Abstract
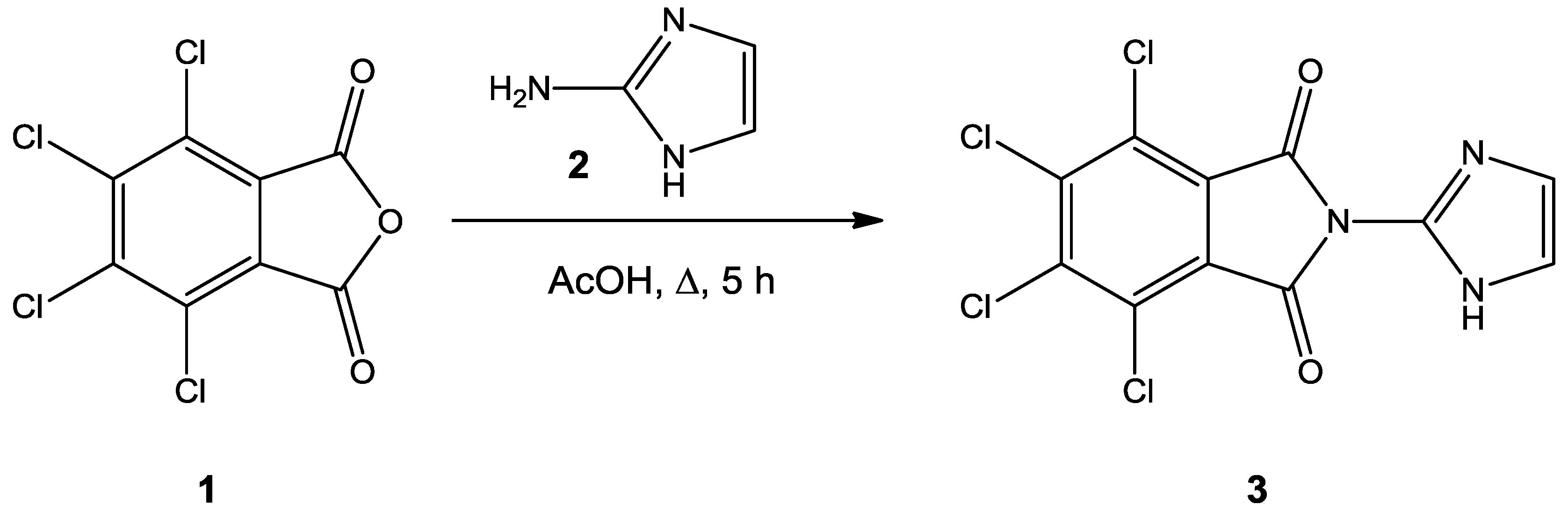
4,5,6,7-Tetrachloro-2-(1H-imidazol-2-yl)isoindoline-1,3-dione was obtained by reaction of 2-aminoimidazole with 3,4,5,6-tetrachlorophthalic anhydride in refluxing acetic acid.
The biological activities of N-substituted tetrachlorophthalimides are broadly covered in the literature. Besides other properties, members of this compound class have been reported as biological response modifiers through regulation of tumor necrosis factor α [1], as α-glucosidase inhibitors [2], as liver X receptor antagonists [3], and as antihyperlipidemic agents [4]. In a recent paper members of the compound class were described as inhibitors of the protein kinase CK2 [5]. In the course of our studies on protein kinases and their ATP-competitive ligands [6,7,8,9] we were interested in structurally new N-substituted tetrachlorophthalimides as putative protein kinase inhibitors. A survey of the literature revealed that N-(imidazol-2-yl)tetrachlorophthalimides are hitherto unknown. The present paper reports a straightforward synthesis of the parent structure 3 in this compound class.
For the synthesis of 3, the free 2-aminoimidazole base (2), easily soluble in water and instable in the air [10], was released from the commercial sulfate with an aqueous solution of sodium carbonate [11]. After evaporation of the solvent, the remaining free 2-aminoimidazole (2) was refluxed with tetrachlorophthalic anhydride (1) in glacial acetic acid for five hours, applying a method reported by Pratt et al. (Scheme 1) [12].
Scheme 1.
Synthesis of the title compound 3.
