Assessing the “Scale of Effect”: The Impact of Multi-Scale Landscape Characteristics on Urban Bird Species Taxonomic and Functional Diversity
Abstract
:1. Introduction
2. Materials and Methods
2.1. Study Sites
2.2. Bird Survey
2.3. Functional Diversity
2.4. Evaluating Landscape Metrics at Multiple Scales
| Type | Metric Acronym | Metric Name | Level |
|---|---|---|---|
| Area | PLAND | Percentage of landscape | CL |
| LPI | Largest patch index | CL/LL | |
| Edge | ED | Edge density | CL/LL |
| Shape | PAFRAC | Perimeter–area fractal dimension | CL/LL |
| Dispersion | PLADJ | Percentage of like adjacencies | CL/LL |
| AI | Aggregation index | CL/LL | |
| CLUMPY | Clumpiness index | CL | |
| COHESION | Patch cohesion index | CL/LL | |
| Interspersion | IJI | Interspersion and juxtaposition index | CL/LL |
| Subdivision | PD | Patch density | CL/LL |
| DIVISION | Landscape division index | CL/LL | |
| SPLIT | Splitting index | CL/LL | |
| AREA_MN | Mean of patch area | CL/LL | |
| AREA_AM | Area-weighted mean of patch area | CL/LL | |
| Isolation | ENN_MN | Mean of Euclidean nearest-neighbor distance | CL/LL |
| ENN_AM | Area-weighted mean of Euclidean nearest-neighbor distance | CL/LL | |
| Diversity | RPR | Relative patch richness | LL |
| SHDI | Shannon’s diversity index | LL | |
| Altitude | Altitude_MEAN | Mean of altitude | LL |
| Altitude_RANGE | Range of altitude | LL | |
| Altitude_STD | Standard deviation of altitude | LL | |
| Altitude_MAX | Maximum altitude | LL | |
| Altitude_MIN | Minimum altitude | LL |
2.5. Statistical Analysis
3. Results
3.1. Bird Species Diversity
3.2. Analyzing Species Diversity and Multiscale Landscape Metrics Relationships Using PLSR
3.3. Analyzing Species Diversity and Multiscale Landscape Metrics Relationships Using GLMs
4. Discussion
5. Conclusions
Supplementary Materials
Author Contributions
Funding
Data Availability Statement
Acknowledgments
Conflicts of Interest
References
- Garizábal-Carmona, J.A.; Mancera-Rodríguez, N.J. Bird Species Richness across a Northern Andean City: Effects of Size, Shape, Land Cover, and Vegetation of Urban Green Spaces. Urban For. Urban Green. 2021, 64, 127243. [Google Scholar] [CrossRef]
- Stratford, J.A.; Robinson, W.D. Distribution of Neotropical Migratory Bird Species across an Urbanizing Landscape. Urban Ecosyst. 2005, 8, 59–77. [Google Scholar] [CrossRef]
- McDonald, R.I.; Mansur, A.V.; Ascensão, F.; Colbert, M.; Crossman, K.; Elmqvist, T.; Gonzalez, A.; Güneralp, B.; Haase, D.; Hamann, M.; et al. Research Gaps in Knowledge of the Impact of Urban Growth on Biodiversity. Nat. Sustain. 2020, 3, 16–24. [Google Scholar] [CrossRef]
- Callaghan, C.T.; Poore, A.G.B.; Major, R.E.; Cornwell, W.K.; Wilshire, J.H.; Lyons, M.B. How to Build a Biodiverse City: Environmental Determinants of Bird Diversity within and among 1581 Cities. Biodivers. Conserv. 2021, 30, 217–234. [Google Scholar] [CrossRef]
- Schlesinger, M.D.; Manley, P.N.; Holyoak, M. Distinguishing Stressors Acting on Land Bird Communities in an Urbanizing Environment. Ecology 2008, 89, 2302–2314. [Google Scholar] [CrossRef] [PubMed]
- Summers, P.D.; Cunnington, G.M.; Fahrig, L. Are the Negative Effects of Roads on Breeding Birds Caused by Traffic Noise? J. Appl. Ecol. 2011, 48, 1527–1534. [Google Scholar] [CrossRef]
- MacArthur, R.H.; Wilson, E.O. The Theory of Island Biogeography; Princeton University Press: Princeton, NJ, USA, 1967; ISBN 978-0-691-08836-5. [Google Scholar]
- Turner, M.G. Landscape ecology: The Effect of Pattern on Process. Annu. Rev. Ecol. Syst. 1989, 20, 171–197. [Google Scholar] [CrossRef]
- Pickett, S.T.A.; Cadenasso, M.L. Landscape Ecology: Spatial Heterogeneity in Ecological Systems. Science 1995, 269, 331–334. [Google Scholar] [CrossRef]
- Andrade, R.; Bateman, H.L.; Franklin, J.; Allen, D. Waterbird Community Composition, Abundance, and Diversity along an Urban Gradient. Landsc. Urban Plan. 2018, 170, 103–111. [Google Scholar] [CrossRef]
- Sebastián-González, E.; Green, A.J. Habitat Use by Waterbirds in Relation to Pond Size, Water Depth, and Isolation: Lessons from a Restoration in Southern Spain. Restor. Ecol. 2014, 22, 311–318. [Google Scholar] [CrossRef]
