Abstract
The wide range of application possibilities of fluorene derivatives, due to their unique physical and chemical properties, has made this class of molecules important for various disciplines. The synthesis of these compounds and the study of their properties are, therefore, of great scientific interest. Due to their reactivity and sensitivity to oxidation, the 9-position of the fluorene skeleton is often double substituted, for example, to ensure the long-term stability of materials. Single crystal structure analysis, among other methods, plays a very important role in the development of various fluorene-based systems. In this paper, the crystal structures of three 9,9-disubstituted fluorene derivatives bearing methyl, hydroxymethyl or pyridinylmethyl groups are described (three solvent-free structures and one toluene solvate). A detailed evaluation of the intermolecular interactions, supported by Hirshfeld surface analysis, is the subject of this article.
1. Introduction
Compounds featuring a fluorene moiety were found to have a wide range of potential applications. These include, for example, their use in light-emitting diodes, organic transistors, solar cells, chemosensors and cell imaging agents. Additionally, they have also been recognized as substances with anti-infective and anti-carcinogenic properties (for examples of reviews on these topics, see refs. [1,2,3,4,5,6,7]). To develop new fluorene-based compounds for specific applications, intensive studies on structure-activity relationships have been performed [8,9,10,11] and continue to be a subject of great interest [1,2,3,4,5,6,7,12]. In the planning of structural modifications of the fluorene scaffold and the corresponding synthetic procedures, it is important to note that the 9-position of the fluorene is particularly reactive and sensitive to oxidation, which is why this position is often occupied by one or two substituents [1,13]. The double substitution at the 9-position is often used, for example, to ensure the long-term stability of fluorene-based materials. X-ray crystallographic studies of various fluorene derivatives provide valuable information not only for the design of new crystalline materials, but also for developments in other areas mentioned above. Examples of crystallographic studies on 9,9-disubstituted fluorene derivatives include 9,9-dioctyl-9H-fluorene [14], 9,9-diphenyl-9H-fluorene [15] and 4,4′-(fluorene-9,9-diyl)diphenol [16] (for further examples, see refs [17,18,19,20,21,22,23,24,25,26,27,28] and Supplementary Materials). In this paper, we describe the results of single-crystal X-ray diffraction studies on three 9,9-disubstituted fluorenes bearing methyl, hydroxymethyl or pyridin-2-ylmethyl groups, the structures of which are shown in Figure 1. In the case of 9,9-dimethyl-9H-fluorene (1), a second polymorphic form was obtained in addition to that described in the literature [29,30]. A detailed discussion is given of the hydrogen bonding patterns observed in the crystal structures of the other two fluorene derivatives 2 and 3.
Figure 1.
Molecular structures of compounds 1–3.
2. Results and Discussion
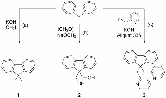
9,9-Disubstituted fluorene derivatives 1–3 were prepared and analyzed in terms of their crystallographic properties (see Scheme 1 and Supplementary Materials). Compounds 1 and 2 were synthesized from fluorene according to the procedures described in the literature [31,32], with a slightly modified procedure in the case of compound 1. Since no synthesis procedure is available in the literature for compound 3, a phase-transfer catalyzed method (in accordance with the preparation of the 3-pyridyl isomer) was chosen, using Aliquat 336 as the catalyst [33].
Scheme 1.
Synthesis of the 9,9-disubstituted fluorenes 1–3 (according to procedures in the literature [31,32,33]). Reagents and conditions: (a) KOH, CH3I, DMSO, 20 h, rt (93% of 1); (b) (CH2O)n, NaOCH3, DMSO/CH3OH 1 h, 0 °C (55% of 2); (c) KOH, 2-(Bromomethyl)pyridine, toluene/water, 10 h, 60 °C (43% of 3).
The synthesized compounds were crystallized from methanol, toluene/hexane (n-hexane and mixture of hexane isomers) and toluene/ethanol by slow evaporation of the solvent from a solution of the corresponding compound. Based on single-crystal X-ray diffraction, solvent-free crystal structures of compounds 1–3 and the toluene solvate of compound 2 [2a = 2∙toluene (2:1)] were obtained. In the case of compound 1, a second polymorph was identified; the first one is described in refs [29,30]. All the crystal structures obtained are described individually in the following chapters. The various supramolecular motifs observed in the crystal structures and the results of the Hirshfeld surface analysis are described in more detail.
2.1. Structural Elucidation
2.1.1. Crystal Structure of 9,9-dimethyl-9H-fluorene (1)
The block-like colorless crystals of 9,9-dimethyl-9H-fluorene (1) (Figure 2), obtained from methanol by slow evaporation of the solvent at room temperature, exhibit the orthorhombic space group Iba2 (Z = 8). The twisting of the fluorene unit, caused by packing effects, manifests itself in an inclination angle of 5.8(2)° between the two benzene rings.
Figure 2.
Perspective view of the molecular structure of compound 1. Displacement ellipsoids are drawn at a probability level of 30%.
Due to the non-polar nature of the molecule, only a weak degree of molecular cross-linking is observed in the crystal, which is limited to C-H∙∙∙π contacts [34,35,36] involving the arene hydrogen atoms H3, H9 and H12 [d(H∙∙∙Cg) 2.84–3.01 Å, ∠(C-H∙∙∙Cg) 151–176°]. Consequently, van der Waals forces also play an important role in stabilizing the crystal structure. An excerpt of the packing structure of 1 is shown in Figure 3.
Figure 3.
Packing diagram of compound 1 viewed down the crystallographic c-axis. Dashed double lines represent C-H∙∙∙π interactions.
As mentioned above, the present crystal structure represents a second polymorph of the crystal structure of this compound published by Cooper [29] and Setaka [30], which, however, occurs in tetragonal space group I41/a (Z = 16). In the structure known from the literature, neighboring molecules adopt an approximately orthogonal orientation to each other. Each molecule in the crystal provides a C-H∙∙∙π contact [d(H∙∙∙Cg) 2.70 Å)] to the bonding partner with the participation of an arene hydrogen atom. Thus, the degree of cross-linking of the molecules in the newly obtained polymorph 1 is higher than in the reported structure.
