Invasive Cuban Treefrogs (Osteopilus septentrionalis) Have More Robust Locomotor Performance Than Two Native Treefrogs (Hyla spp.) in Florida, USA, in Response to Temperature and Parasitic Infections
Abstract
1. Introduction
2. Materials and Methods
2.1. Frog Background
2.2. Parasite Background
2.3. Frog Collection and Husbandry
2.4. Parasite Presence and Abundance
2.5. Locomotor Performance
2.6. Statistical Analyses
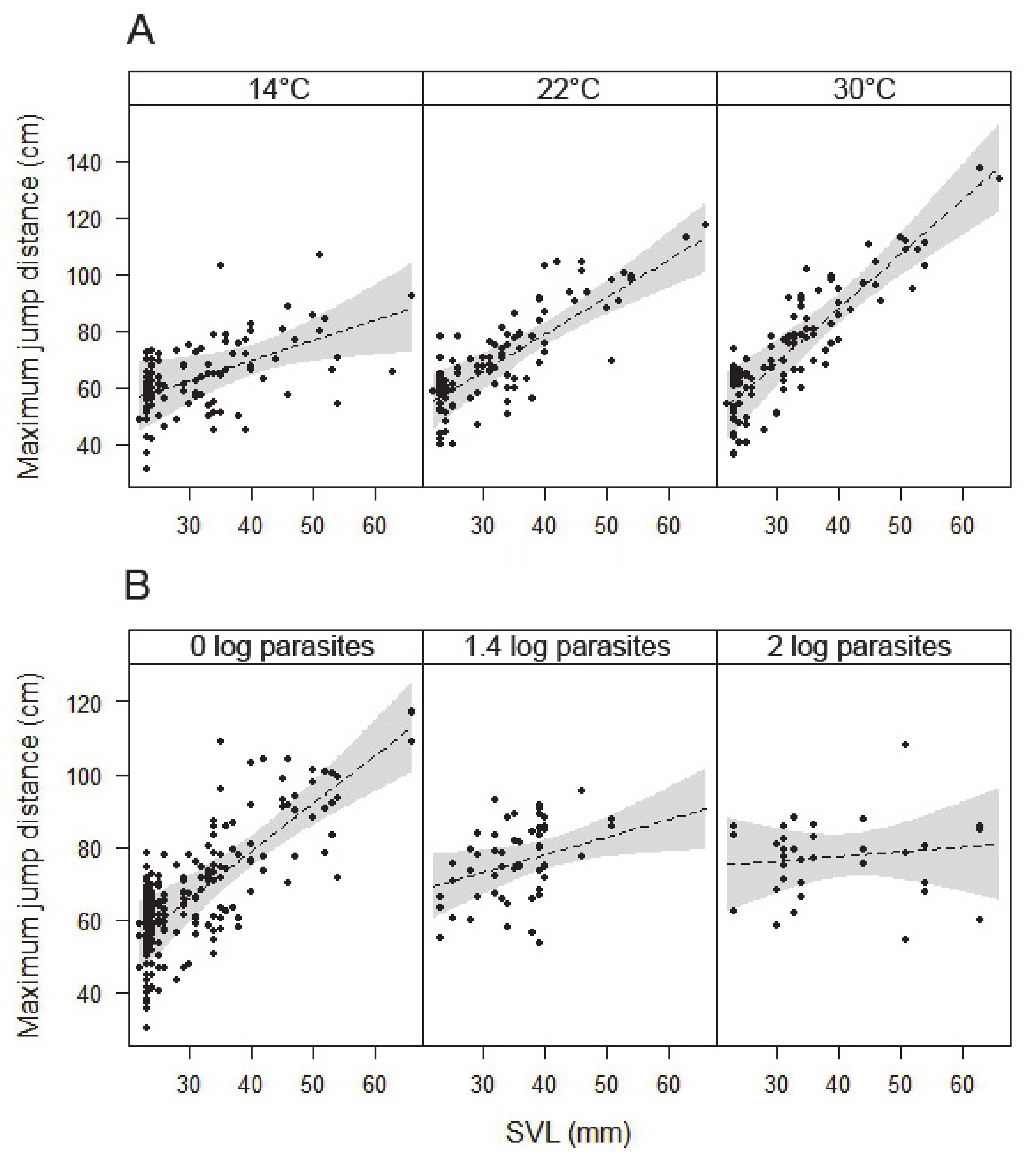
3. Results
4. Discussion
Author Contributions
Funding
Institutional Review Board Statement
Data Availability Statement
Acknowledgments
Conflicts of Interest
References
- Hayes, K.R.; Barry, S.C. Are there any consistent predictors of invasion success? Biol. Invasions 2008, 10, 483–506. [Google Scholar] [CrossRef]
- Bomford, M.; Kraus, F.; Barry, S.C.; Lawrence, E. Predicting establishment success for alien reptiles and amphibians: A role for climate matching. Biol. Invasions 2008, 11, 713–724. [Google Scholar] [CrossRef]
- Dunn, A.M. Parasites and Biological Invasions. Adv. Parasitol. 2009, 68, 161–184. [Google Scholar] [CrossRef] [PubMed]
- Young, H.S.; Parker, I.M.; Gilbert, G.S.; Guerra, A.S.; Nunn, C.L. Introduced Species, Disease Ecology, and Biodiversity–Disease Relationships. Trends Ecol. Evol. 2017, 32, 41–54. [Google Scholar] [CrossRef] [PubMed]
- Kearney, M.; Phillips, B.L.; Tracy, C.R.; Christian, K.A.; Betts, G.; Porter, W.P. Modelling species distributions without using species distributions: The cane toad in Australia under current and future climates. Ecography 2008, 31, 423–434. [Google Scholar] [CrossRef]
- Wassersug, R.J.; Sperry, D.G. The relationship of locomotion to differential predation on Pseudacris triseriata (Anu-ra:Hylidae). Ecology 1977, 58, 830–839. [Google Scholar] [CrossRef]
- Walton, M. Relationships among metabolic, locomotory, and field measures of organismal performance in the Fowler’s toad (Bufo woodhousei fowleri). Physiol. Zool. 1988, 61, 107–118. [Google Scholar] [CrossRef]
- Miles, D. The race goes to the swift: Fitness consequences of variation in sprint performance in juvenile lizards. Evol. Ecol. Res. 2004, 6, 63–75. [Google Scholar]
- Husak, J.F. Does survival depend on how fast you can run or how fast you do run? Funct. Ecol. 2006, 20, 1080–1086. [Google Scholar] [CrossRef]
- Llewelyn, J.; Phillips, B.L.; Alford, R.A.; Schwarzkopf, L.; Shine, R. Locomotor performance in an invasive species: Cane toads from the invasion front have greater endurance, but not speed, compared to conspecifics from a long-colonised area. Oecologia 2010, 162, 343–348. [Google Scholar] [CrossRef] [PubMed]
- Hirano, M.; Rome, L.C. Jumping performance of frogs (Rana pipiens) as a function of muscle temperature. J. Exp. Biol. 1984, 108, 429–439. [Google Scholar]
- Angiletta, M.J., Jr.; Niewiarowski, P.H.; Navas, C.A. The evolution of thermal physiology in ectotherms. J. Therm. Biol. 2002, 27, 249–268. [Google Scholar] [CrossRef]
