5,8-Quinolinedione Attached to Quinone Derivatives: XRD Diffraction, Fourier Transform Infrared Spectra and Computational Analysis
Abstract
1. Introduction
2. Results
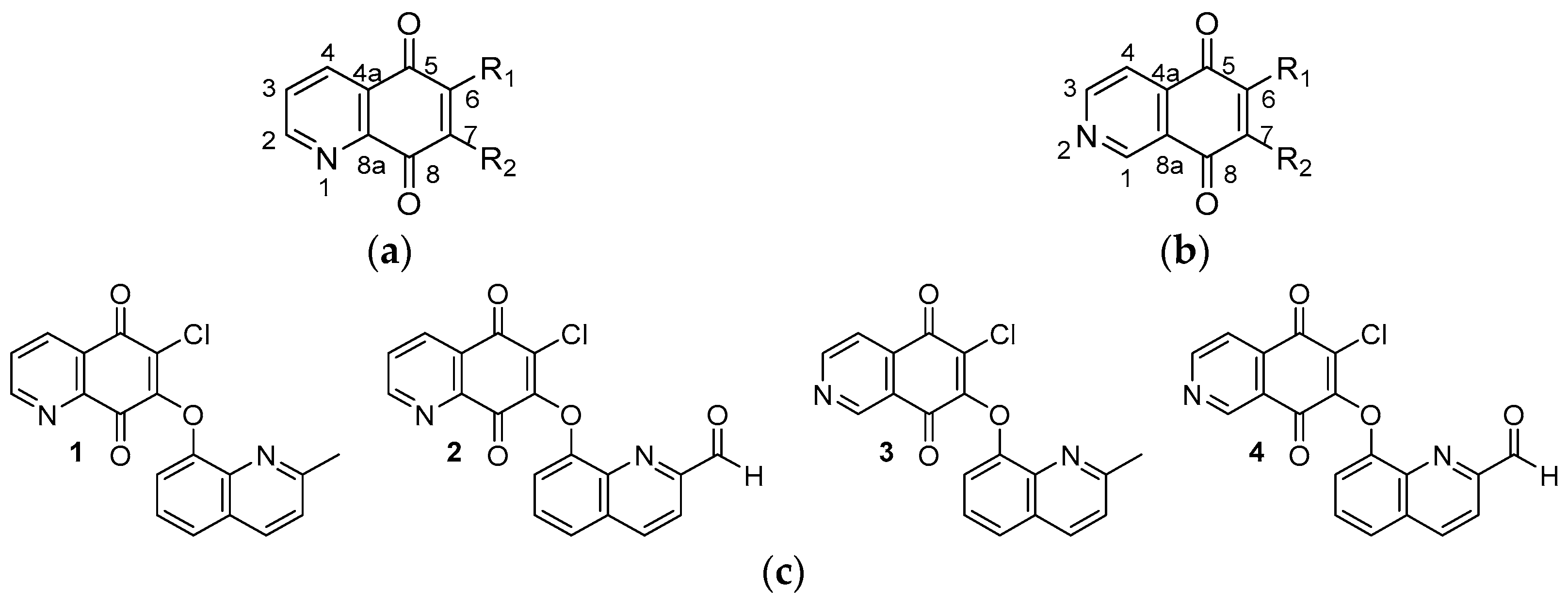
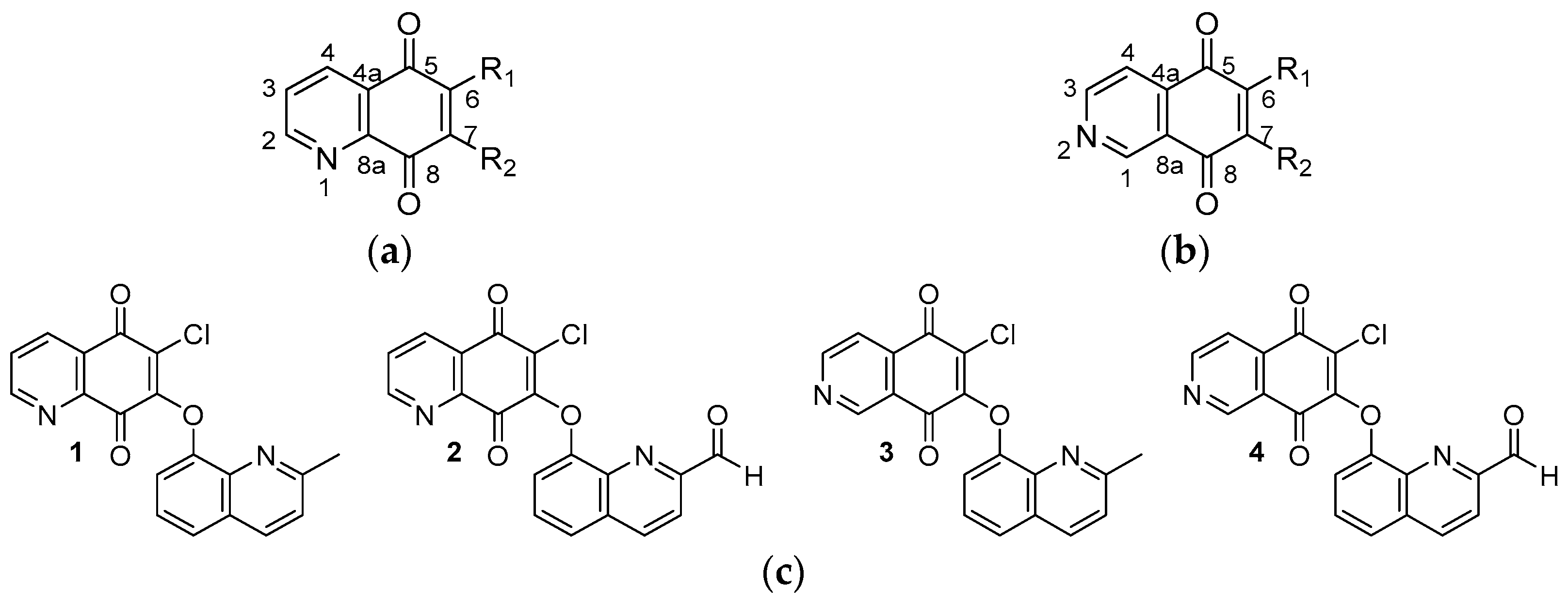
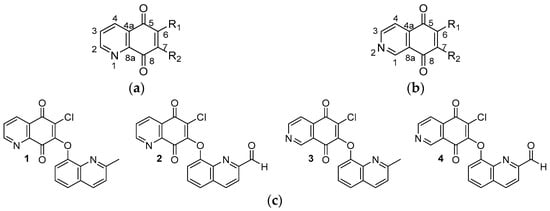
2.1. Analysis of Molecular Structure
2.2. FT-IR Spectra
2.2.1. C–C and C–H Vibrations
2.2.2. C–N and C–O Vibrations
2.2.3. C=O Vibrations
2.2.4. C–Cl Vibrations
2.3. Molecular Electrostatic Potential Maps
3. Materials and Methods
3.1. Synthesis
3.2. Physical Measurements
3.3. Computational Details
4. Conclusions
Supplementary Materials
Author Contributions
Funding
Data Availability Statement
Conflicts of Interest
References
- Barnes, M.; Sulé-Suso, J.; Millett, J.; Roach, P. Fourier transform infrared spectroscopy as a non-destructive method for analysing herbarium specimens. Biol. Lett. 2023, 19, 20220546. [Google Scholar] [CrossRef] [PubMed]
- Geraldes, C.F.G.C. Introduction to infrared and raman-based biomedical molecular imaging and comparison with other modalities. Molecules 2020, 25, 5547. [Google Scholar] [CrossRef] [PubMed]
- Zhang, J.; Zhou, Q.; Zhang, D.; Yang, G.; Zhang, C.; Wu, Y.; Xu, Y.; Chen, J.; Kong, W.; Kong, G.; et al. The agronomic traits, alkaloids analysis, FT-IR and 2DCOS-IR spectroscopy identification of the low-nicotine-content nontransgenic tobacco edited by CRISPR-Cas9. Molecules 2022, 27, 3817. [Google Scholar] [CrossRef] [PubMed]
- Krysa, M.; Szymańska-Chargot, M.; Zdunek, A. FT-IR and FT-Raman fingerprints of flavonoids—A review. Food Chem. 2022, 393, 133430. [Google Scholar] [CrossRef] [PubMed]
- Koczoń, P.; Hołaj-Krzak, J.T.; Palani, B.K.; Bolewski, T.; Dąbrowski, J.; Bartyzel, B.J.; Gruczyńska-Sękowska, E. The analytical possibilities of FT-IR spectroscopy powered by vibrating molecules. Int. J. Mol. Sci. 2023, 24, 1013. [Google Scholar] [CrossRef] [PubMed]
- Passaris, I.; Mauder, N.; Kostrzewa, M.; Burckhardt, I.; Zimmermann, S.; van Sorge, N.M.; Slotved, H.C.; Desmet, S.; Ceyssens, P.J. Validation of fourier transform infrared spectroscopy for Serotyping of Streptococcus pneumoniae. J. Clin. Microbiol. 2022, 60, 0032522. [Google Scholar] [CrossRef] [PubMed]
