Synthesis and Spectroscopic Study of New 1H-1-Alkyl-6-methyl-7-nitroso-3-phenylpyrazolo[5,1-c][1,2,4]triazoles
Abstract
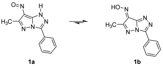
1. Introduction
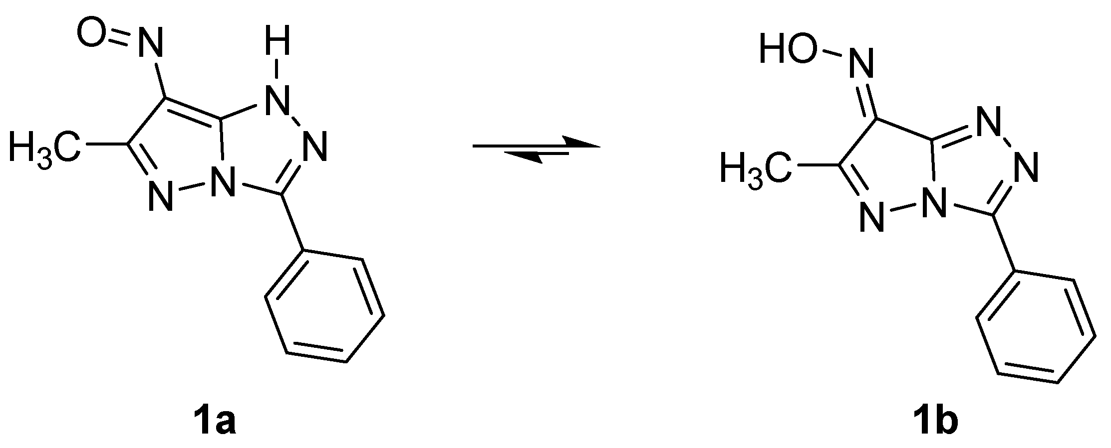
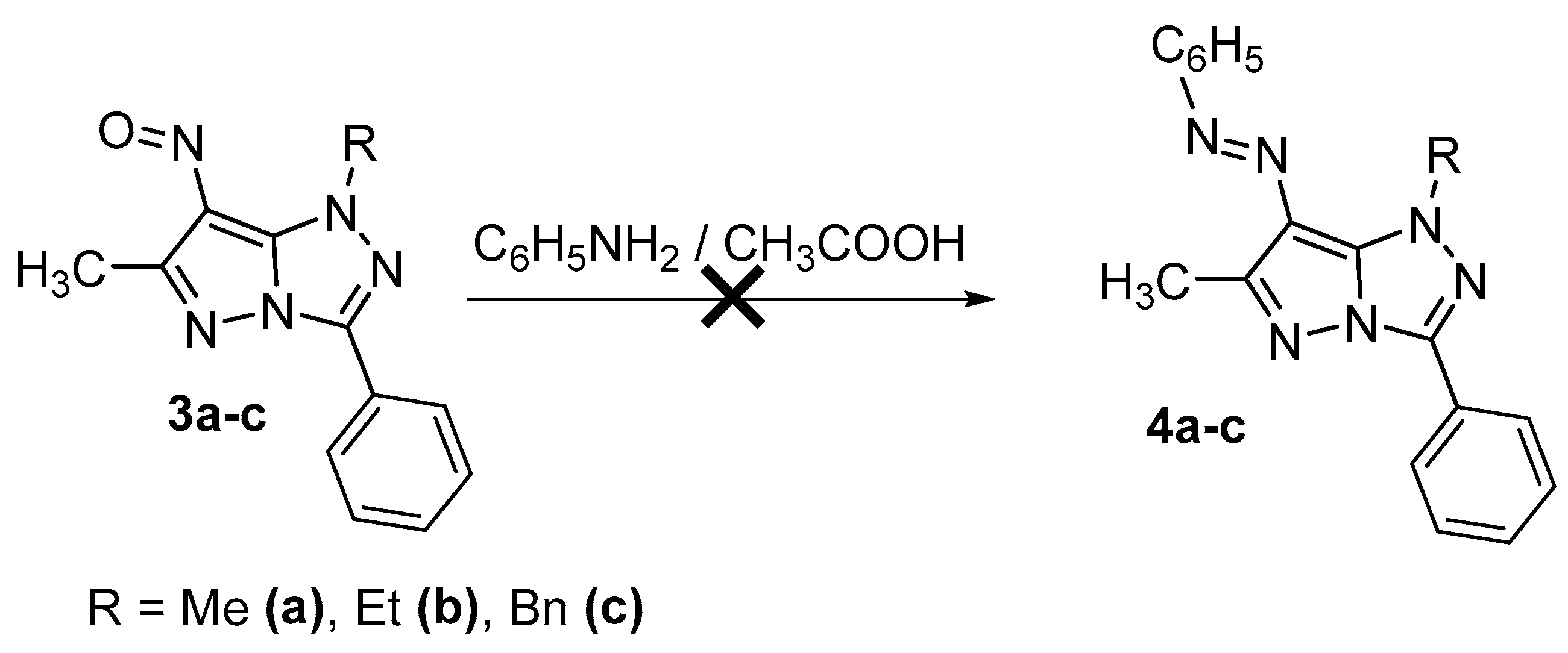
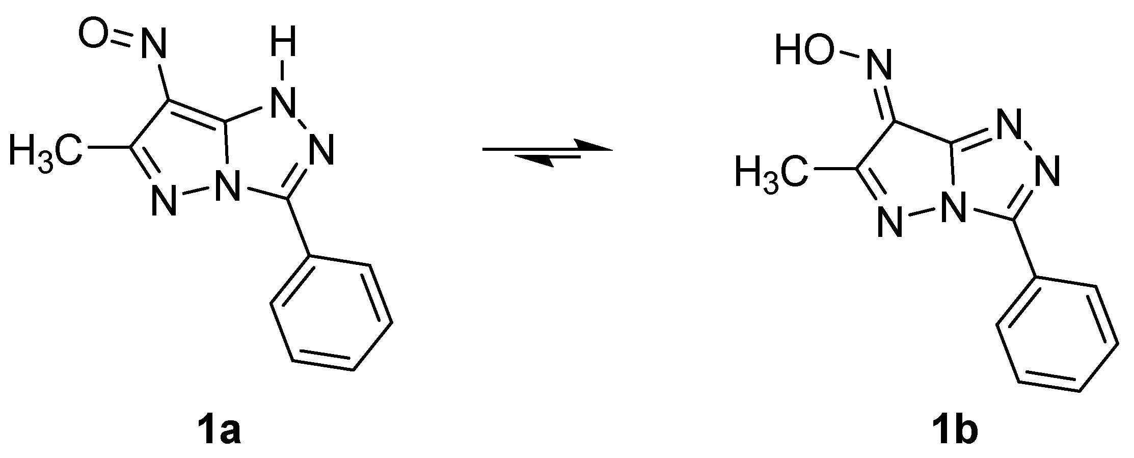
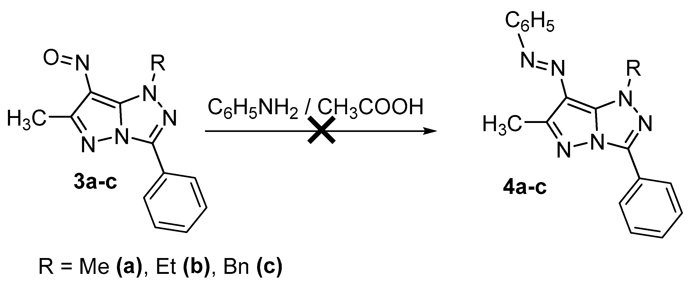
2. Results and Discussion
3. Materials and Methods
4. Experimental Section
4.1. General Synthesis Procedure
4.2. 1,6-Dimethyl-7-nitroso-3-phenylpyrazolo[5,1-c][1,2,4]triazole (3a)
4.3. 1-Ethyl-6-methyl-7-nitroso-3-phenylpyrazolo[5,1-c][1,2,4]triazole (3b)
4.4. 1-Benzyl-6-methyl-7-nitroso-3-phenylpyrazolo[5,1-c][1,2,4]triazole (3c)
5. Conclusions
Supplementary Materials
Author Contributions
Funding
Data Availability Statement
Conflicts of Interest
References
- Bailey, J. Synthesis of 1H-Pyrazolo[3,2-c]-s-Triazoles and Derived Azamethine Dyes. J. Chem. Soc. Perkin Trans. 1 1977, 18, 2047–2052. [Google Scholar] [CrossRef]
- Diehl, D.R.; Kapiamba, M.; Cowan, S.W. Photographic Element, Pyrazolazole Coupler, Method for It’s Preparation and an Azomethine Dye. EP1014185A1, 28 June 2000. [Google Scholar]
