisation, D.L.J.Q., D.H.J., W.H., B.A.B., and P.D.N.H.; methodology, D.L.J.Q. and W.H.; software, D.L.J.Q.; validation, D.L.J.Q., B.A.B., D.H.J., M.J.S., and W.H.; formal analysis, D.L.J.Q.; resources, D.H.J., W.H., P.D.N.H., and B.A.B.; data curation, D.H.J., W.H., and P.D.N.H.; writing—original draft preparation, D.L.J.Q.; writing—review and editing, D.L.J.Q., B.A.B., D.H.J., W.H., P.D.N.H., M.J.S., and P.D.N.H.; visualisation, D.L.J.Q., D.H.J., and W.H.; supervision, B.A.B.; project administration, B.A.B.; funding acquisition, D.H.J., W.H., P.D.N.H., and B.A.B. All authors have read and agreed to the published version of the manuscript.

Funding

We gratefully acknowledge the unflagging support of the team of ACG parataxonomists, who found and reared the specimens used in this study, and the team of biodiversity managers, who protect and manage the ACG forests that are home to these wasps and their caterpillar hosts. The study has been supported by the U.S. National Science Foundation grants BSR 9024770 and DEB 9306296, 9400829, 9705072, 0072730, and 0515699, and grants from the Wege Foundation, International Conservation Fund of Canada, Jessie B. Cox Charitable Trust, Blue Moon Fund, Guanacaste Dry Forest Conservation Fund, Permian Global, individual donors, and the University of Pennsylvania (D.H.J. and W.H.). Mention of trade names or commercial products in this publication is solely for the purpose of providing specific information and does not imply recommendation or endorsement. All of the specimens were collected, exported, and DNA-barcoded under Costa Rican government permits issued to BioAlfa (Janzen and Hallwachs 2019) (R-054-2022-OT-CONAGEBIO; R-019-2019-CONAGEBIO; National Published Decree #41767), JICA-SAPI #0328497 (2014), and D.H.J. and W.H. (ACG-PI-036-2013; R-SINAC-ACG-PI-061-2021; Resolución Nº001-2004 SINAC; PI-028-2021). This research was funded by the National Research Council of Thailand (NRCT) (N42A650262) and Chulalongkorn University, RSPG-Chula, to B.A.B. D.L.J.Q. was supported by the Rachadaphisek Somphot Fund for postdoctoral fellowship, Graduate School, Chulalongkorn University. This study was also supported by the Government of Canada through its ongoing support to the Canadian National Collection, and by grants from Genome Canada and Ontario Genomics to P.D.N.H. in support of the Centre for Biodiversity Genomics at the University of Guelph, and to the Natural Sciences and Engineering Research Council of Canada. Sequence analysis was supported by the Walder Foundation and by a Transformation 2020 award to P.D.N.H. from the New Frontiers in Research Fund, while critical infrastructure at the CBG was acquired with grants from the Gordon and Betty Moore Foundation and the Canada Foundation for Innovation (CFI). A Major Science Infrastructure award from CFI sustains the CBG’s capacity to provide informatics and sequencing support.

Data Availability Statement

The caterpillar rearing data are available at Dan Janzen’s University of Pennsylvania web page, http://janzen.sas.upenn.edu (accessed on 29 June 2024) [JanzenHallw09database]. The DNA barcode sequences of the parasitoid wasps analysed, along with the specimen images and full collecting data, are available as a public dataset on BOLD (Braconidae: https://doi.org/10.5883/DS-ACGBRA; non-mesochorine Ichneumonidae: https://doi.org/10.5883/DS-ACGICH; Mesochorinae: https://doi.org/10.5883/DS-ACGMES).

Acknowledgments

We express our gratitude to Mark R. Shaw (Edinburgh) for his valuable, insightful discussions, and to David Orme (Imperial College London) for solving an annoying R programming problem.

Conflicts of Interest

The authors declare no conflicts of interest.

