Next Article in Journal / Special Issue
On the Estimation of the Remainder Term in Møller-Plesset MP2 Theory from Limited Configuration Interaction
Previous Article in Journal / Special Issue
Alternative Multi–reference State–specific Coupled Cluster Wave Functions
 
 
Font Type:
Arial Georgia Verdana
Font Size:
Aa Aa Aa
Line Spacing:
Column Width:
Background:
Article

Use of a New Cluster Ansatz to Treat Strong Relaxation and Correlation Effects: A Direct Method for Energy Differences

by
Debasis Jana
1,
Uttam Sinha Mahapatra
1 and
Debashis Mukherjee
1,2,*
1
Department of Physical Chemistry, Indian Association for the Cultivation of Science, Calcutta 700 032, India
2
Also at Jawaharlal Nehru Centre for Advanced Scientific Research, Bangalore 560 064, India
*
Author to whom correspondence should be addressed.
Int. J. Mol. Sci. 2002, 3(5), 550-569; https://doi.org/10.3390/i3050550
Submission received: 11 January 2002 / Accepted: 3 February 2002 / Published: 31 May 2002
(This article belongs to the Special Issue Recent Advances in Coupled Cluster Theory)

Abstract

:
We have presented in this paper a new cluster Ansatz for the wave operator for open-shell and/or quasidegenerate states, which takes care of strong relaxation and correlation effects in a compact and efficient manner. This Ansatz allows contraction among the various cluster operators via spectator orbitals, accompanied by suitable combinatorial factors. Since both the orbital and the correlation relaxations are treated on the same footing, it allows us to develop a very useful direct method for energy differences for open shell states relative to a closed-shell ground state, where the total charge for the two states may differ. We have discussed a new spin-free coupled cluster (CC) based direct method and illustrated its performance by evaluating electron affinity of a neutral doublet radical. We have also indicated how the scope of the theory can be extended to compute the state energies of simple open shell configurations as well. In that case, the CC equations terminate after the quartic power of cluster operators – exactly as in the closed-shell situation, which is not the case for the current  methods.

1. Introduction

Inspired by the pre-eminent success of the single reference coupled cluster (SRCC) theory for closed-shells [1,2,3], several methodologies have been put forward for open-shell states which are either of single configuration type or which possess pronounced multi-reference (MR) character [4,5,6,7,8,9,10,11,12]. For the CC theory based on simple open-shell configurations (OSCC), the most common choice for the wave operator has been a simple exponential [13,14,15,16,17,18] exactly analogous to what is used in the SRCC theory. The more general MRCC developments, however, are not necessarily based on the use of a single exponential, and alternative forms of the wave operator based on normal ordered exponentials or using multiple exponentials have been proposed. Two general approaches have been followed for the MRCC developments. One of them is the valence-universal (VU) method [4,9], tailored to treat energy differences of states with different degrees of ionization relative to a closed-shell ground state [4,5,6,7,8,9,10,11,12]. While the method of [4,5] used ordinary exponential, the later theories generally use a normal ordered exponential [6,7,8,12]. These are explicitly spin-free, but require hierarchical generation of cluster amplitudes of various valence ranks. The other approach, leading to the valence-specific (VS) methods [10,11], generate state-energies per se directly – without solving a hierarchy. They use an Ansatz where different exponentials acting on different model space functions. In contrast to the VUCC methods, the cluster amplitudes in these methods have to be generally defined in terms of spin-orbitals. This leads to spin-broken solutions [12] for the non-singlet states. This difficulty also showed up in OSCC theories which used only excitation operators without involving the spectators. In this case also, one has to necessarily use the spin-orbitals in defining the cluster operators [13,14,15]. An advantage however, of this Ansatz is that it retains the compactness and simplicity of the closed-shell SRCC method in generating CC equations which are at most quartic in cluster amplitudes.
A way out of the spin-contamination problem is to use a symmetry-adapted CC expansion, but the spin-adapted expressions will be unwieldy [19]. A partial resolution of the spin-contamination problem is to employ constraints on the expectation value of the S2 operator [20]. The first explicitly spin-free OSCC method was suggested by Janssen and Schaefer [16]. They emphasized that, to maintain exact spin symmetry and to span the full spin-space, one would have to use spin-free operators in the cluster Ansatz and, would generally have to include excitation operators involving spectator scatterings of the electrons occupying active orbitals. This feature has since been explored in the later spin-free developments of OSCC theory [17,18], where simple open-shell singlets, doublets, and triplets have been treated on the same footing. All these theories make explicit use of spin-free generators (generically denoted for now on by the symbols E i j with orbital labels i and j) in the representation of H and Ω. For a general discussion of the spin-free formulation of the MRCC methods, we refer to Ref.[21].
All the formalisms using operators with spectators in an exponential representation for Ω have the disadvantage of using non-commuting cluster operators, leading to rather complex set of CC equations, containing up to octic powers of cluster amplitudes for single and double excitations [16,17,18]. To avoid this complication, another spin-free formulation, was suggested from our laboratory [22]. This uses a cluster Ansatz which is neither a simple exponential as in [4,5], or the more widely used normal ordered exponential [6,7,8,12] for open-shells. This Ansatz allows for contractions among cluster operators via the spectator orbitals. The combinatoric factors associated with a composite obtained from such contractions involving n cluster operators are not usually (n!)−1, but depends on the number of ways these operators can be contracted using spectators, where these cluster operators appear contracted among themselves in all possible order. As is well-known, one can generate methods for energy differences relative to the energy E0 of the closed-shell ground state (taken as the vacuum) using a factorization Ansatz involving wave-operator components ΩC and ΩV for core and valence respectively, from the Bloch equation involving the transformed hamiltonian H ˉ = ( Ω C 1 H Ω C E 0 ) , with ΩC = exp(T) where T is the cluster operator of the ground state. This idea was explored in Ref. [22] to generate a set of compact spin-free CC equations for electron detachment energies with respect to a closed-shell reference state. The preliminary treatment described in [22] demonstrated that the Ansatz leads to CC equations which are much less unwieldy as compared with the formulations described in [16,17,18]. It was also demonstrated that the method leads to very good IP values for core ionizations, which is dominated by large orbital relaxation effects.
Recently we have formulated a general version of the above method where the compactness of the CC equations was explicitly shown by working out the formal structure of the resulting CC equations for energy differences involving states of either simple open-shell nature or of arbitrary complexity. A succinct account of the formulation is about to appear in [23]. In the present paper, we discuss the method in some detail, and illustrate its performance by computing the electron affinity of OH radical, viewed as an IP of the OH anion at the radical geometry.

