Abstract
Currently, there is a demand for more energy-efficient lighting sources, however, light emitted by different lighting systems differs in primary properties such as intensity, propagation direction, and wavelength spectrum, among others, and these properties may affect insect light attraction. Despite the energetic benefits of light-emitting diodes (LED) as street light systems, their ecological impacts on insects have not yet been tested on a wide range of taxa. Using an experimental approach, we showed that LED street lights lead to a reduction in the total number of insects captured with light traps in a wide range of families. Coleoptera and Lepidoptera orders were the most sensitive groups to ecological light pollution in the study area. We suggest that LED was the least attractive light system for most of the affected groups both because of its very little emitted short-wavelength light and because of its lower light intensity. We expect that the more and more widespread use of LED lights as a measure to reduce economic costs of outdoor lighting should lead to a lower attraction to street lights in most of the affected insect taxa and to diminish the negative impacts of artificial light attraction on the ecosystems.
1. Introduction
As a result of outdoor artificial lighting, natural illumination levels at night have experienced a substantial global increase, both in terms of areas affected and light intensity. Artificial lighting has also changed the light spectrum at night [1,2]. The consequent changes in the natural patterns of light and darkness negatively affect species and ecosystems and represent a key threat to biodiversity [3,4]. Ecological light pollution includes direct glare, chronically increased illumination, and temporary, unexpected fluctuations in lighting [5,6]. There is a wide variety of ecological light-pollution sources, such as lighted structures (e.g., buildings, towers, windmills, bridges, offshore platforms), streetlights, and lights on vehicles and boats, as well as many others. Prominent among them, street lighting is usually the most persistent and intense source of ecological light pollution in urban areas [7].
Specifically, artificial lighting is known to affect foraging, reproduction, communication, and breeding behavior of many invertebrates [6,8], including aquatic insects [9]. Insects use natural nocturnal illumination to perform essential activities such as mate selection, navigation, and foraging [6,10], thus, artificial lighting interferes with these activities [4,6]. In addition, light attraction led to an increase in mortality in many insect species, either by direct mortality due to increased predation [11] or by exhaustion, and it may affect their reproductive success [4,12].
Most existing research about the impacts of nocturnal artificial lighting on insects has been focused on the flight-to-light behavior shown in specific insect families [6], particularly moths, e.g., [10,13,14,15,16], (but see [17]). However, the attraction to light is highly dependent on insect species-specific traits [13,18,19,20]. Furthermore, light emitted by different lighting systems differs in primary properties such as intensity (the number of photons per unit area) [21], propagation direction, and wavelength, among others such as polarization and flicker [4,5,22,23]. Depending on their light properties, different systems differentially affect species [16,22,24,25]. For instance, it is well-known that UV light is particularly attractive for most insect groups [13,26,27,28,29,30]. In this sense, the spectral composition of white light can be adjusted to reduce the attraction of arthropods, but even with the same color temperatures, different lighting systems cause different impacts [31]. Comparisons between different light technologies suggest that LED lighting systems attract fewer insects compared to incandescent [32] and to compact fluorescent lamps of similar color temperature [31].
Artificial lighting also implies other environmental and monetary costs. For example, streetlights may affect the behavior of harmful insects, both for human and animal health, either because they cause a disease directly [33] or because they are disease vectors [21], as well as for crops [34]. On the other hand, the need to reduce CO2 emissions and energy consumption is driving demand for more energy-efficient lighting sources. In this sense, the European Commission is promoting a gradual replacement of traditional lighting systems by more efficient lamps. Prominent among the available efficient lighting systems are light-emitting diodes (LED). LED are extremely energy-efficient, and they provide long-lasting light with high design flexibility and lower maintenance costs compared with other lighting systems [35]. In addition, since LED give off light in a specific direction, they are more efficient than other lighting systems in reducing the waste of energy caused by light emitted in non-usable directions. Moreover, LED technology is continually advancing and it is rapidly becoming the preferred lighting solution. For all these reasons, LED are expected to have a positive effect on the ecosystems because of the reduction in energy and light waste.
We aimed to identify a lighting technology that can simultaneously satisfy energy-efficiency and minimize the consequences of ecological light pollution in different insect groups. Specifically, we assessed whether LED could mitigate the impacts of outdoor lighting in a wide variety of insect taxa when compared with other traditional street lighting systems. For this aim, we used light traps to assess the flight-to-light attraction of the different groups. However, taking into account only the quantity of the captures in light traps, we cannot infer the differential vulnerability among insect groups. Because differences in the number of catches among groups can be produced as a result of the different abundance of the insect taxa in the study area rather than the consequence of differential attraction to light. For this reason, in addition to light traps, we also captured insects using an alternative trapping method (i.e., sticky traps) in order to disentangle when there are truly light effects in the insect attraction levels.
2. Materials and Methods
We collected data in Punta Camorro (36°0′51″ N, 5°35′13″ W), about 22 m above sea level, and on the eastern side of Estrecho Natural Park (Tarifa), in southern Spain (Figure 1). The climate in this area is Mediterranean, with a marked temporal variation in the availability of resources throughout the year [36]. The study area is a farmland area where the presence of cattle limits the vegetation cover favoring the alternation of a mosaic of small forest patches (<2 ha), scrubland and grassland plots.
Figure 1.
Location of the study area.