References

  1. Janzen, D.H. Setting up tropical biodiversity for conservation through non-damaging use: Participation by parataxonomists. J. Appl. Ecol. 2004, 1, 181–187. [Google Scholar] [CrossRef]
  2. Janzen, D.H. Ecology of dry-forest wildland insects in the Area de Conservación Guanacaste. In Biodiversity Conservation in Costa Rica: Learning the Lessons in a Seasonal Dry Forest; Frankie, G.W., Mata, A., Vinson, S.B., Eds.; University of California Press: Berkeley, CA, USA, 2004; pp. 80–96. [Google Scholar]
  3. Janzen, D.H.; Hallwachs, W. Biodiversity conservation history and future in Costa Rica: The case of Área de Conservación Guanacaste (ACG). In Costa Rican Ecosystems; Kappelle, M., Ed.; The University of Chicago Press: Chicago, IL, USA; London, UK, 2016; pp. 290–314. [Google Scholar]
  4. Janzen, D.H.; Hallwachs, W. Área de Conservación Guanacaste, northwestern Costa Rica: Converting a tropical national park to conservation via biodevelopment. Biotropica 2020, 52, 1017–1029. [Google Scholar] [CrossRef]
  5. Janzen, D.H.; Burns, J.M.; Cong, Q.; Hallwachs, W.; Dapkey, T.; Manjunath, R.; Hajibabaei, M.; Hebert, P.D.N.; Grishin, N.V. Nuclear genomes distinguish cryptic species suggested by their DNA barcodes and ecology. Proc. Natl. Acad. Sci. USA 2017, 114, 8313–8318. [Google Scholar] [CrossRef] [PubMed]
  6. New, T.R. Improving understanding of insect diversity. In Insect Diversity, Declines and Conservation in Australia. Fascinating Life Sciences; Springer: Cham, Switzerland, 2022; pp. 69–81. [Google Scholar]
  7. Basset, Y.; Novotny, V.; Miller, S.E.; Pyle, R. Quantifying biodiversity: Experience with parataxonomists and digital photography in Papua New Guinea and Guyana. BioScience 2000, 50, 899–908. [Google Scholar] [CrossRef]
  8. Janzen, D.H.; Hallwachs, W. Joining inventory by parataxonomists with DNA barcoding of a large complex tropical conserved wildland in northwestern Costa Rica. PLoS ONE 2011, 6, e18123. [Google Scholar] [CrossRef]
  9. Basset, Y.; Novotny, V.; Miller, S.E.; Weiblen, G.D.; Missa, O.; Stewart, A.J. Conservation and biological monitoring of tropical forests: The role of parataxonomists. J. Appl. Ecol. 2004, 41, 163–174. [Google Scholar] [CrossRef]
  10. Ward, D.F.; Stanley, M.C. The value of RTUs and parataxonomy versus taxonomic species. N. Z. Entomol. 2004, 27, 3–9. [Google Scholar] [CrossRef]
  11. Smith, M.A.; Eveleigh, E.S.; McCann, K.S.; Merilo, M.T.; McCarthy, P.C.; Van Rooyen, K.I. Barcoding a quantified food web: Crypsis, concepts, ecology and hypotheses. PLoS ONE 2011, 6, e14424. [Google Scholar] [CrossRef]
  12. Müller, C.B.; Adriaanse, I.C.T.; Belshaw, R.; Godfray, H.C.J. The structure of an aphid–parasitoid community. J. Anim. Ecol. 1999, 68, 346–370. [Google Scholar] [CrossRef]
  13. Dawah, H.A.; Hawkins, B.A.; Claridge, M.F. Structure of the parasitoid communities of grass-feeding chalcid wasps. J. Anim. Ecol. 1995, 64, 708–720. [Google Scholar] [CrossRef]
  14. Lewis, O.T.; Memmott, J.; Lasalle, J.; Lyal, C.H.C.; Whitefoord, C.; Godfray, H.C.J. Structure of a diverse tropical forest insect–parasitoid community. J. Anim. Ecol. 2002, 71, 855–873. [Google Scholar] [CrossRef]
  15. Morris, R.J.; Lewis, O.T.; Godfray, H.C.J. Experimental evidence for apparent competition in a tropical forest food web. Nature 2004, 428, 310–313. [Google Scholar] [CrossRef] [PubMed]
  16. Morris, R.J.; Lewis, O.T.; Godfray, H.C.J. Apparent competition and insect community structure: Towards a spatial perspective. Ann. Zool. Fenn. 2005, 42, 449–462. [Google Scholar]
  17. Memmott, J.; Godfray, H.C.J.; Gauld, I.D. The structure of a tropical host-parasitoid community. J. Anim. Ecol. 1994, 63, 521–540. [Google Scholar] [CrossRef]
  18. Morris, R.J.; Sinclair, F.H.; Burwell, C.J. Food web structure changes with elevation but not rainforest stratum. Ecography 2015, 38, 792–802. [Google Scholar] [CrossRef]
  19. Nether, M.C.; Dudek, J.; Buschini, M.L.T. Trophic interaction and diversity of cavity-nesting bees and wasps (Hymenoptera: Aculeata) in Atlantic forest fragments and in adjacent matrices. Apidologie 2019, 50, 104–115. [Google Scholar] [CrossRef]
  20. Ratnasingham, S.; Hebert, P.D.N. A DNA-based registry for all animal species: The Barcode Index Number (BIN) system. PLoS ONE 2013, 8, e66213. [Google Scholar] [CrossRef]
  21. Hausmann, A.; Godfray, H.C.J.; Huemer, P.; Mutanen, M.; Rougerie, R.; Van Nieukerken, E.J.; Ratnasingham, S.; Hebert, P.D.N. Genetic patterns in European geometrid moths revealed by the Barcode Index Number (BIN) system. PLoS ONE 2013, 8, e84518. [Google Scholar] [CrossRef]
  22. Hendrich, L.; Morinière, J.; Haszprunar, G.; Hebert, P.D.N.; Hausmann, A.; Köhler, F.; Balke, M. A comprehensive DNA barcode database for Central European beetles with a focus on Germany: Adding more than 3500 identified species to BOLD. Mol. Ecol. Resour. 2015, 15, 795–818. [Google Scholar] [CrossRef]
  23. Prieto, C.; Faynel, C.; Robbins, R.; Hausmann, A. Congruence between morphology-based species and Barcode Index Numbers (BINs) in Neotropical Eumaeini (Lycaenidae). PeerJ 2021, 9, e11843. [Google Scholar] [CrossRef]
  24. Dincă, V.; Zakharov, E.V.; Hebert, P.D.N.; Vila, R. Complete DNA barcode reference library for a country’s butterfly fauna reveals high performance for temperate Europe. Proc. R. Soc. B Biol. Sci. 2011, 278, 347–355. [Google Scholar] [CrossRef] [PubMed]
  25. Huemer, P.; Mutanen, M.; Sefc, K.M.; Hebert, P.D.N. Testing DNA barcode performance in 1000 species of European Lepidoptera: Large geographic distances have small genetic impacts. PLoS ONE 2014, 9, e115774. [Google Scholar] [CrossRef] [PubMed]
  26. Huemer, P.; Karsholt, O.; Mutanen, M. DNA barcoding as a screening tool for cryptic diversity: An example from Caryocolum, with description of a new species (Lepidoptera, Gelechiidae). Zookeys 2014, 404, 91–111. [Google Scholar] [CrossRef] [PubMed]
  27. Knebelsberger, T.; Landi, M.; Neumann, H.; Kloppmann, M.; Sell, A.F.; Campbell, P.D.; Laakmann, S.; Raupach, M.J.; Carvalho, G.R.; Costa, F.O. A reliable DNA barcode reference library for the identification of the North European shelf fish fauna. Mol. Ecol. Resour. 2014, 14, 1060–1071. [Google Scholar] [CrossRef] [PubMed]
  28. Nneji, L.M.; Adeola, A.C.; Wang, Y.-Y.; Ajao, A.M.; Anyaele, O.; Malann, Y.; Olatunde, O.; Nneji, I.C.; Ayoola, A.O.; Rahman, M.M.; et al. Testing the effectiveness of DNA barcoding for biodiversity assessment of moths from Nigeria. Diversity 2020, 12, 85. [Google Scholar] [CrossRef]
  29. Toro-Delgado, E.; Hernández-Roldán, J.; Dincă, V.; Vicente, J.C.; Shaw, M.R.; Quicke, D.L.J.; Vodă, R.; Albrecht, M.; Fernández-Triana, J.; Vidiella, B.; et al. Butterfly–parasitoid–hostplant interactions in Western Palaearctic Hesperiidae: A DNA barcoding reference library. Zool. J. Linn. Soc. 2022, 196, 757–774. [Google Scholar] [CrossRef]
  30. Sharkey, M.J.; Janzen, D.H.; Hallwachs, W.; Chapman, E.G.; Smith, M.A.; Dapkey, T.; Brown, A.; Ratnasingham, S.; Naik, S.; Manjunath, R.; et al. Minimalist revision and description of 403 new species in 11 subfamilies of Costa Rican braconid parasitoid wasps, including host records for 219 species. ZooKeys 2021, 1013, 1–665. [Google Scholar]
  31. Janzen, D.H.; Hajibabaei, M.; Burns, J.M.; Hallwachs, W.; Remigio, E.; Hebert, P.D.N. Wedding biodiversity inventory of a large and complex Lepidoptera fauna with DNA barcoding. Philos. Trans. R. Soc. B Biol. Sci. 2005, 360, 1835–1845. [Google Scholar] [CrossRef]
  32. Zamani, A.; Vahtera, V.; Sääksjärvi, I.E.; Scherz, M.D. The omission of critical data in the pursuit of “revolutionary” methods to accelerate the description of species. Syst. Entomol. 2021, 46, 1–4. [Google Scholar] [CrossRef]
  33. Sharkey, M.J.; Brown, B.; Baker, A.; Mutanen, M. Response to Zamani et al. (2020): The omission of critical data in the pursuit of “revolutionary” methods to accelerate the description of species. ZooKeys 2021, 1033, 191–201. [Google Scholar] [CrossRef]
  34. Fontes, J.T.; Vieira, P.E.; Ekrem, T.; Soares, P.; Costa, F.O. BAGS: An automated Barcode, Audit & Grade System for DNA barcode reference libraries. Mol. Ecol. Resour. 2021, 21, 573–583. [Google Scholar] [PubMed]
  35. Hebert, P.D.N.; Penton, E.H.; Burns, J.M.; Janzen, D.H.; Hallwachs, W. Ten species in one: DNA barcoding reveals cryptic species in the neotropical skipper butterfly Astraptes fulgerator. Proc. Natl. Acad. Sci. USA 2004, 101, 14812–14817. [Google Scholar] [CrossRef] [PubMed]
  36. Smith, M.A.; Woodley, N.E.; Janzen, D.H.; Hallwachs, W.; Hebert, P.D.N. DNA barcodes reveal cryptic host-specificity within the presumed polyphagous members of a genus of parasitoid flies (Diptera: Tachinidae). Proc. Natl. Acad. Sci. USA 2006, 103, 3657–3662. [Google Scholar] [CrossRef] [PubMed]
  37. Smith, M.A.; Rodriguez, J.J.; Whitfield, J.B.; Deans, A.R.; Janzen, D.H.; Hallwachs, W.; Hebert, P.D.N. Extreme diversity of tropical parasitoid wasps exposed by iterative integration of natural history, DNA barcoding, morphology, and collections. Proc. Natl. Acad. Sci. USA 2008, 105, 12359–12364. [Google Scholar] [CrossRef] [PubMed]