Experimental
General
The melting point was determined in an open-glass capillary on an electric variable heater (Electrothermal IA 9100). The 1H-NMR and the 13C-NMR were recorded on a Bruker Avance AV II-600 spectrometer (NMR Laboratories of the Chemical Institutes of the Technische Universität Braunschweig) using DMSO-d6 as solvent, chemical shifts are reported in relation to Me4Si (δ = 0 ppm; bs = broad singlet). Tertiary C nuclei were identified by means of a 13C-DEPT135 experiment. The infrared spectrum was recorded on a Thermo Nicolet FT-IR 200 spectrometer using KBr pellets. The UV spectrum was recorded on a Specord 40 spectrometer (Analytik Jena, Jena, Germany) using quartz cuvettes of 1 cm path length. For mass spectrometry a MAT95XL spectrometer (Thermofinnigan MAT, Bremen, Germany, Department of Mass Spectrometry of the Chemical Institutes of the Technische Universität Braunschweig) was used. The elemental analysis was recorded on a CE Instruments FlashEA®1112 Elemental Analyzer. The reaction was traced by TLC (Polygram SIL G/UV254 0.2 mm thickness by Macherey-Nagel). Ethanol 96% (technical grade containing 4% water) was used for extraction. Tetrachlorophthalic anhydride was purchased from Sigma Aldrich. 2-Aminoimidazole sulfate was purchased from Alfa Aesar. All starting materials were used as delivered without further purification.
4,5,6,7-Tetrachloro-2-(1H-imidazol-2-yl)isoindoline-1,3-dione (3)
Anhydrous sodium carbonate (477 mg, 4.50 mmol) was added to a solution of 2-aminoimidazole sulfate (594 mg, 2.25 mmol) in water (15 mL). The mixture was stirred for 30 minutes at room temperature. The solution was evaporated to dryness under reduced pressure. The residue was extracted six times with ethanol (96%, 5 mL portions, respectively). The combined ethanolic fractions were evaporated under reduced pressure to yield the free 2-aminoimidazole as brown oil. After addition of tetrachlorophthalic anhydride (858 mg, 3.00 mmol) and glacial acetic acid (10 mL) the mixture was refluxed open to the air for 5 h with stirring. A precipitate formed after cooling to room temperature, which was filtered off by suction to yield 0.500 g (63.5%) of a beige powder. Crystallization from a mixture of ethyl acetate and DMF (7:1) yielded an analytically pure sample as orange crystals.
M.p.: 270–273 °C (dec.).
MS (EI, rel. intensity) m/z: 212 (37), 214 (49), 216 (22), 240 (31), 242 (39), 244 (18), 314 (91), 316 (87), 318 (26), 349 [M●+] (76), 351 (100), 353 (43).
IR (KBr) (cm−1): 735 (w), 748 (m), 1087 (w), 1127 (m), 1249 (w), 1304 (w), 1334 (w), 1368 (m), 1384 (m), 1475 (w), 1561 (w), 1578 (w), 1721 (s, C=O).
1H-NMR (600.1 MHz, DMSO-d6) δ (ppm): 7.18 (s, 2H, CH), 12.44 (bs, 1H, NH).
13C-NMR (150.9 MHz, DMSO-d6) δ (ppm): 128.3 (2C, C quat.), 129.3 (2C, C quat.), 129.3 (C tert.), 131.5 (C quat.), 139.5 (2C, C quat.), 139.5 (C tert.), 162.3 (2C, C quat.).
UV/Vis (acetonitrile): λmax (ε): 238 nm (51000)
TLC (toluene:ethanol:formic acid 3:1:0.5 vol.): Rf = 0.60
Anal. calculated for C11H3Cl4N3O2 (350.97): C, 37.64; H, 0.86; N, 11.97. Found: C, 37.64; H, 0.83; N, 11.96.
Supplementary materials
Supplementary File 1Supplementary File 2Supplementary File 3Acknowledgments
The authors are grateful to H.-O. Burmeister, B. Babic, S. Meyer and P. Reich for recording the IR and UV spectra and performing the elemental analysis.