- Sánchez-Zapata, J.A.; Anadón, J.D.; Carrete, M.; Giménez, A.; Navarro, J.; Villacorta, C.; Botella, F. Breeding Waterbirds in Relation to Artificial Pond Attributes: Implications for the Design of Irrigation Facilities. Biodivers. Conserv. 2005, 14, 1627–1639. [Google Scholar] [CrossRef]
- Bhakti, T.; Goulart, F.; Azevedo, C.S.; Antonini, Y. Does scale matter? The influence of three-level spatial scales on forest bird occurrence in a tropical landscape. PLoS ONE 2018, 13, e0198732. [Google Scholar] [CrossRef] [PubMed]
- Huang, Y.; Zhao, Y.; Li, S.; von Gadow, K. The Effects of Habitat Area, Vegetation Structure and Insect Richness on Breeding Bird Populations in Beijing Urban Parks. Urban For. Urban Green. 2015, 14, 1027–1039. [Google Scholar] [CrossRef]
- Chaiyarat, R.; Wutthithai, O.; Punwong, P.; Taksintam, W. Relationships between Urban Parks and Bird Diversity in the Bangkok Metropolitan Area, Thailand. Urban Ecosyst. 2019, 22, 201–212. [Google Scholar] [CrossRef]
- Haddad, N.M.; Brudvig, L.A.; Clobert, J.; Davies, K.F.; Gonzalez, A.; Holt, R.D.; Lovejoy, T.E.; Sexton, J.O.; Austin, M.P.; Collins, C.D.; et al. Habitat Fragmentation and Its Lasting Impact on Earth’s Ecosystems. Sci. Adv. 2015, 1, e1500052. [Google Scholar] [CrossRef] [PubMed]
- Jackson, H.B.; Fahrig, L. Are Ecologists Conducting Research at the Optimal Scale? Glob. Ecol. Biogeogr. 2015, 24, 52–63. [Google Scholar] [CrossRef]
- Gonçalves, S.F.; Lourenço, A.C.d.P.; Bueno Filho, J.S.d.S.; de Toledo, M.C.B. Characteristics of Residential Backyards That Contribute to Conservation and Diversity of Urban Birds: A Case Study in a Southeastern Brazilian City. Urban For. Urban Green. 2021, 61, 127095. [Google Scholar] [CrossRef]
- Ibáñez-Álamo, J.D.; Morelli, F.; Benedetti, Y.; Rubio, E.; Jokimäki, J.; Pérez-Contreras, T.; Sprau, P.; Suhonen, J.; Tryjanowski, P.; Kaisanlahti-Jokimäki, M.-L.; et al. Biodiversity within the City: Effects of Land Sharing and Land Sparing Urban Development on Avian Diversity. Sci. Total Environ. 2020, 707, 135477. [Google Scholar] [CrossRef]
- Chang, C.-R.; Chien, H.-F.; Shiu, H.-J.; Ko, C.-J.; Lee, P.-F. Multiscale Heterogeneity within and beyond Taipei City Greenspaces and Their Relationship with Avian Biodiversity. Landsc. Urban Plan. 2017, 157, 138–150. [Google Scholar] [CrossRef]
- Kaushik, M.; Tiwari, S.; Manisha, K. Habitat Patch Size and Tree Species Richness Shape the Bird Community in Urban Green Spaces of Rapidly Urbanizing Himalayan Foothill Region of India. Urban Ecosyst. 2022, 25, 423–436. [Google Scholar] [CrossRef]
- Lee, M.-B.; Zhang, M.; Chan, S.; Zhang, Q.; Che, X.; Wong, K.C.; Zhao, X.; Zou, F. Environmental Determinants of Avian Species Richness in Forests in a Highly Urbanized Subtropical City: The Effects of Spatial Scale and Open Space Feature. Glob. Ecol. Conserv. 2021, 30, e01802. [Google Scholar] [CrossRef]
- Litteral, J.; Wu, J. Urban Landscape Matrix Affects Avian Diversity in Remnant Vegetation Fragments: Evidence from the Phoenix Metropolitan Region, USA. Urban Ecosyst. 2012, 15, 939–959. [Google Scholar] [CrossRef]
- Mao, Q.; Sun, J.; Deng, Y.; Wu, Z.; Bai, H. Assessing Effects of Multi-Scale Landscape Pattern and Habitats Attributes on Taxonomic and Functional Diversity of Urban River Birds. Diversity 2023, 15, 486. [Google Scholar] [CrossRef]
- Meffert, P.J.; Dziock, F. The Influence of Urbanisation on Diversity and Trait Composition of Birds. Landsc. Ecol. 2013, 28, 943–957. [Google Scholar] [CrossRef]
- Miguet, P.; Jackson, H.B.; Jackson, N.D.; Martin, A.E.; Fahrig, L. What Determines the Spatial Extent of Landscape Effects on Species? Landsc. Ecol. 2016, 31, 1177–1194. [Google Scholar] [CrossRef]
- Smith, A.C.; Fahrig, L.; Francis, C.M. Landscape Size Affects the Relative Importance of Habitat Amount, Habitat Fragmentation, and Matrix Quality on Forest Birds. Ecography 2011, 34, 103–113. [Google Scholar] [CrossRef]
