Next Article in Journal / Special Issue
Use of a New Cluster Ansatz to Treat Strong Relaxation and Correlation Effects: A Direct Method for Energy Differences
Previous Article in Journal / Special Issue
On the Use of Connected Moments Expansion with Coupled Cluster Reference
 
 
Font Type:
Arial Georgia Verdana
Font Size:
Aa Aa Aa
Line Spacing:
Column Width:
Background:
Article

Alternative Multi–reference State–specific Coupled Cluster Wave Functions

by
Ludwik Adamowicz
1,2,*,
Jean–Paul Malrieu
1 and
Vladimir V. Ivanov
2,3
1
IRSAMC, Laboratoire de Physique Quantique, Universite Paul Sabatier, 118, route de Narbonne, 31062 Toulouse Cedex, France
2
Department of Chemistry, University of Arizona, Tucson, Arizona 85721, USA
3
Department of Chemistry, Kharkov State University, Kharkov, Ukraine
*
Author to whom correspondence should be addressed.
Int. J. Mol. Sci. 2002, 3(5), 522-549; https://doi.org/10.3390/i3050522
Submission received: 15 October 2001 / Accepted: 18 February 2002 / Published: 31 May 2002
(This article belongs to the Special Issue Recent Advances in Coupled Cluster Theory)

Abstract

:
An analysis of alternative expressions of the state–specific (SS) multi–reference (MR) coupled cluster (CC) wave functions is presented. The approach utilizes the CASSCF (complete active space self consistent field) wave function as the reference. It is designed specifically for calculating excited electronic states. The cluster structure of the CC wave operator and the origin(s) for the cluster expansion(s) are the key features of the development. Test calculations reveal some interesting features of the SMRCC approaches.

1. Introduction

The single–reference coupled–cluster (SRCC) formalism has become a standard method in Quantum Chemistry. [1,2] The CC wave operator transforming the reference function, Φo, into the exact wave function has the exponential form:
|Ψ〉 = eTo〉.
To determine the T operator, a system of non–linear equations for the CC amplitudes involved in the T operator is derived. The equations originate from projecting the Schrödinger equation against the |Φo〉 ≡ |0〉 reference determinant, as well as determinants obtained by exciting the electrons in |Φo〉 to virtual orbitals. The single–reference CC wave function with the exponentiated excitation T operator can be generalized to include all single and double excitations from all the determinants generated in the complete active space (CAS) calculation. One of the versions of such an approach, which has been developed by some of us, is based on expanding the wave function from a single determinant. [3,4] Some other versions have been also proposed. [6,7,8].
A coupled cluster method based on the CAS reference function (CASCC) should be capable of describing states, which have inherent multi–reference character and inherent spin or spatial degeneracy. These require explicit symmetry adaptation of the wave function in terms of both spin and spatial symmetries. A successful CASCC approach should be, if it is not strictly symmetry- and spin–adapted, introduce a minimal spin or symmetry contamination to the wave function.
There have been several proposals how to represent a CC wave function in the case when several determinants need to be used to provide the lowest order approximation to the considered state. One can define such a multi–reference coupled cluster wave function in the form of the Jeziorski–Monkhorst (J–M) expansion:[9]
Ijms 03 00522 i001
The wave operators, ΩI = eTI, are reference–specific and state–non–specific operators. The techniques derived based on this approach can be called multi–state multi–reference CC (MS–MR–CC) methods and, if the reference configurations, |ΦI〉, span the CAS, they are called valence–universal. In the J–M expansion all reference determinants, |ΦI〉, are treated equally by being origins of independent CC expansions. We can call the J–M expansion a multi–origin CC approach since independent coupled cluster expansions are generated from several determinants.
An alternative to this approach is to calculate a single electronic state (ground or excited) and use a single CC operator with a single origin (formal reference determinant) for describing the correlation of electrons which are distributed among the reference determinants in the state under consideration. This type of approach is usually called ”state specific”. In our previous work we argued that the single–origin version of SS–MRCC is simpler in practical applications and results in an approach which allows the CC amplitudes to be vary simultaneously with the configuration coefficients of the model space determinants.[10] This flexibility in the approach is often crucial, particularly in cases where the dynamic correlation strongly interacts with the non–dynamic correlation, which is described by the model space determinants.
There has been recent interest in developing state–specific theories, primarely because the standard multi-root multi–reference theories that use the Hamiltonian approach often suffer from the “intruder problem”. This problem leads to singularities in the calculations and to divergence of the iterative numerical procedure used to determine the coupled–cluster amplitudes. This, however, has not stopped the development effort of the multi–root coupled cluster methodology. Work has been carried out both in the Fock space and Hilbert space frameworks. The most recent works have been described in the following papers. [11,12,13,14,15,16,17,18,19,20,21,22,23,24] Apart from our works, the state–specific methodology has been developed in other groups using the multi–determinantal model space. The most important developments in this field have been decribed in the following papers. [25,26,27,28,29,30,31,32,33,34,35,36,37]