2.1. Types of Lighting Systems to Be Assessed
We assessed the most common sources of outdoor lighting: high-pressure mercury vapor lamps (HPMV), high-pressure sodium vapor lamps (HPSV), metal halide lamps (MH), and LED [37]. Our aim was to assess equivalent lighting systems from the human eye’s perception. For this reason, the lighting systems that were assessed provided a similar usable light, although they differed in their powers (Table 1). This was possible thanks to their different luminous efficacy (total emitted visible light in relation to energy consumption) and, specifically in the case of LED, due to their high light directionality. The latter occurs because LED gives off light in a very specific direction. Therefore, even with lower luminous flux, LED is more efficient and can provide a similar amount of usable light. However, in order to allow comparisons among lighting systems also in terms of light direction, the emitting diodes in our LED system were placed around 360°, mimicking a conventional discharge lamp (i.e., HPMV, HPSV, and MH lamps).
Table 1.
Technical specifications of the lighting systems provided by the manufacturer. Peak wavelength was derived from the colour temperature by applying Wien’s law (https://www.omnicalculator.com/physics/wiens-law).
2.2. Data Collection
Light traps are the most frequent method used for trapping nocturnal insects [38] and they have been shown as an effective method to estimate rates of insect attraction to light sources [29]. We installed two light traps in two different sampling points, separated by a distance of 50 m. These traps consisted of two crossed plastic sheets of “plexiglass” within a shade lamp, a catch funnel, and a container filled with ethyl acetate-soaked plaster as a killing agent (Figure 2). The light trap design was identical for all the lighting systems assessed, thus, only the type of the lamp (HPMV, HPSV, MH, and LED) changed during the assessment. Lamps were placed on the cross of both plastic sheets (Figure 2). Insects attracted to the light fell from the plastic sheets through the funnel into the container and died because of the toxic atmosphere produced by the ethyl acetate. To complete the sample, disoriented individuals were also actively collected using a white plastic table coat (2 × 2 m) placed on the ground surrounding the light trap.
Figure 2.
Light trap used for data collection. Schema and photo.
We collected insects twice a month between December 2012 and August 2013; thus, we could consider the changes in insect activity and/or abundance over the annual cycle. To avoid light competition between different lighting systems, we tested only one type of lighting system each night [29]. Specifically, we conducted a total of two nocturnal trapping events per lighting system and month. Data collection was carried out during the first four hours after the sunset since preliminary research in the study area showed that the number of captures peaked within that time period. Additional preliminary research carried out in our study area using HPMV lamps supported the results reported by other authors, that light trapping on nights during the full moon was lower in terms of the total number captured [39,40]. Therefore, light trapping was carried out preferentially on nights with a low proportion of visible moon. From the latter preliminary study, we knew that the composition of the captures (in terms of species richness) was similar among forest, scrubland and grassland plots. However, the number of collected individuals, although similar between scrubland and forest, was lower in grassland plots. To maximize the number of captures, as well as to facilitate the logistics, all light traps were installed in scrubland plots.
Light sampling was complemented by sticky trapping [29] in order to disentangle when there were truly light effects in the insect attraction levels or when the differences in the quantity of the captures were related to changes in the relative abundance of the different insect groups. Insects captured in sticky traps were assumed to be a non-biased sample of the flying insects in the study area (but see below the discussion on this topic). Since, except for their color, these traps do not have any attractive element for insects (such as light, odors, or others), they are expected to capture insects according to their availability in the environment (i.e., according to their relative abundance). Therefore, with this sample, we could assess whether the differences in the quantity of the captures in light traps resulted from different attraction to light or from different relative abundance of the specific insect group. Sticky traps consist of 25 × 25 cm yellow sheets covered with glue on both sides and placed 1.5 m above the ground. We installed 10 sticky traps per site in two different sites (forest and scrubland) within n subarea of 25 ha within the study area, separated by a minimum distance of 8 m. Sticky traps remained exposed from night to day (about 12 h per trapping session) on a monthly basis between March to August 2013.
We did not trap under adverse meteorological conditions for insect activity [41]: the presence of rain, temperature <10 °C and wind speed >4 on the Beaufort scale), all the previous factors affecting the quantity of the captures. We identified all the collected individuals at least to the level of family.
2.3. Statistical Analysis
Effects of the lighting system on the quantity of insects captured and on the family richness per trapping session were analyzed with generalized linear models (GLM). Since we found overdispersion in the quantity models when using a Poisson GLM, we estimated insect numbers using a negative binomial (log link) model structure, whereas parameters in models for family richness were estimated using a normal distribution with a log link function. Regarding the “lighting system” factor (Table 1), HPMV was the reference level to compare all other levels (MPSV, MH, and LED) within the factor. The attraction of insects to street lighting is also dependent on weather conditions [29]. We included temperature, wind speed, wind direction, and season as additional predictors (Table 2) for taking into account the effect of these variables in the overall quantity and family richness of the captures. Additional models for estimating the quantity of particular insect groups (i.e., those most frequently captured in light traps) were also calibrated using the same predictors described in Table 1. In all cases, model selection was made using a backward stepwise procedure by AIC [42].
Table 2.
Description of the variables used to build the GLM models.
To test for differences among samples collected with light and sticky traps, we used a Chi-squared test (Χ2-test for two-way tables). All the analyses were performed using the MASS package [43] in R [44].