- Gestich, C.C.; Arroyo-Rodríguez, V.; Ribeiro, M.C.; da Cunha, R.G.T.; Setz, E.Z.F. Unraveling the Scales of Effect of Landscape Structure on Primate Species Richness and Density of Titi Monkeys (Callicebus nigrifrons). Ecol. Res. 2019, 34, 150–159. [Google Scholar] [CrossRef]
- da Silva Carneiro, L.; Ribeiro, M.C.; de Aguiar, W.M.; de Fátima Priante, C.; Frantine-Silva, W.; Gaglianone, M.C. Orchid Bees Respond to Landscape Composition Differently Depending on the Multiscale Approach. Landsc. Ecol. 2022, 37, 1587–1601. [Google Scholar] [CrossRef]
- Boscolo, D.; Metzger, J.P. Is Bird Incidence in Atlantic Forest Fragments Influenced by Landscape Patterns at Multiple Scales? Landsc. Ecol. 2009, 24, 907–918. [Google Scholar] [CrossRef]
- Cardoso, I.; Bueno, A.S.; Morante-Filho, J.C. Number of Forest Fragments and Understory Plants Exert Opposite Effects on Multiple Facets of Bird Diversity in Eucalypt Plantations. Landsc. Ecol. 2023, 38, 1069–1083. [Google Scholar] [CrossRef]
- Gao, Z.; Sun, H. (Eds.) Species Red List of Yunnan Province; Yunnan Science and Technology Press: Kunming, China, 2021. [Google Scholar]
- The Biodiversity Committee of Chinese Academy of Sciences. Catalogue of Life China: 2023 Annual Checklist; Science Press: Beijing, China, 2023. [Google Scholar]
- Yunnan Statistical Bureau. Yunnan Statistical Yearbook 2022; China Statistics Press: Beijing, China, 2022. [Google Scholar]
- Ralph, C.J.; Sauer, J.R.; Droege, S. Monitoring Bird Populations by Point Counts; Pacific Southwest Research Station: Albany, NY, USA, 1995.
- BirdLife International. The BirdLife Checklist of the Birds of the World: Version 7.0. Available online: http://datazone.birdlife.org/species/taxonomy (accessed on 6 July 2023).
- Wilman, H.; Belmaker, J.; Simpson, J.; de la Rosa, C.; Rivadeneira, M.M.; Jetz, W. EltonTraits 1.0: Species-Level Foraging Attributes of the World’s Birds and Mammals. Ecology 2014, 95, 2027. [Google Scholar] [CrossRef]
- Montaño-Centellas, F.A.; McCain, C.; Loiselle, B.A. Using Functional and Phylogenetic Diversity to Infer Avian Community Assembly along Elevational Gradients. Glob. Ecol. Biogeogr. 2020, 29, 232–245. [Google Scholar] [CrossRef]
- Laliberté, E.; Legendre, P. A Distance-Based Framework for Measuring Functional Diversity from Multiple Traits. Ecology 2010, 91, 299–305. [Google Scholar] [CrossRef]
- R Core Team. R: A Language and Environment for Statistical Computing; R Foundation for Statistical Computing: Vienna, Austria, 2021. [Google Scholar]
- Ferenc, M.; Sedláček, O.; Fuchs, R. How to Improve Urban Greenspace for Woodland Birds: Site and Local-Scale Determinants of Bird Species Richness. Urban Ecosyst. 2014, 17, 625–640. [Google Scholar] [CrossRef]
- Puan, C.L.; Yeong, K.L.; Ong, K.W.; Ahmad Fauzi, M.I.; Yahya, M.S.; Khoo, S.S. Influence of Landscape Matrix on Urban Bird Abundance: Evidence from Malaysian Citizen Science Data. J. Asia-Pac. Biodivers. 2019, 12, 369–375. [Google Scholar] [CrossRef]
- Xu, X.; Xie, Y.; Qi, K.; Luo, Z.; Wang, X. Detecting the Response of Bird Communities and Biodiversity to Habitat Loss and Fragmentation Due to Urbanization. Sci. Total Environ. 2018, 624, 1561–1576. [Google Scholar] [CrossRef]
- Farr, T.G.; Rosen, P.A.; Caro, E.; Crippen, R.; Duren, R.; Hensley, S.; Kobrick, M.; Paller, M.; Rodriguez, E.; Roth, L.; et al. The Shuttle Radar Topography Mission. Rev. Geophys. 2007, 45, RG2004. [Google Scholar] [CrossRef]
- ESRI. ArcGIS Desktop: Release 10; Environmental Systems Research Institute: Redlands, CA, USA, 2011. [Google Scholar]
- McGarigal, K.; Marks, B.J. FRAGSTATS: Spatial Pattern Analysis Program for Quantifying Landscape Structure; General Technical Report PNW-GTR-351; U.S. Department of Agriculture, Forest Service, Pacific Northwest Research Station: Portland, OR, USA, 1995. [CrossRef]
- McGarigal, K.; Cushman, S.A.; Neel, M.C.; Ene, E. FRAGSTATS: Spatial Pattern Analysis Program for Categorical Maps. Computer Software Program Produced by the Authors at the University of Massachusetts, Amherst. 2002. Available online: http://www.umass.edu/landeco/research/fragstats/fragstats.html (accessed on 6 July 2023).