- Sala, A.; Cameron, J.M.; Jenkins, C.A.; Barr, H.; Christie, L.; Conn, J.J.A.; Evans, T.R.J.; Harris, D.A.; Palmer, D.S.; Rinaldi, C.; et al. Liquid Biopsy for Pancreatic Cancer Detection Using Infrared Spectroscopy. Cancers 2022, 14, 3048. [Google Scholar] [CrossRef]
- Milosevic, M. Internal Reflection and ATR Spectroscopy. Appl. Spectrosc. Rev. 2004, 39, 365–384. [Google Scholar] [CrossRef]
- Cui, L.; Butler, H.J.; Martin-Hirsch, P.L.; Martin, F.L. Aluminium Foil as a Potential Substrate for ATR-FTIR, Transflection FTIR or Raman Spectrochemical Analysis of Biological Specimens. Anal. Methods 2016, 8, 481–487. [Google Scholar] [CrossRef]
- Guan, Y.F.; Liu, X.J.; Yuan, X.Y.; Liu, W.B.; Li, Y.R.; Yu, G.X.; Tian, X.Y.; Zhang, Y.B.; Song, J.; Li, W.; et al. Design, synthesis, and anticancer activity studies of novel quinoline-chalcone derivatives. Molecules 2021, 26, 4899. [Google Scholar] [CrossRef]
- Patel, K.B.; Kumari, P. A review: Structure-activity relationship and antibacterial activities of quinoline based hybrids. J. Mol. Struct. 2022, 1268, 133634. [Google Scholar] [CrossRef]
- Mohan, I.; Ayyakannu, A.N. Review on recent development of quinoline for anticancer activities. Arab. J. Chem. 2022, 15, 104168. [Google Scholar]
- Hu, S.; Chen, J.; Cao, J.X.; Zhang, S.S.; Gu, S.; Chen, F. Quinolines and isoquinolines as HIV-1 inhibitors: Chemical structures, action targets, and biological activities. Bioorg. Chem. 2023, 136, 106549. [Google Scholar] [CrossRef] [PubMed]
- Boger, D.; Yasuda, M.; Mitscher, L.; Drake, S.; Kitos, P.; Thompson, S. Streptonigrin and lavendamycin partial structures. Probes for the minimum, potent pharmacophore of streptonigrin, lavendamycin, and synthetic quinoline-5,8-diones. J. Med. Chem. 1987, 30, 1918–1928. [Google Scholar] [CrossRef] [PubMed]
- Bringmann, G.; Reichert, Y.; Kane, V. The total synthesis of streptonigrin and related antitumor antibiotic natural products. Tetrahedron 2004, 60, 3539–3574. [Google Scholar] [CrossRef]
- El Shehry, M.F.; Ghorab, M.M.; Abbas, S.Y.; Fayed, E.A.; Shedid, S.A.; Ammar, Y.A. Quinoline derivatives bearing pyrazole moiety: Synthesis and biological evaluation as possible antibacterial and antifungal agents. Eur. J. Med. Chem. 2018, 142, 1463–1473. [Google Scholar] [CrossRef]