2.1.2. Crystal Structure of 9,9-bis(hydroxymethyl)-9H-fluorene (2)
The platelet-shaped crystals of 9,9-bis(hydroxymethyl)-9H-fluorene (2) obtained from toluene/hexane have the orthorhombic space group P212121, with one molecule in the asymmetric unit of the cell. A perspective view of the molecular structure is shown in Figure 4. The fluorene unit of the molecule displays a slight twist, which is reflected by an angle of inclination of 5.1(1)° between the two benzene rings. The torsion angles given by the atomic sequences C1-C14-O1-H1 and C1-C15-O2-H2 are 84.5 and −96.1°, respectively.
Figure 4.
Perspective view of the molecular structure of compound 2. Displacement ellipsoids are drawn at a probability level of 30%.
The excerpt of the packing structure shown in Figure 5 reveals a helical arrangement of the molecules in the direction of the a-axis, in which their OH groups create an infinite pattern of O-H∙∙∙O bonds [d(H∙∙∙O) 1.86(2), 1.87(2) Å]. Within this helical structure, offset- π∙∙∙π stacking forces [37,38,39] between the aromatic units of the molecules are observed [d(Cg∙∙∙Cg) 4.121(2) Å, slippage 0.991 Å]. The molecular helices are further linked by relatively strong C-H∙∙∙π interactions [d(H∙∙∙Cg) 2.67(2) Å, ∠(C-H∙∙∙Cg) 157°] with the participation of the arene hydrogen atom H4.
Figure 5.
Packing diagram of 2 viewed down the crystallographic c-axis, showing O-H∙∙∙O hydrogen bonds (dashed lines) as well as C-H∙∙∙π and offset-π∙∙∙π-stacking interactions (dashed double lines).
2.1.3. Crystal Structure of the solvate 2a
The colorless block-shaped crystals of 2 (space group P-1) obtained from toluene/ethanol proved to be a solvent inclusion of the compound with toluene, with a host–guest stoichiometric ratio of 2:1 [2a = 2∙toluene]. The asymmetric unit of the unit cell contains four crystallographically independent molecules of the fluorene and two molecules of toluene. The perspective view of the molecular structure 2a is shown in Figure 6. The aromatic framework of the fluorene molecules deviates slightly from the planarity and is most pronounced in the molecule marked D. Here, the two benzene rings of the molecule are inclined at an angle of 1.9(1)° to each other.
Figure 6.
Perspective view of the molecular structure of 2a (the four crystallographically independent fluorene molecules are labelled A–D). The displacement ellipsoids of the atoms are drawn at a probability level of 30%. Dashed lines represent hydrogen bonds.
The presence of the solvent molecules in 2a creates a packing structure that is fundamentally different from that of the solvent-free crystal structure of this compound.
In the crystal of the solvate, the fluorene compound forms double strand-like aggregates running in the direction of the crystallographic a-axis, in which the molecules are linked by strong O-H∙∙∙O bonds [d(H∙∙∙O) 1.86(2)–1.93(2) Å]. In Figure 7, which shows a section of the molecular double strand, can be seen that the OH groups of the molecules are involved in the formation of cyclic hydrogen bond motifs of different structures and sizes. Within this pattern of strong hydrogen bonds, one OH group of each of the four independent molecules (A–D) contributes to the formation of two almost identical supramolecular synthons of structure R44(8). These are highlighted in purple and blue in the structural unit shown in Figure 7. At the same time, the OH groups of the pairs of molecules B/C and A/D generate two hydrogen bond motifs of the graph set [40,41] R22(12) (highlighted as green and yellow in Figure 7).
Figure 7.
Packing diagram of 2a viewed down the crystallographic b-axis. Hydrogen bonding interactions are marked as dashed lines; the cyclic supramolecular synthons are highlighted in color.
The two methylene hydrogen atoms H14F and H15A are involved in the formation of weak C-H∙∙∙O bonds [42,43,44,45,46,47,48,49] [d(H∙∙∙O) 2.58, 2.59 Å], so that the O atoms O1B and O1D serve as bifurcated hydrogen bond acceptors. In addition, the host molecules form a large number of C-H∙∙∙π contacts [d(H∙∙∙Cg) 2.73–2.97 Å] in which arene and methylene hydrogen atoms take part. A view of the crystal structure in the direction of the crystallographic b-axis (Figure 8) reveals that the guest molecules occupy the lattice voids, which are limited by fluorene units of the host molecules. The interaction of the two independent guest molecules with the host molecules takes place in different ways. While one of the toluene molecules is fixed in its position via C-H∙∙∙π bonds [d(H∙∙∙Cg) 2.85, 2.91 Å] with the host molecules B and D (Figure 9a), the ortho-H atom H17A of the second toluene molecule forms only one C-H∙∙∙π contact [d(H∙∙∙C) 2.82 Å] with the host molecule C (Figure 9b).
Figure 8.
Packing diagram of 2a viewed down the crystallographic b-axis. Dashed lines represent hydrogen bonding interactions.
Figure 9.
Interactions of the guest (toluene) with fluorene molecules (host) B and D (a) and with C (b) in the crystal structure of 2a. Dashed double lines represent C-H∙∙∙π bonds.