- Komamura, T.; Onishi, A.; Tanaka, T.; Nakayama, Y.; Honda, M.; Miura, N. Metal Complex Methin Dye. EP0763569A1, 19 March 1997. [Google Scholar]
- Diehl, D.R.; Niger, R.J.; Dunlap, R.P.; Sonnefeld, W.J.; Schmitthenner, H.F. Imaging Materials Containing Peptoid Substituted Azole Couplers. US6514679B1, 4 February 2003. [Google Scholar]
- Arisumi, K.; Feng, F.; Miyashita, T.; Ninomiya, H. Functionalization of Polymer Langmuir−Blodgett Films Using Active Ester Groups. Langmuir 1998, 14, 5555–5558. [Google Scholar] [CrossRef]
- Plos, G.; Lagrange, A. Composition for Oxidative Dyeing of Keratinous Fibres and Dyeing Process Using the Same. EP1062937A1, 27 December 2000. [Google Scholar]
- Kato, K.; Suzuki, T.; Ishihara, H. Bacteriaproof and Mildewproof Agent. JP2002167305A, 11 June 2002. [Google Scholar]
- Abdallah, M.A.; Riyadh, S.M.; Abbas, I.M.; Gomha, S.M. Synthesis and Biological Activities of 7-Arylazo-7H-Pyrazolo[5,1-c][1,2,4] Triazol-6(5H)-Ones and 7-Arylhydrazono-7H-[1,2,4]Triazolo[3,4-b] [1,3,4]Thiadiazines. J. Chin. Chem. Soc. 2005, 52, 987–994. [Google Scholar] [CrossRef]
- Ibrahim, Y.A.; Al-Awadi, N.A.; John, E. Pyrolytic Desulfurization Ring Contraction of Condensed Thiadiazines as a General Route towards Pyrazoloazines and Pyrazoloazoles with a Bridgehead (Ring Junction) Nitrogen Atom. Tetrahedron 2008, 64, 10365–10374. [Google Scholar] [CrossRef]