- Kadela-Tomanek, M.; Bębenek, E.; Chrobak, E.; Boryczka, S. 5,8-Quinolinedione scaffold as a promising moiety of bioactive agents. Molecules 2019, 24, 4115. [Google Scholar] [CrossRef]
- Mancini, I.; Vigna, J.; Sighel, D.; Defant, A. Hybrid molecules containing naphthoquinone and quinolinedione scaffolds as antineoplastic agents. Molecules 2022, 27, 4948. [Google Scholar] [CrossRef]
- Guo, K.; Li, J.; Jia, Y.; Yang, X.; Yan, X.; Wu, L. Design, synthesis, and biological evaluation of quinolinedione-linked sulfonylpiperazine derivatives as NQO1-directed antitumor agents. Bioorg. Chem. 2023, 132, 106385. [Google Scholar] [CrossRef]
- Kadela-Tomanek, M.; Jastrzębska, M.; Chrobak, E.; Bębenek, E.; Latocha, M. Hybrids of 1,4-quinone with quinoline derivatives: Synthesis, biological activity, and molecular docking with DT-Diaphorase (NQO1). Molecules 2022, 27, 6206. [Google Scholar] [CrossRef]
- Lee, D.; Ko, J.; Lee, K. Cesium carbonate-mediated reaction of dichloronaphthoquinone derivatives with O-nucleofpiles. Monatsh. Chem. 2007, 138, 741–746. [Google Scholar] [CrossRef]
- Yoon, E.; Choi, H.; Shin, K.; Yoo, K.; Chi, D.; Kim, D. The regioselectivity in the reaction of 6,7-dihaloquinoline-5,8-diones with amine nucleophiles in various solvents. Tetrahedron Lett. 2000, 41, 7475–7480. [Google Scholar] [CrossRef]
- Kadela-Tomanek, M.; Jastrzębska, M.; Chrobak, E.; Bębenek, E.; Latocha, M.; Kusz, J.; Boryczka, S. Structural and spectral haracterization of 2-amino-2H-[1,2,3]triazolo[4,5-g]quinoline-4,9-dione polymorphs. Cytotoxic activity and moleculardocking study with NQO1 enzyme. Spectrochim. Acta A Mol. Biomol. Spectrosc. 2020, 230, 118038. [Google Scholar] [CrossRef] [PubMed]
- Jastrzębska, M.; Boryczka, S.; Kadela, M.; Wrzalik, R.; Kusz, J.; Nowak, M. Synthesis, crystal structure and infrared spectra of new 6- and 7-propylamine-5,8-quinolinediones. J. Mol. Struct. 2014, 1067, 160–168. [Google Scholar] [CrossRef]
- Kadela-Tomanek, M.; Jastrzębska, M.; Marciniec, K.; Chrobak, E.; Bębenek, E.; Boryczka, S. Lipophilicity, pharmacokinetic properties, and molecular docking study on SARS-CoV-2 target for betulin triazole derivatives with attached 1,4-quinone. Pharmaceutics 2021, 13, 781. [Google Scholar] [CrossRef] [PubMed]