- Ikin, K.; Beaty, R.M.; Lindenmayer, D.B.; Knight, E.; Fischer, J.; Manning, A.D. Pocket Parks in a Compact City: How Do Birds Respond to Increasing Residential Density? Landsc. Ecol. 2013, 28, 45–56. [Google Scholar] [CrossRef]
- Leveau, L.M.; Leveau, C.M. Street Design in Suburban Areas and Its Impact on Bird Communities: Considering Different Diversity Facets over the Year. Urban For. Urban Green. 2020, 48, 126578. [Google Scholar] [CrossRef]
- Kucheryavskiy, S. Mdatools—R Package for Chemometrics. Chemom. Intell. Lab. Syst. 2020, 198, 103937. [Google Scholar] [CrossRef]
- Mehmood, T.; Liland, K.H.; Snipen, L.; Sæbø, S. A Review of Variable Selection Methods in Partial Least Squares Regression. Chemom. Intell. Lab. Syst. 2012, 118, 62–69. [Google Scholar] [CrossRef]
- Carrascal, L.M.; Galván, I.; Gordo, O. Partial Least Squares Regression as an Alternative to Current Regression Methods Used in Ecology. Oikos 2009, 118, 681–690. [Google Scholar] [CrossRef]
- Rossi, J.-P.; van Halder, I. Towards Indicators of Butterfly Biodiversity Based on a Multiscale Landscape Description. Ecol. Indic. 2010, 10, 452–458. [Google Scholar] [CrossRef]
- Chong, I.-G.; Jun, C.-H. Performance of Some Variable Selection Methods When Multicollinearity Is Present. Chemom. Intell. Lab. Syst. 2005, 78, 103–112. [Google Scholar] [CrossRef]
- Sobhonslidsuk, A.; Chanprasertyothin, S.; Pongrujikorn, T.; Kaewduang, P.; Promson, K.; Petraksa, S.; Ongphiphadhanakul, B. The Association of Gut Microbiota with Nonalcoholic Steatohepatitis in Thais. BioMed Res. Int. 2018, 2018, 9340316. [Google Scholar] [CrossRef] [PubMed]
- Bickford, D.; Ng, T.H.; Qie, L.; Kudavidanage, E.P.; Bradshaw, C.J. Forest Fragment and Breeding Habitat Characteristics Explain Frog Diversity and Abundance in Singapore. Biotropica 2010, 42, 119–125. [Google Scholar] [CrossRef]
- Burnham, K.P.; Anderson, D.R. Model Selection and Multimodel Inference: A Practical Information-Theoretic Approach; Springer: New York, NY, USA, 2002; ISBN 978-1-280-00948-8. [Google Scholar]
- Bartoń, K. Multi-Model Inference. R Package, Version 1.43.6. Available online: https://cran.r-project.org/web/packages/MuMIn/MuMIn.pdf (accessed on 6 July 2023).