2.1.4. Crystal Structure of 9,9-bis(pyridin-2-ylmethyl)-9H-fluorene (3)
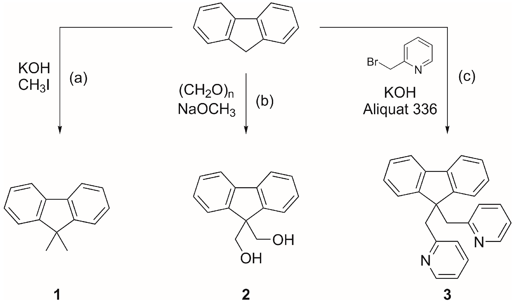
Crystal growing of 9,9-bis(pyridin-2-ylmethyl)-9H-fluorene (3) from a toluene/n-hexane solvent mixture yields yellow crystals of the space group P21/n with one molecule in the asymmetric unit (see Figure 10). The fluorene unit of the molecule deviates slightly from the planarity. The torsion angles given by the atomic sequences C1-C14-C15-N1 and C1-C20-C21-N2 are −78.5(1) and 87.0(1)°. These values correspond to tilt angles of 48.7(1) and 51.4(1)°, which the pyridine groups assume in relation to the least-squares plane of the fluorene unit.
Figure 10.
Perspective view of the molecular structure of 3. The displacement ellipsoids of the atoms are drawn at a probability level of 40%.
The present crystal structure consists of helical supramolecular strands running along the crystallographic b-axis (see Figure 11). Within a given strand, the molecules are linked via C-H⋯N bonds [42,43,44,45,46,50,51,52,53,54,55] [d(H⋯N) 2.60 Å, ∠(C-H⋯N) 154°] involving the atoms H17 and N2. The molecular strands are cross-linked to each other by C-H⋯π interactions between the atom H22 and the fluorene unit [d(H∙∙∙Cg) 2.71 Å, ∠(C-H∙∙∙Cg) 136°].
Figure 11.
Packing diagram of compound 3 viewed down the crystallographic c-axis, showing C-H∙∙∙N hydrogen bonds (dashed lines) and C-H∙∙∙π interactions (dashed double lines).
2.2. Hirshfeld Surface Analysis
2.2.1. Crystal Structure of 9,9-dimethyl-9H-fluorene (1)
The small red patches on the dnorm surface of 9,9-dimethyl-9H-fluorene (1) shown in Figure 12 represent short C-H⋯π contacts. They occur in the 2D fingerprint plots (Figure 13) as a pair of sharp features at de + di ≈ 2.70 Å.
Figure 12.
View of the three-dimensional Hirshfeld surface of compound 1 mapped over dnorm in the range −0.0918 (red) and 1.3780 (blue) arbitrary units.
Figure 13.
Two-dimensional fingerprint plots for 1 showing (a) all interactions and those delineated into (b) H⋯H and (c) H⋯C/C⋯H contacts.
The decomposition of the fingerprint plot reveals that intermolecular interactions are restricted to H⋯H and C⋯H/C⋯H contacts, which make up 66.7% and 33.3% of the overall Hirshfeld surface, respectively (Figure 13). The H⋯H contacts are visible in the 2D fingerprint as a region of widely scattered points with a tip at de = di ≈ 1.1 Å (Figure 13b).
2.2.2. Crystal Structure of 9,9-bis(hydroxymethyl)-9H-fluorene (2)
For 9,9-bis(hydroxymethyl)-9H-fluorene (2), the Hirshfeld surface mapped over dnorm and the shape index are illustrated in Figure 14. The bright-red circular spots on the dnorm Hirshfeld surface indicate the presence of intermolecular O-H⋯O hydrogen bond interactions whereas the faint-red dot near the aryl hydrogen atom H4 represents a C-H⋯π contact.
Figure 14.
(a) Three-dimensional Hirshfeld surface of 2 mapped over dnorm in the range −0.6800 (red) and 1.3474 (blue) (a. u.); (b) Hirshfeld surface (two faces) mapped over shape-index.
The overall two-dimensional fingerprint plot and the decomposition into H⋯H, H⋯C/C⋯H, H⋯O/O⋯H and C⋯C contacts are shown in Figure 15, together with their relative contributions to the Hirshfeld surface. The largest contribution to the overall crystal packing is from H···H (62.0%) followed by H···C/C···H (21.6%), and H···O/O···H (11.0%) contacts. The O-H⋯O bonds appear as two sharp spikes in the upper left (de > di, H-bond donor) and lower left region (de < di, H-bond acceptor) of the 2D fingerprint plot with the closest distance de + di ≈ 1.75 Å, while the C-H⋯π contacts are visible as a pair of wings at de + di ≈ 2.9 Å.
Figure 15.
Two-dimensional fingerprint plots for 2 showing (a) all interactions and those delineated into (b) H⋯H, (c) H⋯C/C⋯H, (d) H⋯O/O⋯H and (e) C⋯C contacts.
Although the fingerprint plot reveals C···C contacts (5.3%) with de, di > 2.0 Å, no intermolecular π···π arene stacking is observed in the crystal structure, which is also sustained by the absence of adjacent red and blue triangles on the shape-index map (Figure 15b).
2.2.3. Crystal Structure of the Solvate Structure 2a
Structure 2a represents a solvate of the previously mentioned crystal structure. In the given case, the asymmetric unit contains four independent molecules of the fluorene compound and two toluene molecules. As in the solvent-free structure of the compound, the presence of red-colored circular spots on the dnorm surface of the molecules (Figure 16) represent donor and acceptor sites for O-H···O bonds. π···π-stacking interactions are absent in the crystal structure, which is indicated by the absence of neighbored red and blue triangles on the shape-index surface.
Figure 16.
Three-dimensional Hirshfeld surface of non-equivalent fluorene molecules A–D of 2a mapped over dnorm and Hirshfeld surface mapped over shape-index.
The total 2D fingerprint plots of the fluorene compound and the decomposition into the different types of intermolecular contacts present in the crystal structure are shown in Figure 17. A comparative view of the fingerprint plots of the molecules (A–D) reveals that the presence of solvent molecules naturally affects the molecular environment. This is shown in the fingerprint diagrams of the molecules labeled A and C by an asymmetric distribution of the contact points in relation to the main diagonal of the plot. H···H contacts represent the largest proportion of intermolecular interactions with 54.9, 56.3, 57.7 and 57.4%. Van der Waals forces thus make an important contribution to the stabilization of the crystal packing. The next largest contribution is provided by H···C/C···H contacts (29.5, 28.3, 26.9, 27.1%). The fingerprint plots of this interaction shown in Figure 17c indicate that all molecules are involved in the formation of C-H···π contacts, which appear in the plots as a pair of small wings at de + di ≈ 3.0 Å. Existing O-H···O bonds give rise to a pair of sharp spikes with a closest distance de + di ≈ 1.7 Å. The H···O/O···H contacts make up 12.0 to 12.2% of the molecular Hirshfeld surface.