2. The New Ansatz for the Wave-operator and the Formulation of the CC Theory for Energy Differences

2.1 Preliminaries

In this section we shall present the essential ingredients of the new formalism and show the underlying simplification brought out by our choice of the new wave operator. We shall illustrate the formalism for simple open-shell configurations.
Using the terminology of the effective hamiltonian formalism, we denote the projector onto the model space by P and the one for the virtual space by Q. The Bloch equation for Ω is given by
HΩP = ΩPHΩP
using the ‘intermediate normalization’ convention PΩP = P . The various components of Ω are obtained from the set of equations
QHΩP = QΩPHΩP
and Heff is given by
Heff = PHΩP
If instead of E, we are interested in getting energy differences ∆E relative to a closed-shell ground state E0, then we posit the following factorized Ansatz [4,5,24]
Ω = ΩCΩV
where ΩC is the wave-operator for the ground state Ψ0, and ΩV is the open-shell (or the ‘Valence’) component of Ω for the state of interest Ψ:
Ψ0 = ΩC Φ0
Ψ = ΩΦ
Introducing the transformed hamiltonian, H ˉ = ( Ω C 1 H Ω C E 0 ) , we obtain
H ˉ Ω V P = Ω V P H ˉ Ω V P
and
P H ˉ Ω V P H ˉ e f f
where the energy differences ∆E are obtained by diagonalizing Ijms 03 00550 i001 Since ΩV has valence destruction operators, ΩVΦ0 = 0, it then follows that the same Ω generates from Φ0 and Φ the corresponding eigenstates Ψ0 and Ψ. This method for energy differences therefore belongs to VU category [4,5,9].
In our applications in this paper, the space of P is spanned by a single spin-adapted reference configuration Φ, which is not necessarily a single determinant. It then follows that
E = Heff = 〈Φ|HΩ|Φ〉
and
Ijms 03 00550 i002
If we confine ourselves to just the valence sector of Fock space spanned by Φ and its virtual complements, then the equations above refer to a specific Hilbert space sector, and is a VS theory.