- Bidwell, M.T.; Green, A.J.; Clark, R.G. Random Placement Models Predict Species–Area Relationships in Duck Communities despite Species Aggregation. Oikos 2014, 123, 1499–1508. [Google Scholar] [CrossRef]
- Xia, S.; Wang, Y.; Lei, G.; Liu, Y.; Lei, J.; Yu, X.; Wen, L.; Zhou, Y. Restriction of Herbivorous Waterbird Distributions in the Middle and Lower Yangtze River Floodplain in View of Hydrological Isolation. Wetlands 2017, 37, 79–88. [Google Scholar] [CrossRef]
- Mao, Q.; Liao, C.; Wu, Z.; Guan, W.; Yang, W.; Tang, Y.; Wu, G. Effects of Land Cover Pattern Along Urban-Rural Gradient on Bird Diversity in Wetlands. Diversity 2019, 11, 86. [Google Scholar] [CrossRef]
- Rosselli, L.; Stiles, F.G. Wetland Habitats of the Sabana de Bogota Andean Highland Plateau and Their Birds. Aquat. Conserv. Mar. Freshw. Ecosyst. 2012, 22, 303–317. [Google Scholar] [CrossRef]
- Albanese, G.; Davis, C.A. Characteristics within and around Stopover Wetlands Used by Migratory Shorebirds: Is the Neighborhood Important? Condor 2015, 117, 328–340. [Google Scholar] [CrossRef]
- Kang, W.; Minor, E.S.; Park, C.-R.; Lee, D. Effects of Habitat Structure, Human Disturbance, and Habitat Connectivity on Urban Forest Bird Communities. Urban Ecosyst. 2015, 18, 857–870. [Google Scholar] [CrossRef]
- Villaseñor, N.R.; Escobar, M.A.H.; Hernández, H.J. Can Aggregated Patterns of Urban Woody Vegetation Cover Promote Greater Species Diversity, Richness and Abundance of Native Birds? Urban For. Urban Green. 2021, 61, 127102. [Google Scholar] [CrossRef]
- Enedino, T.R.; Loures-Ribeiro, A.; Santos, B.A. Protecting Biodiversity in Urbanizing Regions: The Role of Urban Reserves for the Conservation of Brazilian Atlantic Forest Birds. Perspect. Ecol. Conserv. 2018, 16, 17–23. [Google Scholar] [CrossRef]
- Morelli, F.; Benedetti, Y.; Su, T.; Zhou, B.; Moravec, D.; Simova, P.; Liang, W. Taxonomic Diversity, Functional Diversity and Evolutionary Uniqueness in Bird Communities of Beijing’s Urban Parks: Effects of Land Use and Vegetation Structure. Urban For. Urban Green. 2017, 23, 84–92. [Google Scholar] [CrossRef]
- Prescott, G.W.; Gilroy, J.J.; Haugaasen, T.; Medina Uribe, C.A.; Foster, W.A.; Edwards, D.P. Reducing the Impacts of Neotropical Oil Palm Development on Functional Diversity. Biol. Conserv. 2016, 197, 139–145. [Google Scholar] [CrossRef]
- Leveau, L.M.; Isla, F.I.; Isabel Bellocq, M. From Town to Town: Predicting the Taxonomic, Functional and Phylogenetic Diversity of Birds Using NDVI. Ecol. Indic. 2020, 119, 106703. [Google Scholar] [CrossRef]
- Melo, M.A.; Sanches, P.M.; Silva Filho, D.F.; Piratelli, A.J. Influence of Habitat Type and Distance from Source Area on Bird Taxonomic and Functional Diversity in a Neotropical Megacity. Urban Ecosyst. 2022, 25, 545–560. [Google Scholar] [CrossRef]
- Paz Silva, C.; Garcia, C.E.; Estay, S.A.; Barbosa, O. Bird Richness and Abundance in Response to Urban Form in a Latin American City: Valdivia, Chile as a Case Study. PLoS ONE 2015, 10, e0138120. [Google Scholar] [CrossRef]
- Barber, J.R.; Crooks, K.R.; Fristrup, K.M. The Costs of Chronic Noise Exposure for Terrestrial Organisms. Trends Ecol. Evol. 2010, 25, 180–189. [Google Scholar] [CrossRef]