  38. Sheikh, S.I.; Ward, A.K.G.; Zhang, Y.M.; Davis, C.K.; Zhang, L.; Egan, S.P.; Forbes, A.A. Ormyrus labotus (Hymenoptera: Ormyridae): Another generalist that should not be a generalist is not a generalist. Insect Syst. Divers. 2022, 6, 8. [Google Scholar] [CrossRef]
  39. Kaartinen, R.; Stone, G.N.; Hearn, J.; Lohse, K.; Roslin, T. Revealing secret liaisons: DNA barcoding changes our understanding of food webs. Ecol. Entomol. 2010, 35, 623–638. [Google Scholar] [CrossRef]
  40. Hrček, J.; Godfray, H.C.J. What do molecular methods bring to host–parasitoid food webs? Trends Parasitol. 2015, 31, 30–35. [Google Scholar] [CrossRef]
  41. Salcido, D.M.; Forister, M.L.; Garcia Lopez, H.; Dyer, L.A. Loss of dominant caterpillar genera in a protected tropical forest. Sci. Rep. 2020, 10, 422. [Google Scholar] [CrossRef]
  42. Janzen, D.H.; Hallwachs, W. To us insectometers, it is clear that insect decline in our Costa Rican tropics is real, so let’s be kind to the survivors. Proc. Natl. Acad. Sci. USA 2021, 118, e2002546117. [Google Scholar] [CrossRef]
  43. Noyes, J.S. The reliability of published host–parasitoid records: A taxonomist’s view. Norw. J. Agric. Sci 1994, 16, 59–69. [Google Scholar]
  44. Shaw, M.R. Parasitoid host ranges. In Parasitoid Community Ecology; Hawkins, B.A., Sheehan, W., Eds.; Oxford University Press: Oxford, UK, 1994; pp. 111–144. [Google Scholar]
  45. Shaw, M.R. Host ranges of Aleiodes species (Hymenoptera: Braconidae), and an evolutionary hypothesis. In Parasitic Wasps: Evolution, Systematics, Biodiversity and Biological Control; Melika, G., Thuroczy, C., Eds.; Agroinform: Budapest, Hungary, 2002; pp. 321–327. [Google Scholar]
  46. Shaw, M.R. Obtaining, recording and using host data for reared parasitoid wasps (Hymenoptera). Br. J. Entomol. Nat. Hist. 2023, 36, 205–213. [Google Scholar]
  47. Fernandez-Triana, J.L.; Whitfield, J.B.; Rodriguez, J.J.; Smith, M.A.; Janzen, D.H.; Hallwachs, W.; Hajibabaei, M.; Burns, J.M.; Solis, M.A.; Brown, J.; et al. Review of Apanteles sensu stricto (Hymenoptera, Braconidae, Microgastrinae) from Area de Conservación Guanacaste, northwestern Costa Rica, with keys to all described species from Mesoamerica. Zookeys 2014, 383, 1–565. [Google Scholar] [CrossRef] [PubMed]
  48. Arias-Penna, D.C.; Whitfield, J.B.; Janzen, D.H.; Hallwachs, W.; Dyer, L.A.; Smith, M.A.; Hebert, P.D.; Fernández-Triana, J.L. A species-level taxonomic review and host associations of Glyptapanteles (Hymenoptera, Braconidae, Microgastrinae) with an emphasis on 136 new reared species from Costa Rica and Ecuador. ZooKeys 2019, 890, 1–685. [Google Scholar] [PubMed]
  49. Fernandez-Triana, J.L.; Shimbori, E.M.; Whitfield, J.B.; Penteado-Dias, A.M.; Shaw, S.R.; Boudreault, C.; Sones, J.; Perez, K.; Brown, A.; Manjunath, R.; et al. A revision of the parasitoid wasp genus Alphomelon Mason with the description of 30 new species (Hymenoptera, Braconidae). ZooKeys 2023, 1175, 5–162. [Google Scholar] [PubMed]
  50. Sharkey, M.J.; Baker, A.; McCluskey, K.; Smith, A.; Naik, S.; Ratnasingham, S.; Manjunath, R.; Perez, K.; Sones, J.; D’Souza, M.; et al. Minimalist revision of Mesochorus Gravenhorst, 1829 (Hymenoptera: Ichneumonidae: Mesochorinae) from Área de Conservación Guanacaste, Costa Rica, with 158 new species and host records for 129 species. Rev. Biol. Trop. 2023, 71, e53316. [Google Scholar] [CrossRef]
  51. Murphy, P.G.; Lugo, A.E. Ecology of tropical dry forest. Annu. Rev. Ecol. Syst. 1986, 17, 67–88. [Google Scholar] [CrossRef]
  52. Bullock, S.H.; Mooney, H.A.; Medina, E. Seasonally Dry Tropical Forests; Cambridge University Press: Cambridge, UK, 1995; pp. 1–450. [Google Scholar]
  53. Janzen, D.H.; Hallwachs, W. Caterpillar Rearing Voucher Databases for the Area de Conservación in Northwestern Costa Rica. Available online: http://janzen.sas.upenn.edu/caterpillars/database.htm (accessed on 28 June 2024).
  54. Shaw, M.R. Rearing Parasitic Hymenoptera; Amateur Entomologist’s Society: Orpington, UK, 1997; pp. 1–46. [Google Scholar]
  55. Fleming, A.J.; Woodley, N.; Smith, M.A.; Hallwachs, W.; Janzen, D.H. Revision of Belvosia Robineau-Desvoidy (Diptera, Tachinidae) and 33 new species from Area de Conservación Guanacaste in northwestern Costa Rica with a key to known North and Mesoamerican species. Biodivers. Data J. 2023, 11, e103667. [Google Scholar]
  56. Gamez, R.; Obando, V.; Zamora, N. El INBio: Su labor innovadora en el conocimiento y el uso sostenible de la biodiversidad en Costa Rica. Rev. Cienc. Ambient. 2024, 58, 1–38. [Google Scholar] [CrossRef]
  57. Folmer, O.; Black, M.; Hoeh, W.; Lutz, R.; Vrijenhoek, R. DNA primers for amplification of mitochondrial cytochrome c oxidase subunit I from diverse metazoan invertebrates. Mol. Mar. Biol. Biotechnol. 1994, 3, 294–299. [Google Scholar]
  58. Janzen, D.H.; Hallwachs, W. DNA barcoding the Lepidoptera inventory of a large complex tropical conserved wildland, Area de Conservacion Guanacaste, northwestern Costa Rica. Genome 2016, 59, 641–660. [Google Scholar] [CrossRef]
  59. R Development Core Team. R: A Language and Environment for Statistical Computing; R Foundation for Statistical Computing: Vienna, Austria, 2016; Available online: https://cran.r-project.org (accessed on 30 July 2024).
  60. Godfray, H.C.J. Parasitoids: Behavioral and Evolutionary Ecology; Princeton University Press: Princeton, NJ, USA, 1994; pp. 1–473. [Google Scholar]
  61. Dormann, C.F.; Fründ, J.; Blüthgen, N.; Gruber, B. Indices, graphs and null models: Analyzing bipartite ecological networks. Open Ecol. J. 2009, 2, 7–24. [Google Scholar] [CrossRef]
  62. Allaire, J.; Ellis, P.; Gandrud, C.; Kuo, K.; Lewis, B.; Owen, J.; Russell, K.; Rogers, J.; Sese, C.; Yetman, C.; et al. Package ‘networkD3’. D3 JavaScript Network Graphs from R. 2017. Available online: https://github.com/eliztang/networkD3 (accessed on 27 June 2024).
  63. Arnholt, A.; Evans, B. BSDA: Basic Statistics and Data Analysis, R package version 1.2.0.; R Foundation for Statistical Computing: Vienna, Austria, 2022. [Google Scholar]
  64. Chao, A. Non-parametric estimation of the number of classes in a population. Scand. J. Stat. 1984, 11, 265–270. [Google Scholar]
  65. García-Barros, E. Multivariate indices as estimates of dry body weight for comparative study of body size in Lepidoptera. Nota Lepidopterol. 2015, 38, 59–74. [Google Scholar] [CrossRef]
  66. Heppner, J.B. New Birthana from Taiwan (Lepidoptera: Immidae). Trop. Lepid. Res. 1990, 1, 39–41. [Google Scholar]
  67. Danilevskii, A.S.; Kumetso, V.I. 22. Family Choreutidae. In Keys to the Insects of the European Part of the USSR IV; Brill: Leiden, The Netherlands, 1990; p. 137. [Google Scholar]
  68. Scoble, M.J. An identification guide to the Hedylidae (Lepidoptera: Hedyloidea). Insect Syst. Evol. 1990, 21, 121–158. [Google Scholar] [CrossRef]
  69. Rota, J. A new genus and new species of metalmark moths (Lepidoptera: Choreutidae) from Costa Rica. Zootaxa 2008, 1933, 12–18. [Google Scholar] [CrossRef]
  70. Herbin, D.; Mielke, C.G.C. Preliminary list of Apatelodidae (Lepidoptera: Heterocera, Bombycoidea) from the Northern Brazilian state of Maranhão with description of nine new species. Eur. Entomol. 2018, 9, 105–140. [Google Scholar]
  71. Herbin, D.; Beccacece, H.M. Description of three new species of Apatelodidae from the southern neotropical region (Lepidoptera, Bombycoidea). ZooKeys 2018, 788, 3–17. [Google Scholar] [CrossRef]
  72. Huang, S.-Y.; Yu, T.-T.; Fan, X.-L.; Wang, M. Description of Moca austrasinensis sp. nov., with the first record of Imma lathidora Meyrick, 1914 from mainland China (Lepidoptera, Immidae). Zootaxa 2019, 4674, 369–374. [Google Scholar] [CrossRef]
  73. Hawkins, B.A.; Shaw, M.R.; Askew, R.R. Relations among assemblage size, host specialization, and climatic variability in North American parasitoid communities. Am. Nat. 1992, 139, 58–79. [Google Scholar] [CrossRef]
  74. Broad, G.R.; Shaw, M.R.; Fitton, M.G. Ichneumonid Wasps (Hymenoptera: Ichneumonidae): Their Classification and Biology; Royal Entomological Society: St Albans, UK, 2023; pp. 1–417. [Google Scholar]
  75. Shaw, M.R. On[e] evolution of endoparasitism: The bioilogy of some genera of Rogadinae (Braconidae). Contrib. Am. Entomol. Inst. 1983, 20, 307–328. [Google Scholar]
  76. Quicke, D.L.J. Parasitic Wasps; Chapman & Hall: London, UK, 1997; 470p. [Google Scholar]
  77. Quicke, D.L.J. The Braconid and Ichneumonid Parasitic Wasps: Biology, Systematics, Evolution and Ecology; Wiley Blackwell: Oxford, UK, 2015; pp. 1–688. [Google Scholar]
  78. Askew, R.R.; Shaw, M.R. Parasitoid communities: Their size, structure and development. In Insect Parasitoids; Waage, J., Greathead, D., Eds.; Academic Press: London, UK, 1986; pp. 225–264. [Google Scholar]
  79. Sato, H. Parasitoid complexes of lepidopteran leaf miners on oaks (Quercus dentata and Quercus mongolica) in Hokkaido, Japan. Ecol. Res. 1990, 5, 1–8. [Google Scholar] [CrossRef]