3. Results
We captured insects in light traps on 48 different nights (12 nights per lighting system) over the study period. The mean visible moon for all the light trapping events was 19% (SD = 0.16). A total sample of 25,268 individuals belonging to 58 different families and 15 orders, mainly of flying insects, were captured in light traps. The insect sample collected in light traps was dominated by flies (Diptera, 62%), followed by moths (Lepidoptera, 20%), beetles (Coleoptera, 8%), Hemiptera (4%), Hymenoptera (3%), and Neuroptera (1%). Regarding sticky traps, we collected insects during five different nights (mean visible moon = 23%; SD = 0.25). Using sticky traps, we captured a total of 838 individuals belonging to 11 families and 7 different orders. Most of the captures in the sticky traps also corresponded to flying insects (Diptera, 74%; Hemiptera, 10%; Hymenoptera, 8%; Coleoptera, 6%; and Neuroptera, 2%).
3.1. Models Predicting Quantity and Family Richness
After removing “Season” (Table 1), the variance inflation factors (VIFs) for quantity and family richness models were well below 3 (see Table S1 in the Supplementary Materials), indicating that there was no collinearity.
The backward stepwise procedure for model selection is shown in Table 3a,b. Variables significantly (p < 0.05) affecting the overall number of captures in light traps were wind direction (a lower number captured with east winds), moon visibility (a negative relationship between the visible percentage of moon and number of insects in the catches), temperature, and wind speed (a lower number of insects trapped when the temperature was lower and winds were stronger), as well as the type of lighting system. Numbers captured in HM, and especially in LED, were lower compared with the quantity of insects collected in HPMV and HPSV light traps (Table 4a).
Table 3.
Model selection (backward stepwise procedure by AIC) for (a) insect quantity and (b) insect family richness collected using light traps.
Table 4.
The best fit model predicting (a) insect quantity (GLM negative binomial) and (b) insect family richness (GLM gaussian). The reference lighting system for comparisons (“lighting system” predictor) was high-pressure mercury vapor lamp (HPMV).
Similarly, family richness was significantly affected by the quantity of the captures (a positive relationship between quantity and family richness), temperature (larger family richness when the temperature was higher) and wind speed, which was negatively related to insect family richness of the captures (Table 4b). Family richness, however, did not significantly differ between the lighting systems assessed.
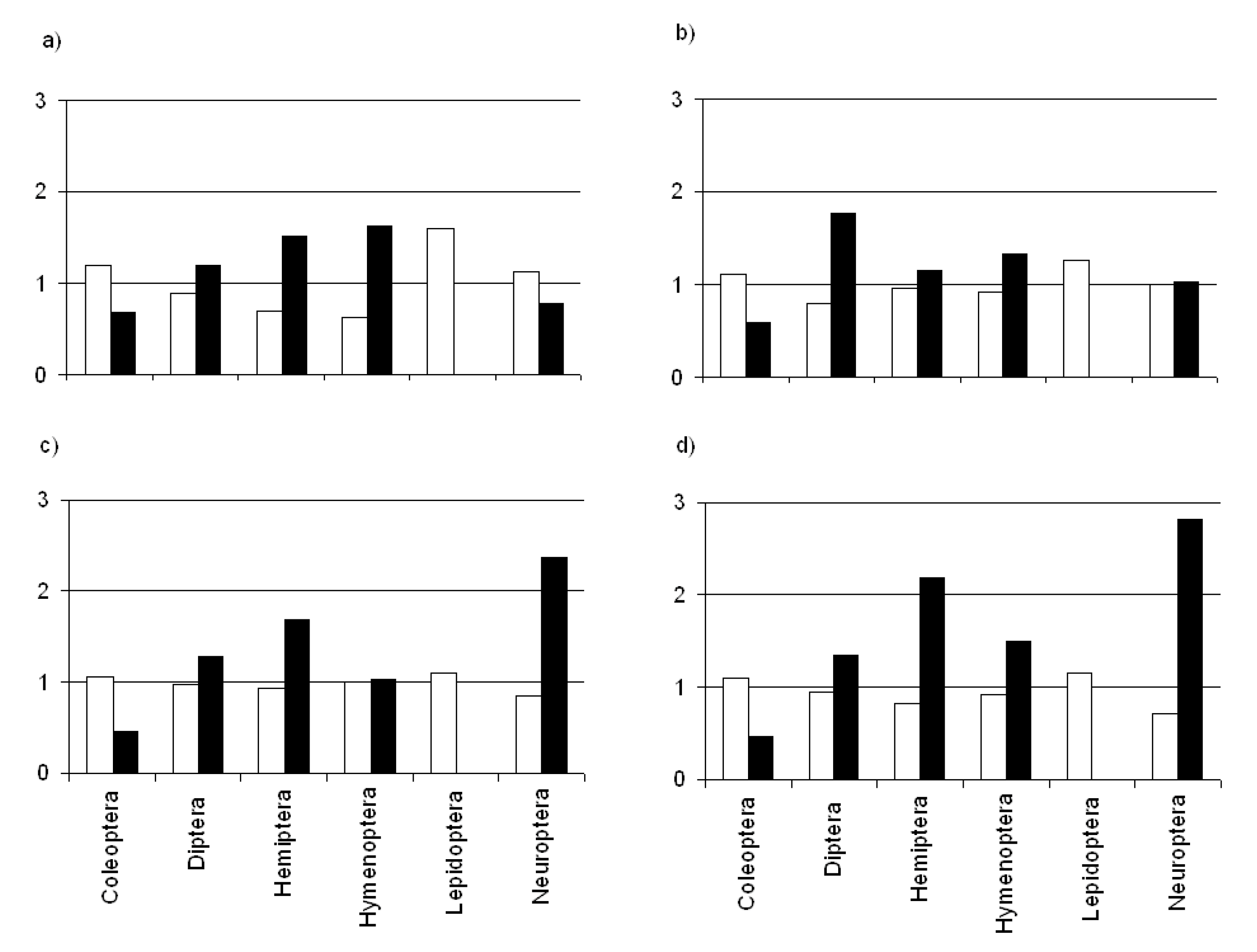
GLM models for specific insect groups (i.e., most frequently captured families; see Table S2 in the Supplementary Materials for a detailed report on the model estimates) showed an overall reduction in the quantity of the captures when using LED compared to HPMV lamps. This reduction was highly consistent among families. However, this reduction in the insect quantity of the captures obtained with LED was non-significant (p < 0.05) for the families Chrysopidae (order Neuroptera) and Noctuidae (order Lepidoptera), whereas there was no reduction with LED in the case of the families Geometridae (order Lepidoptera) and Scolytidae (order Coleoptera). Although there were no significant differences in attraction among lighting systems in the case of the family Geometridae and Noctuidae, the family Chrysopidae reduced their numbers in MH lamps, whereas the family Scolytidae was significantly more abundant in HPSV lamps (Figure 3).