- Kociolek, A.V.; Clevenger, A.P.; Clair, C.C.S.; Proppe, D.S. Effects of Road Networks on Bird Populations. Conserv. Biol. 2011, 25, 241–249. [Google Scholar] [CrossRef] [PubMed]
- Whited, D.; Galatowitsch, S.; Tester, J.R.; Schik, K.; Lehtinen, R.; Husveth, J. The Importance of Local and Regional Factors in Predicting Effective Conservation—Planning Strategies for Wetland Bird Communities in Agricultural and Urban Landscapes. Landsc. Urban Plan. 2000, 49, 49–65. [Google Scholar] [CrossRef]
- Peters, M.K.; Hemp, A.; Appelhans, T.; Becker, J.N.; Behler, C.; Classen, A.; Detsch, F.; Ensslin, A.; Ferger, S.W.; Frederiksen, S.B.; et al. Climate–Land-Use Interactions Shape Tropical Mountain Biodiversity and Ecosystem Functions. Nature 2019, 568, 88–92. [Google Scholar] [CrossRef] [PubMed]
- Körner, C.; Paulsen, J.; Spehn, E.M. A Definition of Mountains and Their Bioclimatic Belts for Global Comparisons of Biodiversity Data. Alp. Bot. 2011, 121, 73–78. [Google Scholar] [CrossRef]
- Liu, W.; Yu, D.; Yuan, S.; Yi, J.; Cao, Y.; Li, X.; Xu, H. Effects of Spatial Fragmentation on the Elevational Distribution of Bird Diversity in a Mountain Adjacent to Urban Areas. Ecol. Evol. 2022, 12, e9051. [Google Scholar] [CrossRef]
- Rahbek, C.; Borregaard, M.K.; Antonelli, A.; Colwell, R.K.; Holt, B.G.; Nogues-Bravo, D.; Rasmussen, C.M.Ø.; Richardson, K.; Rosing, M.T.; Whittaker, R.J.; et al. Building Mountain Biodiversity: Geological and Evolutionary Processes. Science 2019, 365, 1114–1119. [Google Scholar] [CrossRef]
- McCain, C.M. Area and Mammalian Elevational Diversity. Ecology 2007, 88, 76–86. [Google Scholar] [CrossRef]
- Reynolds, S.J.; Galbraith, J.A.; Smith, J.A.; Jones, D.N. Garden Bird Feeding: Insights and Prospects from a North-South Comparison of This Global Urban Phenomenon. Front. Ecol. Evol. 2017, 5, 24. [Google Scholar] [CrossRef]
- Suárez-Castro, A.F.; Maron, M.; Mitchell, M.G.E.; Rhodes, J.R. Disentangling Direct and Indirect Effects of Landscape Structure on Urban Bird Richness and Functional Diversity. Ecol. Appl. 2022, 32, e2713. [Google Scholar] [CrossRef]
- Jonason, D.; Ekroos, J.; Öckinger, E.; Helenius, J.; Kuussaari, M.; Tiainen, J.; Smith, H.G.; Lindborg, R. Weak Functional Response to Agricultural Landscape Homogenisation among Plants, Butterflies and Birds. Ecography 2017, 40, 1221–1230. [Google Scholar] [CrossRef]





| Foraging Strata (%) | |||||||||||
|---|---|---|---|---|---|---|---|---|---|---|---|
| Common Name | Scientific Name | Migratory Status | Total Count of Birds Observed | Dominant Diet Categories | Below the Water Surface | Around the Water Surface | Ground | Understory | Mid-High | Canopy | Aerial |
| Gadwall | Mareca strepera | W | 73 | PLS | 0 | 80 | 20 | 0 | 0 | 0 | 0 |
| Mallard | Anas platyrhynchos | W, R | 86 | OMN | 20 | 60 | 20 | 0 | 0 | 0 | 0 |
| Little Grebe | Tachybaptus ruficollis | R | 134 | IVB | 70 | 30 | 0 | 0 | 0 | 0 | 0 |
| Spotted Dove | Spilopelia chinensis | R | 76 | PLS | 0 | 0 | 100 | 0 | 0 | 0 | 0 |
| House Swift | Apus nipalensis | S | 44 | IVB | 0 | 0 | 0 | 0 | 10 | 0 | 90 |