  80. Sheehan, W.; Hawkins, B.A. Attack strategy as an indicator of host range in metopiine and pimpline Ichneumonidae (Hymenoptera). Ecol. Entomol. 1991, 16, 129–131. [Google Scholar] [CrossRef]
  81. Hawkins, B.A. Pattern and Process in Host-Parasitoid Interactions; Cambridge University Press: Cambridge, UK, 1994; pp. 1–190. [Google Scholar]
  82. Althoff, D.M. Does parasitoid attack strategy influence host specificity? A test with New World braconids. Ecol. Entomol. 2003, 28, 500–502. [Google Scholar] [CrossRef]
  83. Mills, N.J. Parasitoid guilds, life-styles, and host ranges in the parasitoid complexes of tortricoid hosts (Lepidoptera: Tortricoidea). Environ. Entomol. 1992, 21, 230–239. [Google Scholar] [CrossRef]
  84. Mills, N.J. Parasitoid guilds: Defining the structure of the parasitoid communities of endopterygote insect hosts. Environ. Entomol. 1994, 23, 1066–1083. [Google Scholar] [CrossRef]
  85. Blunck, H. Zur Kenntnis der Hyperparasiten von Pieris brassicae L. Z. Angew. Entomol. 1944, 30, 418–491. [Google Scholar] [CrossRef]
  86. Whitfield, J. Parasitoids, polydnaviruses and endosymbiosis. Parasitol. Today 1990, 6, 381–384. [Google Scholar] [CrossRef]
  87. Whitfield, J.B. Molecular and morphological data suggest a common origin for the polydnaviruses among braconid wasps. Naturwissenschaften 1997, 84, 502–507. [Google Scholar] [CrossRef]
  88. Whitfield, J.B. Estimating the age of the polydnavirus/braconid wasp symbiosis. Proc. Natl. Acad. Sci. USA 2002, 99, 7508–7513. [Google Scholar] [CrossRef]
  89. Whitfield, J.B.; O’Connor, J.M. Molecular systematics of wasp and polydnavirus genomes and their coevolution. In Parasitoid Viruses: Symbionts and Pathogens; Beckage, N.E., Drezen, J.-M., Eds.; Elsevier: London, UK, 2012; pp. 89–97. [Google Scholar]
  90. Sharanowski, B.J.; Ridenbaugh, R.D.; Piekarski, P.K.; Broad, G.R.; Burke, G.R.; Deans, A.R.; Lemmon, A.R.; Lemmon, E.C.M.; Diehl, G.J.; Whitfield, J.B.; et al. Phylogenomics of Ichneumonoidea (Hymenoptera) and implications for evolution of mode of parasitism and viral endogenization. Mol. Phylogenetics Evol. 2021, 156, 107023. [Google Scholar] [CrossRef] [PubMed]
  91. Strand, M.R.; Burke, G.R. Polydnaviruses as symbionts and gene delivery systems. PLoS Pathog. 2012, 8, e1002757. [Google Scholar] [CrossRef] [PubMed]
  92. Strand, M.R.; Burke, G.R. Polydnavirus-wasp associations: Evolution, genome organization, and function. Curr. Opin. Virol. 2013, 3, 587–594. [Google Scholar] [CrossRef] [PubMed]
  93. Muller, H.; Chebbi, M.A.; Bouzar, C.; Périquet, G.; Fortuna, T.; Calatayud, P.-A.; Le Ru, B.; Obonyo, J.; Kaiser, L.; Drezen, J.-M.; et al. Genome-wide patterns of bracovirus chromosomal integration into multiple host tissues during parasitism. J. Virol. 2021, 95, 10–1128. [Google Scholar] [CrossRef] [PubMed]
  94. Quicke, D.L.J.; Sharkey, M.J.; Janzen, D.; Hallwachs, W.; Hebert, P.D.N.; Butcher, B.A. A new genus and species of Neotropical gregarious braconine parasitoid (Hymenoptera: Braconidae) of a caterpillar (Lepidoptera: Hesperiidae). Zootaxa 2020, 4816, 370–376. [Google Scholar] [CrossRef]
  95. Bersier, L.F.; Banasĕk-Richter, C.; Cattin, M.F. Quantitative descriptors of food-web matrices. Ecology 2002, 83, 2394–2407. [Google Scholar] [CrossRef]
  96. Gilbert, A.J. Connectance indicates the robustness of food webs when subjected to species loss. Ecol. Indic. 2009, 9, 72–80. [Google Scholar] [CrossRef]
  97. Quicke, D.L.J.; Ghafouri Moghaddam, M.; Butcher, B.A. Dietary challenges for parasitoid wasps (Hymenoptera: Ichneumonoidea); coping with toxic hosts, or not? Toxins 2023, 15, 424. [Google Scholar] [CrossRef]
  98. Sheehan, W. Parasitoid community structure: Effects of host abundance, phylogeny, and ecology. In Parasitoid Community Ecology; Hawkins, B.A., Sheehan, W., Eds.; Oxford University Press: Oxford, UK, 1994; pp. 90–107. [Google Scholar]
  99. Gentry, G.L.; Dyer, L.A. On the conditional nature of Neotropical caterpillar defenses against their natural enemies. Ecology 2002, 83, 3108–3119. [Google Scholar] [CrossRef]
  100. Stireman, J.O.; Singer, M.S. Determinants of parasitoid-host associations: Insights from a natural tachinid-lepidopteran community. Ecology 2003, 84, 296–310. [Google Scholar] [CrossRef]
  101. Barbosa, P.; Caldas, A. Patterns of parasitoid-host associations in differentially parasitized macrolepidopteran assemblages on black willow Salix nigra (Marsh) and box elder Acer negundo L. Basic Appl. Ecol. 2004, 5, 75–85. [Google Scholar] [CrossRef]
  102. Le Corff, J.; Marquis, R.J.; Whitfield, J.B. Temporal and spatial variation in a parasitoid community associated with the herbivores that feed on Missouri Quercus. Environ. Entomol. 2000, 29, 181–194. [Google Scholar] [CrossRef]
  103. Hrcek, J.; Miller, S.E.; Whitfield, J.B.; Shima, H.; Novotny, V. Parasitism rate, parasitoid community composition and host specificity on exposed and semi-concealed caterpillars from a tropical rainforest. Oecologia 2013, 173, 521–532. [Google Scholar] [CrossRef] [PubMed]
  104. Dyer, L.A.; Singer, M.S.; Lill, J.T.; Stireman, J.O.; Gentry, G.L.; Marquis, R.J.; Ricklefs, R.E.; Greeney, H.F.; Wagner, D.L.; Morais, H.C.; et al. Host specificity of Lepidoptera in tropical and temperate forests. Nature 2007, 448, 696–699. [Google Scholar] [CrossRef]
  105. Austin, A.D. Austin, A.D. A review of the Braconidae (Hymenoptera) that parasitize Limacodidae in Southeast Asia, particularly those associated with coconut and oil palm. In Slug and Nettle Caterpillars. The Biology, Taxonomy and Control of the Limacodidae of Economic Importance on Palms in South-East Asia; Cock, M.J.W., Godfray, H.C.J., Holloways, J.D., Eds.; CAB International: Wallingford, UK, 1987; pp. 139–164. [Google Scholar]
  106. Franzl, S.; Naumann, C.M. Cuticular cavities: Storage chambers for cyanoglucoside-containing defensive secretions in larvae of a Zygaenid moth. Tissue Cell 1985, 17, 267–278. [Google Scholar] [CrossRef]
  107. Zagrobelny, M.; Bak, S.; Ekstrøm, C.T.; Olsen, C.E.; Møller, B.L. The cyanogenic glucoside composition of Zygaena filipendulae (Lepidoptera: Zygaenidae) as effected by feeding on wild-type and transgenic lotus populations with variable cyanogenic glucoside profiles. Insect Biochem. Mol. Biol. 2007, 37, 10–18. [Google Scholar] [CrossRef]
  108. Murphy, S.M.; Leahy, S.M.; Williams, L.S.; Lill, J.T. Stinging spines protect slug caterpillars (Limacodidae) from multiple generalist predators. Behav. Ecol. 2010, 21, 153–160. [Google Scholar] [CrossRef]
  109. Gates, M.W.; Lill, J.T.; Kula, R.R.; O’Hara, J.E.; Wahl, D.B.; Smith, D.R.; Whitfield, J.B.; Murphy, S.M.; Stoepler, T.M. Review of parasitoid wasps and flies (Hymenoptera, Diptera) associated with Limacodidae (Lepidoptera) in North America, with a key to genera. Proc. Entomol. Soc. Wash. 2012, 114, 24–110. [Google Scholar] [CrossRef]
  110. Belshaw, R. Life history characteristics of Tachinidae (Diptera) and their effect on polyphagy. In Parasitoid Community Ecology; Hawkins, B.A., Sheehan, W., Eds.; Oxford University Press: Oxford, UK, 1994; pp. 145–162. [Google Scholar]
  111. Janzen, D.H.; Gauld, I.D. Caterpillars (Lepidoptera: Saturnidae and Sphingidae) by ichneumonid parasitoids (Hymenoptera) in Costa Rican dry forest. For. Insects 1997, 30, 251. [Google Scholar]
  112. Sharkey, M.J.; Athey, K.J.; Fernández-Triana, J.L.; Penteado-Dias, A.M.; Monckton, S.K.; Quicke, D.L.J. Key to the New World subfamilies of the family Braconidae (Hymenoptera: Ichneumonoidea). Can. J. Arthropod Identif. 2023, 49, 1–43. [Google Scholar]
  113. Novotny, V.; Miller, S.E.; Leps, J.; Basset, Y.; Bito, D.; Janda, M.; Hulcr, J.; Damas, K.; Weiblen, G.D. No tree an island: The plant–caterpillar food web of a secondary rain forest in New Guinea. Ecol. Lett. 2004, 7, 1090–1100. [Google Scholar] [CrossRef]
  114. Novotny, V.; Basset, Y.; Miller, S.E.; Drozd, P.; Cizek, L. Host specialisation of leaf chewing insects in a New Guinea rainforest. J. Anim. Ecol. 2002, 71, 400–412. [Google Scholar] [CrossRef]
  115. Novotny, V.; Basset, Y.; Miller, S.E.; Weiblen, G.D.; Bremer, B.; Cizek, L.; Drozd, P. Low host specificity of herbivorous insects in a tropical forest. Nature 2002, 416, 841–844. [Google Scholar] [CrossRef] [PubMed]
  116. Sudta, C.; Salcido, D.M.; Forister, M.L.; Walla, T.R.; Villamarín-Cortez, S.; Dyer, L.A. Jack-of-all-trades paradigm meets long-term data: Generalist herbivores are more widespread and locally less abundant. Ecol. Lett. 2022, 25, 948–957. [Google Scholar] [CrossRef] [PubMed]
  117. Forister, M.L.; Novotny, V.; Panorska, A.K.; Baje, L.; Basset, Y.; Butterill, P.T.; Cizek, L.; Coley, P.D.; Dem, F.; Diniz, I.R.; et al. The global distribution of diet breadth in insect herbivores. Proc. Natl. Acad. Sci. USA 2015, 112, 442–447. [Google Scholar] [CrossRef]
  118. Sharanowski, B.J.; Dowling, A.P.G.; Sharkey, M.J. Molecular phylogenetics of Braconidae (Hymenoptera: Ichneumonoidea), based on multiple nuclear genes, and implications for classification. Syst. Entomol. 2011, 36, 549–572. [Google Scholar] [CrossRef]