- Roznik, E.A.; Rodriguez-Barbosa, C.A.; Johnson, S.A. Hydric Balance and Locomotor Performance of Native and Invasive Frogs. Front. Ecol. Evol. 2018, 6. [Google Scholar] [CrossRef]
- Hertz, P.E.; Huey, R.B.; Garland, T. Time Budgets, Thermoregulation, and Maximal Locomotor Performance: Are Reptiles Olympians or Boy Scouts? Am. Zool. 1988, 28, 927–938. [Google Scholar] [CrossRef]
- Angiletta, M.J., Jr.; Hill, T.; Robson, M.A. Is physiological performance optimized by thermoregulatory behavior? A case study of the eastern fence lizard, Sceloporus undulatus. J. Therm. Biol. 2002, 27, 199–204. [Google Scholar] [CrossRef]
- Sinervo, B.; Méndez-de-la-Cruz, F.; Miles, D.B.; Heulin, B.; Bastiaans, E.; Villagrán-Santa Cruz, M.; Lara-Resendiz, R.; Mar-tínez-Méndez, N.; Calderón-Espinosa, M.L.; Meza-Lázaro, R.N.; et al. Erosion of lizard diversity by climate change and altered thermal niches. Science 2010, 328, 894–899. [Google Scholar] [CrossRef]
- Kearney, M.R. Activity restriction and the mechanistic basis for extinctions under climate warming. Ecol. Lett. 2013, 16, 1470–1479. [Google Scholar] [CrossRef] [PubMed]
- Goater, C.P.; Semlitsch, R.D.; Bernasconi, M.V. Effects of body size and parasite infection on the locomotor performance of juvenile toads, Bufo bufo. Oikos 1993, 66, 129–136. [Google Scholar] [CrossRef]
- Kelehear, C.; Webb, J.K.; Shine, R. Rhabdias pseudosphaerocephala infection in Bufo marinus: Lung nematodes reduce viability of metamorph cane toads. Parasitology 2009, 136, 919–927. [Google Scholar] [CrossRef]
- Marr, S.R.; Johnson, S.A.; Hara, A.H.; McGarrity, M.E. Preliminary evaluation of the potential of the helminth parasite Rhab-dias elegans as a biological control agent for invasive Puerto Rican coquís (Eleutherodactylus coqui) in Hawaii. Biol. Control 2010, 54, 69–74. [Google Scholar] [CrossRef]
- Moretti, E.H.; Madelaire, C.B.; Silva, R.J.; Mendonça, M.T.; Gomes, F.R. The Relationships between Parasite Intensity, Locomotor Performance, and Body Condition in Adult Toads (Rhinella icterica) from the Wild. South Am. J. Herpetol. 2014, 48, 277–283. [Google Scholar] [CrossRef]
- Schall, J.J.; Bennett, A.F.; Putnam, R.W. Lizards infected with malaria: Physiological and behavioural consequences. Science 1982, 217, 1057–1059. [Google Scholar] [CrossRef] [PubMed]
- Oppliger, A.; Célérier, M.L.; Clobert, J. Physiological and behaviour changes in common lizards parasitized by haemogregarines. Parasitology 1996, 113, 433–438. [Google Scholar] [CrossRef]
- Knutie, S.A.; Wilkinson, C.L.; Wu, Q.C.; Ortega, C.N.; Rohr, J.R. Host resistance and tolerance of parasitic gut worms depend on resource availability. Oecologia 2017, 183, 1031–1040. [Google Scholar] [CrossRef] [PubMed]
- Clarke, A.; Fraser, K.P.P. Why does metabolism scale with temperature? Funct. Ecol. 2004, 18, 243–251. [Google Scholar] [CrossRef]
- White, C.R.; Phillips, N.F.; Seymour, R.S. The scaling and temperature dependence of vertebrate metabolism. Biol. Lett. 2006, 2, 125–127. [Google Scholar] [CrossRef] [PubMed]