References
- Miyachi, H.; Azuma, A.; Ogasawara, A.; Uchimura, E.; Watanabe, N.; Kobayashi, Y.; Kato, F.; Kato, M.; Hashimoto, Y. Novel biological response modifiers: Phthalimides with tumor necrosis factor-α production-regulating activity. J. Med. Chem. 1997, 40, 2858–2865. [Google Scholar] [CrossRef] [PubMed]
- Sou, S.; Mayumi, S.; Takahashi, H.; Yamasaki, R.; Kadoya, S.; Sodeoka, M.; Hashimoto, Y. Novel α-glucosidase inhibitors with a tetrachlorophthalimide skeleton. Bioorg. Med. Chem. Lett. 2000, 10, 1081–1084. [Google Scholar] [CrossRef]
- Motoshima, K.; Noguchi-Yachide, T.; Sugita, K.; Hashimoto, Y.; Ishikawa, M. Separation of α-glucosidase-inhibitory and liver X receptor-antagonistic activities of phenethylphenyl phthalimide analogs and generation of LXRα-selective antagonists. Bioorg. Med. Chem. 2009, 17, 5001–5014. [Google Scholar] [CrossRef] [PubMed]
- Abdel-Aziz, A.A.-M.; El-Azab, A.S.; Attia, S.M.; Al-Obaid, A.M.; Al-Omar, M.A.; El-Subbagh, H.I. Synthesis and biological evaluation of some novel cyclic-imides as hypoglycaemic, anti-hyperlipidemic agents. Eur. J. Med. Chem. 2011, 46, 4324–4329. [Google Scholar] [CrossRef] [PubMed]
- Golub, A.G.; Yakovenko, O.Y.; Prykhod'ko, A.O.; Lukashov, S.S.; Bdzhola, V.G.; Yarmoluk, S.M. Evaluation of 4,5,6,7-tetrahalogeno-1H-isoindole-1,3(2H)-diones as inhibitors of human protein kinase CK2. Biochem. Biophys. Acta Protein Proteonomics 2008, 1784, 143–149. [Google Scholar] [CrossRef] [PubMed]
- Egert-Schmidt, A.-M.; Dreher, J.; Dunkel, U.; Kohfeld, S.; Preu, L.; Weber, H.; Ehlert, J.E.; Mutschler, B.; Totzke, F.; Schächtele, C.; et al. Identification of 2-anilino-9-methoxy-5,7-dihydro-6H-pyrimido[5,4-d][1]benzazepin-6-ones as dual PLK1/VEGF-R2 kinase inhibitor chemotypes by structure-based lead generation. J. Med. Chem. 2010, 53, 2433–2442. [Google Scholar] [CrossRef] [PubMed]
- McGrath, C.F.; Pattabiraman, N.; Kellogg, G.E.; Lemcke, T.; Kunick, C.; Sausville, E.A.; Zaharevitz, D.W.; Gussio, R. Homology model of the CDK1/cyclin B complex. J. Biomol. Struct. Dyn. 2005, 22, 493–502. [Google Scholar] [CrossRef] [PubMed]
- Tolle, N.; Dunkel, U.; Oehninger, L.; Ott, I.; Preu, L.; Haase, T.; Behrends, S.; Jones, P.G.; Totzke, F.; Schächtele, C.; et al. Synthesis and structure of fluorescent chelate boron complexes of 4-anilinomethylidene-1-benzazepine-2,5-dione ligands. Synthesis 2011, 2848–2858. [Google Scholar]
- Xie, X.; Lemcke, T.; Gussio, R.; Zaharevitz, D.W.; Leost, M.; Meijer, L.; Kunick, C. Epoxide-containing side chains enhance antiproliferative activity of paullones. Eur. J. Med. Chem. 2005, 40, 655–661. [Google Scholar] [CrossRef] [PubMed]
- Weinmann, H.; Harre, M.; Koenig, K.; Merten, E.; Tilstam, U. Efficient and environmentally friendly synthesis of 2-amino-imidazole. Tetrahedron Lett. 2002, 43, 593–595. [Google Scholar] [CrossRef]
- Voegel, J.J.; Altorfer, M.M.; Benner, S.A. The donor-acceptor-acceptor purine analog: Transformation of 5-aza-7-deaza-1H-isoguanine (=4-aminoimidazo[1,2-a]-1,3,5-triazin-2(1H)-one) to 2'-deoxy-5-aza-7-deaza-isoguanosine using purine nucleoside phosphorylase. Helv. Chim. Acta 1993, 76, 2061–2069. [Google Scholar] [CrossRef]
- Pratt, D.S.; Young, C.O. Phthalic acid derivatives: Constitution and color. XIV. Some derivatives of tetrabromophthalimide. J. Am. Chem. Soc. 1918, 40, 1415–1425. [Google Scholar] [CrossRef]
© 2012 by the authors; licensee MDPI, Basel, Switzerland. This article is an open access article distributed under the terms and conditions of the Creative Commons Attribution license (http://creativecommons.org/licenses/by/3.0/).