- Dawood, K.M. Indolizines, Triazolo[4,3-a]Pyridines, Benzimidazo[1,2-d]Oxadiazoles, and Pyrazolo[1,5-c]Triazoles via Nitrogen and Sulfur Ylides. Heteroat. Chem. 2004, 15, 432–436. [Google Scholar] [CrossRef]
- Badea, V.; Şofei, M.D.; Venter, M.M.; Bercean, V.N. Regioselective Alkylation of 1H-7-Ethoxycarbonyl-6-Methyl-3-Phenyl-Pyrazolo[5,1-c][1,2,4]Triazole and 1H-6-Methyl-3-Phenyl-Pyrazolo[5,1-c][1,2,4]Triazole. Tetrahedron 2007, 63, 1467–1473. [Google Scholar] [CrossRef]
- Bercean, V.-N.; Badea, V.; Şofei, M.-D.; Mitroi, D.; Csunderlik, C. Nitrozarea pirazolo[5,1-c][1,2,4]triazolilor. Rev. Chim. 2006, 57, 326–328. [Google Scholar]
- Hüttel, R.; Büchele, F.; Jochum, P. Über Nitro-, Nitroso- und Azopyrazole. Chem. Ber. 1955, 88, 1577–1585. [Google Scholar] [CrossRef]
- Șofei, M.-D. Contributions to the Study of Functionalization Reactions of Heterocyclic Compounds with Nitrogen. Ph.D. Thesis, University Politehnica of Timișoara, Timișoara, Romania, 2007. Available online: https://dspace.upt.ro/jspui/handle/123456789/4134 (accessed on 23 August 2023).