2. Single–origin CASCC method.

In the originally introduced version of the SSMRCC method, [3,4,38,39,40,41,42] the conventional SRCC exponential wave operator eT was partitioned into two parts, eT(int) and eT(ext), such that the former acts on a suitably chosen single–determinantal formal reference function, |0〉, (which, perhaps more appropriately, should be called “vacuum”) to generate the reference function, |Φ(int)〉, consisting of model space determinants. The latter produces virtual–space excitations from the model space determinants. The formal reference determinant, |0〉, can be different for different states. Thus, the exact function is generated as:
Ijms 03 00522 i002
Both T(int) and T(ext) are mutually commutative, hole–particle creation operators. The double exponential form of the wave function was the trademark of our single–state, state–specific approach. In order to specify the orbital indices in these two operators, the one–electron function space is divided into active and inactive subspaces. The inactive space contains core and virtual orbitals which are always occupied and unoccupied, respectively, in all model space determinants. Active space orbitals are those which have different occupancies for different model space determinants |Φ(int)〉. The formal reference determinant, |0〉, chosen as the Fermi vacuum, defines the partition of the active space into two subsets namely, the active hole (occupied in |0〉) and active particle (not occupied in |0〉) spaces. Hole and particle indices in T(int) have fully internal (all active) labeling. In this work, we have followed the convention of indicating orbitals of different categories: core (inactive holes) i, j, k, l; active holes I, J, K, L; active particles A, B, C, D; and virtual (inactive particles) a, b, c, d. If the active or inactive character of a particular spin–orbital is irrelevant, we designate it in italics (holes i, j, k, l; particles a, b, c, d).
In practical use, many body expansions of T(int) and T(ext) in terms of respective k–body operators T κ ( int ) and T η ( ext ) have to be truncated. In all the applications performed up to date, the internal set was restricted to include T 1 ( int ) and T 2 ( int ) operators, while the external set contained all possible semi–internal and external, singly- and doubly–excited excitations plus those restricted internal, semi–internal three- and four–body amplitudes, which are single- and double–excitations, into the active and inactive orbitals from all the model space determinants generated by acting with T(int) on the formal reference determinant, |0〉. However, it is quite possible that a higher level of the internal excitations will be required in studies of excited states. The three–body external amplitudes are restricted to carry at least one pair of active hole–particle labels and four body amplitudes should carry at least two active hole–particle pair labels. The approximate version of SS MRCC with all single and double amplitudes and internal and restricted semi–internal types of triple amplitudes was called the SS MRCCSD(T) method.[4] The version which includes internal and restricted semi–internal quadruple amplitudes was termed SS MRCCSD(TQ) method. These versions have the following ansätze for the wave function:
Ijms 03 00522 i003
Ijms 03 00522 i004
The fully exponential ansatz for the wave function (3) is particularly well suited to describe the transformation of the wave function of a molecular system with stretched or broaken covalent bonds. This is because the reference funtion in this ansatz has the expontial form that correctly reflects the separability of the electron correlation effects in bonding electron pairs. As an example of how well the SS MRCCSD method works in describing the ground state wave function at and away from the equilibrium geometry of a simple system, we present in Table 1 results obtained for the water molecule with the DZ basis set at the equlibrium geometry (Re) and at geometries where both OH bonds were stretched one and a half and two times the lenghts of these bonds at the equilibrium point. Two differen orbital activr spaces were used in the calculations. The smaller space consisted of only two orbitals (3a1 and 4a1) and the larger space, which was a more correct choice considering that for each bonding orbial one needs to include the corresponding untibonding orbital to correctly describe dissociation of a single bond, consisted of four orbitals (3a1, 4a1, 1b2, and 2b2). The most revealing comparison, that one may make based on the resutls of Table 1, is the comparison between the single–reference CCSDT results (SR CCSDT) and the results obtained at the SS MRCCSD(TQ) level. The two level require similar computational effort since while the former level includes all the triples, the latter level includes only selected triples but also sertain selective quadruples.
In order to make the comparison, let us first calculatexd the differences between the FCI results and the correcponding results obtained at the SR CCSDT and SS MRCCSD(TQ) (with the four–orbital active space) results. For R = Re, R = 1.5Re and R = 2Re the differences in hartrees are: for SR CCSDT 0.00434, 0.001473 and -0.00211, and for SS MRCCSD(TQ) 0.000985, 0.001232, and 0.001336, respectively. It is obvious that SS MRCCSD(TQ) does much better than SR CCSDT. There is an obvious reason for this behavior. The argument is similar as made in the MRCI theory. In order to describe a state where several determinants are needed to form a correct reference function (the reference function to describe dissociation of both bonds in H2O has to have a minimum of four determinants) one need to include all single and double excitations from these determinants. This is exactly what we do in the SS MRCCSD(TQ) theory. However, some of these excitations are missing in the SR CCSDT approach.
In order to more effectively handle the general quasidegeneracy problem, we also proposed a linearized form for the internal operator, eT(int), while retaining our previous description for the external operator (semi–linear approach).[43,44] The resulting ansatz has the form:
Ijms 03 00522 i005
In this case the equations for the amplitudes are linear in terms of C(int). The spin adaptation of the wave function of Eq.(6) (making the function and eigenfunction of the S2 operator) is more straightforward than for the wave function of Eq.(3), which makes this ansatz better suited in representing excited states.
Because of the exponential nature of the T(ext) operator, the series can be truncated after including any particular multi–body level (rank) of the cluster operator. For example, including one- and two–body excited operators, T 1 ( ext ) and T 2 ( ext ) , is one of the possible choices. In this case the ansatz for the wave function has the following form:
Ijms 03 00522 i006
where the C(int) operator comprises the following excitations:
Ijms 03 00522 i007