2.2 Normal ordered Vs the New Ansatz for ΩV and Ω

In the CC formulation, ΩC = exp(T), and ΩV has to be chosen properly to get an extensive expression for ∆E. We will, from now on, use a closed-shell function Φ0 as the vacuum to formulate our theory. In ΩV, or in the full Ω for open-shell energies, there will be additional cluster operators which we generically denote by S. We denote the holes by Greek letters α, β, γ etc, and the particles by Latin letters p, q, r, etc.
For the theories for energy-differences, rather than for state-energies per se, it is important to develop models of differential correlation. In such situations, CC theories treat the closed-shell ground state in terms of various n hole - n particle (nhnp) cluster operators, and the excited/ionized states of interest are described by a cluster-expanded wave-operator which include – in addition to those pertaining to the ground state – extra valence cluster operators Se involving excitations into or out of the partially filled ‘valence’ or ‘active’ orbitals (specially those inducing open-shell correlation effects), and operators Sr which bring in differential correlation and orbital relaxation effects. These latter cluster operators involve again the various n hole - n particle excitations, but additionally have excitations out of or into valence orbitals. These are thus valence cluster operators. An important class of valence cluster operators involves n hole - n particle excitations in the presence of a passive scattering of electrons between the same valence orbitals. They are cluster operators with spectator valence or active lines. The overall effective nhnp excitation amplitudes from an open-shell configuration is thus a sum of the parent ground-state nhnp amplitude and the additional amplitudes containing spectator valence orbitals. The latter ones thus bring in the relaxation of the ground state excitation amplitudes to the values they should have in the open-shell configurations, and thus bring in the differential correlation/orbital relaxation effects. In case one starts out with the set of mean-field orbitals that are optimal for the closed-shell ground state (i.e. the ground state Hartree-Fock (HF) orbitals), the 1h − 1p excitations with spectator orbitals bring in orbital relaxation effects and 2h − 2p excitations with spectator orbitals bring in the dominant differential correlation effects.
The traditional CC based correlation theories for energy differences posit on the ΩV a normal ordered exponential [4,5,6,7,8,9,12] involving the open-shell excitation operators Se and the relaxation/differential correlation operators Sr. The normal ordering in ΩV ∼ {exp(Se + Sr)} is performed with respect to Φ0 taken as vacuum. The valence-universality of ΩV implies that ΩV is the same for all the model spaces Sm where m runs from NV, the target NV - valence space, all the way down to 1, the one-valence space. Owing to the normal ordering in ΩV, there is a hierarchical decoupling of the cluster-amplitudes Se and Sr of different valence ranks [9]. The use of the closedshell Φ0 as the vacuum ensures that Se and Sr are spin-scalars and can be described by spin-free unitary generators [16,17,18]. This makes the spin-adaptation a rather simple and straightforward exercise.
The advantages of the normal ordered Ansatz for Ω are, however, off-set somewhat by two difficulties. One is that the use of a valence-universal ΩV implies solving for the cluster-amplitudes of Se(m) and Sr(m) of all valence ranks 1 ≤ mNV, even if we are ultimately interested in the target NV -valence situation. This is an unnecessary exercise. The other difficulty is physically more interesting, and throws light on the limitation of a normal ordered Ansatz for ΩV to tackle relaxation and differential correlation effects. The normal ordering in ΩV prevents contractions between all the S operators. As a result, the powers Sk from ΩV involving valence excitations with more than m orbitals for an m-valence model space Sm automatically gives zero. However, the various nhnp cluster operator Tn have all powers active in ΩC (with 1 ≤ nNC, with NC electrons in Φ0); so that nhnp Srs should be present in the same powers. If we denote by Ijms 03 00550 i003 an arbitrary nhnp excitation with l spectator orbitals, then it is physically reasonable to demand that the effective nhnp excitation operators in ΩV for the open-shell situation for the m-valence Sm should contain all the powers of each of Ijms 03 00550 i004 (1 ≤ lm) should be present. This is, however, precluded by the very nature of the normal ordered ΩV. For a one-valence problem as in the IP calculations, the amplitudes such as Ijms 03 00550 i005 bring in orbital relaxation and two-body correlation relaxation effects, respectively; α is the valence hole label for a one-valence open-shell model function Φα. Since ΩC generates all powers of T1 and T2, acting on Φα, with Ijms 03 00550 i006 and Ijms 03 00550 i007, we need all powers of Ijms 03 00550 i008 amplitudes coming from ΩV to fully take care of the orbital and pair correlation relaxation terms. However any power of Ijms 03 00550 i009 will involve destruction of more than one valence occupancy and will thus give zero by their action on Φα. As a result, ΩV Φα is effectively just Ijms 03 00550 i010, and misses the powers of Ijms 03 00550 i011 which are crucial when the relaxation or the differential correlations effects are large. For the core-IP, the orbital relaxation of the neutral HF orbitals is very large [25] and the usual normal ordered exponential based VUCC methods would fail in a significant manner.
There is an earlier MRCC formulation by Mukhopadhyay and Mukherjee [26,27] which treats the orbital relaxations and the correlation relaxations on the same footing as in the ground state by invoking the Jeziorski and Monkhorst (JM) type of Ansatz for ΩV [10,11] advocated for their valence-specific MRCC (VS-MRCC) theories for state-energies per se. The modification consists in merely replacing the microscopic hamiltonian H by the dressed hamiltonian Ijms 03 00550 i012 = exp(−T )H exp(T ) − Egr, with Egr as the exact ground state energy. This so called quasi-Fock MRCC is then a method for computing energy differences. ΩV is written as ΩV = Σµ exp(Sµ)|Φµ〉〈Φµ|, as in JM formulation and each Sµ involves all n-body excitations from each Φµ which are themselves taken as vacuum; there are thus no spectator labels. Since it is again the full exponential exp(Sµ) which acts on each Φµ, the orbital relaxation and correlation effects are treated to all powers. There is, however, a big price to pay. Since in general, the functions Φµ will be spin-nonsinglets (they will be doublet functions for IP calculations, for example), the operators Sµ cannot easily be chosen in a manifestly spin-free form. The use of spin-orbital based amplitudes in Sµ would not only proliferate the number of cluster amplitudes, they would also generally lead to spin-broken solutions. It is now well-documented that, even if SµΦµ is explicitly spin-adapted, the powers (Sµ)kΦµ are not necessarily so. Thus, in practice, though the use of exp(Sµ) solves the problem of limited inclusion of orbital and correlation relaxation effects as compared to that in VU-MRCC theories, the spin-orbital formulation and the consequent spin-contamination [12] is a major deterrent for the quasi-Fock MRCC theories using the JM-type formalism.
What is obviously warranted is the flexibility in ΩV of the spin-free representation of the VUMRCC approach (which implies that only a singlet type vacuum has to be adopted), and at the same time allowing the exponentiation of the S operators in contrast to a normal ordered ΩV. A preliminary formulation to achieve these twin goals was initiated some years ago by Mukhopadhyay et al [28]. In this method, the Sr operators were allowed to contract with the spectator lines. There were several limitations of this formalism. The most important among them have been (a) the potential non-termination of the MRCC equations, since the Sr operators could be joined in the equations in a chain-like fashion up to arbitrary powers [22,23]: In contrast the normal ordered exponential ΩV or the closed-shell Ωs lead only to a finite power of cluster amplitudes since all cluster operators have to be joined to H; (b) there was no way of factorizing out the Sr operators joined to other Sr operators and not joined to H to lead to a more compact form of the MRCC equations. This last aspect was a direct consequence of the choice of the ΩV in [28] which allowed powers of Sr, but not with the proper factors which would have offered the factorization.