Figure 17.
Two-dimensional fingerprint plots of the independent molecules of the fluorene compound in 2a showing (a) all interactions and those delineated into (b) H⋯H, (c) H⋯C/C⋯H and (d) H⋯O/O⋯H contacts.
2.2.4. Crystal Structure of 9,9-bis(pyridin-2-ylmethyl)-9H-fluorene (3)
In the dnorm plot of 9,9-bis(pyridin-2-ylmethyl)-9H-fluorene (3) (Figure 18), C-H···N bonds can be recognized as bright red spots while C-H···π interactions are visible as faint red spots.
Figure 18.
Three-dimensional Hirshfeld surface of 3 mapped over dnorm and Hirshfeld surface mapped over shape-index.
C-H···N bonds appear in the 2D fingerprint plot as a pair of short spikes at de + di ≈ 2.45 Å. The contributions to the packing from H⋯H, C⋯H/H⋯C and N⋯H/H⋯N contacts are 59.6, 32.7 and 7.2%, respectively (Figure 19). The low value of 0.4% for C⋯C contacts indicates that in the crystal structure, no π···π arene stacking interactions between adjacent molecules are present.
Figure 19.
Two-dimensional fingerprint plots for 3 showing (a) all interactions and those delineated into (b) H⋯H, (c) H⋯C/C⋯H and (d) H⋯N/N⋯H contacts.
3. Conclusions
Solvent-free crystal structures of 9,9-dimethyl-9H-fluorene (1), 9,9-bis(hydroxymethyl)-9H-fluorene (2) and 9,9-bis[(pyridin-2-yl)methyl]-9H-fluorene (3) as well as the crystal structure of the toluene solvate of compound 2 (2a = 2∙toluene) were obtained and the intermolecular interactions were investigated in detail. In the case of 1, a second polymorph (orthorhombic space group Iba2) was obtained in addition to the crystal structure described in the literature (tetragonal space group I41/a). The solvent-free crystal structure of 2 is characterized by a helical arrangement of the molecules in the direction of the a-axis, in which their OH groups form an infinite pattern of O-H∙∙∙O hydrogen bonds. In addition, π∙∙∙π-stacking and CH∙∙∙π interactions contribute to the stabilization of this crystal structure. The presence of toluene molecules in 2a creates a fundamentally different packing structure. The fluorene molecules form double-strand-like aggregates, in which the molecules are linked by strong O-H∙∙∙O bonds. In this crystal structure, the hydrogen bonding motifs of the graph set R44(8) and R22(12) have been identified. The crystal structure of 3 is characterized by helical supramolecular strands running along the crystallographic b-axis, with the molecules linked by C-H⋯N hydrogen bonds. As in the case of 2, CH∙∙∙π interactions also contribute to the stabilization of this crystal structure.
Molecular Hirshfeld surfaces mapped over dnorm and the corresponding two-dimensional fingerprint plots were generated and analyzed in detail, allowing the verification of all intermolecular interactions.
4. Materials and Methods
4.1. Synthesis and Crystallization of Fluorenes 1–3
The fluorene derivatives 1–3 [9,9-dimethyl-9H-fluorene (1), 9,9-bis(hydroxymethyl)-9H-fluorene (2) and 9,9-bis[(pyridin-2-yl)methyl]-9H-fluorene (3)] were synthesized as shown in Scheme 1. The experimental data are given in the Supplementary Materials. Crystals suitable for X-ray structure analysis were obtained by slow evaporation of the solvent from a solution of the respective compound at room temperature. The crystallographic data are given below and in the Supplementary Materials (Table S1 and Table S2).
Crystal Data for 1: C15H14 (M = 194.26 g/mol): orthorhombic, space group Iba2, a = 15.193(2) Å, b = 21.892(4) Å, c = 6.8654(13) Å, V = 2283.4(7) Å3, Z = 8, T = 153(2) K, μ(MoKα) = 0.063 mm−1, Dcalc = 1.130 g/cm3, 8949 reflections measured (3.1° ≤ Θ ≤ 26.5°), 2242 unique (Rint = 0.0516), which were used in all calculations. The final R was 0.0495 (I > 2σ(I)) and wR was 0.1462.
Crystal Data for 2: C15H14O2 (M = 226.26 g/mol): orthorhombic, space group P212121, a = 6.0106(3) Å, b = 12.0412(6) Å, c = 16.2062(9) Å, V = 1172.92(11) Å3, Z = 4, T = 123(2) K, μ(MoKα) = 0.084 mm−1, Dcalc = 1.281 g/cm3, 14990 reflections measured (3.0° ≤ Θ ≤ 26.0°), 2304 unique (Rint = 0.0380), which were used in all calculations. The final R was 0.0301 (I > 2σ(I)) and wR was 0.0695.
Crystal Data for 2a: 4 C15H14O2 · 2 C7H8 (M = 1089.31 g/mol): triclinic, space group P-1, a = 11.503(4) Å, b = 14.280(4) Å, c = 19.347(7) Å, α = 108.93(2)°, β = 104.87(2)°, γ = 91.12(2)°, V = 2887.2(16) Å3, Z = 2, T = 123(2) K, μ(MoKα) = 0.080 mm−1, Dcalc = 1.253 g/cm3, 30484 reflections measured (2.6° ≤ Θ ≤ 27.0°), 12395 unique (Rint = 0.0743) which were used in all calculations. The final R was 0.0576 (I > 2σ(I)) and wR was 0.1524.