Figure 3.
GLM negative binomial models; quantity models for specific insect families (the most frequent groups captured in light traps). Bars show the coefficient estimates (mean and ES) for the “lighting system” factor. White bars, HPSV; black bars, MH; grey bars, LED. The coefficient showed the magnitude of the difference of each level from the reference level (i.e., HPMV). The order of the families is indicated above. Significant relationships (p < 0.05) are marked as (*). p-value < 0.1 is marked as (-).
3.2. Captures in Light Traps Versus Captures in Sticky Traps
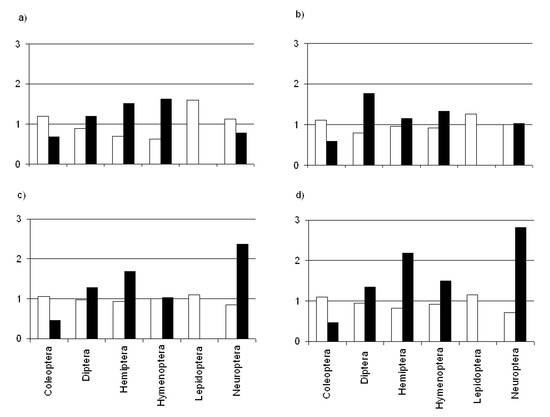
The number of Coleoptera and Lepidoptera were larger in all light system traps compared with sticky traps (Figure 4), indicating a significant attraction to light in relation to the relative abundance of these groups in the study area. Contrastingly, Diptera, Hemiptera, Hymenoptera, and Neuroptera were generally more frequent in captures made with sticky traps compared to light traps. Neuroptera captured in HPSV lamps and Hymenoptera in HPMV lamps did not differ from quantities obtained with sticky traps. Differences in quantity between light and sticky traps for the different orders (Figure 4) were statistically significant at a p < 0.01 (df = 5; LEDs, Χ2 = 298.39; HPMV, Χ2 = 251.18; HPSV, Χ2 = 617.35; MH, Χ2 = 402.57).
Figure 4.
Χ2-test results. Frequencies from the sample collected in light traps (white bars) and frequencies from the captures in sticky traps (black bars). (a) LEDs; (b) HPSV; (c) HPMV; (d) MH. Differences between traps were statistically significant at a p < 0.05 (see Material and Methods). Values above 1 in light traps (white bars) indicate a positive attraction to light (significantly larger quantities in light traps compared to sticky traps).
4. Discussion
We found that LED had a significant effect on reducing insect attraction to light compared with traditional discharge lamps (high pressure mercury vapor, HPMV; high pressure sodium vapor, HPSV; and metal halide, MH lamps) used in street lighting. This reduction was highly consistent among orders and families in the study area.