- Kadela-Tomanek, M.; Pawełczak, B.; Jastrzębska, M.; Bębenek, E.; Chrobak, E.; Latocha, M.; Kusz, J.; Książek, M.; Boryczka, S. Structural, vibrational and quantum chemical investigations for 6,7-dichloro-2-methyl-5,8-quinolinedione. Cytotoxic and molecular docking studies. J. Mol. Struct. 2018, 1168, 73–83. [Google Scholar] [CrossRef]
- Kadela-Tomanek, M.; Jastrzębska, M.; Bębenek, E.; Chrobak, E.; Latocha, M.; Kusz, J.; Tarnawska, D.; Boryczka, S. New acetylenic amine derivatives of 5,8-quinolinediones: Synthesis, crystal structure and antiproliferative activity. Crystals 2017, 7, 15. [Google Scholar] [CrossRef]
- Kubo, A.; Kitahara, Y.; Nakahara, S.; Numata, R. The ceric ammonium nitrate mediated synthesis of quinoline and isoquinoline quinones. Chem. Pharm. Bull. 1983, 31, 341–343. [Google Scholar] [CrossRef][Green Version]
- Fizer, O.; Fizer, M.; Filep, M.; Sidey, V.; Mariychuk, R. On the structure of cetylpyridinium perchlorate: A combined XRD, NMR, IR and DFT study. J. Mol. Liq. 2022, 368, 120659. [Google Scholar] [CrossRef]
- Raja, P.B.; Munusamy, K.R.; Perumal, V.; Ibrahim, M.N.M. 5—Characterization of nanomaterial used in nanobioremediation. In Micro and Nano Technologies, Nano-Bioremediation: Fundamentals and Applications; Iqbal, H.M.N., Bilal, M., Nguyen, T.A., Eds.; Elsevier: Amsterdam, The Netherlands, 2022. [Google Scholar]
- Kadela, M.; Jastrzębska, M.; Bębenek, E.; Chrobak, E.; Latocha, M.; Kusz, J.; Książek, M.; Boryczka, S. Synthesis, structure and cytotoxic activity of mono- and dialkoxy derivatives of 5,8-quinolinedione. Molecules 2016, 21, 156. [Google Scholar] [CrossRef]
- Kadela-Tomanek, M.; Jastrzębska, M.; Pawełczak, B.; Bębenek, E.; Chrobak, E.; Latocha, M.; Książek, M.; Kusz, J.; Boryczka, S. Alkynyloxy derivatives of 5,8-quinolinedione: Synthesis, in vitro cytotoxicity studies and computational molecular modeling with NAD(P)H:Quinone oxidoreductase 1. Eur. J. Med. Chem. 2017, 126, 969–982. [Google Scholar] [CrossRef]
- Socrates, G. Infrared and Raman Characteristic Group Frequencies, 3rd ed.; Wiley-Blackwell: Hoboken, NJ, USA, 2004. [Google Scholar]