Crystal Data for 3: C25H20N2 (M = 348.43 g/mol): monoclinic, space group P21/n, a = 11.0151(3) Å, b = 12.9054(4) Å, c = 13.0023(3) Å, β = 100.0760(6)°, V = 1819.82(8) Å3, Z = 4, T = 100(2) K, μ(MoKα) = 0.075 mm−1, Dcalc = 1.272 g/cm3, 24934 reflections measured (2.2° ≤ Θ ≤ 29.4°), 5000 unique (Rint = 0.0220), which were used in all calculations. The final R was 0.0416 (I > 2σ(I)) and wR was 0.1146.
4.2. X-Ray Structure Analysis
The data sets for the structures were collected at a temperature of 100 K, 123 K or 153 K on a STOE IPDS-2T diffractometer equipped with an image plate detector (Mo Kα radiation, λ = 0.71073 Å). The indexing and integration of the reflexes were carried out with the X-AREA program suite [56], and the data reduction and absorption correction were carried out with the X-RED program [57]. Preliminary structural models were created using direct methods [58]. The structures were refined by full-matrix least-squares calculation based on F2 values [59]. All non-hydrogen atoms were refined anisotropically. Aprotic hydrogen atoms were refined using a riding model, while the positions of the OH hydrogen atoms in 2 and 2a could be localized in difference Fourier maps and the OH bond lengths were refined to a target value of 0.84 Å. The graphical representation of the molecular structures was carried out using the ORTEP-III program [60].
4.3. Hirshfeld Surface Analysis
Hirshfeld surface analysis [61,62] is an effective method to gain insight into the coordination behavior of molecules in the crystalline state. To visualize and quantify the different types of intermolecular interactions [63], the molecular Hirshfeld surfaces mapped over dnorm and the corresponding two-dimensional fingerprint plots [64,65] were generated using the CrystalExplorer software (version 21.5) [66,67]. The normalized contact distance (dnorm) is based on the distances de and di, where de is the distance from the Hirshfeld surface to the nearest nucleus outside the surface and di is the corresponding distance to the nearest nucleus inside the surface. In the 2D fingerprint diagrams, the distance de is plotted against di. The areas in red on the 3D Hirshfeld surfaces correspond to contacts that are shorter than the sum of van der Waals radii [68,69] of the closest atoms, while contacts with distances longer (dnorm > 0) or approximately equal (dnorm ≈ 0) to the sum of the van der Waals radii are represented as blue and white regions on the surface, respectively. The shape-index of the Hirshfeld surface is a tool to visualize π⋯π stacking by the presence of adjacent red and blue triangles. The absence of adjacent red and blue triangles indicates that no interactions of this type are present.
Supplementary Materials
Examples of reported crystal structures of 9,9-disubstituted fluorenes (Table S1). Crystallographic and structure refinement data of the crystal structures 1–3 and 2a (Table S2). Geometric parameters for noncovalent interactions in the crystal structures 1–3 and 2a (Table S3). 1H and 13C NMR spectra of compounds 1–3 (Figures S1–S6). Synthetic procedures for compounds 1–3. References [17,18,19,20,21,22,23,24,25,26,27,28,31,32,33] are cited in the Supplementary Materials.
Author Contributions
Conceptualization, M.M.; validation, T.H., P.S., W.S. and M.M.; investigation, T.H. and P.S.; writing—original draft preparation, W.S. and M.M.; writing—review and editing, T.H., P.S., W.S. and M.M.; supervision, M.M. All authors have read and agreed to the published version of the manuscript.
Funding
This work was supported by the Free State of Saxony.
Data Availability Statement
CCDC 2392552–2392555 contain the supplementary crystallographic data for this paper. These data can be obtained free of charge via http://www.ccdc.cam.ac.uk/structures (Accessed Date 1 November 2024) (or from the CCDC, 12 Union Road, Cambridge CB2 1EZ, UK; Fax: +44 1223 336033; E-mail: deposit@ccdc.cam.ac.uk).
Acknowledgments
T.H. would like to thank the Free State of Saxony for funding (Saxon State Doctoral Scholarship).
Conflicts of Interest
The authors declare no conflicts of interest.
References
- Shaya, J.; Corridon, P.R.; Al-Omari, B.; Aoudi, A.; Shunnar, A.; Mohideen, M.I.H.; Qurashi, A.; Michel, B.Y.; Burger, A. Design, photophysical properties, and applications of fluorene-based fluorophores in two-photon fluorescence bioimaging: A review. J. Photochem. Photobiol. C 2022, 52, 100529. [Google Scholar] [CrossRef]
- Carbas, B.B. Fluorene based electrochromic conjugated polymers: A review. Polymer 2022, 254, 125040. [Google Scholar] [CrossRef]
- Kurdyukova, I.V.; Ishchenko, A.A. Organic dyes based on fluorene and its derivatives. Russ. Chem. Rev. 2012, 81, 258–290. [Google Scholar] [CrossRef]