  119. Jasso-Martínez, J.M.; Santos, B.F.; Zaldívar-Riverón, A.; Fernández-Triana, J.L.; Sharanowski, B.J.; Richter, R.; Dettman, J.R.; Blaimer, B.B.; Brady, S.G.; Kula, R.R. Phylogenomics of braconid wasps (Hymenoptera, Braconidae) sheds light on classification and the evolution of parasitoid life history traits. Mol. Phylogenetics Evol. 2022, 173, 107452. [Google Scholar] [CrossRef]
  120. Bennett, A.M.R.; Cardinal, S.; Gauld, I.D.; Wahl, D.B. Phylogeny of the subfamilies of Ichneumonidae (Hymenoptera). J. Hymenopt. Res. 2019, 71, 1–156. [Google Scholar] [CrossRef]
  121. Santos, B.F.; Wahl, D.B.; Rousse, P.; Bennett, A.M.R.; Kula, R.; Brady, S.G. Phylogenomics of Ichneumoninae (Hymenoptera, Ichneumonidae) reveals pervasive morphological convergence and the shortcomings of previous classifications. Syst. Entomol. 2021, 46, 704–724. [Google Scholar] [CrossRef]
  122. Quicke, D.L.J. We know too little about parasitoid wasp distributions to draw any conclusions about latitudinal trends in species richness, body size and biology. PLoS ONE 2012, 7, e32101. [Google Scholar] [CrossRef]
  123. Tavakilian, G.; Berkov, A.; Meurer-Grimes, B.; Mori, S. Neotropical tree species and their faunas of xylophagous longicorns (Coleoptera: Cerambycidae) in French Guiana. Bot. Rev. 1997, 63, 303–355. [Google Scholar] [CrossRef]
  124. Berkov, A.; Tavakilian, G. Host utilization of the Brazil nut family (Lecythidaceae) by sympatric wood-boringspecies of Palame (Coleoptera, Cerambycidae, Lamiinae, Acanthocinini). Biol. J. Linn. Soc. 1999, 67, 181–198. [Google Scholar] [CrossRef]
  125. Berkov, A. The impact of redefined species limits in Palame (Coleoptera: Cerambycidae: Lamiinae: Acanthocinini) on assessments of host, seasonal, and stratum specificity. Biol. J. Linn. Soc. 2002, 76, 195–209. [Google Scholar] [CrossRef][Green Version]
Figure 1. Map showing the main habitat zones (zonas de vida or Life Zones), the centre of the population (pobaciones), and posts or biological stations (puestos o estaciones) in the ACG.
Figure 1. Map showing the main habitat zones (zonas de vida or Life Zones), the centre of the population (pobaciones), and posts or biological stations (puestos o estaciones) in the ACG.
Diversity 16 00683 g001
Figure 2. Photographs from the late 1990s of rearing and voucher preparation at the ACG; the system has not changed dramatically since (but see below for current protocols). (A,B) Rearing bags containing caterpillars and food plants suspended in purpose-built airy rearing barns that keep them in the shade but under otherwise ambient conditions; (C) A parataxonomist refreshing the caterpillar food plant; (D) Setting up parasitoid cocoons for eclosion and record-keeping in the Santa Rosa rearing barn; (E) Rearing bottles inverted for the easier visibility of the parasitoids, with parasitoid cocoons waiting for eclosion (as eclosions occur, date labels are attached to the jar with details); (F) Earlier gas-powered drying cabinet for preserving/oven-drying larger eclosed insects after mounting; (G) Spread Lepidoptera with their associated data; (H) Pinned larger ichneumonids (mostly Ophioninae) with data labels (‘microhymenoptera’ are preserved in microvials of 95% ethanol); (I) Gelatine capsules, puparia and small cocoons, etc.
Figure 2. Photographs from the late 1990s of rearing and voucher preparation at the ACG; the system has not changed dramatically since (but see below for current protocols). (A,B) Rearing bags containing caterpillars and food plants suspended in purpose-built airy rearing barns that keep them in the shade but under otherwise ambient conditions; (C) A parataxonomist refreshing the caterpillar food plant; (D) Setting up parasitoid cocoons for eclosion and record-keeping in the Santa Rosa rearing barn; (E) Rearing bottles inverted for the easier visibility of the parasitoids, with parasitoid cocoons waiting for eclosion (as eclosions occur, date labels are attached to the jar with details); (F) Earlier gas-powered drying cabinet for preserving/oven-drying larger eclosed insects after mounting; (G) Spread Lepidoptera with their associated data; (H) Pinned larger ichneumonids (mostly Ophioninae) with data labels (‘microhymenoptera’ are preserved in microvials of 95% ethanol); (I) Gelatine capsules, puparia and small cocoons, etc.
Diversity 16 00683 g002
Figure 3. Relationship between the numbers of braconid and ichneumonid species (BINs) recovered and the numbers reared by subfamily. Braconid subfamilies are indicated in red, and Ichneumonidae subfamilies in blue.
Figure 3. Relationship between the numbers of braconid and ichneumonid species (BINs) recovered and the numbers reared by subfamily. Braconid subfamilies are indicated in red, and Ichneumonidae subfamilies in blue.
Diversity 16 00683 g003
Figure 4. Species accumulation curves for Braconidae (BINs), their hosts, and host food plants over time.
Figure 4. Species accumulation curves for Braconidae (BINs), their hosts, and host food plants over time.
Diversity 16 00683 g004
Figure 5. Species accumulation curves for Ichneumonidae (BINs), their hosts, and host food plants over time.
Figure 5. Species accumulation curves for Ichneumonidae (BINs), their hosts, and host food plants over time.
Diversity 16 00683 g005
Figure 6. Unique bi- and tritrophic species interaction accumulation curves for all primary parasitoid Ichneumonoidea.
Figure 6. Unique bi- and tritrophic species interaction accumulation curves for all primary parasitoid Ichneumonoidea.
Diversity 16 00683 g006
Figure 7. Example tritrophic food web for the braconid subfamily Orgilinae (because it does not comprise too many species to illustrate). Columns from left to right are the parasitoid BINs, host species, host family, food plant species, and food plant family.
Figure 7. Example tritrophic food web for the braconid subfamily Orgilinae (because it does not comprise too many species to illustrate). Columns from left to right are the parasitoid BINs, host species, host family, food plant species, and food plant family.
Diversity 16 00683 g007
Figure 8. Ranked relative proportions of braconid and ichneumonid species attacking those families from which more than 100 ichneumonoid wasp rearings were obtained.
Figure 8. Ranked relative proportions of braconid and ichneumonid species attacking those families from which more than 100 ichneumonoid wasp rearings were obtained.
Diversity 16 00683 g008
Figure 9. Histogram of the numbers of species of braconid and ichneumonid parasitoids in relation to the mean host forewing length. Colours have 50% transparency so the Ichneumonidae appear as blue and purple.
Figure 9. Histogram of the numbers of species of braconid and ichneumonid parasitoids in relation to the mean host forewing length. Colours have 50% transparency so the Ichneumonidae appear as blue and purple.
Diversity 16 00683 g009
Figure 11. Mosaic plot showing the numbers of rearings of each ichneumonid subfamily from each host family. Parasitoid subfamilies with fewer than 15 rearings, and host families with fewer than 15 parasitisation records, are excluded. (Abbreviations: An = Anomaloninae; Banch = Banchinae; Ich = Ichneumoninae; L = Lycorininae; Met = Metopiinae; Oph = Ophioninae; P = Pimplinae; T = Tryphoninae).
Figure 11. Mosaic plot showing the numbers of rearings of each ichneumonid subfamily from each host family. Parasitoid subfamilies with fewer than 15 rearings, and host families with fewer than 15 parasitisation records, are excluded. (Abbreviations: An = Anomaloninae; Banch = Banchinae; Ich = Ichneumoninae; L = Lycorininae; Met = Metopiinae; Oph = Ophioninae; P = Pimplinae; T = Tryphoninae).
Diversity 16 00683 g011
Figure 12. Logistic regression plots of the numbers of host families, host species, host food plant families, and host food plant species parasitised by braconid wasps. Points represent each parasitoid species (BIN). The best-fit models were calculated using generalised linear models (glms) with binomial errors, and the fitted curves were produced using the predict (model) function.
Figure 12. Logistic regression plots of the numbers of host families, host species, host food plant families, and host food plant species parasitised by braconid wasps. Points represent each parasitoid species (BIN). The best-fit models were calculated using generalised linear models (glms) with binomial errors, and the fitted curves were produced using the predict (model) function.
Diversity 16 00683 g012
Figure 13. Logistic regression plots of numbers of host families, host species, host food plant families, and host food plant species parasitised by ichneumonid wasps. The fitted models were calculated using a glm with binomial errors (see the legend to Figure 12 for more details).
Figure 13. Logistic regression plots of numbers of host families, host species, host food plant families, and host food plant species parasitised by ichneumonid wasps. The fitted models were calculated using a glm with binomial errors (see the legend to Figure 12 for more details).
Diversity 16 00683 g013