The relaxation-inducing cluster expansion formalism for ΩV we are going to discuss in this paper gets rid of the above limitations by postulating an Ansatz for the ΩV which allows restricted contractions between the S operators and affixes specific combinatoric factors with each such powers of contracted S operators. The specific choice of these combinatoric factors is very crucial for us, since this leads to the generation of finite power series in cluster amplitudes for the associated MRCC equations. The theory is very general with respect to the number of valence (active) electrons or holes present in the model spaces. In this paper, however, we should discuss explicitly only the one-valence case. We use a suitable closed-shell vacuum for defining our ΩC and ΩV. This leads to a manifestly spin-free form for the cluster operators S in ΩV. A straightforward use of this ΩV in the Bloch equation for energy-differences leads to a potentially non-terminating series of S operators in the MRCC equations, somewhat similar to what was obtained by Mukhopadhyay et al [28]. However, we show that the use of the specific combinatoric factors for the powers of contracted S in ΩV leads to a set of equivalent MRCC equations where all the S operators are connected directly to the dressed hamiltonian H ¯ . This lends a finite power-series structure to the resultant MRCC equations. Preliminary versions of the formalism for the one-valence case has already been published [22]. A brief account of the general versions has been published already [23].
We motivate towards our development with the example of the one-valence problem. Our model function Φα = aαΦ0 is a doublet. Spectator scatterings must have to be generally included in the spin-free choice of the cluster operators to exhaust the configurations in the Q space which have the same orbitals but which differ in the spin functions. Thus, to incorporate the linearly independent single excitations from a hole γ to a particle p, we need two linearly independent amplitudes, corresponding essentially to excitations with up and down spins for orbitals γ and p. This can be realized by choosing the two excitation operators as Ijms 03 00550 i013. The curly braces denotes normal ordering with respect to closed-shell Φ0. In these operators there is a spectator scattering involving the active orbital α in the direct and exchange modes respectively.
Another possible choice for two linearly independent excitations could have been Ijms 03 00550 i014 and Ijms 03 00550 i015. In the present formulation we would prefer to keep the spectator scattering in the direct term, so will use Ijms 03 00550 i016. This choice is more convenient for treating theories for energies E and ∆E on the same footing. The single excitation like Ijms 03 00550 i017 is of the type Se, while operators like Ijms 03 00550 i053 are of the Sr type. Since, in the theory of the energy differences, the overall single excitation amplitude for the excitation γp will be dictated by suitable combination of the closed-shell amplitude Ijms 03 00550 i018 and the valence amplitudes Ijms 03 00550 i019, coming from Ijms 03 00550 i020 the effect of the s amplitudes is to ‘relax’ the value of the closed-shell amplitude Ijms 03 00550 i021 to the value appropriate for the doublet states. This is why we label the part of S operators containing spectators by the symbol Sr.
As we have emphasized, the traditional normal ordered cluster Ansatz ΩV ≡ {exp(S)} [6,7,9] does not use the full power of the exponential structure, when acting on the reference function Φ, owing to its normal ordered form. For the doublet function Φα, {exp(S)} acting on Φα is essentially {1+ Sα. The operators {Epα} and {Epα} are just single excitations, which modify the orbitals. If we start out with the orbitals for the neutral vacuum state Φ0, these are not the best choice for the cation described by ΩΦα. However, presence of all powers of single excitations - as in an exponential - would have taken care of the orbital relaxation via the so-called Thouless Theorem [29]. The normal ordered form {1+ Sα cannot provide such powers of excitations. Although a simple exponential choice ΩV = exp(S) [4,5], will provide exponentiation of S via the powers, the factors (n!)−1 coming from the exponential are not the proper combinatoric factors (for setting a compact power series expansion in the CC equations) when Se operators are contracted to Sr via spectator orbitals. The correct combinatoric factors can be ascertained on physical grounds. Each term in Ω (or ΩV) must lead to multiple excitations via product of cluster operators such that each distinct product excitation should appear only once with a factor 1. In case contractions between S operators are permitted, the factor (n!)−1 imply that all the n S operators can be joined among themselves in all possible n! ways. But it may not be possible for all n S operators to be joined in such a way as to lead to same product excitation.
We want to have an Ansatz for Ω which allows contractions between operators viz. spectators, and at the same time demand that each term of the various product excitations – appearing either uncontracted to one another under the normal order or appearing as composites after contractions–should appear only once, as in the ordinary exponential without spectators. It then follows that we want to have a series for Ω in normal order where the various composites, n in number, which appear uncontracted under the normal order should appear with a factor (n!)−1, corresponding to (n!) various different ways the composites can appear. However in case there are contractions between n operators, but only there are fn ways of joining them, then we should attach a weight fn−1 to the composite to ensure that the various ways of joining the S operators in the composite leading to the same product excitations should appear only once. We note here that the commuting operators in exp(T) realizes this automatically in the SRCC theory for closed-shells. If the operators do not commute, as for Se and Sr, where Se has no spectators and Sr has spectators, the ordinary exponential introduces unphysical weights such as (2!)−1 for quadratic powers for the contracted composites and so on. But we can have only a composite Ijms 03 00550 i022 and not Ijms 03 00550 i023, and hence Ijms 03 00550 i024 should appear with a factor 1.
We illustrate this with a concrete example with φα as the model function. All the possible S operators are shown in Fig. 1 Let us consider the product excitations coming from an Se as Ijms 03 00550 i025. If we use a pure exponential for ΩV, then the product excitation leading to double excitation γδαp would appear with a factor (2!)−1. The operators Ijms 03 00550 i026 can contract with Ijms 03 00550 i027 only from the left via α. But put in the reversed order, they cannot be contracted from the right. If we want to have each distinct type of product excitation to appear only once, the factor with the composite obtained by joining the operators Ijms 03 00550 i028 should just be 1.
In general then, the correct combinatoric factors would appear if we assign a factor f −1 to a composite obtained by contracting k Se operators to l Sr operators, where f is the number of possible ways of joining them together leading to composites of same excitation. With this insight, the contracted product excitation from Ijms 03 00550 i029 would have a weight of 1. Clearly no Se operators can be joined to Sr operators from right, and all Sr operators need not all be joined among themselves to form the composite.
To take care of the proper factors in the composites obtained via spectator contractions, we have thus suggested recently [22] that ΩV should be taken to be of a combinatoric cluster expansion form:
ΩV = {{exp(S)}} ≡ {{exp(Se + Sr)}}
where {{⋯}} denotes a special ordering. It allows contraction of the S operators via spectator lines, but it assigns the appropriate combinatoric factors f−1 to each composite.
Figure 1. The various types of S operators for the one-hole model space Φα. (a) and (b) are Se operators, and the rest are Sr.
Figure 1. The various types of S operators for the one-hole model space Φα. (a) and (b) are Se operators, and the rest are Sr.
Ijms 03 00550 g001
From now on, we shall call all composites leading to the same excitation, but having different ordering of connectivities via spectators, as topologically equivalent. All the equivalent composites have the same ‘topological weight’, f −1. Their overall contribution to the excitation can thus be taken care of by considering only one of them with a factor of 1. It turns out that the classification of the various terms in the open-shell CC equations are best done in terms of composites of equivalent topologies.