- El-Sayed, R.; Althagafi, I.I.; Ahmed, S.A. Fluorene Derivatives with Multi-addressable Properties: Synthesis, Characterization, and Reactivity. J. Surfact. Deterg. 2017, 20, 933–945. [Google Scholar] [CrossRef]
- Abbel, R.; Schenning, A.P.H.J.; Meijer, E.W. Fluorene-Based Materials and Their Supramolecular Properties. J. Polym. Sci. Part A Polym. Chem. 2009, 47, 4215–4233. [Google Scholar] [CrossRef]
- Wei, Y.; Yan, Y.; Li, X.; Xie, L.; Huang, W. Covalent nanosynthesis of fluorene-based macrocycles and organic nanogrids. Org. Biomol. Chem. 2021, 20, 73–97. [Google Scholar] [CrossRef]
- Hussein, E.M.; Alsantali, R.I.; El-Galil, S.M.A.; Obaid, R.J.; Alharbi, A.; Abourehab, M.A.S.; Ahmed, S.A. Bioactive fluorenes. part I. Synthesis, pharmacological study and molecular docking of novel dihydrofolate reductase inhibitors based-2,7-dichlorofluorene. Heliyon 2019, 5, e01982. [Google Scholar] [CrossRef]
- Poriel, C.; Rault-Berthelot, J. Structure–property relationship of 4-substitutedspirobifluorenes as hosts for phosphorescent organic light emitting diodes: An overview. J. Mater. Chem. C 2017, 5, 3869–3897. [Google Scholar] [CrossRef]
- Suman; Kovvuri, J.; Islavath, N. Molecular modifications in fluorene core for efficient organic photovoltaic cells. J. Photochem. Photobiol. A 2024, 446, 115162. [Google Scholar] [CrossRef]
- Seidel, P.; Mazik, M. Syntheses of Acyclic and Macrocyclic Compounds Derived from 9,9-Diethylfluorene (Part I). ChemistryOpen 2020, 9, 1202. [Google Scholar] [CrossRef]
- Seidel, P.; Seichter, W.; Schwarzer, A.; Mazik, M. Fluorene Derivatives Bearing Two to Seven Phthalimidomethyl Groups: Syntheses, Crystal Structures and Conversion to Amines. Eur. J. Org. Chem. 2021, 2021, 2901–2914. [Google Scholar] [CrossRef]
- Seidel, P.; Seichter, W.; Mazik, M. Compounds Derived from 9,9-Dialkylfluorenes: Syntheses, Crystal Structures and Initial Binding Studies (Part II). ChemistryOpen 2023, 12, e202300019. [Google Scholar] [CrossRef] [PubMed]
- Ding, Z.; Yi, Y.; Zhang, Q.; Zhuang, T. Theoretical investigation on atmospheric oxidation of fluorene initiated by OH radical. Sci. Total Environ. 2019, 669, 920–929. [Google Scholar] [CrossRef]
- McFarlane, S.; McDonald, R.; Veinot, J.G.C. 9,9-Di-n-octyl-9H-fluorene. Acta Crystallogr. Sect. C Cryst. Struct. Commun. 2005, C61, o671–o673. [Google Scholar] [CrossRef]
- Luo, S.; Zhao, X.; Mu, B.; Song, H.; Xu, S.; Wang, B. Diels-Alder Reactions of Benzyne with Indenyl and Fluorenyl Ruthenium Complexes. Organometallics 2009, 28, 4602–4605. [Google Scholar] [CrossRef]
- Apel, S.; Nitsche, S.; Beketov, K.; Seichter, W.; Seidel, J.; Weber, E. 4,4′-(Fluorene-9,9-diyl)diphenol: A new versatile building block for clathrate type and macrocyclic host–guest inclusion. J. Chem. Soc. Perkin Trans. 2 2001, 7, 1212. [Google Scholar] [CrossRef]
- Mori, Y.; Maeda, K.; Ohashi, Y. Structures and the photochemical hydrogen-abstraction reaction of tetraaryl-1,5-pentanediones. Acta Cryst. 1990, B46, 665–671. [Google Scholar] [CrossRef]
- Wang, J.; Wang, C.; Gong, Y.; Liao, Q.; Han, M.; Jiang, T.; Dang, Q.; Li, Y.; Li, Q.; Li, Z. Bromine-Substituted Fluorene: Molecular Structure, Br-Br Interactions, Room-Temperature Phosphorescence, and Tricolor Triboluminescence. Angew. Chem. Int. Ed. Engl. 2018, 57, 16821–16826. [Google Scholar] [CrossRef]
- Shultz, D.A.; Fico, R.M.; Lee, H.; Kampf, J.W.; Kirschbaum, K.; Pinkerton, A.A.; Boyle, P.D. Mechanisms of Exchange Modulation in Trimethylenemethane-type Biradicals: The Roles of Conformation and Spin Density. J. Am. Chem. Soc. 2003, 125, 15426–15432. [Google Scholar] [CrossRef]
- Feng, F.; Song, N.-N.; Hu, W.-B.; Tu, H.-Y.; Meng, X.-G.; Zhang, A.-D. pH-Dependent supramolecular self-assemblies of copper(ii) (fluorene-9,9-diyl)dipropanoic acid complexes. CrystEngComm 2015, 17, 8216–8220. [Google Scholar] [CrossRef]
- Shah, K.; Shah, M.R.; Khan, I.U.; Ng, S.W. 9,9-Bis[4-(2-chloroethoxy)phenyl]-9H-fluorene. Acta Cryst. 2010, E66, o2317. [Google Scholar] [CrossRef] [PubMed]
- Liu, H. 9,9-Bis(cyanoethanoic)fluorene. Acta Cryst. 2007, E63, o4033. [Google Scholar] [CrossRef]
- Jiao, S.; Liao, Y.; Xu, X.; Wang, L.; Yu, G.; Wang, L.; Su, Z.; Ye, S.; Liu, Y. Synthesis, Structure, Electronic State, and Luminescent Properties of Novel Blue-Light-Emitting Aryl-Substituted 9,9-Di(4-(di-p-tolyl)aminophenyl)fluorenes. Adv. Funct. Mater. 2008, 18, 2335–2347. [Google Scholar] [CrossRef]
- Hu, W.-B.; Liu, H.-X.; Tian, D.-T.; Liu, C.-M.; Liu, Z.-L. 9,9-Bis(ethoxycarbonylethyl)-9H-fluorene. Acta Cryst. 2006, E62, o1105–o1106. [Google Scholar] [CrossRef]
- Alder, R.W.; Anderson, K.R. Polymers and oligomers with transverse aromatic groups and tightly controlled chain conformations. Chem. Commun. 1998, 309–310. [Google Scholar] [CrossRef]