In Eq.(7) at least one orbital label in the T ^ 3 , T ^ 4 and T ^ 5 operators must correspond to a non-active orbital. This also applies to other quantities indexed with italic orbital labels, which appear below. If we assume that all the configurations generated by acting of (1+ C ^ ( int ) ) on |0〉 are equally important then, in principle, one needs to include in T ^ ( ext ) all fully external and semi–internal excitations which are single and double excitations from all (1+ C ^ ( int ) )|0〉 configurations. This implies that, when in C ^ ( int ) κ–body operators are present, one needs to include certain selected κ + 1 and κ + 2 body operators in T ^ ( ext ) .
If we neglect T ^ 3 and higher level excitation operators in Eq.(7), the ansatz of the CASCC wave function has the following form:
Ijms 03 00522 i008
We termed this ansatz CASCCSD in our previous works.[10,45] We also developed its simpler version without singles termed CASCCD.[45] One may expect that, as in the fully exponential approach, the vacuum determinant, |0〉, should provide the most dominant contribution to the state under consideration. However, this assumption is not necessary and cases, where other determinants provide larger contributions than |0〉, can also be considered using the wave function (9). Let us consider, for example, an open–shell excited singlet state, which is the first approximation, that can be described by a linear combination of two single excited determinants: 1 2 ( | I J ¯ | | I ¯ J | ) (in this symbolic notation only spin–orbitals occupied by open–shell electrons are explicitly shown).
We can chose one of the above two determinants as the vacuum determinant and construct the CASCCD wave function for the open–shell excited single state in the following form:
Ijms 03 00522 i009
where the | I J ¯ | determinant is the formal reference determinant (Fermi vacuum; |0〉) and holes and particles are defined as occupied and unoccupied spin–orbitals in this determinant, respectively. The C ^ operator generates all CAS determinants except for the | I J ¯ | and | I ¯ J | determinants, which are separated to show their explicit coupling to a singlet state. Similar coupling is also implemented among other CAS determinants in the C ^ operator. The T ^ 2 ( ext ) includes all double excitations from the | I J ¯ reference. This choice may create some lack of balance in the description of the dynamic correlation by the CC exponential operator in Eq.(9), since some single and double excitations from one of the determinants are triple and quadruple excitations from the other and vice versa. Some excitations for the reference determinant are generated by directly acting on it with T ^ 2 ( ext ) operators, but the corresponding excitations from the | I ¯ J | determinant are obtained by acting with products of T ^ 2 ( ext ) and C ^ operators on the reference. In principle, one can correct this omission by including some selected triple and quadruple excitations from the reference determinant which are the missing singles and doubles from | I ¯ J | .
Another way of dealing with the problem is to choose the vacuum determinant to be either | I I ¯ | or | J J ¯ | . In this case the form of the CASCCD wave function has the following form:
Ijms 03 00522 i010
In this formulation of ΨCASCCD, the origin of the CC expansion is the | I I ¯ | determinant and with respect to this determinant the holes and particles are defined. T ^ 2 ( ext ) contains all double excitations with respect to this determinant and C ^ ( int ) generates all CAS determinants except for | I J ¯ | and | I ¯ J | . It also includes a constant, Co with defines the contribution of | I I ¯ | to the state. We can call ansatz (11) symmetric, because both single excited determinants, | I J ¯ | and | I ¯ J | are excitations of an equivalent kind from the reference determinant. One should notice that in ansatz (11), the origin of the CC expansion is a determinant that may not provide the dominant contribution to the wave function. Obviously among the T ^ 2 ( ext ) operators in this case, there are some which correspond to higher than double excitations from | I J ¯ | and | I ¯ J | . Since they can be expected to contribute less, they can be eliminated from T ^ 2 ( ext ) . In the same time there are excitations from | I J ¯ | and | I ¯ J | which are different from double excitations from | I I ¯ | . These excitations can be added to T ^ ( ext ) . The CC operator defined in this way should describe well the dynamic electron correlation effects in a size–consistent manner.
A problem may arise if the contribution from the Fermi vacuum determinant is zero the wave function of the state under consideration. In this case a significant class of excitations will be missing the wave function because all the determinants which are generated by the the product of T ^ ( ext ) and C ^ o will have zero contribution. However, there is a way to circumvent this problem by using the following form of the CASCCD wave function;
Ijms 03 00522 i011
where C ^ ( int ) includes a constant and terms which generate all CAS determinants from the | I I ¯ | reference except for the | I J ¯ | and | I ¯ J | determinants. Notice that, if C(int) of | I I ¯ | is equal to one, its contribution in the first part of the wave functions is canceled by the last contribution. However, due to the non–zero C ^ ( int ) ( | I I ¯ | ), the excitations from | I I ¯ | do not vanish. The origin (focal point) of the CC expansion (i.e. the | I I ¯ determinant) is removed without removing the excited determinants generated by operating with e T ^ 2 ( ext ) on | I I ¯ . However, removing only the formal reference is not enough to eliminated all the terms which have different spatial symmetry than the calculated state since some of the determinants formed by acting with e T ^ 2 ( ext ) on | I I ¯ | will also have wrong symmetry. To correct for that one needs to exclude more terms form (12) and this is done by the following modification to the equation:
Ijms 03 00522 i012
where ’ in T ^ 2 ( ext ) ’ indicate that only those operators are included which generate determinants with different spatial symmetries than the symmetry of the | I J ¯ | and | I ¯ J | determinants.
Obviously only practical calculations can demonstrate which of the above–eleborated forms of the state–specific wave functions has utility to become an ansatz for general use in the calculations on the ground and excited states. The proposal of using a Fermi vacuum determinat that is not the dominant determinat in the wave function is an option that introduces additional flexibility and allows easier handling of the symmetry. It may also result in some of the CC amplitudes becoming large leading to possible convergence problem in solving the CC equations. Our approch to resolving this problem is to extend the model space and generate the configurations with large contributions to the wave functions not by the CC operator but by the CI operator, thus linearizing this component of the problem. Lowering the degree of non–linearity of the CC equations should improve the convergence and remove singularities originating from intruders.