2.3 Emergence of Strongly Connected Finite Power MRCC Equations

Let us now rewrite the left side of the eq. (7) in normal order with respect to Φ0, using the Ansatz eq. (11) for ΩV. It is straightforward to show that the resultant terms in normal order can be written as
Ijms 03 00550 i030
where the connected composite Ijms 03 00550 i031 is obtained by joining H ¯ with various powers of S in all possible ways, at the same time joining Se and Sr operators among themselves in all possible ways. The factors associated with the composites are according to the definition of {{exp(S)}}. The various terms of all powers of S not joined to the composites can all be grouped again to form ΩV. Using eq. (8), the right side of eq. (7) can be written as
Ijms 03 00550 i032
where Ijms 03 00550 i033 is the composite obtained by joining powers of S with H ¯ eff in all possible ways, at the same time appropriately joining Se and Sr among themselves. Using the linear independence of all the operators of ΩV in a VU theory [4,5,9], it then follows that
Ijms 03 00550 i034
Since all powers of S lead to excitations out of the P space, the closed (or the model space projection) components of both sides of the equations lead to
Ijms 03 00550 i035
Inspection of the left side of eq. (15) reveals very specific modes of connectivity of the various composites appearing in it. Any S operator in a composite joined either to another S operator via the spectator lines only, or to the H ¯ via the spectator lines only must leave some of its inactive orbitals uncontracted, and hence cannot contribute to the closed projection. We call such type of connectivity as ‘weak connectivity’ [22,23]. The rest of the terms would have S operators joined to H ¯ by at least one inactive line and, in addition may generally have contractions among themselves via spectator lines. We call these composites ‘strongly connected’ [22,23]. The above argument shows that H ¯ eff is strongly connected, and thus cannot have more than the powers of S exceeding number of lines in H ¯ .
We now regroup the various terms of eq. (14) in terms of strongly connected entities. Let us consider the left side of eq. (14) first. Any general term of the left side will have several S operators joined strongly to H ¯ (i.e. not just by spectator lines), in addition to connection among themselves via the spectator lines, and additionally we have other S operators joined just to other S operators (or to H ¯ ) via the spectator lines. These latter are thus weakly connected. Several composites will have the same strongly connected terms, but they will differ in the ways the S operators are joined weakly to them. We denote the various strongly connected components by Xi, where i distinguishes the various terms. All the composites with the same strongly connected component and the same S operators joined weakly to this components in various ways leading to same shape may be termed as weakly connected composites of same topology. Each such term will have some Se operators joined weakly to Sr operators via spectator lines. The Sr operators to which they are connected are either a part of Xi’s (viz. they are strongly connected to H ¯ ), or
Figure 2. Connectivities of Se and Sr operators, having different factors: (a) one-body Se and Sr, (b) two-body Se and Sr and (c) one-body Se and two Sr operators. The weight factors are indicated in the parentheses.
Figure 2. Connectivities of Se and Sr operators, having different factors: (a) one-body Se and Sr, (b) two-body Se and Sr and (c) one-body Se and two Sr operators. The weight factors are indicated in the parentheses.
Ijms 03 00550 g002
they themselves are weakly connected to Xi’s. It is interesting that the contributions of all the weakly connected composites of same topology can be written as coming from just one term in which each weakly connected Se operator is joined to Sr operators which are strongly connected to H ¯ , i.e. they, a part of Xi’s, and all the weakly connected Sr operators are joined from the right to Xi’s via spectator lines only. The weight of this term is f −1 where f is the number of ways the various weakly connected Se and Sr operators can be arranged among themselves. This is shown in Fig. 2. The entire term on the left side of eq. (14) can then be written as
Ijms 03 00550 i036
where each Se operator is weakly connected to X via Sr operators in X, and they are not joined to each other. We have made the convention of stretching them to the left of X without any change in their contribution. This stretching is also depicted in Fig. 3(a). The two weakly connected Sr operators appear only on the right of X. [⋯]w denotes a term joined weakly to the rest of a composite.
Figure 3. (a) Overall contribution from three diagrams of the same topology. The skeleton in the braces is the strongly connected ‘X’ operator. (b) Moving the weakly connected Sr operator on the left of H ¯ eff to its right, yielding the same contribution. The quantity in the braces is the H ¯ eff.
Figure 3. (a) Overall contribution from three diagrams of the same topology. The skeleton in the braces is the strongly connected ‘X’ operator. (b) Moving the weakly connected Sr operator on the left of H ¯ eff to its right, yielding the same contribution. The quantity in the braces is the H ¯ eff.
Ijms 03 00550 g003
Using entirely the same reasoning on the right side of eq. (14), we have
Ijms 03 00550 i037
where each Se in [⋯]h above is joined entirely to the H ¯ vertex, and each Se in [⋯]w is joined to one or more Sr vertex which are part of H ¯ eff. The Sr operators, originally connected weakly among themselves via spectator lines from the left of H ¯ eff are all moved to its left. This operation keeps the contribution of these terms unchanged, when they belong to the same topology. As an example, we have shown in Fig. 3(b) one term from eq. (17) where the Sr vertices are taken from the left to the right of the H ¯ eff vertex.
Again since all powers of Sr in {{exp(Sr)}} are linearly independent, it follows from eqs. (14), (16) and (17) that
Ijms 03 00550 i038
‘Inverting’ the ‘exponentials’ in eq. (18) leads to
Ijms 03 00550 i039
where each term in {exp(−Se)} is joined to the X via its H ¯ vertex, and they are not joined among themselves. The strongly connected composite X has one set of terms Z which are ‘external’ or ‘open’ in the sense of inducing excitations to the virtual space from the model space and another set W which is ‘closed’. Only W contributes to H ¯ eff. Denoting the external operators by the suffix ‘ex’, and the closed ones by ‘cl’, we have, from the Q projection of eq. (19), the relation
[{[{exp(−Se)}]h [Z + W ]}]ex = 0
The P projection leads to
Ijms 03 00550 i040
Eqs. (20) and (21) are respectively our stipulated CC equations the VU theory for the cluster amplitudes for S and for H ¯ eff in the spin-free compact formulation. Each m-valence component of eq. (20) should separately be equated to zero to generate the S(m)’s. Because of the nature of connectivity, in an m-valence component of eq. (20) no S(l) with l > m appears, as in a normal ordered formulation.
It is clear from our formulation that the expression on the left hand of eq. (20) is finite power series in S, and since all S operators are strongly connected to the vertex of H ¯ . We should emphasize again that the finite series emerges entirely due to our new Ansatz for ΩV with suitable combinatoric weights.