- Peplowski, M.M.; Marsh, R.L. Work and power output in the hindlimb muscles of Cuban tree frogs Osteopilus septen-trionalis during jumping. J. Exp. Biol. 1997, 200, 2861–2862. [Google Scholar]
- Herrel, A.; Bonneaud, C. Temperature dependence of locomtor performance in the tropical clawed frog, Xenopus tropi-calis. J. Exp. Biol. 2012, 215, 2465–2466. [Google Scholar] [CrossRef] [PubMed]
- Roznik, E.A.; Surbaugh, K.L.; Cano, N.; Rohr, J.R. Elucidating mechanisms of invasion success: Effects of parasite removal on growth and survival rates of invasive and native frogs. J. Appl. Ecol. 2020, 57, 1078–1088. [Google Scholar] [CrossRef]
- Ortega, C.N.; Roznik, E.A.; Surbaugh, K.L.; Cano, N.; Price, W.; Campbell, T.; Rohr, J.R. Parasite spillover to native hosts from more tolerant, supershedding invasive hosts: Implications for management. J. Appl. Ecol. 2021, in press. [Google Scholar]
- Meshaka, W.E., Jr. The Cuban Treefrog in Florida: Life History of a Successful Colonizing Species; University Press of Florida: Gainesville, FL, USA, 2001. [Google Scholar]
- Barbour, T. Another introduced frog in North America. Copeia 1931, 3, 140. [Google Scholar] [CrossRef]
- Schwarz, A. Hyla septentrionalis Duméril and Bibron on the Florida mainland. Copeia 1952, 2, 117–118. [Google Scholar] [CrossRef]
- Meshaka, W.E., Jr. Vagility and the Florida distribution of the Cuban treefrog (Osteopilus septentrionalis). Herpetol. Rev. 1996, 27, 37–40. [Google Scholar]
- Heinicke, M.P.; Diaz, L.M.; Hedges, S.B. Origin of invasive Florida frogs traced to Cuba. Biol. Lett. 2011, 7, 407–410. [Google Scholar] [CrossRef]
- Fick, S.E.; Hijmans, R.J. WorldClim 2, New 1-km spatial resolution climate surfaces for global land areas. Int. J. Clim. 2017, 37, 4302–4315. [Google Scholar] [CrossRef]
- Walton, A.C. Notes on amphibian parasites. Proc. Helminthol. Soc. Wash. 1940, 7, 87–91. [Google Scholar]
- Barus, V. Nematodes parasitizing hosts of the genus Bufo (Amphibia) in Cuba. Folia Parasitol. 1973, 20, 29–39. [Google Scholar]
- Coy Otero, A.; Ventosa, L. Nemátodos parásitos de anfibios cubanos. Poeyana 1984, 269, 1–20. [Google Scholar]
- Vhora, M.S.; Bolek, M.G. New Host and Distribution Records for Aplectana hamatospicula (Ascaridida: Cosmocercidae) in Gastrophryne olivacea (Anura: Microhylidae) from the Great Plains USA. J. Parasitol. 2013, 99, 417–420. [Google Scholar] [CrossRef] [PubMed]
- Martinez, J.J.; Coy Otero, A.; Ventosa, L. Helmintos de Rana catesbeiana Shaw (Ranidae) en Cuba. Poeyana 1982, 243, 2–10. [Google Scholar]
- Ortega, N.; Price, W.; Campbell, T.; Rohr, J. Acquired and introduced macroparasites of the invasive Cuban treefrog, Osteopilus septentrionalis. Int. J. Parasitol. Parasites Wildl. 2015, 4, 379–384. [Google Scholar] [CrossRef] [PubMed][Green Version]
- Knutie, S.A.; Wilkinson, C.L.; Kohl, K.D.; Rohr, J.R. Early-life disruption of amphibian microbiota decreases later-life resistance to parasites. Nat. Commun. 2017, 8, 86. [Google Scholar] [CrossRef] [PubMed]