- Silverstein, R.; Webster, F.; Kiemle, D.; Bryce, D. Spectrometric Identification of Organic Compounds, 8th ed.; Wiley: New York, NY, USA, 2014. [Google Scholar]
- Chandrasekaran, K.; Kumar, R. Structural, spectral, thermodynamical, NLO, HOMO, LUMO and NBO analysis of fluconazole. Spectrochim. Acta A 2015, 150, 974. [Google Scholar] [CrossRef]
- Vennila, M.; Rathikha, R.; Muthu, S.; Jeelani, A.; Irfan, A. Theoretical structural analysis (FT-IR, FT-R), solvent effect on electronic parameters NLO, FMO, NBO, MEP, UV (IEFPCM model), Fukui function evaluation with pharmacological analysis on methyl nicotinate. Comput. Theor. Chem. 2022, 1217, 113890. [Google Scholar] [CrossRef]
- Frisch, M.J.; Trucks, G.W.; Schlegel, H.B.; Scuseria, G.E.; Robb, M.A.; Cheeseman, J.R.; Scalmani, G.; Barone, V.; Mennucci, B.; Petersson, G.A.; et al. Gaussian 16, Revision A. 03. In GaussView 5.0; Gaussian, Inc.: Wallingford, CT, USA, 2016. [Google Scholar]
- Foresman, J.B.; Frisch, A.E. Exploring Chemistry with Electronic Structure Methods: A Guide to Using Gaussian, 3rd ed.; Gaussian, Inc.: Wallingford, CT, USA, 2015; ISBN 978-1-935522-03-4. [Google Scholar]
- Politzer, P.; Laurence, P.; Jayasuriya, K. Molecular electrostatic potentials: An effective tool for the elucidation of biochemical phenomena. Environ. Health Perspect. 1985, 61, 191–202. [Google Scholar] [CrossRef]
- Dennington, R.; Keith, T.; Millam, J. GaussView, Version 5; Semichem Inc.: Shawnee Mission, KS, USA, 2009. [Google Scholar]






| Assignment | 1 | 2 | 3 | 4 | ||||
|---|---|---|---|---|---|---|---|---|
| Exp | Calc | Exp | Calc | Exp | Calc | Exp | Calc | |
| v C–H 5,8-quinolinedione and quinoline | 3081–2852 | 3096–2934 | 3068–2852 | 3112 2857 | 3087–2853 | 3081–2934 | 3058–2853 | 3112 2850 |
| v C=O | - | - | 1706 | 1739 | - | - | 1712 | 1739 |
| vas C=O | 1687 | 1724 | 1683 | 1716 | 1670 | 1700 | 1668 | 1700 |
| vs C=O | 1680 | 1716 | 1675 | 1692 | ||||
| v C–C 5,8-quinolinedione | 1668 | 1692 | 1584 | 1572 | 1582 | 1577 | 1582 | 1577 |
| v C–C, C–H 5,8-quinolinedione | 1617–1507 | 1600–1553 | 1556–1527 | 1569–1546 | 1570–1524 | 1546 | 1583–1534 | 1546 |
| v C–C, C–H quinoline | 1473–1374 | 1492–1415 | 1464–1411 | 1492–1415 | 1477–1396 | 1491–1415 | 1492–1415 | 1492–1415 |