Our findings agree with those of previous studies that have reported that LED lights did not cause attraction to moths (Lepidoptera) [14,15] and attract less insects than mercury vapor light sources [17] or incandescent technology [32]. Our results are also consistent with those from other authors [29] who found higher densities of insects attracted by white street lights such as HPMV lamps compared with yellow lights such as HPSV lamps [25]. Regarding the color of the light, lamps may emit visible light and invisible radiations, such as ultraviolet (UV) and infrared (IR). The wavelength of visible light determines its color, from violet (shorter wavelength) through to red (longer wavelength). Insects are able to perceive colors and they have been found to be particularly sensitive to the shorter wavelengths of the visible spectrum [26,27,28,45]. In particular, insects use UV light for orientation and navigation [46,47], and this must be the reason why the UV fractions of the light spectrum enhance the light attraction behavior in insects [19,25,30]. This agrees with findings from [13], who found higher species richness and higher numbers of moths in light sources with shorter wavelengths compared with light sources with larger wavelengths. The light emitted by HPMV contains shorter wavelength UV light compared to HPSV lamps, which emit both shorter and longer wavelength light. In contrast, LED systems, although emitting white light, provide very little short-wavelength light [37], thus, the reduction in the insect light attraction obtained with LED lighting systems seems to be related to their lower emissions of short-wavelength light. Supporting this fact, other authors found the least insects attracted by LEDs that did not emit any UV [14] or that emit light of cool temperature [32]. Although the spectral sensitivity of the insect photoreceptors is similar in many groups, there is variation among different insect taxa [25,45]. Insects are typically sensitive to ultraviolet light but can barely perceive red wavelengths [20,48], thus, red and yellow lights have been described to attract a relatively low number of insects in most of the groups [4,16,23,24,31]. LED has also be found to reduce the activity of some species of bats compared to other lighting systems [49]. However, the spectral sensitivity of many groups (including insects) is still unknown or only clear for some species [45]. The reduction in insect attraction to LED systems observed in our study could be even larger with current LED technologies emitting warmer lights [50], since previous research showed that LED emitting “warmer white” colour light (3000 K) involves significantly lower attraction for insects than “colder white” LED (6000 K) [51]. We must have in mind that early LED systems, as the one tested in our study conducted in 2013, had 5000 K or more. The reason is because these LED were more available, more efficient, and less expensive than lower versions during the technology’s early years. Subsequently, outdoor lighting experts in the US have finally converged to LED emitting warmer light (i.e., 4000 K) for LED street and roadway lighting, and more recently, even lower up to 3000 K [52]. Similarly, in Europe, the current light colour for street lighting mostly ranges between 3000 K and 4000 K, although colour temperature for lighting systems installed in roads and traffic areas is about 4000 K.
The light spectral composition is not the only relevant parameter affecting the ecological light pollution levels. Furthermore, light may also vary in intensity (the number of photons per unit area) and illumination (amount of light incident per unit area) [5], which is dependent on the power. In fact, the attraction of insects to street lights is not only a function of light wavelength, but it is also a function of light intensity [29]. Moreover, the ability of insects to perceive the flicker of electric lamps, which seems to have a negative effect on non-human species, is conditioned on light intensity [22]. The light intensity produced by the HPSV lamp is much higher than the light intensity produced by LED. However, LED is more efficient, thus, it can provide similar illumination levels with much lower light intensity thanks to their ability to give off light in a specific direction. In addition, there is a high similarity between the human spectral sensitivity and the spectral composition of LED light [37]. Thus, according to human perception, LED lamps emit more light than HPSV lamps (about 27%) because humans are more sensitive to the light spectrum from LED [37]. We suggest that LED was the least attractive lighting system for most of the affected groups in our study both because it emits very short wavelength light as well as because of its lower light intensity [53]. In contrast to other lighting technologies, LED allows selection of the wavelength of the light emitted [54]. Therefore, if we find out which are the sensitivities of particular groups, in terms of spectral composition, light intensity, and other relevant light features such as polarization or flicker, we could design LED emitting less harmful lights [4]. In this sense, our results showed that benefits from LED street lights on insect attraction were not equal for all the studied groups and they depended on the particular insect family. Therefore, although LED reduced the number of individuals attracted in most of the insect families, it did not reduce the number of groups (i.e., family richness) affected. Furthermore, in contrast to most of the families of insects captured with light traps in the study area, which showed a reduced attraction to LED light, moth families (Lepidoptera) only exhibit a moderate reduction or even no difference in the level of attraction among the lighting systems that we assessed. LED did not perform well either when reducing the light attraction by family Chrysopidae (Neuroptera), which was less attracted by MH (metal hallide). Finally, our results indicated that spectral sensitivity to yellow light is of main importance in beetles of the family Scolytidae, which were highly attracted to HPSV lamps. This different light attraction behavior among groups is due to particular spectral sensitivities present in the different families [37,45].
Comparisons between the captured numbers in light traps and sticky traps suggested that Coleoptera and Lepidoptera orders are the most sensitive groups to ecological light pollution in the study area. Members of these orders were overrepresented in any of the street light systems here evaluated. This high sensitivity to light is driven by the low maneuverability and the poor direction control in the flight of these insect groups [55]. On the contrary, members of insect orders with good direction control and maneuverability in flight, such as Diptera, Hemiptera, and Hymenoptera [56], were under- or equally-represented compared to their abundance in the environment. These groups usually get close to the light source, but they remain flying around it at a distance of about 30–40 cm, thus, they are caught less frequently in most of the street lighting systems here evaluated. However, biases could have taken place in the samples conducted through sticky traps (e.g., smaller size insects are more likely to be collected in sticky traps; insect groups with spectral sensitivity close to yellow could also have experienced higher attraction into our yellow sticky traps).
5. Conclusions
Our results highlight the need for selecting the most appropriate lighting system in terms of ecological light pollution mitigation, depending on the particular groups of conservation interest inhabiting an area. LED is widely becoming a preferred light source for street lighting because of its good lighting, good color perception, low energy consumption, and long life [3]. Compared to other traditional lighting systems, overall insect attraction to LED is considerably lower. Although the long-term population consequences of increasing mortality and reducing the time devoted to foraging and other activities in insects caused by artificial lighting are difficult to quantify, we can presume that a reduced attraction consequence of the use of LED may also increase the survival of the affected insect groups and diminish the negative impacts of artificial light attraction on the ecosystems. Thus, when properly designed (both in terms of spectral composition and light intensity, but light polarization and flicker should also be taken into account), LED should be preferred to other outdoor lighting systems to minimize ecological light pollution, at least as far as insects are concerned. Further research is required to know which are the impacts of LED and the specific spectral sensitivities in other taxa.