| Common Moorhen | Gallinula chloropus | R | 234 | OMN | 0 | 20 | 60 | 20 | 0 | 0 | 0 |
| Common Coot | Fulica atra | W | 196 | PLS | 50 | 50 | 0 | 0 | 0 | 0 | 0 |
| Black-crowned Night-heron | Nycticorax nycticorax | S | 109 | VFC | 0 | 50 | 50 | 0 | 0 | 0 | 0 |
| Chinese Pond-heron | Ardeola bacchus | R | 44 | IVB | 20 | 70 | 10 | 0 | 0 | 0 | 0 |
| Little Egret | Egretta garzetta | R | 209 | IVB | 0 | 70 | 30 | 0 | 0 | 0 | 0 |
| Black-headed Gull | Larus ridibundus | W | 308 | IVB | 0 | 50 | 50 | 0 | 0 | 0 | 0 |
| Long-tailed Shrike | Lanius schach | R | 44 | IVB | 0 | 0 | 80 | 10 | 10 | 0 | 0 |
| Barn Swallow | Hirundo rustica | R | 61 | IVB | 0 | 0 | 30 | 30 | 40 | 0 | 0 |
| Black-throated Tit | Aegithalos concinnus | R | 178 | IVB | 0 | 0 | 0 | 80 | 0 | 20 | 0 |
| Brown-breasted Bulbul | Pycnonotus xanthorrhous | R | 980 | FN | 0 | 0 | 50 | 50 | 0 | 0 | 0 |
| Sooty-headed Bulbul | Pycnonotus aurigaster | R | 128 | OMN | 0 | 0 | 20 | 30 | 30 | 0 | 20 |
| Dusky Warbler | Phylloscopus fuscatus | P, W | 41 | IVB | 0 | 0 | 0 | 50 | 50 | 0 | 0 |
| Pallas’s Leaf-warbler | Phylloscopus proregulus | P, W | 62 | IVB | 0 | 0 | 0 | 50 | 0 | 50 | 0 |
| Yellow-browed Warbler | Phylloscopus inornatus | R, W | 38 | IVB | 0 | 0 | 10 | 30 | 30 | 30 | 0 |
| White-browed Laughingthrush | Garrulax sannio | R | 132 | IVB | 0 | 0 | 50 | 50 | 0 | 0 | 0 |
| Blue-winged Minla | Minla cyanouroptera | R | 100 | OMN | 0 | 0 | 0 | 0 | 20 | 80 | 0 |
| Grey-cheeked Fulvetta | Alcippe morrisonia | R | 40 | IVB | 0 | 0 | 0 | 20 | 80 | 0 | 0 |
| Oriental White-eye | Zosterops palpebrosus | W, R | 364 | OMN | 0 | 0 | 0 | 0 | 30 | 70 | 0 |
| Red-billed Starling | Sturnus sericeus | R | 88 | FN | 0 | 0 | 40 | 20 | 20 | 20 | 0 |
| Common Blackbird | Turdus merula | R | 52 | OMN | 0 | 0 | 60 | 20 | 20 | 0 | 0 |
| Oriental Magpie-robin | Copsychus saularis | R | 104 | IVB | 0 | 0 | 80 | 20 | 0 | 0 | 0 |
| Eurasian Tree Sparrow | Passer montanus | R | 184 | PLS | 0 | 0 | 33 | 33 | 33 | 0 | 0 |
| White Wagtail | Motacilla alba | R, W | 158 | IVB | 0 | 0 | 100 | 0 | 0 | 0 | 0 |
| Black-headed Greenfinch | Carduelis ambigua | R | 163 | PLS | 0 | 0 | 50 | 50 | 0 | 0 | 0 |
| Chinese Grosbeak | Eophona migratoria | P, W | 43 | OMN | 0 | 0 | 33 | 33 | 33 | 0 | 0 |
| Type | Metric | Land Use/Level | Buffer Radius (m) | Estimate | p-Value | |
|---|---|---|---|---|---|---|
| (Int) | - | - | - | - | −42.968 | 0.597 |
| Area | PLAND | constructed land (class level) | 100 | −0.250 | 0.012 | |
| Altitude | Altitude_RANGE | landscape level | 2200 | 0.016 | 0.026 | |
| Dispersion | CLUMPY | forest (class level) | 2000 | 92.396 | 0.236 | |
| Dispersion | CLUMPY | open green space (class level) | 2400 | 103.095 | 0.290 |
| Type | Metric | Land Use/Level | Buffer Radius (m) | Estimate | p-Value | |
|---|---|---|---|---|---|---|
| (Int) | - | - | - | - | −0.191 | 0.999 |
| Dispersion | PLADJ | constructed land (class level) | 100 | −0.453 | <0.001 | |
| Subdivision | AREA_MN | open water (class level) | 3000 | 0.523 | <0.001 | |
| Subdivision | PD | open green space (class level) | 400 | −0.016 | 0.092 | |