Figure 14. Relationship between the logarithm of the number of rearings and the parasitoid assemblage size for each host species, plotted separately for Braconidae and Ichneumonidae. The top (presented as a bar chart rather than a histogram for clarity) shows the numbers of rearings for five bins of the log rearing number. The lower part is a scatterplot for each species with points jittered for clarity.
Figure 14. Relationship between the logarithm of the number of rearings and the parasitoid assemblage size for each host species, plotted separately for Braconidae and Ichneumonidae. The top (presented as a bar chart rather than a histogram for clarity) shows the numbers of rearings for five bins of the log rearing number. The lower part is a scatterplot for each species with points jittered for clarity.
Diversity 16 00683 g014
Figure 15. Relationship between the mean parasitoid assemblage size for each host family and the logarithm of the number of rearings, plotted separately for Braconidae and Ichneumonidae. Both relationships are highly significant—Braconidae: F = 21.43(1,39), p ≪ 0.001, and residual standard error = 0.111; Ichneumonidae: F = 8.909(1,28), p ≪ 0.001, and residual standard error = 0.241.
Figure 15. Relationship between the mean parasitoid assemblage size for each host family and the logarithm of the number of rearings, plotted separately for Braconidae and Ichneumonidae. Both relationships are highly significant—Braconidae: F = 21.43(1,39), p ≪ 0.001, and residual standard error = 0.111; Ichneumonidae: F = 8.909(1,28), p ≪ 0.001, and residual standard error = 0.241.
Diversity 16 00683 g015
Figure 16. Preference of Mesochorinae for primary parasitoid host subfamilies (red) and numbers of primary hosts available, i.e., unparasitised (dark green), all scaled so the maxima of unparasitised and hyperparasitised Microgastrinae primaries are the same. The figure shows that mesochorines, although attacking a wide range of primary parasitoids, show a strong preference for microgastrines.
Figure 16. Preference of Mesochorinae for primary parasitoid host subfamilies (red) and numbers of primary hosts available, i.e., unparasitised (dark green), all scaled so the maxima of unparasitised and hyperparasitised Microgastrinae primaries are the same. The figure shows that mesochorines, although attacking a wide range of primary parasitoids, show a strong preference for microgastrines.
Diversity 16 00683 g016
Table 2. Overview of total parasitoid wasp rearing results for complete morphospecies and/or molecular identification data for bitrophic (Lepidoptera and food plants) and tritrophic associations.
Table 2. Overview of total parasitoid wasp rearing results for complete morphospecies and/or molecular identification data for bitrophic (Lepidoptera and food plants) and tritrophic associations.
EclosedNumber of RearingsNumber BarcodedBINsWith BIN and Full Host and Host Plant DataHost Families 1Host Species 1Plant Families 1Plant Species 1
Lepidoptera457,816151,31658132472416
Braconidae31,48221,171138015,1074019911421134
Ichneumonidae primary parasitoid16,13610,07476186993214931341493
Mesochorinae hyperparasitoids9137731437732828071248
Chalcididae8933333229676229
Eulophidae73337011723158
Trigonalidae311216612111
Encyrtidae6620223
Clavicipitaceae (fungi)3500010903898
Other fungi15100151055092
Nematoda290010211421
Bombyliidae10011
Overall508,881178,260822524,582
1 Refers to barcoded specimens only.
Table 3. Summary of rearings of successfully barcoded Braconidae with complete data.
Table 3. Summary of rearings of successfully barcoded Braconidae with complete data.
SubfamilyNo. RearingsNo. BINsNo. Host Families No. Host Species
Agathidinae146414514309
Braconinae4921928
Cardiochilinae8215429
Cheloninae8688012153
Mendesellinae9323
Euphorinae6306118137
Homolobinae269315
Hormiinae9324642
Ichneutinae1111
Macrocentrinae4723710107
Microgastrinae11,834993371526
Miracinae3111
Orgilinae17430958
Rhysipolinae7113
Rogadinae4101071611
Sigalphinae10123
Table 4. Summary of rearings of successfully barcoded Ichneumonidae with complete data.
Table 4. Summary of rearings of successfully barcoded Ichneumonidae with complete data.
SubfamilyNo. RearingsNo. BINsNo. Host FamiliesNo. Host Species
Anomaloninae278461394
Banchinae6937417155
Campopleginae416323726691
Cremastinae169512211271
Cryptinae1311512
Ichneumoninae214331053
Lycorininae739426
Metopiinae845571193
Ophioninae591849132
Phygadeuontinae5233
Pimplinae40141221
Tryphoninae4112626
Table 5. Actual and Chao 1 estimates of the total numbers of Braconidae BINs (surrogates for species) likely to parasitise Lepidoptera caterpillars in the ACG.
Table 5. Actual and Chao 1 estimates of the total numbers of Braconidae BINs (surrogates for species) likely to parasitise Lepidoptera caterpillars in the ACG.
SubfamilyObserved BINsChao1Ratio
Microgastrinae99512131.22
Agathidinae1451601.10
Rogadinae1071651.54
Cheloninae801181.47
Euphorinae61771.25
Macrocentrinae37832.23
Orgilinae30321.05
Hormiinae24291.19
Braconinae21743.50
Cardiochilinae15151.01
Homolobinae9303.33
Mendesellinae331.00
Ichneutinae111.0
Miracinae111.0
Rhysipolinae111.0
Sigalphinae111.0
Total Braconidae15312001mean = 1.49
Table 6. Actual and Chao 1 estimates of the total numbers of Ichneumonidae BINs (surrogates for species) likely to parasitise Lepidoptera caterpillars in the ACG.
Table 6. Actual and Chao 1 estimates of the total numbers of Ichneumonidae BINs (surrogates for species) likely to parasitise Lepidoptera caterpillars in the ACG.
SubfamilyObserved BINsChao1Ratio
Campopleginae248296.621.20
Cremastinae131166.291.27
Ophioninae83101.751.23
Banchinae77119.271.55
Metopiinae5867.551.16
Anomaloninae4657.381.25
Ichneumoninae3144.001.42
Pimplinae1418.201.30
Tryphoninae1316.331.26
Cryptinae1156.005.09
Lycorininae99.501.06
Phygadeuontinae22.001.00
Total Ichneumonidae7721092mean = 1.57
Table 7. Summary of braconid wasp bi- and tritrophic interactions for subfamilies of Braconidae.
Table 7. Summary of braconid wasp bi- and tritrophic interactions for subfamilies of Braconidae.
SubfamilyParasitoid–Host InteractionsParasitoid–Food Plant Interactions Host–Food Plant InteractionsTritrophic InteractionsTritrophic Interactions per Wasp Species
Agathidinae3904124425033.47
Braconinae303435361.71
Cardiochilinae323136392.60
Cheloninae1881972072342.92
Euphorinae1531811902013.30
Homolobinae151520202.22
Hormiinae434649492.04
Ichneutinae11111.00
Macrocentrinae1151081291373.70
Mendesellinae35551.67
Microgastrinae24252899282135783.60
Miracinae11111.00
Orgilinae605364662.17
Rhysipolinae33333.00
Rogadinae1601791912001.87
Sigalphinae33344.00
Table 8. Summary of braconid wasp bi- and tritrophic interactions for subfamilies of Ichneumonidae.
Table 8. Summary of braconid wasp bi- and tritrophic interactions for subfamilies of Ichneumonidae.
SubfamilyParasitoid–Host InteractionsParasitoid–Food Plant Interactions Host–Food Plant InteractionsTritrophic InteractionsTritrophic Interactions per Wasp Species
Anomaloninae1021131211262.74
Banchinae1751992512613.39
Campopleginae8651018116112945.22
Cremastinae3703834024863.71
Cryptinae131312131.18
Ichneumoninae578994973.13
Lycorininae272533333.67
Mesochorinae656766681.35
Metopiinae1161491481722.97
Ophioninae1502012292412.90
Phygadeuontinae33331.50
Pimplinae222121221.57
Tryphoninae272227272.08
Table 9. Parasitoid–host food web statistics.
Table 9. Parasitoid–host food web statistics.
StatisticBraconidaeIchneumonidae
Number of compartments510303
Connectance0.00060.001
Realised connectance0.00120.0021
Generality2.3972.678
Vulnerability 11.7041.522
Linkage density 21.0260.973
1 Mean number of parasitoid species per host species; 2 Mean number of links per species.
Table 10. Host specialisation by Braconidae for those parasitoid species that were reared more than five times.
Table 10. Host specialisation by Braconidae for those parasitoid species that were reared more than five times.
SubfamilyParasitoid SpeciesWith Only One Host Species Proportion Attacking One Host SpeciesWith >95% Hosts Belonging to Single SpeciesAttacking Only One Host GenusProportion Attacking One Host Genus
Agathidinae56120.2113240.43
Braconinae300000
Cardiochilinae510.2120.4
Cheloninae2670.278140.54
Euphorinae2320.08380.35
Homolobinae100000
Hormiinae630.5330.3
Macrocentrinae1820.09270.39
Microgastrinae3831050.271171710.45
Orgilinae1020.2440.4
Rhysipolinae100000
Rogadinae19100.5312120.63
Sigalphinae100000
Table 11. Host specialisation by Ichneumonidae for those parasitoid species that were reared more than five times.
Table 11. Host specialisation by Ichneumonidae for those parasitoid species that were reared more than five times.
SubfamilyParasitoid SpeciesWith Only One Host Species Proportion Attacking One Host SpeciesWith >95% Hosts Belonging to Single SpeciesAttacking Only One Host GenusProportion Attacking One Host Genus
Anomaloninae1140.36440.36
Banchinae2440.17560.25
Campopleginae107120.1113310.29
Cremastinae4150.125100.24
Ichneumoninae610.17230.5
Lycorininae510.2120.4
Metopiinae21100.4811130.62
Ophioninae3290.2810220.69
Pimplinae200000
Tryphoninae310.33110.33