| ν C–N quinoline | 1314 | 1322 | 1321 | 1322 | 1318 | 1322 | 1325 | 1322 |
| v C–O 5,8-quinolinedione | 1278 | 1291 | 1281 | 1291 | 1292 | 1299 | 1288 | 1307 |
| ν C–N 5,8-quinolinedione | 1236 | 1230 | 1239 | 1230 | 1256–1247 | 1237 | 1248–1237 | 1245 |
| δ C–C, C–H 5,8-quinolinedione and quinoline | 1166–969 | 1168–991 | 1178–984 | 1168–983 | 1078–971 | 1106–983 | 1075–891 | 1106–898 |
| v C–Cl | 829 | 829 | 826 | 836 | 833 | 829 | 826 | 836 |
Disclaimer/Publisher’s Note: The statements, opinions and data contained in all publications are solely those of the individual author(s) and contributor(s) and not of MDPI and/or the editor(s). MDPI and/or the editor(s) disclaim responsibility for any injury to people or property resulting from any ideas, methods, instructions or products referred to in the content. |
© 2023 by the authors. Licensee MDPI, Basel, Switzerland. This article is an open access article distributed under the terms and conditions of the Creative Commons Attribution (CC BY) license (https://creativecommons.org/licenses/by/4.0/).
Share and Cite
Sokal, A.; Wrzalik, R.; Klimontko, J.; Chrobak, E.; Bębenek, E.; Kadela-Tomanek, M. 5,8-Quinolinedione Attached to Quinone Derivatives: XRD Diffraction, Fourier Transform Infrared Spectra and Computational Analysis. Molbank 2023, 2023, M1747. https://doi.org/10.3390/M1747
Sokal A, Wrzalik R, Klimontko J, Chrobak E, Bębenek E, Kadela-Tomanek M. 5,8-Quinolinedione Attached to Quinone Derivatives: XRD Diffraction, Fourier Transform Infrared Spectra and Computational Analysis. Molbank. 2023; 2023(4):M1747. https://doi.org/10.3390/M1747
Chicago/Turabian StyleSokal, Arkadiusz, Roman Wrzalik, Joanna Klimontko, Elwira Chrobak, Ewa Bębenek, and Monika Kadela-Tomanek. 2023. "5,8-Quinolinedione Attached to Quinone Derivatives: XRD Diffraction, Fourier Transform Infrared Spectra and Computational Analysis" Molbank 2023, no. 4: M1747. https://doi.org/10.3390/M1747
APA StyleSokal, A., Wrzalik, R., Klimontko, J., Chrobak, E., Bębenek, E., & Kadela-Tomanek, M. (2023). 5,8-Quinolinedione Attached to Quinone Derivatives: XRD Diffraction, Fourier Transform Infrared Spectra and Computational Analysis. Molbank, 2023(4), M1747. https://doi.org/10.3390/M1747