- Knutie, S.A.; Shea, L.A.; Kupselaitis, M.; Wilkinson, C.L.; Kohl, K.D.; Rohr, J.R. Early-life diet affects host microbiota and lat-er-life defenses against parasites in frogs. Integr. Comp. Biol. 2017, 57, 732–742. [Google Scholar] [CrossRef]
- Chabaud, A.G. Ascaridida: Cosmocercoidea, seuratoidea, and heterakoidea. In Keys to the Nematode Parasites of Vertebrates; Anderson, R.C., Chabaud, A.G., Willmott, S., Eds.; CABI Publishing: Cambridge, UK, 2009; pp. 248–308. [Google Scholar]
- Surbaugh, K. An Investigation of the Effects of the Parasitic Nematode Aplectana Hamatospicula on the Performance and Behavior of Cuban Treefrogs (Osteopilus septentrionalis). Master’s Thesis, University of South Florida, Tampa, FL, USA, 2019. [Google Scholar]
- Fox, J.; Weisberg, S. An R Companion to Applied Regression, 2nd ed.; Sage Publications: Thousand Oaks, CA, USA, 2011. [Google Scholar]
- Pinheiro, J.; Bates, D.; DebRoy, S.; Sarkar, D.; R Core Team. nlme: Linear and Nonlinear Mixed Effects Models. R Package Version, 3.1-131. 2017. Available online: https://CRAN.R-project.org/package=nlme (accessed on 3 March 2021).
- Peig, J.; Green, A.J. New perspectives for estimating body condition from mass/length data: The scaled mass index as an alternative method. Oikos 2009, 118, 1883–1891. [Google Scholar] [CrossRef]
- Astley, H.C. The diversity and evolution of locomotor muscle properties in anurans. J. Exp. Biol. 2016, 219, 3163–3173. [Google Scholar] [CrossRef]
- Rigby, M.C.; Hechinger, R.F.; Stevens, L. Why should parasite resistance be costly? Trends Parasitol. 2002, 18, 116–120. [Google Scholar] [CrossRef]
- Kutzer, M.A.; Armitage, S.A. Maximising fitness in the face of parasites: A review of host tolerance. Zoology 2016, 119, 281–289. [Google Scholar] [CrossRef]
- Rohr, J.R.; Raffel, T.R.; Hall, C.A. Developmental variation in resistance and tolerance in a multi-host-parasite system. Funct. Ecol. 2010, 24, 1110–1121. [Google Scholar] [CrossRef]
- Glorioso, B.M.; Waddle, J.H.; Crockett, M.E.; Rice, K.G.; Percival, H.F. Diet of the invasive Cuban treefrog (Osteopilus septen-trionalis) in pine rockland and mangrove habitats in South Florida. Caribb. J. Sci. 2010, 46, 346–355. [Google Scholar] [CrossRef]
- Rice, K.G.; Waddle, J.H.; Miller, M.W.; Crockett, M.E.; Mazzotti, F.J.; Percival, H.F. Recovery of Native Treefrogs After Removal of Nonindigenous Cuban Treefrogs, Osteopilus septentrionalis. Herpetologica 2011, 67, 105–117. [Google Scholar] [CrossRef]
- Wyatt, J.L.; Forys, E.A. Conservation Implications of Predation by Cuban Treefrogs (Osteopilus septentrionalis) on Native Hylids in Florida. Southeast. Nat. 2004, 3, 695–700. [Google Scholar] [CrossRef]




| Predictors | χ2 | DF | p |
|---|---|---|---|
| SVL | 25.9379 | 1 | <0.0000 |
| Temperature | 93.6099 | 1 | <0.0000 |
| Species | 32.0013 | 2 | <0.0000 |
| Parasites | 0.6059 | 1 | 0.4363 |
| SVL × Temperature | 10.3155 | 1 | 0.0013 |
| SVL × Species | 1.6159 | 2 | 0.4458 |