| Dispersion | COHESION | open water (class level) | 2800 | 2.747 | 0.107 | |
| Area | PLAND | constructed land (class level) | 100 | −0.153 | 0.107 | |
| Subdivision | PD | landscape level | 600 | −0.010 | 0.144 | |
| Interspersion | IJI | open green space (class level) | 1600 | 0.085 | 0.212 |
| Type | Metric | Land Use/Level | Buffer Radius (m) | Estimate | p-Value | |
|---|---|---|---|---|---|---|
| (Int) | - | - | - | - | 7.366 | 0.603 |
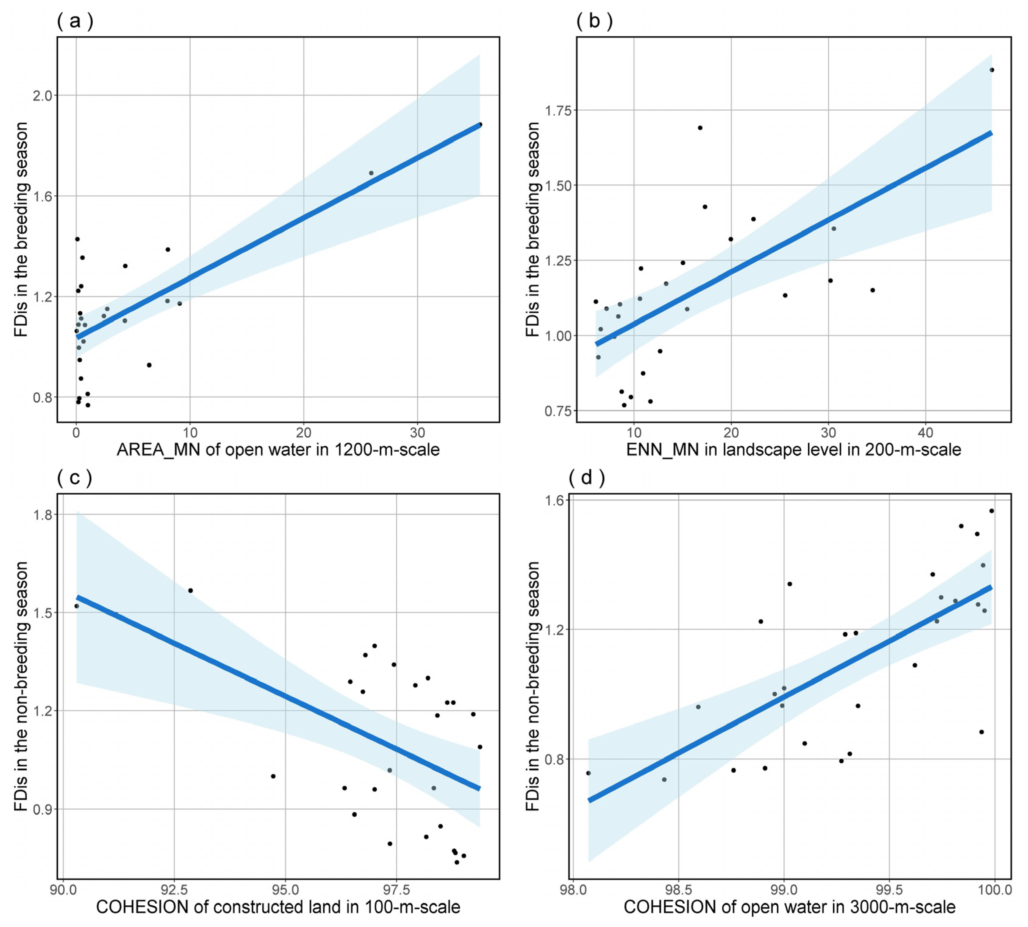
| Subdivision | AREA_MN | open water (class level) | 1200 | 0.017 | 0.003 | |
| Subdivision | PD | open green space (class level) | 1200 | −0.002 | 0.155 | |
| Isolation | ENN_MN | landscape level | 200 | 0.008 | 0.048 | |
| Dispersion | PLADJ | landscape level | 3000 | −0.278 | 0.103 | |
| Edge | ED | road (class level) | 3000 | −0.002 | 0.238 |
| Type | Metric | Land Use/Level | Buffer Radius (m) | Estimate | p-Value | |
|---|---|---|---|---|---|---|
| (Int) | - | - | - | - | −21.050 | 0.021 |
| Dispersion | COHESION | constructed land (class level) | 100 | −0.034 | 0.050 | |
| Dispersion | COHESION | open water (class level) | 3000 | 0.242 | 0.005 | |
| Subdivision | AREA_AM | open water (class level) | 600 | 0.003 | 0.171 | |
| Subdivision | DIVISION | constructed land (class level) | 3000 | 3.966 | 0.255 | |
| Subdivision | AREA_MN | landscape level | 2600 | 0.057 | 0.079 |
Disclaimer/Publisher’s Note: The statements, opinions and data contained in all publications are solely those of the individual author(s) and contributor(s) and not of MDPI and/or the editor(s). MDPI and/or the editor(s) disclaim responsibility for any injury to people or property resulting from any ideas, methods, instructions or products referred to in the content. |
© 2023 by the authors. Licensee MDPI, Basel, Switzerland. This article is an open access article distributed under the terms and conditions of the Creative Commons Attribution (CC BY) license (https://creativecommons.org/licenses/by/4.0/).
Share and Cite
Mao, Q.; Wu, Z.; Deng, Y.; Sun, J.; Bai, H.; Gong, L.; Jiang, Z. Assessing the “Scale of Effect”: The Impact of Multi-Scale Landscape Characteristics on Urban Bird Species Taxonomic and Functional Diversity. Diversity 2023, 15, 943. https://doi.org/10.3390/d15080943
Mao Q, Wu Z, Deng Y, Sun J, Bai H, Gong L, Jiang Z. Assessing the “Scale of Effect”: The Impact of Multi-Scale Landscape Characteristics on Urban Bird Species Taxonomic and Functional Diversity. Diversity. 2023; 15(8):943. https://doi.org/10.3390/d15080943
Chicago/Turabian StyleMao, Qian, Zhaolu Wu, Yuanyuan Deng, Jianxin Sun, Haotian Bai, Lei Gong, and Zihan Jiang. 2023. "Assessing the “Scale of Effect”: The Impact of Multi-Scale Landscape Characteristics on Urban Bird Species Taxonomic and Functional Diversity" Diversity 15, no. 8: 943. https://doi.org/10.3390/d15080943
APA StyleMao, Q., Wu, Z., Deng, Y., Sun, J., Bai, H., Gong, L., & Jiang, Z. (2023). Assessing the “Scale of Effect”: The Impact of Multi-Scale Landscape Characteristics on Urban Bird Species Taxonomic and Functional Diversity. Diversity, 15(8), 943. https://doi.org/10.3390/d15080943