Supplementary Materials
The following are available online at https://www.mdpi.com/1424-2818/13/2/89/s1, Table S1: variance inflation factors (VIFs) for predictors in the models for quantity and family richness, Table S2: GLM binomial models predicting the quantity of the most frequent insect families captured with light traps. * Microlepidoptera is a not monophyletic group of moth families.
Author Contributions
Conceptualization, writing-review, supervision, funding acquisition: M.F.; methodology, software, data curation, formal analysis and interpretation, investigation, writing—original draft preparation, review and editing, project administration: B.M.; methodology, data collection: H.P. All authors have read and agreed to the published version of the manuscript.
Funding
This research was funded by grants of Endesa and Red Electrica de España (REE) and it was part of the Plan para la Conservación de la Biodiversidad (Plan for Biodiversity Conservation) of ENDESA.
Institutional Review Board Statement
The insect trapping conducted in this research has met with the approval of the environmental competent authority (Regional Ministry for the Environment of Andalusia).
Informed Consent Statement
Not applicable.
Data Availability Statement
Data available on request due to privacy restrictions.
Acknowledgments
The present study has been rendered possible by a research project funded by Endesa and Red Electrica de España (REE) and it was part of the Plan para la Conservación de la Biodiversidad (Plan for Biodiversity Conservation) of ENDESA. Further thanks are due to Aroa Hernández, who helped with the insect trapping, thanks to a grant from Banco Santander.
Conflicts of Interest
The authors declare no conflict of interest.
References
- Cinzano, P.; Falchi, P.F.; Elvidge, C.D. The first World Atlas of the artificial night sky brightness. Mon. Not. R. Astron. Soc. 2001, 328, 689–707. [Google Scholar] [CrossRef]
- Hölker, F.; Moss, T.; Griefahn, B.; Kloas, W.; Voigt, C.C. The dark side of light: A transdisciplinary research agenda for light. Ecol. Soc. 2010, 15, 13. [Google Scholar]
- Hölker, F.; Wolter, C.; Perkin, E.K.; Tockner, K. Light pollution as a biodiversity threat. Trends Ecol. Evol. 2010, 25, 681–682. [Google Scholar] [CrossRef]
- Owens, A.C.; Cochard, P.; Durrant, J.; Farnworth, B.; Perkin, E.K.; Seymoure, B. Light pollution is a driver of insect declines. Biol. Conserv. 2020, 241, 108259. [Google Scholar] [CrossRef]
- Rich, C.; Longcore, T. (Eds.) Ecological Consequences of Artificial Night Lighting; Island Press: Washington, DC, USA, 2006. [Google Scholar]
- Owens, A.C.S.; Lewis, S.M. The impact of artificial light at night on nocturnal insects: A review and synthesis. Ecol. Evol. 2018, 8, 11337–11358. [Google Scholar] [CrossRef] [PubMed]
- Gaston, K.J.; Blackburn, T.M. Pattern and Process in Macroecology; Blackwell Science: Malden, MA, USA, 2000. [Google Scholar]
- Bruce-White, C.; Shardlow, M. A Review of the Impact of Artificial Light on Invertebrates; Buglife-The Invertebrate Conservation Trust: Peterborough, UK, 2011. [Google Scholar]
- Ditrich, T.; Čihák, P. Efficiency of subaquatic light traps. Aquat. Insects 2017, 38, 171–184. [Google Scholar] [CrossRef]
- Van Langevelde, F.; Van Grunsven, R.H.A.; Veenendaal, E.M.; Fijen, T.P.M. Artificial night lighting inhibits feeding in moths. Biol. Lett. 2017, 13, 20160874. [Google Scholar] [CrossRef] [PubMed]
- Svensson, A.; Rydell, J. Mercury vapour lamps interfere with the bat defence of tympanate moths (Operophtera spp.; Geometridae). Anim. Conserv. 1998, 55, 223–226. [Google Scholar]
- Zhang, J.; Huang, L.; He, J.; Tomberlin, J.K.; Li, J.; Lei, C.; Sun, M.; Liu, Z.; Yu, Z. An artificial light source influences mating and oviposition of black soldier flies, Hermetia illucens. J. Insect Sci. 2010, 10, 202. [Google Scholar] [CrossRef]
- Van Langevelde, F.; Ettema, J.A.; Donners, M.; WallisDeVries, M.F.; Groenendijk, D. Effect of spectral composition of artificial light on the attraction of moths. Biol. Conserv. 2011, 144, 2274–2281. [Google Scholar] [CrossRef]
- Eisenbeis, G.; Eick, K. Attraction of nocturnal insects to street lights with special regard to LEDs. In Proceedings of the 24th Annual Meeting of the Society for Conservation Biology Conservation for a Changing Planet, Edmonton, AB, Canada, 3–7 July 2010. [Google Scholar]
- Poiani, S.; Dietrich, C.; Barroso, A.; Costa-Leonardo, A. Effects of residential energy-saving lamps on the attraction of nocturnal insects. Light. Res. Technol. 2014, 47, 338–348. [Google Scholar] [CrossRef]