3. Spin–adapted CASCC method.

The state–specific multi–reference coupled–cluster (CC) method, which includes double excitations (D) and is based on the complete active space (CAS) multi–configuration (MC) reference wave function was recently formulated using the spin–adapted generator–state approach.[46] The ansatz is generalized to describe open–shell singlet and triplet electronic excited states. The most straightforward implementation of the SSMRCC theory is accomplished using the molecular spin–orbital basis without spin–adaptation. The spin–orbital approach is convenient because it is based on the conventional diagrammatic representation of the contributions appearing in the equations for the energy and the configurational amplitudes. However, the spin–orbital implementations of the different variants of the CC methodology, including SSMRCC, leads to inefficient algorithms and excessive use of the computational resources. This renders the spin–orbit based implementations of the CC theories (especially MR theories) impractical in application calculations.
In the work where we presented a reformulation of the CASCC method with double excitations (CASCCD) in a spin–adapted form (SA-CASCCD), we showed that the new variant has important advantages over the spin–orbit formulation particularly in calculations of electronic excited states. Among the properties of the SA–CASCCD approach we can mention the following:
  • Spin–adaptation of the CC-equations significantly reduces the number of floating point operations and leads to faster calculations.
  • Transformation from the spin–orbital form to the spatial–orbital form of the CASCCD equations reduces the storage required for the calculation.
  • The spin–adaptation of the SSMRCC theory leads to an approach free from spin contamination for open shell cases. The spin contaminantion problem can arise in the CASCCD theory even if a spin–pure reference wave function such as the restricted Hartree-Fock determinant, is used.
  • Using the spin–adapted CASCC method, one can calculate states with specific spin multiplicities.
The first rather ad hoc attempts of developing SA procedures in the context of the configuration interaction (CI) method were proposed in early 60’s (see for example [47]). The early works presented specific formula for the Hamiltonian matrix elements between different SA configurations. Derivation of general expressions for the SA CI matrix elements was presented by Čižek [48]. He derived explicit expressions for the matrix elements between spin–adapted singly- and doubly– excited configurations in terms of one- and two- electron integrals calculated in the spatial orbital basis. A notable feature of Čižek’s approach was a quite cumbersome formulas for the matrix elements which were obtained by complicated algebraic manipulations. Paldus and co–workers[49] took a different approach and formulated a general orthogonal SA restricted CI method using the graphical method of the spin algebra which was originally introduced by Jucys et al. [50] and popularized in their later works[51]. An explicit SA formulation of the CC equations with double excitations was first presented by Paldus[52] and applied to different versions of the SR[53,54] and MR[55] CC–schemes. Geertsen et al. [56,57] formulated orthogonally–SA CCD and SA CCSD equations which were close to Paldus formulas but were obtained using a pure algebraic method and the CC propagator approach. The orthogonally–SA method was also employed in calculations of static[58,59] and time–dependent[60] response properties of close shell systems.
Paldus also derived another formalism for spin–adaptation based on the unitary group approach (UGA). The general UGA method was based on early work of Gelfand et al. [61]. Paldus, using the unitary group representation, presented an elegant and compact scheme for solving the SA problem.[62] The mathematical basis of the UGA application to the electronic structure theory has been discussed in several papers [63,64,65] The application of the UGA (especially in its graphical form (GUGA)[66]) in large scale electronic structure calculations of molecules, particularly using the full configuration interaction (FCI) method, has clearly demonstrated the advantages of this approach. Also an elegant and useful formulation of the many–body theory, as an alternative to the second–quantization formalism based on UGA and called “Quantum Chemistry without spin”–approach, was developed.[67,68,69,70] The main idea of this approach was the use of unitary group generators product to define the so–called “generator states”. It is also worth mentioning the so–called Clifford algebra of UGA (CAUGA) described by Paldus et al.,[71,72] which has been effectively used in the valence–bond schemes and in CI schemes for calculating wave functions with high–level excitations.
The first attempt to formulate an open–shell CC method in spin–adapted form was done by Janssen and Schaefer.[73] They used the “generator state” approach which was based on spin–adapted parametrization of the cluster operators. In their method, the excitations which interact with the reference function through the Hamiltonian were classified into several different categories. These categories included the following doubly excited configurations from the reference determinant: the configurations where two electrons were excited from doubly occupied orbitals to vacant orbitals, the configurations where two electrons were excited from doubly occupied orbitals to partially occupied orbitals, the configurations where two electrons were excited from partially occupied orbitals to vacant orbitals, and a number of mixed excitations. Because of the complexity of the CC amplitude equations, Janssen and Schaefer[73] had to generate contributions involved in the energy and amplitude equations with a computer algebra program capable of handling long strings of second quantization operators. The complications in this method arose from the specific parametrization of the cluster operators and from the fact that both creation and annihilation operators acted on partially occupied open–shell orbitals. This led to a non–commutative operator algebra which did not obey the standard Wick theorem.
It is also worth mentioning another possible way of handling the open–shell problem using the CC approach proposed independently by Lindgren[74,75] and Ey[76] more then twenty years ago. Their approach was based on a specifically parametrized reference state using particle–hole second–quantized operators. The Fermi level used in that approach divided the orbital space into two groups. The first group of orbitals with orbital energies above the Fermi–level included some of the partially occupied orbitals and all the vacant orbitals forming the particle space. The remaining partially occupied orbitals and all the doubly occupied orbitals formed the hole space. This partition was analogical to the conventional partitioning used in the CC approach based on the single-determinant closed–shell vacuum. The modified exponential CC operator based on the redefined creation–annihilation operator algebra was represented as a normal–order product rather than the ordinary CC–product. The normal–order parametrization of the exponential operator guaranteed that no additional contractions (in the Wick theorem sense) occurred between the components of the cluster operator. This method can be described as an open–shell CC method based on a closed shell reference. The complexity, which arose in the Janssen et al. method[73], could be avoided. Nooijen and Bartlett recently proposed a similar approach[77] using the spin–orbital formulation of the spin–adapted CC formalism.
Another rigorous scheme for the spin–adapted open–shell CC theory was proposed by Paldus et al. [78,79] based on the unitary–group approach. In this scheme the cluster operator, T ^ , was expanded in terms of irreducible tensor operators of the unitary group. When the cluster operator acted on the reference wave function, its individual components generated mutually orthogonal and spin–adapted states. The approach was as complex as that of Janssen et al. because it involved a noncommutative operator algebra. Actually, the two methods are very similar and both required automated computer derivation of the working equations.