2.4 Illustrative Applications to a Simple Open-shell Doublet

We will now discuss the essentials of the construction of the working equations, eq. (20) and eq. (21), by applying it to a one-valence problem, viz. the CC formulation based on the open-shell reference (N-1)-electron doublet Φα introduced in Sec. 2. We also truncate the rank of the T and S operators at the two-body level. The S operators in this truncation scheme have all been already shown in Fig. 1. The various sets of equation from eq. (14) can be diagrammatically constructed by first constructing the strongly connected composites Z and W from H ¯ , Se, and Sr vertices, and then connecting them by the excitation operators Se from their left via the H ¯ -vertex, omitting connection among the Se operators. The various CC equations for the operators shown in Fig. 1 can be compactly written as
Ijms 03 00550 i041
Ijms 03 00550 i042
We should mention here that the positive signs in Ijms 03 00550 i043 originate from two (−1) factors, one γ αβ coming from {exp(−Se)} of eq. (21), and the other coming from one internal hole line joining Se α and Z. The ionization potential (IP) is given by W α α .

3 A Compact Open-shell CC Theory for Simple Open-shell States: The Doublet Case

In this section, we shall briefly touch upon the essential modifications necessary to convert the formulation for energy differences described in Sec. 2 to a VS open-shell spin-free CC formalism for state energies per se. We will not give the detailed general proof in this paper, but will just illustrate the modification with the example of the doublet states starting from a single reference doublet determinant Φα.
The exact wave-function Ψ in our open-shell CC theory is given by
Ijms 03 00550 i044
where {{⋯}} again denotes the new combinatoric cluster expansion, and S ¯ contains valence excitation and relaxation operators of exactly the same types as depicted for S in Figs. 1(a)-(e). We do not have now any ground state cluster operators T, since this is not the theory for energy differences. Using the same manipulations as have been indicated in Sec. 2, we may again get a set of strongly connected composites contributing to the equations for the cluster amplitudes. For a concrete discussion, let us call the composite {[{exp(−Se)}]h [Z + W]} as G. The additional terms that need be considered in the VS theory are the pure hamiltonian vertices of lower ranks that would contribute to the CC equations corresponding to the blocks with direct spectator scatterings. The blocks Z and W are now constructed entirely from H, Se and Sr operators.
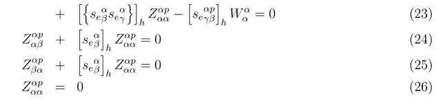
The additional terms that have to be added are, respectively, (− f β p ) and (− f α p ) for the CC equations eq. (24) and eq. (26) corresponding to the direct spectator scatterings on top of actual excitations (βp) and (αp):
Ijms 03 00550 i045
Ijms 03 00550 i046
Figure 4. Block equation for pseudo-two-body excitations with spectator scattering line α. γ can take on labels β and α, leading to eqs. (28) and (29).
Figure 4. Block equation for pseudo-two-body excitations with spectator scattering line α. γ can take on labels β and α, leading to eqs. (28) and (29).
Ijms 03 00550 g004
The corresponding block structure of the diagrams are shown in Fig. 4 The minus sign on the added terms is relative to these in eqs. (24) and (26) and is due to an ‘extra’ internal hole line in the diagrams of eqs. (24) and (26). All the Sr operators in the modified CC equation for state energies are joined to the H vertex, and the Se operators joined from the left are also joined to the H vertex. The maximum power of all the S operators in each term can thus be only quartic, exactly as in the closed-shell CC theory.
Some other considerations are warranted at this stage, if we confine ourselves to at most two-body cluster operators. Since we do not have T operators in the VS formalism, the closedshell like analogue of two-hole two-particle excitations would not appear in our formalism at the two-body truncation level. However, these are the dominant type of correlations and, in the present formalism, would require three-body operators with direct spectators. The corresponding amplitude Ijms 03 00550 i047 would explicitly ‘see’ the presence of the spectator vacant orbital α. The analogous equation would contain, in exact analogy with the single excitations (βp) or (αp) in presence of spectators, as in eqs. (28) and (29), a composite containing three-body scattering (γδαpqα) with the direct spectator scattering involving α, and another which would look like a pure two-body scattering γδpq. This is illustrated diagrammatically in Fig. 5.
Written in terms of G, the relevant equation will look like
Ijms 03 00550 i048
This is analogous to the modified equations (28) and (29) from eq. (24) and (26) for single excitations with spectator scattering. In case we do not want to include Ijms 03 00550 i049, as in our current application, we approximate it by Ijms 03 00550 i050, i.e. the amplitude is just the same as in the closed-shell case, with no reference to the spectator. Thus, our Ansatz for Ψ gets modified in this two-body
Figure 5. Block equation for pseudo-three-body operators: Block III contains the pseudo-three-body operators with spectator scattering, whereas Block IV contains closed-shell two-body operators.
Figure 5. Block equation for pseudo-three-body operators: Block III contains the pseudo-three-body operators with spectator scattering, whereas Block IV contains closed-shell two-body operators.
Ijms 03 00550 g005
approximation as
Ijms 03 00550 i051
with Ijms 03 00550 i052.
The idea that one may generate open-shell CC theories for state-energies per se by considering only valence cluster operators in the wave-operator, and by clumping together in the CC equations blocks of different possible ranks but of the same excitations with different number of direct spectator excitations was earlier considered by Mukherjee and Zaitsevskii [30] using a normal ordered wave-operator. The present development uses the more compact and physically more appealing {{exp( S ¯ )}} Ansatz to take care of orbital relaxation and correlation effects.