| Compound | HMBC Long-Range Correlations | |
|---|---|---|
| 1H-13C (ppm) | 1H-15N (ppm) | |
| 3a | 6-C-CH3 (3.04) → 6-C (164.2) | 6-C-CH3 (3.04) → 5-N (263.5) |
| 6-C-CH3 (3.04) → 7-C (145.0) | 1-N-CH3 (4.32) → 1-N (168.6) | |
| 1-N-CH3 (4.32) → 7a-C (133.9) | 1-N-CH3 (4.32) → 2-N (288.4) | |
| 3b | 1-N-CH2CH3 (1.50) → 1-N-CH2CH3 (49.2) | 1-N-CH2CH3 (1.50) → 1-N (183.5) |
| 6-C-CH3 (3.03) → 7-C (145.0) | 6-C-CH3 (3.03) → 5-N (263.5) | |
| 6-C-CH3 (3.03) → 6-C (164.2) | 1-N-CH2CH3 (4.70) → 1-N (183.5) | |
| 1-N-CH2CH3 (4.70) → 1-N-CH2CH3 (16.3) | 1-N-CH2CH3 (4.70) → 2-N (286.0) | |
| 1-N-CH2CH3 (4.70) → 7a-C (133.9) | ||
| 3c | 6-C-CH3 (3.04) → 7-C (145.0) | 6-C-CH3 (3.04) → 5-N (264.4) |
| 6-C-CH3 (3.04) → 6-C (164.2) | 1-N-CH2 (5.79) → 1-N (181.6) | |
| 1-N-CH2 (5.79) → 7a-C (133.9) | 1-N-CH2 (5.79) → 2-N (286.5) | |
| 1-N-CH2 (5.79) → 1″-C (134.8) | ||
| 1-N-CH2 (5.79) → 2″-H, 6″-H (7.41–7.40) | ||
| R | λmax [nm], ε [M−1∙cm−1] (CH3OH) | λmax [nm] (CH3COOH) | λmax [nm] (HCl/CH3OH) |
|---|---|---|---|
| -CH3 | 561.5, 63.6 | 519 | 339.5 |
| -C2H5 | 558.0, 65.1 | 518.5 | 340.5 |
| -CH2C6H5 | 563.0, 56.4 | 522 | 343 |
Disclaimer/Publisher’s Note: The statements, opinions and data contained in all publications are solely those of the individual author(s) and contributor(s) and not of MDPI and/or the editor(s). MDPI and/or the editor(s) disclaim responsibility for any injury to people or property resulting from any ideas, methods, instructions or products referred to in the content. |
© 2024 by the authors. Licensee MDPI, Basel, Switzerland. This article is an open access article distributed under the terms and conditions of the Creative Commons Attribution (CC BY) license (https://creativecommons.org/licenses/by/4.0/).
Share and Cite
Burcă, I.; Badea, V.; Bercean, V.-N.; Péter, F. Synthesis and Spectroscopic Study of New 1H-1-Alkyl-6-methyl-7-nitroso-3-phenylpyrazolo[5,1-c][1,2,4]triazoles. Molbank 2024, 2024, M1815. https://doi.org/10.3390/M1815
Burcă I, Badea V, Bercean V-N, Péter F. Synthesis and Spectroscopic Study of New 1H-1-Alkyl-6-methyl-7-nitroso-3-phenylpyrazolo[5,1-c][1,2,4]triazoles. Molbank. 2024; 2024(2):M1815. https://doi.org/10.3390/M1815
Chicago/Turabian StyleBurcă, Ion, Valentin Badea, Vasile-Nicolae Bercean, and Francisc Péter. 2024. "Synthesis and Spectroscopic Study of New 1H-1-Alkyl-6-methyl-7-nitroso-3-phenylpyrazolo[5,1-c][1,2,4]triazoles" Molbank 2024, no. 2: M1815. https://doi.org/10.3390/M1815
APA StyleBurcă, I., Badea, V., Bercean, V.-N., & Péter, F. (2024). Synthesis and Spectroscopic Study of New 1H-1-Alkyl-6-methyl-7-nitroso-3-phenylpyrazolo[5,1-c][1,2,4]triazoles. Molbank, 2024(2), M1815. https://doi.org/10.3390/M1815