- Toda, F.; Hirano, S.; Toyota, S.; Kato, M.; Sugio, Y.; Hachiya, T. A novel host compound, 9,9-bis(4-hydroxy-3-methylphenyl)fluorene, which binds volatile guests tightly and non-volatile guests loosely. CrystEngComm 2002, 4, 171–173. [Google Scholar] [CrossRef]
- Hu, W.-B.; Liu, H.-X.; Tian, D.-T.; Liu, C.-M.; Liu, Z.-L. 9,9-Bis(methoxycarbonylethyl)fluorene. Acta Cryst. 2005, E61, o3346–o3348. [Google Scholar] [CrossRef]
- Shah, K.; Shah, M.R.; Ng, S.W. 9,9-Bis[4-(prop-2-ynyloxy)phenyl]-9H-fluorene. Acta Cryst. 2010, E66, o1939. [Google Scholar] [CrossRef]
- Aitchison, C.M.; Sachs, M.; Little, M.A.; Wilbraham, L.; Brownbill, N.J.; Kane, C.M.; Blanc, F.; Zwijnenburg, M.A.; Durrant, J.R.; Sprick, R.S.; et al. Structure–activity relationships in well-defined conjugated oligomer photocatalysts for hydrogen production from water. Chem. Sci. 2020, 11, 8744–8756. [Google Scholar] [CrossRef]
- Yoshizawa, R.; Inagaki, Y.; Momma, H.; Kwon, E.; Ohara, K.; Yamaguchi, K.; Setaka, W. Synthesis and fluorescence properties of 9,9-dimethylfluorene-diyl bridged molecular gyrotops: Effects of slight fluorophore motion on fluorescence efficiency in the solid state. New J. Chem. 2023, 47, 5946–5952. [Google Scholar] [CrossRef]
- Shaya, J.; Deschamps, M.-A.; Michel, B.Y.; Burger, A. Air-Stable Pd Catalytic Systems for Sequential One-Pot Synthesis of Challenging Unsymmetrical Aminoaromatics. J. Org. Chem. 2016, 81, 7566. [Google Scholar] [CrossRef] [PubMed]
- Nakazono, K.; Yamashita, C.; Ogawa, T.; Iguchi, H.; Takata, T. Synthesis and properties of pendant fluorene moiety-tethered aliphatic polycarbonates. Polym. J. 2015, 47, 355. [Google Scholar] [CrossRef]
- Earl, R.A.; Myers, M.J.; Nickolson, V.J. α,α-Disubstituted Aromatics and Heteroaromatics as Cognition Enhancers. US Patent 5173489A, 22 December 1992. [Google Scholar]
- Nishio, M.; Umezawa, Y.; Suezawa, N.; Tsuboyama, S. The CH/π hydrogen bond: Implication in crystal engineering. In The Importance of Pi-Interactions in Crystal Engineering; Tiekink, E.R.T., Zukerman-Schpector, J., Eds.; Wiley: Chichester, UK, 2012; pp. 1–39. [Google Scholar]
- Nishio, M.; Umezawa, Y.; Honda, K.; Tsuboyama, S.; Suezawa, N. CH/π hydrogen bonds in organic and organometallic chemistry. CrystEngComm 2009, 11, 1757–1788. [Google Scholar] [CrossRef]
- Nishio, M. The CH/π hydrogen bond in chemistry. Conformation, supramolecules, optical resolution and interactions involving carbohydrates. Phys. Chem. Chem. Phys. 2011, 13, 13873–13900. [Google Scholar] [CrossRef]
- Dance, I. π-π Interactions: Theory and Scope. In Encyclopedia of Supramolecular Chemistry; Atwood, J.L., Steed, J.M., Eds.; Dekker: New York, NY, USA, 2004; pp. 1076–1092. [Google Scholar]
- James, S.L. π-π Stacking as a Crystal Engineering. In Encyclopedia of Supramolecular Chemistry; Atwood, J.L., Steed, J.M., Eds.; CRC Press: Boca Raton, FL, USA, 2004; pp. 1093–1099. [Google Scholar]
- Salonen, L.M.; Ellermann, M.; Diederich, F. Aromatic rings in chemical and biological recognition: Energetics and structures. Angew. Chem. Int. Ed. 2011, 50, 4808–4842. [Google Scholar] [CrossRef]
- Etter, M.C.; MacDonald, J.C.; Bernstein, J. Graph-set analysis of hydrogen-bond patterns in organic crystals. J. Acta Cryst. 1990, B46, 256–262. [Google Scholar] [CrossRef] [PubMed]
- Bernstein, J.; Davies, R.E.; Shimoni, L.; Chang, N.-L. Patterns in Hydrogen Bonding: Functionality and Graph Set Analysis in Crystals. Angew. Chem. Int. Ed. Engl. 1995, 34, 1555–1573. [Google Scholar] [CrossRef]
- Desiraju, G.R.; Steiner, T. The Weak Hydrogen Bond; Oxford University Press: Oxford, UK, 1999; pp. 29–121. [Google Scholar]
- Reddy, D.S.; Craig, D.C.; Desiraju, G.R. Supramolecular Synthons in Crystal Engineering. 4. Structure Simplification and Synthon Interchangeability in Some Organic Diamondoid Solids. J. Am. Chem. Soc. 1996, 118, 4090–4093. [Google Scholar] [CrossRef]
- Taylor, R.; Kennard, O. Crystallographic Evidence for the Existence of C–H···O, C–H···N, and C–H···Cl Hydrogen Bonds. J. Am. Chem. Soc. 1982, 104, 5063–5070. [Google Scholar] [CrossRef]
- Mazik, M.; Bläser, D.; Boese, R. α, β-Unsaturated Ketoximes Carrying a Terminal Pyridine or Quinoline Subunit as Building Blocks for Supramolecular Syntheses. J. Org. Chem. 2005, 70, 9115–9122. [Google Scholar] [CrossRef]
- Desiraju, G.R. C–H⋯O and other weak hydrogen bonds. From crystal engineering to virtual screening. Chem. Commun. 2005, 24, 2995–3001. [Google Scholar] [CrossRef] [PubMed]
- Mazik, M.; Bläser, D.; Boese, R. Hydrogen-bonding motifs in the crystals of secondary diamides with 2-amino-6-methyl- and 2,6-diaminopyridine subunits. Tetrahedron 1999, 55, 12771–12782. [Google Scholar] [CrossRef]