- Spoelstra, K.; Van Grunsven, R.H.A.; Donners, M.; Gienapp, P.; Huigens, M.E.; Slaterus, R.; Berendse, F.; Visser, M.E.; Veenendaal, E. Experimental illumination of natural habitat—An experimental set-up to assess the direct and indirect ecological consequences of artificial light of different spectral composition. Philos. Trans. R. Soc. B 2015, 370, 20140129. [Google Scholar] [CrossRef]
- Van Grunsven, R.H.A.; Becker, J.; Peter, S.; Heller, S.; Hölker, F. Long-term comparison of attraction of flying insects to streetlights after the transition from traditional light sources to light-emitting diodes in urban and peri-urban settings. Sustainability 2019, 11, 6198. [Google Scholar] [CrossRef]
- Altermatt, F.; Baumeyer, A.; Ebert, D. Experimental evidence for male biased flight-to-light behavior in two moth species. Entomol. Exp. Appl. 2009, 130, 259–265. [Google Scholar] [CrossRef]
- Kolligs, D. Ökologische Auswirkungen künstlicher Lichtquellen auf nachtaktive Insekten, insbesondere Schmetterlinge (Lepidoptera). Faun.-Okol. Mitt. 2000, 28, 1–136. [Google Scholar]
- Lind, O.; Henze, M.J.; Kelber, A.; Osorio, D. Coevolution of coloration and colour vision? Philos. Trans. R. Soc. B 2017, 372, 20160338. [Google Scholar] [CrossRef] [PubMed]
- Lima-Neto, A.R.; Costa-Neta, B.M.; Da Silva, A.A.; Brito, J.M.; Aguiar, J.V.C.; Ponte, I.S.; Silva, F.S. The effect of luminous intensity on the attraction of phlebotomine sand flies to light traps. J. Med. Entomol. 2017, 55, 731–734. [Google Scholar] [CrossRef]
- Inger, R.; Bennie, J.; Davies, T.W.; Gaston, K.J. Potential biological and ecological effects of flickering artificial light. PLoS ONE 2014, 9, e98631. [Google Scholar] [CrossRef]
- Donners, M.; Van Grunsven, R.H.; Groenendijk, D.; Van Langevelde, F.; Bikker, J.W.; Longcore, T.; Veenendaal, E. Colors of attraction: Modeling insect flight to light behavior. J. Exp. Zool. Part. A Ecol. Integr. Physiol. 2018, 329, 434–440. [Google Scholar] [CrossRef] [PubMed]
- Seymoure, B.M.; Linares, C.; White, J. Connecting spectral radiometry of anthropogenic light sources to the visual ecology of organisms. J. Zool. 2019, 308, 93–110. [Google Scholar] [CrossRef]
- Van Grunsven, R.H.A.; Donners, M.; Boekee, K.; Tichelaar, I.; Van Geffen, K.G.; Groenendijk, D.; Berendse, F.; Veenendaal, E.M. Spectral composition of light sources and insect phototaxis, with an evaluation of existing spectral response models. J. Insect Conserv. 2014, 18, 225–231. [Google Scholar] [CrossRef]
- Blomberg, O.; Itämies, J.; Kuusela, K. Insect catches in a blended and a black light-trap in Northern Finland. Oikos 1976, 27, 57. [Google Scholar] [CrossRef]
- Hollingsworth, J.; Hartstack, W., Jr.; Lindquist, D. Influence of near-ultraviolet output of attractant lamps on catches of insects by light traps. J. Econ. Entomol. 1968, 61, 515–521. [Google Scholar] [CrossRef]
- Mikkola, K. Behavioural and electrophysiological responses of night-flying insects, especially Lepidoptera, to near-ultraviolet and visible light. Ann. Zool. Fenn. 1972, 9, 225–254. [Google Scholar]
- Eisenbeis, G. Artificial night lighting and insects: Attraction of insects to streetlamps in a rural setting in Germany. In Ecological Consequences of Artificial Night Lighting; Rich, C., Longcore, T., Eds.; Island Press: Washington, DC, USA, 2006; pp. 281–304. [Google Scholar]
- Barghini, A.; De Medeiros, B.A.S. UV radiation as an attractor for insects. LEUKOS 2012, 9, 47–56. [Google Scholar] [CrossRef]
- Longcore, T.; Aldern, H.L.; Eggers, J.F.; Flores, S.; Franco, L.; Hirshfield-Yamanishi, E.; Petrinec, L.N.; Yan, W.A.; Barroso, A.M. Tuning the white light spectrum of light emitting diode lamps to reduce attraction of nocturnal arthropods. Philos. Trans. R. Soc. B 2015, 370, 20140125. [Google Scholar] [CrossRef]
- Justice, M.J.; Justice, T.C. Attraction of insects to incandescent, compact fluorescent, halogen, and led lamps in a light trap: Implications for light pollution and urban ecologies. Entomol. News 2016, 125, 315–326. [Google Scholar] [CrossRef]
- Lima, D.C.B.; Costa, A.A.V.; Silva, F.S. Abundance and night hourly dispersal of the vesicating beetles of the Genus Paederus (Coleoptera: Staphylinidae) attracted to fluorescent, incandescent, and black light sources in the Brazilian savanna. J. Med. Entomol. 2015, 52, 50–55. [Google Scholar] [CrossRef] [PubMed]
- Shimoda, M.; Honda, K.-I. Insect reactions to light and its applications to pest management. Appl. Entomol. Zool. 2013, 48, 413–421. [Google Scholar] [CrossRef]