In the work concerning the spin-adaptation of the CASCCD theory, the method was formulated by using the “generator state” approach. The energy and amplitude equations have been first derived in the spin–orbital form and then transformed to the SA form using the “generator state” approach. Matsen’s unitary group graphical technique has been a useful tool in this procedure. The technique has been used to effectively evaluate products of generators which arise when the energy and the amplitude equations are projected against SA configurations. This spin–adaptation approach provides an efficient way to deal with the complexity of the CASCC equations and to produce formula for practical and efficient implementation of the theory. Such an implementation has been accomplished in the present work. The computer code was tested on some model examples and there results were presented and compared with FCI calculations.
In general, the “generator state” procedure provides a flexible method for spin adaptation of the CC theory especially for the SR closed–shell approach, which can be viewed as a state–specific approach based on the Hartree–Fock reference wave function for the ground electronic state. In practice, this kind of spin–adaptation can be performed by formally substituting the spin–orbital labels by the spatial–orbital labels in the spin–orbital diagrams representing the individual contributions in the energy and amplitude SRCC equations, and by evaluating the appropriate generator strings. The use of the diagrammatic approach is essential in spin–adaptation procedure. It allows to diagrammatically represent the amplitude equations and to avoid rewriting the results of the projections in the algebraic form which would involve an explicit use of the UGA generators and subsequent cumbersome elimination of the disconnected parts. In the diagrammatic approach we just need to transform each diagram to include the projection onto the complete generator state. In general, the problem of calculating open–shell excited singlet and triplet states is central to every approach allowing excited state calculations, and the CASCCD approach should be also capable to effectively deal with this problem. Before describing how excited states can be calculated using the CASCCD method (we call this version of the method CASCCD(x)), it is important to stress here the fundamental difference between the “reference wave function” and the “formal reference wave function (or vacuum)” that appear in the general formulation of the CASCC theory. The reference wave function should include the most important determinant(s) (or configurations) required to describe the state under consideration. These determinants should adequately represent the non–dynamical electron correlation effects in the state. In the CASCCD theory, the C ^ ( int ) operator generates this component of the wave function. The formal reference state (or Fermi vacuum, |0〉) is the determinant that is used as a template for generating all the necessary internal, external and semi–internal excitations that are necessary to describe the dynamic and non–dynamic correlation effects in the considered state. It can, but does not need to be, a part of the reference wave function.
The calculation of an open–shell singlet excited state in the CASCCD(x) theory starts with choosing an appropriate reference wave function. This function has to include the most important configurations from the active space. In CASCCD, the reference wave function is generated in a CASSCF calculation performed for the considered state. The analysis of the CASSCF solution allows to choose the formal reference determinant, |0〉. In a calculation of an open–shell singlet state the most convenient choice of |0〉 is a closed–shell determinant, because this allows to maintain the symmetry of the CASCCD excitation operators. However, one notices that for spatial–symmetry reasons, the closed–shell determinant may not contribute to the wave function of the considered open–shell singlet state. Next we will describe how one can deal with this problem in the CASCC method.
CASCCD wave function include the most important CASSCF configurations, as well as single and double excitations from these configurations generated by the T ^ 2 operator, but exclude the formal reference determinant, |0〉, we use the following ansatz:
Ijms 03 00522 i013
The CASCCD(x) wave function (14) satisfies the following intermediate normalization condition:
Ijms 03 00522 i014
If the spatial symmetry of |0〉 is different than the symmetry of |ΨCASCCD(x)〉, we have the orthogonality condition:
Ijms 03 00522 i015
In the special case when A = I, (14) gives the regular CASCCD wave function for the closed–shell case. In this case, the intermediate normalization condition is:
Ijms 03 00522 i016
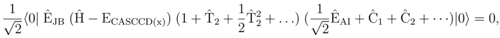
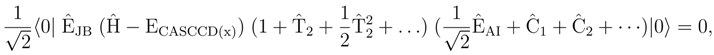
As described before, the cluster operators, C ^ 1 , C ^ 2 and T ^ 2 are defined using the unitary generators, E ^ ai . It needs to be stressed that the above operators generate all important excitations by acting on the formal reference determinant, |0〉. The CASCCD(x) energy is obtained by the following projection of the Schrödinger equation:
Ijms 03 00522 i017
In the spin–adapted unitary group approach, the one–electron excited configurations, ( J B | ) , and two–electron excited configurations, ( i   j a b | ) , are formed by acting with the appropriate generators or products of them on |0〉, as it was described previously. Projections against one- and two– electron excited configurations (for open–shell excited states A ≠ I) give the amplitude equations for C ^ 1 :
Ijms 03 00522 i018
and for C ^ 2 and T ^ 2 :
Ijms 03 00522 i019
The simple idea of eliminating the formal reference from the wave function can be handle in somewhat different way by using the following ansatz:
Ijms 03 00522 i020
This ansatz allows to introduce more flexibility into the wave function, because one can include some potentially important external and semi–external excitations generated by operating with T ^ 2 on the formal reference:
Ijms 03 00522 i021
In this respect, the wave function (14) is more restricted. In the calculations presented in the next section we have used the wave function (21).
In calculating triplet states using the state–specific CASCC approach and the unitary group generator approach, one needs to first form appropriate “elementary” triplet excitations:
Ijms 03 00522 i022
The The CASCCD(x) wave function for the triplet state is obtained as:
Ijms 03 00522 i023
By projecting the Schrödinger equation against 1 2 0 | E ˜ ^ I A and against excited spin–adapted configurations one generates the energy and amplitude equations.
The spin–adapted CASCCD method was recently implement in our group. Using this implementation, we have done some simple calculations on excited states of the Li2 molecule to test the performance of the method. This system has been a subject of many tests of various theoretical methods. For example, it was used by Kaldor and coworkers[80] in their test calculations of several singlet and triplet states using Lindgren’s approach[75] with an incomplete model space. In our calculations of Li2 we have used the standard 6-31G basis set. The CASSCF calculations were done with the GAMESS package.[81] All calculations were performed at the Li2 experimental equilibrium internuclear distances (Re=5.05 a.u.) and at two distances close to equilibrium (4 a.u. and 6 a.u.). The CASCCD(x) results were compared with the results obtained with the CASSCF and FCI methods, and with the multi–reference quasidegenerate perturbation theory second order (MCQDPT2) method based on the CAS reference of Hirao,[82]) which is an analog of the CASPT2 approach of Roos and coworkers.[83] The reference wave functions for calculations of excited states were selected based on the the symmetry properties of the calculated states and the orbitals. In the calculations we considered the six lowest excited singlet states of Li2 with the symmetries 1 Σ u + , 1Πu and 1Πg. Minimal-size model spaces were used in the calculations. Each such space was generated by the operator E ^ AI , where the A a I orbitals have the appropriate symmetry to generate configuration with the symmetry of the considered state.
The results of the calculations (as difference between FCI energy and CASCCD(x) energy) are shown in the Table 2. The results of the CASSCF calculations show good qualitative agreement with the FCI results indicating that the CASSCF wave functions provide correct references for the CASCCD calculations. The CASCCD(x) calculations for the singlet excited states (Table 2) gave rather good results. The largest error in the singlet state energies is 0.00448 a.u. for 1Πg state at the internuclear distance R=4 a.u. The MCQDPT2 method gives noticeably worse results in comparison with CASCCD(x). The energies calculated with this method for some states underestimate and for others overestimate the FCI results. The worse result MCQDPT2 gives for the 1Πg state at the small internuclear distance.