- Mazik, M.; Hartmann, A.; Jones, P.G. Hydrogen and Halogen Bonding in the Crystal Structure of a 1,3,5-Substituted 2,4,6-Triethylbenzene Consisting of Three Phenanthroline Units. Eur. J. Org. Chem. 2010, 3, 458–463. [Google Scholar] [CrossRef]
- Ebersbach, B.; Seichter, W.; Schwarzer, A.; Mazik, M. Supramolecular patterns in the crystal structures of 1,3,5-trisubstituted 2,4,6-triethylbenzenes bearing halogenophenoxy groups. CrystEngComm 2023, 25, 137–153. [Google Scholar] [CrossRef]
- Thalladi, V.R.; Gehrke, A.; Boese, R. C-H group acidity and the nature of C-H···N interactions: Crystal structural analysis of pyrazine and methyl substituted pyrazines. New J. Chem. 2000, 24, 463–470. [Google Scholar] [CrossRef]
- Thalladi, V.R.; Smolka, T.; Gehrke, A.; Boese, R.; Sustmann, R. Role of weak hydrogen bonds in the crystal structures of phenazine, 5,10-dihydrophenazine and their 1:1 and 3:1 molecular complexes. New J. Chem. 2000, 24, 143–147. [Google Scholar] [CrossRef]
- Mazik, M.; Bläser, D.; Boese, R. Control of molecular self-assembly by hydrogen-bonding and aromatic interactions: Formation of discrete cyclic tetrameric aggregates. Tetrahedron 1999, 55, 7835–7840. [Google Scholar] [CrossRef]
- Mazik, M.; Bläser, D.; Boese, R. The potential of CH···N interactions in determining the crystal structures of novel 3,4-disubstituted-5-pyridinyl-isoxazoles. Tetrahedron Lett. 2000, 41, 5827–5831. [Google Scholar] [CrossRef]
- Mazik, M.; Bläser, D.; Boese, R. Programmed Construction of Discrete Self-Assembled Cyclic Aggregates. Chem. Eur. J. 2000, 6, 2865–2873. [Google Scholar] [CrossRef]
- Mazik, M.; Bläser, D.; Boese, R. Intermolecular CH⋯N/CH⋯O hydrogen bonds in the crystal structures of α, β-unsaturated ketones carrying a terminal pyridine subunit. Tetrahedron 2001, 57, 5791–5797. [Google Scholar] [CrossRef]
- X-AREA: Software Package for Data Collection and Data Evaluation; Stoe & Cie.: Darmstadt, Germany, 2002.
- X-RED: Program for Data Reduction and Absorption Correction; Stoe & Cie.: Darmstadt, Germany, 2002.
- Sheldrick, G.M. SHELXT2018/2. Program for Solving Crystal Structures; University of Göttingen: Göttingen, Germany, 2018. [Google Scholar]
- Sheldrick, G.M. SHELXL 2018/3. Program for Refining Crystal Structures; University of Göttingen: Göttingen, Germany, 2018. [Google Scholar]
- Farrugia, L.J. ORTEP-III. Program for Representation of Oscillation Ellipsoids; University of Glasgow: Glasgow, UK, 2012. [Google Scholar]
- Spackman, M.A.; Byrom, P.G. A novel definition of a molecule in a crystal. Chem. Phys. Lett. 1997, 267, 215–220. [Google Scholar] [CrossRef]
- McKinnon, J.J.; Mitchell, A.S.; Spackman, M.A. Hirshfeld Surfaces: A New Tool for Visualising and Exploring Molecular Crystals. Chem. Eur. J. 1998, 4, 2136–2141. [Google Scholar] [CrossRef]
- McKinnon, J.J.; Jayatilaka, D.; Spackman, M.A. Towards quantitative analysis of intermolecular interactions with Hirshfeld surfaces. Chem. Commun. 2007, 37, 3814–3816. [Google Scholar] [CrossRef]
- Spackman, M.A.; McKinnon, J.J. Fingerprinting intermolecular interactions in molecular crystals. CrystEngComm 2002, 4, 378–392. [Google Scholar] [CrossRef]
- McKinnon, J.J.; Spackman, M.A.; Mitchell, A.S. Novel tools for visualizing and exploring intermolecular interactions in molecular crystals. Acta Cryst. 2004, B60, 627–668. [Google Scholar] [CrossRef] [PubMed]
- Spackman, M.A.; Jayatilaka, D. Hirshfeld surface analysis. CrystEngComm 2009, 11, 19–32. [Google Scholar] [CrossRef]
- Spackman, P.R.; Turner, M.J.; McKinnon, J.J.; Wolff, S.K.; Grimwood, D.J.; Jayatilaka, D.R.; Spackman, M.A. CrystalExplorer: A program for Hirshfeld surface analysis, visualization and quantitative analysis of molecular crystals. J. Appl. Cryst. 2021, 54, 1006–1011. [Google Scholar] [CrossRef]
- Bondi, A. van der Waals Volumes and Radii. J. Phys. Chem. 1964, 68, 441–451. [Google Scholar] [CrossRef]
- Rowland, R.S.; Taylor, R. Intermolecular Nonbonded Contact Distances in Organic Crystal Structures: Comparison with Distances Expected from van der Waals Radii. J. Phys. Chem. 1996, 100, 7384–7391. [Google Scholar] [CrossRef]
Disclaimer/Publisher’s Note: The statements, opinions and data contained in all publications are solely those of the individual author(s) and contributor(s) and not of MDPI and/or the editor(s). MDPI and/or the editor(s) disclaim responsibility for any injury to people or property resulting from any ideas, methods, instructions or products referred to in the content. |
© 2024 by the authors. Licensee MDPI, Basel, Switzerland. This article is an open access article distributed under the terms and conditions of the Creative Commons Attribution (CC BY) license (https://creativecommons.org/licenses/by/4.0/).



