4. Numerical Applications

We will discuss here the results obtained by this formalism to generate both the energy of the ground state of the doublet OH radical, and its electron affinity, using the closed shell OH as the vacuum. The electron affinity of the radical will be computed as the first IP of the OH at the radical geometry.
In the VU method the IP is obtained as the difference energy directly, whereas in the VS method the radical state energy itself is calculated. In order for us to be able to compare the relative performance of the VS and the VU methods, the radical state energy in VU method have also been calculated by adding explicitly the anion state energy E0 to the IP values. The HartreeFock (HF) orbitals for the OH ground state at the equilibrium geometry of the OH radical are used in all the calculations. The equilibrium OH bond length is 1.83238 a.u.
The relative success of the two open-shell CC-based theories as compared with the normal ordered version is predicated by their ability to tackle with greater accuracy the orbital relaxation effects associated with the ionization of an electron from the OH anion, using one and two-body cluster operators. The traditional normal ordered {exp(S)}formalism has also been used to compute the same quantities, to see the effect of orbital relaxations in this method as compared to our current formulation.
We have carried out our VU and VS methods with several basis sets: (i) aug-cc-pVDZ, (ii) aug-cc-pVTZ (without the f functions) and (iii) a different cc-pVTZ (without the f functions) with diffuse s and p functions. We use all the six cartesian components of the d orbitals.
All the doublet state energies and their corresponding IPs, with both the new VS and VU theories, and the corresponding values of the exponential values of the {exp(S)} theories are tabulated in Table 1. The VS version of the {exp(S)}theory is that of Mukherjee and Zaitsevski [30]. Because of the unavailability of the FCI results with these basis sets, comparison with experimental results are done. It is clear that the state energies as well as the EA values with the new formulation include the relaxation as well as the differential correlation effects quite efficiently as compared to those from {exp(S)} in both VS and VU theories.
Table 1. Electron affinity study of OH radical, using different basis sets
Table 1. Electron affinity study of OH radical, using different basis sets
VS theory State Energies (a.u.)VU theory EA Values (eV)
Basis Type{exp( S ¯ )}{{exp( S ¯ )}}{exp(S)}{{exp(S)}}Exptl.Koopmans’ Value
I-75.627858-75.6217841.57171.65401.83a2.9101
(-75.628059)b(-75.625033)
II-75.580422-75.5757771.60051.66082.9436
(-75.584965)(-75.582751)
III-75.629468-75.6237281.70291.76282.9612
(-75.630625)(-75.628424)
a [31] b The computed state energies are shown in parentheses.
Basis I: cc-pVTZ with diffuse s and p functions
Basis II: aug-cc-pVDZ
Basis III: aug-cc-pVTZ

Acknowledgements

One of us (DJ) would like to thank the Council of Scientific and Industrial Research (CSIR), Government of India, New Delhi, for providing him a research fellowship.