4. Double–origin CASCC method.

Let us now explore the possibility of using two CC expansions based on two formal reference determinants in describing an open–shell singlet or triplet state which in the first approximation can be represented a linear combination of two Slater determinants. In this case we use a simplified version of the Jeziorski–Monkhorst ansatz:[9]
Ijms 03 00522 i024
where 1 T ^ 2 ( ext ) and 2 T ^ 2 ( ext ) are independent CC operators, which are defined based on their respective vacuum determinants, | I J ¯ and | I ¯ J , and c1 and c2 are the mixing coefficients, which are either varied or determined by the spin symmetry. One can term the wave function (25) a bi–origin (or bi–focal) CASCCD wave function. A desirable feature of the bi–origin wave function is the equivalent treatment of the two formal reference determinants. However, a feature which may lead to some difficulty is the fact that the two components of Eq.(25) may produce the same determinats by promoting electrons from the I and J ¯ spinorbitals in the first reference and from the I ¯ and J spinorbitals in the second reference to the same pair virtual spinorbitals. Let determinant |i〉 be such a determinant, then its contribution to ΨCASCCD is a sum of two contributions:
Ijms 03 00522 i025
If |i〉 is a double excitation then Eq.(26) results in the following equations for the corresponding CC amplitudes and the c1 and c2 coefficients:
Ijms 03 00522 i026
Since there are two unknown CC amplitudes in Eq.(27) one has to generate two equations to determined them. Since the projection of the Schrödinger equation involving ΨCASCCD against 〈i| will produce only one equation, a second equation has to be generated in a different way. One approach is to simultaneously consider two states, i.e. open–shell singlet and triplet states, in a single calculation and assuming that the 1 T ^ and 2 T ^ operators are the same for these two states. These results in a set two coupled equations, which can be written as:
Ijms 03 00522 i027
which, since c 1 S = c 2 S = 1 2 and c 1 T = − c 2 T = 1 2 , can be easily solved for 1ti and 2ti:
Ijms 03 00522 i028
However, the two state method is not consistent with the state–specific approach which we consider to be a more effective way to describe excited states. In the context of the single–origin CC method, we recently developed and approach of using higher excited determinants produced by acting with products of the C ^ and T ^ ( ext ) operators on the formal reference determinant, |0〉, to produce additional equations for the CC amplitudes.[84] These equations were added to the equations resulted from projecting the Schrödinger equation against the T ^ ( ext ) |0〉 determinants in order to more equivalently treat the important reference determinants in the wave function of the state under consideration. A similar approach can be considered here. A possible choice in the present case for generating more amplitude equations is to obtain them by projecting the Schrödinger equation against the ( T ^ ( ext ) )2|0〉 determinants. The resulting equations will have a higher number of the non–linear terms than the conventional CC equations and an efficient iterative scheme has to be developed to solve them using a computer. If the number of equations produced in this way is equal or exceeds the number of the CC amplitudes to be determined, one can use the bi–origin CC wave function to calculate a single open–shell singlet or triplet state in a state–selective manner. It is also possible to generalize this approach to the multi–origin CC wave function as it was originally proposed by Jeziorski and Monkhorst (Eq.(2)). This type of generalization is necessary because typically only for a few open–shell singlet and triplet states a two–determinantal wave function is an appropriate reference. even if the states represent promoting a single electron to a higher energy level.

Conclusions.

In this work we continue our analysis of possible forms of the coupled–cluster wave function for systems which cannot be described with a single–reference approach. Several new proposals are made regarding the form of the reference function and the cluster structure of the CC correlation operator within the framework of the state–specific multi–reference coupled–cluster approach. In particular, the new development is aimed at describing electronic excited states where a single electron is promoted to a higher energy level.

Acknowledgment

This work was supported by CNRS of France and by the National Science Foundation.