Table 12. Simpson’s diversity indices for the utilisation of host families, host species, and their food plant families and species for each braconid subfamily.
Table 12. Simpson’s diversity indices for the utilisation of host families, host species, and their food plant families and species for each braconid subfamily.
SubfamilyBINsSimpson Diversity AllSimpson Diversity >5 Host Associations
Host FamiliesHost SpeciesPlant FamiliesPlant SpeciesHost FamiliesHost SpeciesPlant FamiliesPlant Species
Agathidinae1430.090.690.490.7100.200.110.21
Braconinae2100.330.090.400000.09
Cardiochilinae150.120.630.520.6800.1200.12
Cheloninae800.120.580.360.580.030.140.090.12
Euphorinae600.160.620.550.7100.180.060.28
Homolobinae90.190.370.350.3700.1900
Hormiinae240.080.560.330.6300.0800.08
Ichneutinae100000000
Macrocentrinae370.190.730.470.7100.230.100.23
Mendesellinae30000.440000
Microgastrinae9890.200.640.400.690.010.140.060.19
Miracinae100000000
Orgilinae300.120.640.300.5600.120.060.06
Rhysipolinae100000000
Rogadinae1060.060.450.310.4600.0200.04
Sigalphinae100000000
Table 13. Simpson’s diversity indices for the utilisation of host families, host species, and their food plant families and species for each ichneumonid subfamily.
Table 13. Simpson’s diversity indices for the utilisation of host families, host species, and their food plant families and species for each ichneumonid subfamily.
SubfamilyBINsSimpson Diversity AllSimpson Diversity >5 Host Associations
Host FamiliesHost SpeciesPlant FamiliesPlant SpeciesHost FamiliesHost SpeciesPlant FamiliesPlant Species
Anomaloninae 460.400.580.600.6600.1200.16
Banchinae 760.290.6020.410.6300.190.050.12
Campopleginae 2470.250.7510.520.750.010.280.130.29
Cremastinae 1300.230.6860.460.6900.190.070.19
Cryptinae 100.180.180.180.180000
Ichneumoninae 310.120.620.470.6700.0600.27
Lycorininae 90.440.670.490.7200.3500.35
Metopiinae 580.130.590.380.6900.1600.21
Ophioninae 820.050.580.400.6300.090.070.18
Phygadeuontinae 20.500.500.500.500000
Pimplinae 140.360.500.440.440000
Tryphoninae 120.440.670.510.5100.1500
Table 14. Details of caterpillar and braconid species recorded as feeding on introduced (not New World) food plants. Abbreviation: n = number of times reared.
Table 14. Details of caterpillar and braconid species recorded as feeding on introduced (not New World) food plants. Abbreviation: n = number of times reared.
Introduced PlantNo.
Host Species
No.
Parasitoid Species
No TritrophicHost SpeciesParasitoid BINParasitoid Speciesn
Bambusa vulgaris323Eutychide ochusAAJ2207Alphomelon osvaldoespinozai1
323Oxynthes coruscaAAJ2207Alphomelon osvaldoespinozai1
323Orses cyniscaAAE6783Apanteles andreacalvoaeDHJ022
Citrus limetta111Anacrusis turrialbaeAAM1053Apanteles manuelarayai1
Citrus reticulata222Heraclides idaeusAAB0798Meteorus papiliovorusDHJ0222
Achlyodes busirusAAB9403Apanteles diegotorresi2
Citrus sinensis111Achlyodes busirusAAB9403Apanteles diegotorresi23
Cocos nucifera111Opsiphanes fabriciiAAA7143Cotesia Whitfield201
Colocasia esculenta222Spodoptera androgeaAAB9141Cotesia scotti1
Antapistis Poole02AAB8634Diolcogaster Choi0818
Cynodon nlemfuensis355Mythimnia sequaxAAX4327Meteorus Janzen061
AAE7879Meteorus Janzen084
AAF8905Meteorus Janzen08B1
Anicla ignicansAAA4781Glyptapanteles carlossarmientoi1
Napata lelexAAA7143Parapanteles polus1
Ficus benjamina111Pachylia ficusAAA7143Cotesia Whitfield172
Gmelina arborea111Olceclostera amoriaAAF8335Glyptapanteles hugokonsi2
Hedychium coronarium445Antaeotricha Janzen727ACC1822Lytopylus okchunae4
Antaeotricha Janzen727AAK2115Apanteles franciscoramirezi2
Cynea Burns06AAB7535Alphomelon ricardocaleroi8
Cynea cyneaAAB7535Alphomelon ricardocaleroi5
Hylesia continuaAAA2511Parapanteles tessares1
Ischaemum timorense8810Cobalopsis neroAAA1634Alphomelon xestopyga13
Corticea corticeaAAB8584Alphomelon guillermopereirai3
Cymaenes odilia trebiusAAA1634Alphomelon xestopyga1
AAE5720Alphomelon gloriasihezarae2
Eucereon xanthoperasAAM5381Cotesia Whitfield811
Lerema lydeACK8132Hormius carloswalkeri2
AAF3301Alphomelon disputabile1
AAA1634Alphomelon xestopyga1
Lerema lydeDHJ02ADJ6568Alphomelon andydeansi1
Vehilius vetulaADA7564Alphomelon petronariosae1
Megathyrsus maximus111Cobalopsis neroAAF3318Alphomelon Deans18DHJ011
Musa acuminata74117Antichloris eriphiaAAD6012Meteorus Zitani01DHJ061
ACJ2541Glyptapanteles Whitfield2621
Automeris postalbidaAAA6111Cotesia Whitfield241
Caligo atreusAAC0471Cotesia Whitfield185
Caligo oedipusAAC0471Cotesia Whitfield182
Caligo sulanusAAC0471Cotesia Whitfield1811
Caligo telamoniusAAC0471Cotesia Whitfield186
Opsiphanes bogotanusAAA7143Cotesia Whitfield776
Opsiphanes tamarindiAAA7143Cotesia Whitfield773
Talides Burns03AAA7259Alphomelon talidicida1
Talides sergestusAAA7259Alphomelon talidicida4
Talides sinoisAAA7259Alphomelon talidicida4
Musa textilis Caligo sulanusAAC0471Cotesia Whitfield181
Opsiphanes tamarindiAAA7143Cotesia Whitfield781
Rottboellia cochinchinensis111Cymaenes alumnaADJ6568Alphomelon andydeansi1
Spathodea campanulata711Eulepte concordalisACD1738Alabagrus janzeni7
Spondias dulcis211Emesis mandanaAAE2853Parapanteles Rodriguez022
Syzygium aromaticum513Lethata trochalostictaAAK1705Apanteles zeneidabolanosae13
AAM1067Apanteles zeneidabolanosae21
AAM1074Apanteles zeneidabolanosae31
Syzygium malaccense111Phobetron hipparchiaAAF7760Lathrapanteles Whitfield1751
Terminalia catappa111Rhetus castigatusABY8442Cotesia Whitfield991
Table 15. Details of caterpillar and ichneumonid species recorded as feeding on introduced (not New World) food plants. Abbreviation: n = number of times reared.
Table 15. Details of caterpillar and ichneumonid species recorded as feeding on introduced (not New World) food plants. Abbreviation: n = number of times reared.
Introduced Food PlantNo. Host spp.No. Parasitoid spp.No.
Tritrophic
Interactions
Host SpeciesPARA.BIN
(BOLD:
#######)
Parasitoid Speciesn
Bambusa vulgaris111Orses cyniscaAAA5105Creagrura alejandromasisi7
Citrus reticulata222Physocleora taeniataDHJ01AFI7681Ophionellus Janzen18492
Heraclides idaeusAAA9641Pedinopelte Wahl033
Citrus sinensis222Eantis thrasoAAA8074Casinaria CAS-071
Heraclides idaeusAAA9641Pedinopelte Wahl036
Cocos nucifera222Euclea bidiscalisAAA7736Casinaria CAS-01DHJ022
Natada michortaAAB7271Casinaria macerata5
Cynodon nlemfuensis244Mocis latipesAAD1469Corsoncus magus1
AAC9790Tricholabus Wahl047
4—Nyctelius nycteliusAAA9953Hyposoter bicolor2
Digitaria swazilandensis111Mocis latipesAAC9790Tricholabus Wahl041
Ficus crocata212Pachylia ficusAAB7595Thyreodon atriventris3
Hedychium coronarium111Hylesia continuaAAE9960Enicospilus robertoiDHJ031
Ischaemum timorense323Corticea corticeaAAA9953Hyposoter bicolor1
Lerema lirisAAA9953Hyposoter bicolor1
Mocis latipesAAC9790Tricholabus Wahl042
Megathyrsus maximus323Orses cyniscaAAA5105Creagrura alejandromasisi2
Perichares poaceaphagaAAA5105Creagrura alejandromasisi1
Mocis latipesAAC9790Tricholabus Wahl043
Musa acuminata323Anycles adustaAAC4634Casinaria CAS-04/09DHJ013
Anycles anthracinaAAC4634Casinaria CAS-04/09DHJ012
Talides sinoisAAA9953Hyposoter bicolor1
Nephelium lappaceum111Nascus broteasAAA4761Hyposoter INB-42DHJ012
Phaseolus vulgaris445Telegonus anausisABZ2679Hyposoter INB-42DHJ051
Erebidae 19-SRNP-26720AAW4063Casinaria CAS-468DHJ021
AAC9790Tricholabus Wahl042
Omiodes indicataACF3188Lycorina apicalisDHJ033
Rottboellia cochinchinensis222Orses cyniscaAAA5105Creagrura alejandromasisi1
Mocis latipesAAC9790Tricholabus Wahl041
Saccharum spontaneum111Orses cyniscaAAA5105Creagrura alejandromasisi1
Terminalia catappa233Hylesia continuaAAB9780Hylesicida crassitarsusDHJ0115
Titya synoecuraACF4166Enicospilus Gauld02A2
AAB6576Enicospilus Gauld02B2
Urochloa arrecta335Papias allubitaAAF0560Corsoncus minori1
AAA9953Hyposoter bicolor1
Cymaenes luminaAAA9953Hyposoter bicolor3
AAF0560Corsoncus minori1
Mocis disseveransAAW4063Casinaria CAS-468DHJ021
Table 16. Number of unique host species that were parasitised by a braconid or ichneumonid on introduced (not New World) food plants compared with hosts on all ACG plants according to the host family.
Table 16. Number of unique host species that were parasitised by a braconid or ichneumonid on introduced (not New World) food plants compared with hosts on all ACG plants according to the host family.
Host FamilyBraconidaeIchneumonidae
Host Species Parasitised on All Food PlantsHost Species on Introduced Food PlantsHost Species Parasitised on All Food PlantsHost Species on Introduced Food Plants
Apatelodidae9160
Crambidae30812192
Depressariidae30421490
Erebidae (Arctiinae)563502
Erebidae (other)21001033
Geometridae18301031
Hesperiidae242141849
Lasiocampidae4081
Limacodidae211183
Noctuidae674450
Nymphalidae (Brassolini)10871
Papilionidae9181
Riodinidae31280
Saturniidae302271
Sphingidae521583
Tortricidae541230
Disclaimer/Publisher’s Note: The statements, opinions and data contained in all publications are solely those of the individual author(s) and contributor(s) and not of MDPI and/or the editor(s). MDPI and/or the editor(s) disclaim responsibility for any injury to people or property resulting from any ideas, methods, instructions or products referred to in the content.