| Temperature × Species | 1.6722 | 2 | 0.4334 |
| SVL × Parasites | 7.8877 | 1 | 0.0050 |
| Temperature × Parasites | 0.6931 | 1 | 0.4051 |
| Species × Parasites | 2.4599 | 2 | 0.2923 |
| SVL × Temperature × Species | 2.5219 | 2 | 0.2834 |
| SVL × Temperature × Parasites | 1.5764 | 1 | 0.2093 |
| SVL × Species × Parasites | 1.4525 | 2 | 0.4837 |
| Temperature × Species × Parasites | 1.2773 | 2 | 0.5280 |
| SVL × Temperature × Species × Parasites | 1.1283 | 2 | 0.5688 |
| Predictors | χ2 | DF | p |
|---|---|---|---|
| SVL | 0.1923 | 1 | 0.6610 |
| Temperature | 0.5299 | 1 | 0.4666 |
| Species | 15.8867 | 2 | 0.0004 |
| Parasites | 1.1357 | 1 | 0.2866 |
| SVL × Temperature | 2.0081 | 1 | 0.1565 |
| SVL × Species | 11.2456 | 2 | 0.0036 |
| Temperature × Species | 0.0490 | 2 | 0.9758 |
| SVL × Parasites | 0.1826 | 1 | 0.6692 |
| Temperature × Parasites | 0.9905 | 1 | 0.3196 |
| Species × Parasites | 9.8773 | 2 | 0.0072 |
| SVL × Temperature × Species | 11.7538 | 2 | 0.0028 |
| SVL × Temperature × Parasites | 0.0103 | 1 | 0.9192 |
| SVL × Species × Parasites | 1.4758 | 2 | 0.4781 |
| Temperature × Species × Parasites | 17.1816 | 2 | 0.0002 |
| SVL × Temperature × Species × Parasites | 7.8832 | 2 | 0.0194 |
Publisher’s Note: MDPI stays neutral with regard to jurisdictional claims in published maps and institutional affiliations. |
© 2021 by the authors. Licensee MDPI, Basel, Switzerland. This article is an open access article distributed under the terms and conditions of the Creative Commons Attribution (CC BY) license (http://creativecommons.org/licenses/by/4.0/).
Share and Cite
Roznik, E.A.; Cano, N.; Surbaugh, K.L.; Ramsay, C.T.; Rohr, J.R. Invasive Cuban Treefrogs (Osteopilus septentrionalis) Have More Robust Locomotor Performance Than Two Native Treefrogs (Hyla spp.) in Florida, USA, in Response to Temperature and Parasitic Infections. Diversity 2021, 13, 109. https://doi.org/10.3390/d13030109
Roznik EA, Cano N, Surbaugh KL, Ramsay CT, Rohr JR. Invasive Cuban Treefrogs (Osteopilus septentrionalis) Have More Robust Locomotor Performance Than Two Native Treefrogs (Hyla spp.) in Florida, USA, in Response to Temperature and Parasitic Infections. Diversity. 2021; 13(3):109. https://doi.org/10.3390/d13030109
Chicago/Turabian StyleRoznik, Elizabeth A., Natalia Cano, Kerri L. Surbaugh, Chloe T. Ramsay, and Jason R. Rohr. 2021. "Invasive Cuban Treefrogs (Osteopilus septentrionalis) Have More Robust Locomotor Performance Than Two Native Treefrogs (Hyla spp.) in Florida, USA, in Response to Temperature and Parasitic Infections" Diversity 13, no. 3: 109. https://doi.org/10.3390/d13030109
APA StyleRoznik, E. A., Cano, N., Surbaugh, K. L., Ramsay, C. T., & Rohr, J. R. (2021). Invasive Cuban Treefrogs (Osteopilus septentrionalis) Have More Robust Locomotor Performance Than Two Native Treefrogs (Hyla spp.) in Florida, USA, in Response to Temperature and Parasitic Infections. Diversity, 13(3), 109. https://doi.org/10.3390/d13030109