References

  1. Bartlett, R.J. Ann. Rev. Phys. Chem. 1981, 32, 359.
  2. Bartlett, R.J.; Stanton, J.F. Reviews in Computational Chemistry; Lipkowitz, K.B., Boyd, D.B., Eds.; VCH publishers: New-York, 1994; Vol.5, pp. 65–194. [Google Scholar]
  3. Oliphant, N.; Adamowicz, L. J. Chem. Phys. 1991, 94, 1229. Oliphant, N.; Adamowicz, L. J. Chem. Phys. 1992, 96, 3739.
  4. Piecuch, P.; Oliphant, N.; Adamowicz, L. J. Chem.Phys. 1993, 99, 1875. Oliphant, N.; Adamowicz, L. Int. Rev. Phys. Chem. 1993, 12, 339.
  5. Nebot–Gil, I.; Sanchez–Marin, J.; Malrieu, J.P.; Heully, J.L. J.Chem.Phys. 1995, 103, 2576.
  6. Mahapatra, V.S.; Datta, B.; Bandyopadhyay, B.; Mukherjee, D. Adv.Quant.Chem.; Hanstrop, D., Persson, H., Eds.; 1998; vol. 3, Acad.Press: San Diego, CA. [Google Scholar]
  7. Masik, J.; Hubac, I. Quantum Systems in Chemistry and Physics; Trends in Methods and Applications; McWeeny, R., Mauaumi, J., Smeyers, Y.G., Wilson, D., Eds.; Quantum Systems in Chemistry and Physics; Trends in Methods and Applications; Kluwer: Dordrecht, 1997. [Google Scholar]
  8. Meller, J.; Malrieu, J.P.; Caballol, R. J.Chem.Phys. 1996, 106, 9068.
  9. Jeziorski, B.; Monkhorst, H.J. Phys. Rev. A 1981, 24, 1668.
  10. Adamowicz, L.; Malrieu, J.-P.; Ivanov, V.V. J.Chem.Phys. 2000, 112, 10075.
  11. Visscher, L.; Eliav, E.; Kaldor, U. J.Chem.Phys. 2001, 115, 9720.
  12. Duan, C.K.; Reid, M.F. J.Chem.Phys. 2001, 115, 8279.
  13. Ajitha, D.; Hirao, K. Chem.Phys.Lett. 2001, 347, 121.
  14. Landau, A.; Eliav, E.; Ishikawa, Y.; et al. J.Chem.Phys. 2001, 115, 6862.
  15. Planelles, J.; Peris, G. J.Mol.Struc.-THEOCHEM 2001, 547, 27.
  16. Ajitha, D.; Pal, S. J.Chem.Phys. 2001, 114, 3380.
  17. Landau, A.; Eliav, E.; Ishikawa, Y.; et al. J.Chem.Phys. 2000, 113, 9905.
  18. Meissner, L.; Malinowski, P. Phys.Rev. A 2000, 6106, 2510.
  19. Pal, S.; Ajitha, D. Indian J.Chem. A 2000, 39, 60.
  20. Kowalski, K.; Piecuch, P. Phys.Rev. A 2000, 6105, 2506.
  21. Kowalski, K.; Piecuch, P. J.Mol.Struc. THEOCHEM 2001, 547, 191.
  22. Shamasundar, K.R.; Pal, S. J.Chem.Phys. 2001, 115, 1979.
  23. Shamasundar, K.R.; Pal, S. J.Chem.Phys. 2001, 114, 1981.
  24. Kowalski, K.; Piecuch, P. Phys.Rev. A 2000, 6105, 2506.
  25. Pittner, J.; Smydke, J.; Carsky, P.; et al. J.Mol.Struc.-THEOCHEM 2001, 547, 239.
  26. Pittner, J.; Nachtigall, P.; Carsky, P.; et al. J.Phys.Chem. A 2001, 105, 1354.
  27. Paldus, J.; Li, X.Z. Adv.Chem.Phys. 1999, 110, 1.
  28. Hubac, I.; Pittner, J.; Carsky, P. J.Chem.Phys. 2002, 112, 8779.
  29. Sancho-Garcia, J.C.; Pittner, J.; Carsky, P.; et al. J.Chem.Phys. 2000, 112, 8785.
  30. Chattopadhyay, S.; Mahapatra, U.S.; Mukherjee, D. J.Chem.Phys. 2000, 112, 7939.
  31. Chattopadhyay, S.; Mahapatra, U.S.; Mukherjee, D. J.Chem.Phys. 1999, 111, 3820.
  32. Mahapatra, U.S.; Datta, B.; Mukherjee, D. J.Phys.Chem. A 1999, 103, 1822.
  33. Mahapatra, U.S.; Datta, B.; Mukherjee, D. J.Chem.Phys. 1999, 110, 6171.
  34. Mahapatra, U.S.; Datta, B.; Mukherjee, D. Chem.Phys.Lett. 1999, 299, 42.
  35. Mahapatra, U.S.; Datta, B.; Bandyopadhyay, B.; et al. Adv.Quantum.Chem. 1998, 30, 163.
  36. Mahapatra, U.S.; Datta, B.; Mukherjee, D. Mol.Phys. 1998, 94, 157.
  37. Guthery, N.; Malrieu, J.-P.; Maynau, D.; et al. Mol.Phys. 1998, 94, 209.
  38. Piecuch, P.; Adamowicz, L. J. Chem. Phys. 1994, 100, 5792. Piecuch, P.; Adamowicz, L. Chem. Phys. Lett. 1994, 221, 121.
  39. Oliphant, N.; Adamowicz, L. Chem. Phys. Lett. 1992, 190, 13. Piecuch, P.; Adamowicz, L. J. Chem. Phys. 1994, 100, 5857.
  40. Ghose, K. B.; Adamowicz, L. J.Chem.Phys. 1995, 103, 9324.
  41. Ghose, K. B.; Piecuch, P.; Adamowicz, L. J.Chem.Phys. 1995, 103, 9331.
  42. Alexandrov, V.; Piecuch, P.; Adamowicz, L. J.Chem.Phys. 1995, 102, 3301.
  43. Adamowicz, L.; Malrieu, J.-P. J.Chem.Phys. 1996, 105, 9240.
  44. Adamowicz, L.; Caballol, R.; Malrieu, J.-P.; Meller, J. Chem. Phys. Lett. 1996, 259, 619.
  45. Ivanov, V.V.; Adamowicz, L. J.Chem.Phys. 2000, 112, 9258.
  46. Ivanov, V.V.; Adamowicz, L. J.Chem.Phys. submitted.
  47. Ito, H.; I’Haya, Y. Theor.Chim. Acta 1964, 2, 247. Ishitani, A.; Nagakura, S. Theor.Chim. Acta 1966, 4, 236. Danilov, V.I.; Kruglyak, Yu. A.; Pechanova, V. I. Theor.Chim. Acta 1969, 13, 288.
  48. Čižek, J. Theor. Chim. Acta 1966, 6, 292.
  49. Paldus, J.; Adams, B.G.; Čižek, J. Int. J. Quantum Chem. 1977, 11, 813.
  50. Jucys, A.P.; Bandzaitis, A.A. The Theory of Angular Momentum in Quantum Mechanics; Institute of Physics and mathematics of Academy of Science of the Lithuanian S. S. R., Minits: Vilnus, 1964. (in Russian) [Google Scholar]
  51. El Baz, E.; Castel, B. Graphycal Methods of Spin Algebras in Atomic, Nuclear, and Particle Physics; Marcel Deccer Inc.: New York, 1972. [Google Scholar] Lindgren, I.; Morrison, J. Atomic Many-body theory; Springer: Berlin; Heidelberg; New York, 1982. [Google Scholar]
  52. Paldus, J. J. Chem. Phys. 1977, 67, 303.
  53. Piecuch, P.; Paldus, J. Int. J. Quantum Chem. 1989, 36, 429.
  54. Piecuch, P.; Paldus, J. Theor. Chim. Acta. 1990, 78, 65.
  55. Piecuch, P.; Paldus, J. Theor. Chim. Acta. 1992, 83, 69.
  56. Geertsen, J.; Eriksen, S.; Oddershede, J. Adv. Quantum Chem. 1991, 22, 167.
  57. Geertsen, J.; Oddershede, J. J. Chem. Phys. 1986, 85, 2112.
  58. Kondo, A. E.; Piecuch, P.; Paldus, J. J. Chem. Phys. 1994, 102, 6511.
  59. Kondo, A. E.; Piecuch, P.; Paldus, J. J. Chem. Phys. 1996, 104, 8566.
  60. Takahashi, M.; Paldus, J. J. Chem. Phys. 1986, 85, 1486.
  61. Gelfand, I.M.; Tsetlin, M.L. Doklady Akad. Nauk SSSR 1950, 71, 825, ibid 1950, 71, 1017.
  62. Paldus, J. J. Chem. Phys. 1974, 61, 5321.
  63. Paldus, J. Theoretical Chemistry: Advances and Perspectives, 2; Eiring, H., Henderson, D.J., Eds.; Academic Press: New York, 1976; pp. 131–290. [Google Scholar]