Share and Cite

MDPI and ACS Style

Quicke, D.L.J.; Janzen, D.H.; Hallwachs, W.; Sharkey, M.J.; Hebert, P.D.N.; Butcher, B.A. Forty-Five Years of Caterpillar Rearing in Area de Conservación Guanacaste (ACG) Northwestern Costa Rica: DNA Barcodes, BINs, and a First Description of Plant–Caterpillar–Ichneumonoid Interactions Detected. Diversity 2024, 16, 683. https://doi.org/10.3390/d16110683

AMA Style

Quicke DLJ, Janzen DH, Hallwachs W, Sharkey MJ, Hebert PDN, Butcher BA. Forty-Five Years of Caterpillar Rearing in Area de Conservación Guanacaste (ACG) Northwestern Costa Rica: DNA Barcodes, BINs, and a First Description of Plant–Caterpillar–Ichneumonoid Interactions Detected. Diversity. 2024; 16(11):683. https://doi.org/10.3390/d16110683

Chicago/Turabian Style

Quicke, Donald L. J., Daniel H. Janzen, Winnie Hallwachs, Mike J. Sharkey, Paul D. N. Hebert, and Buntika A. Butcher. 2024. "Forty-Five Years of Caterpillar Rearing in Area de Conservación Guanacaste (ACG) Northwestern Costa Rica: DNA Barcodes, BINs, and a First Description of Plant–Caterpillar–Ichneumonoid Interactions Detected" Diversity 16, no. 11: 683. https://doi.org/10.3390/d16110683

APA Style

Quicke, D. L. J., Janzen, D. H., Hallwachs, W., Sharkey, M. J., Hebert, P. D. N., & Butcher, B. A. (2024). Forty-Five Years of Caterpillar Rearing in Area de Conservación Guanacaste (ACG) Northwestern Costa Rica: DNA Barcodes, BINs, and a First Description of Plant–Caterpillar–Ichneumonoid Interactions Detected. Diversity, 16(11), 683. https://doi.org/10.3390/d16110683

Note that from the first issue of 2016, this journal uses article numbers instead of page numbers. See further details here.

Article Metrics

Back to TopTop