References

  1. Cizek, J. Adv. Chem. Phys. 1969, 14, 35.Cizek, J.; Paldus, J.; Shavitt, I. Phys. Rev. 1972, 50, 50.
  2. Bartlett, R. J. Modern Electronic Structure Theory; of Advanced Series in Physical Chemistry; Yarkony, D. R., Ed.; World Scientific Publishing: Singapore, 1995; Vol. 2. [Google Scholar]
  3. Crawford, T. D.; Schaefer, H. F., III. Reviews in Computational Chemistry, Lipkowitz, K.B.; Lipkowitz, K. B., Boyd, D. B., Eds.; Wiley-VCH, John Wiley and Sons. Inc.: New York, 2000; Vol. 14. [Google Scholar]
  4. Mukherjee, D.; Moitra, R. K.; Mukhopadhyay, A. Mol. Phys. 1975, 30, 1861.Mukherjee, D.; Moitra, R. K.; Mukhopadhyay, A. Mol. Phys. 1977, 33, 955.Mukherjee, D. Pramana 1979, 12, 203.
  5. Haque, A.; Mukherjee, D. J. J. Chem. Phys. 1984, 80, 5058.
  6. Lindgren, I. Int. J. Quant. Chem. 1978, S12, 33.
  7. Lindgren, I.; Morrison, J. Atomic Many-Body Theory; Springer Series in Atoms and Plasmas; 1986; Vol. 3. [Google Scholar]
  8. Nooijen, M.; Bartlett, R. J. J. Chem. Phys. 1997, 106, 6441.
  9. For extensive surveys of the MRCC methods see, Mukherjee, D.; Pal, S. Adv. Quant. Chem. 1989, 20, 291.
  10. Jeziorski, B.; Monkhorst, H. J. Phys. Rev. 1981, A24, 1668.
  11. Jeziorski, B.; Paldus, J. J. J. Chem. Phys. 1988, 88, 5673, ibid, 1989, 90, 2714.
  12. Berkovic, S.; Kaldor, U. Chem. Phys. Lett. 1992, 199, 42, J. Chem. Phys. 1993, 98, 3090. [CrossRef]
  13. Rittby, M.; Bartlett, R. J. J. Phys. Chem. 1988, 92, 3033. [CrossRef]
  14. Scuseria, G. E. Chem. Phys. Lett. 1991, 176, 27.
  15. Lee, T. J.; Jayatilaka, D. Chem. Phys. Lett. 1993, 201, 1.Jayatilaka, D.; Lee, T. J. J. Chem. Phys. 1993, 98, 9734.
  16. Janssen, C. L.; Schaefer III, H. F. Theo. Chim. Acta. 1991, 79, 1. [CrossRef]
  17. Li, X.; Paldus, J. J. J. Chem. Phys. 1994, 101, 8812.Li, X.; Paldus, J. J. Modern Ideas in Coupled Cluster Methods 1997, Vol. 183.
  18. Jeziorski, B.; Paldus, J.; Jankowski, P. Int. J. Quant. Chem. 1995, 56, 129. [CrossRef]
  19. Nakatsuji, H.; Hirao, K. J. J. Chem. Phys. 1978, 68, 2053.
  20. Szalay, P. G.; Gauss, J. J. J. Chem. Phys. 1997, 107, 9028.
  21. Nooijen, M.; Bartlett, R. J. J. Chem. Phys. 1996, 104, 2652.
  22. Jana, D.; Bandyopadhyay, B.; Mukherjee, D. Theor. Chem. Acc. 1999, 102, 317. [CrossRef]
  23. Jana, D.; Sinha Mahapatra, U.; Mukherjee, D. Chem. Phys. Lett. 2002, 353, 100.
  24. Sinha, D.; Mukhopadhyay, S.; Chaudhuri, R.; Mukherjee, D. Chem. Phys. Lett. 1989, 154, 544.
  25. Cederbaum, L. S.; Domcke, W.; Schirmer, J. Phys. Rev. 1980, A22, 206.
  26. Mukhopadhyay, D.; Mukherjee, D. Chem. Phys. Lett. 1989, 163, 171, 1991, 177, 441.
  27. Mukhopadhyay, D.; Mukherjee, D. Applied Many-Body Methods in Spectroscopy and Electronic Structure; Mukherjee, D., Ed.; Plenum Press: New York, 1992; p. 261. [Google Scholar]
  28. Mukhopadhyay, D.; Chaudhuri, R.; Mukherjee, D. Chem. Phys. Lett. 1990, 172, 515.
  29. Thouless, D. J. Nucl. Phys. 1960, 21, 225.
  30. Mukherjee, D.; Zaitsevskii, A. Chem. Phys. Lett. 1995, 233, 605.
  31. Celotta, R. J.; Bennett, R. A.; Hall, J. L. J. Chem. Phys. 1974, 60, 1740.

Share and Cite

MDPI and ACS Style

Jana, D.; Mahapatra, U.S.; Mukherjee, D. Use of a New Cluster Ansatz to Treat Strong Relaxation and Correlation Effects: A Direct Method for Energy Differences. Int. J. Mol. Sci. 2002, 3, 550-569. https://doi.org/10.3390/i3050550

AMA Style

Jana D, Mahapatra US, Mukherjee D. Use of a New Cluster Ansatz to Treat Strong Relaxation and Correlation Effects: A Direct Method for Energy Differences. International Journal of Molecular Sciences. 2002; 3(5):550-569. https://doi.org/10.3390/i3050550

Chicago/Turabian Style

Jana, Debasis, Uttam Sinha Mahapatra, and Debashis Mukherjee. 2002. "Use of a New Cluster Ansatz to Treat Strong Relaxation and Correlation Effects: A Direct Method for Energy Differences" International Journal of Molecular Sciences 3, no. 5: 550-569. https://doi.org/10.3390/i3050550

APA Style

Jana, D., Mahapatra, U. S., & Mukherjee, D. (2002). Use of a New Cluster Ansatz to Treat Strong Relaxation and Correlation Effects: A Direct Method for Energy Differences. International Journal of Molecular Sciences, 3(5), 550-569. https://doi.org/10.3390/i3050550

Article Metrics

Back to TopTop