  64. Paldus, J. The Unitary Group for the Evaluation of Electronic Energy matrix Elements. Unitary Group Workshop 1979, 22; Lectures Notes in Chemistry; Hinze, J., Ed.; Springer Verlag: Berlin; Heidelberg; New York, 1981; pp. 1–50. [Google Scholar]
  65. Paldus, J. Mathematical Frontiers in Computational Chemical Physics Chemistry; Truhlar, D.G., Ed.; Springer Verlag: New York; Berlin; Heidelberg; London; Paris; Tokyo, 1988; pp. 262–299. [Google Scholar]
  66. Shavitt, I. Int. J. Quantum Chem. Symp. 1977, 11, 131, ibid. 1978, 12, 5.
  67. Matsen, F. A.; Pauncz, R. The Unitary group in quantum Chemistry; Elsevier: Amsterdam; Oxford; New York; Tokyo, 1986. [Google Scholar]
  68. Matsen, F. A. Adv. Quantum Chem. 1978, 11, 223.
  69. Matsen, F. A. The Unitary Group for the Evaluation of Electronic Energy matrix Elements. Unitary Group Workshop 1979, 22; Lectures Notes in Chemistry; Hinze, J., Ed.; Springer Verlag: Berlin; Heidelberg; New York, 1981; pp. 345–361. [Google Scholar]
  70. Matsen, F. A. Int. J. Quantum Chem. Symp. 1987, 32, 71, ibid. 1987, 32, 87.
  71. Paldus, J.; Jeziorski, J. Theoret. Chim. Acta. 1988, 73, 81.
  72. Paldus, J.; Sarma, C. R. J. Chem. Phys. 1985, 83, 5135.
  73. Janssen, C. L.; Schaefer, H. F., III. Theor. Chim. Acta. 1991, 79, 1.
  74. Lindgren, I. Int. J. Quantum Chem. Symp. 1978, 12, 33.
  75. Lindgren, I. Mol.Phys. 1998, 94, 19.
  76. Ey, W. Nucl.Phys. 1978, A296, 189.
  77. Nooijen, M.; Bartlett, R. J. J. Chem. Phys. 1996, 104, 2652.
  78. Li, X.; Paldus, J. J. Chem. Phys. 1994, 101, 8812.
  79. Jeziorski, B.; Paldus, J.; Jankowski, P. Int. J. Quantum Chem. 1995, 56, 129.
  80. Kaldor, U. Applied Many–body Methods in Spectroscopy and Electronic Structure; Mukherjee, D., Ed.; Plenum Press: New York, 1992; pp. 213–231. [Google Scholar] Kaldor, U. Chem. Phys. 1990, 140, 1.
  81. The GAMESS system of programs by Schmidt, M. W.; Baldridge, K. K.; Boatz, J. A.; Elbert, S. T.; Gordon, M. S.; Jensen, J. H.; Koseki, S.; Mastunada, N.; Nguyen, K. A.; Su, S.; Windus, T. L.; Dupuis, M.; Montgomery, J. A. J. Comput. Chem. 1993, 14, 1347. [CrossRef]
  82. Hirao, K. Chem. Phys. Lett. 1992, 190, 374.
  83. Roos, B. O.; Andersson, K.; Fulscher, M. P. Adv. Chem. Phys. 1996, 94, 219.
  84. Ivanov, V.V.; Adamowicz, L. J.Chem.Phys. 2000, 113, 8503.
Table 1. A comparison of the SS MRCCSD(T) and SS MRCCSD(TQ) correlation energies (in Hartree) with FCI, SR CCSD, SR CCSDT, SR CCSDT+Q(CCSD), SR CCSDTQ-1, and SR CCSDTQ results for the H2O molecule at the equilibrium (R = Rea) and stretched bond lengths R = 1.5Re and R = 2Re obtained with double zeta (DZ; [4s2p/2s]) basis set.
Table 1. A comparison of the SS MRCCSD(T) and SS MRCCSD(TQ) correlation energies (in Hartree) with FCI, SR CCSD, SR CCSDT, SR CCSDT+Q(CCSD), SR CCSDTQ-1, and SR CCSDTQ results for the H2O molecule at the equilibrium (R = Rea) and stretched bond lengths R = 1.5Re and R = 2Re obtained with double zeta (DZ; [4s2p/2s]) basis set.
MethodR = ReaR = 1.5ReR = 2.0Re
RHF-76.009838-75.803528-75.595181
SR CCSD-0.146238-0.205402-0.300734
SR CCSDTa-0.147594-0.209519-0.312277
SR CCSDT+Q(CCSDT)b-0.148025-0.211070-0.311275
SR CCSDTQ-1b-0.148031-0.211072-0.311924
SR CCSDTQc-0.148013-0.210851-0.309958
SS MRCCSD(T)d-0.146547-0.207605-0.308040
SS MRCCSD(TQ)d-0.146542-0.207744-0.304865
SS MRCCSD(TQ)e-0.147043-0.209760-0.308730
FCIa-0.148028-0.210992-0.310066
a From J. Noga and R.J. Bartlett, J.Chem.Phys. 86, 7041 (1987); ibid. 89, 3401 (1988) [Erratum].
b From S.A. Kucharski and R.J. Bartlett, Chem.Phys.Lett. 158, 550 (1989).
c From S.A. Kucharski and R.J. Barteltt, J.Chem.Phys. 97, 4282 (1992).
d The active space included 3a1 and 4a1 orbitals.
e The active space included 3a1, 1b2, 4a1, and 2b2 orbitals.
Table 2. Calculations of the lowest singlet excited states of Li2 with different symmetries calculated at three internuclear distances near the equilibrium geometry. Calculation performed with the 6-31G basis set. The values shown are differences between the FCI energies and the CASSCF, MCQDPT2, CASCCD(x) energies in atom units.
1 Σ u + symmetry, active space orbitals are ( σ g + , σ u + )
1 Σ u + symmetry, active space orbitals are ( σ g + , σ u + )
R(a.u.)CASSCFMCQDPT2CASCCD(x)
4.00.01071-0.004040.00113
5.050.00948-0.004000.00055
6.00.01016-0.005010.00065
1Πu symmetry, active space orbitals are ( σ g + , πu)
1Πu symmetry, active space orbitals are ( σ g + , πu)
R(a.u.)CASSCFMCQDPT2CASCCD(x)
4.00.009350.002380.00167
5.050.010240.001560.00146
6.00.014340.001420.00003
1Πg symmetry, active space orbitals are ( σ g + , πg)
1Πg symmetry, active space orbitals are ( σ g + , πg)
R(a.u.)CASSCFMCQDPT2CASCCD(x)
4.00.035360.355320.00448
5.050.03227-0.073510.00371
6.00.03604-0.064400.00372

Share and Cite

MDPI and ACS Style

Adamowicz, L.; Malrieu, J.; Ivanov, V.V. Alternative Multi–reference State–specific Coupled Cluster Wave Functions. Int. J. Mol. Sci. 2002, 3, 522-549. https://doi.org/10.3390/i3050522

AMA Style

Adamowicz L, Malrieu J, Ivanov VV. Alternative Multi–reference State–specific Coupled Cluster Wave Functions. International Journal of Molecular Sciences. 2002; 3(5):522-549. https://doi.org/10.3390/i3050522

Chicago/Turabian Style

Adamowicz, Ludwik, Jean–Paul Malrieu, and Vladimir V. Ivanov. 2002. "Alternative Multi–reference State–specific Coupled Cluster Wave Functions" International Journal of Molecular Sciences 3, no. 5: 522-549. https://doi.org/10.3390/i3050522

APA Style

Adamowicz, L., Malrieu, J., & Ivanov, V. V. (2002). Alternative Multi–reference State–specific Coupled Cluster Wave Functions. International Journal of Molecular Sciences, 3(5), 522-549. https://doi.org/10.3390/i3050522

Article Metrics

Back to TopTop