- Steele, R. Strategically speaking: LCD backlights and lighting drive largest growth yet seen in HB-LED market. LEDs Mag. 2010, 2, 3–26. [Google Scholar]
- Shoshany, M. Satellite remote sensing of natural Mediterranean vegetation: A review within an ecological context. Prog. Phys. Geogr. 2000, 24, 153–178. [Google Scholar] [CrossRef]
- Lamphar, H.A.S.; Kocifaj, M. Light pollution in ultraviolet and visible spectrum: Effect on different visual perceptions. PLoS ONE 2013, 8, e56563. [Google Scholar] [CrossRef]
- Nowinszky, L. The Handbook of Light Trapping; Savaria University Press: Szombathely, Austria, 2003. [Google Scholar]
- Williams, C.B. IX—The influence of moonlight on the activity of certain nocturnal insects, particularly of the family Noctuidae, as indicated by a light trap. Philos. Trans. R. Soc. Lond. Ser. B 1936, 226, 357–389. [Google Scholar] [CrossRef]
- Nowinszky, L.; Puskás, J.; Kúti, Z. Light trapping as a dependent of moonlight and clouds. Appl. Ecol. Environ. Res. 2010, 8, 301–312. [Google Scholar] [CrossRef]
- Williams, C. An analysis of four years captures of insects in a light trap. Part II. The effect of weather conditions on insect activity; and the estimation and forecasting of changes in the insect population. Trans. R. Entomol. Soc. Lond. 1940, 90, 227–306. [Google Scholar] [CrossRef]
- Burnham, K.P.; Anderson, D.R. Model Selection and Multimodel Inference: A Practical Information-Theoretic Approach, 2nd ed.; Springer: New York, NY, USA, 2002; Volume xxvi, p. 488. [Google Scholar]
- Venables, W.; Ripley, B. Modern Applied Statistics with S, 4th ed.; Springer: New York, NY, USA, 2002. [Google Scholar]
- R Core Team. R: A Language and Environment for Statistical Computing; R Foundation for Statistical Computing: Viena, Austria, 2020; Available online: http://www.r-project.org/index.html (accessed on 4 February 2021).
- Van Der Kooi, C.J.; Stavenga, D.G.; Arikawa, K.; Belušič, G.; Kelber, A. Evolution of insect color vision: From spectral sensitivity to visual ecology. Annu. Rev. Entomol. 2021, 66, 435–461. [Google Scholar] [CrossRef] [PubMed]
- Menzel, R. Spectral sensitivity and color vision in invertebrates. In Handbook of Sensory Physiology; Autrum, H., Ed.; Springer: Berlin, Germany, 1979; pp. 503–566. [Google Scholar]
- Froy, O.; Gotter, A.L.; Casselman, A.L.; Reppert, S.M. Illuminating the circadian clock in monarch butterfly migration. Science 2003, 300, 1303–1305. [Google Scholar] [CrossRef]
- Briscoe, A.D.; Chittka, L. The evolution of colour vision in insects. Annu. Rev. Entomol. 2001, 46, 471–510. [Google Scholar] [CrossRef]
- Stone, E.L.; Jones, G.; Harris, S. Street lighting disturbs commuting bats. Curr. Biol. 2009, 19, 1123–1127. [Google Scholar] [CrossRef] [PubMed]
- Austrian Energy Agency. LED Street Lighting Procurement and Design Guidelines. Available online: https://ec.europa.eu/research/participants/documents/downloadPublic?documentIds=080166e5b6d1cf07&appId=PPGMS (accessed on 3 February 2021).
- SdN—Schutz der Nacht—Lichtverschmutzung, Biodiversität und NachtlandschaftHeld, M.; Hölker, F.; Jessel, B. (Eds.) SdN—Schutz der Nacht—Lichtverschmutzung, Biodiversität und NachtlandschaftBfN-Skripten 336; Bundesamt für Naturschutz: Bonn, Germany, 2013.
- USDOE. Street Light and Blue Light—Frequently Asked Questions; Department of Energy; Office of Energy Efficiency and Renewable Energy: Washington, DC, USA, 2017. [Google Scholar]
- Schulte-Römer, N.; Meier, J.; Söding, M.; Dannemann, E. The LED paradox: How light pollution challenges experts to reconsider sustainable lighting. Sustainability 2019, 11, 6160. [Google Scholar] [CrossRef]
- Pimputkar, S.; Speck, J.S.; DenBaars, S.P.; Nakamura, S. Prospects for LED lighting. Nat. Photon. 2009, 3, 180–182. [Google Scholar] [CrossRef]
- Barghini, A. Influência da Iluminação Artificial Sobre a Vida Silvestre: Técnicas para Minimizar os Impactos, com Especial Enfoque Sobre os Insetos; Universidade de São Paulo: São Paulo, Brazil, 2008. [Google Scholar] [CrossRef]
- Land, M.F. Visual acuity in insects. Annu. Rev. Entomol. 1997, 42, 147–177. [Google Scholar] [CrossRef] [PubMed]
Publisher’s Note: MDPI stays neutral with regard to jurisdictional claims in published maps and institutional affiliations. |
© 2021 by the authors. Licensee MDPI, Basel, Switzerland. This article is an open access article distributed under the terms and conditions of the Creative Commons Attribution (CC BY) license (http://creativecommons.org/licenses/by/4.0/).



