Pubertal Development Following Paediatric Gonadotoxic Treatment and Immature Testicular Tissue Banking
Abstract
1. Introduction
2. Results
2.1. Patient Characteristics
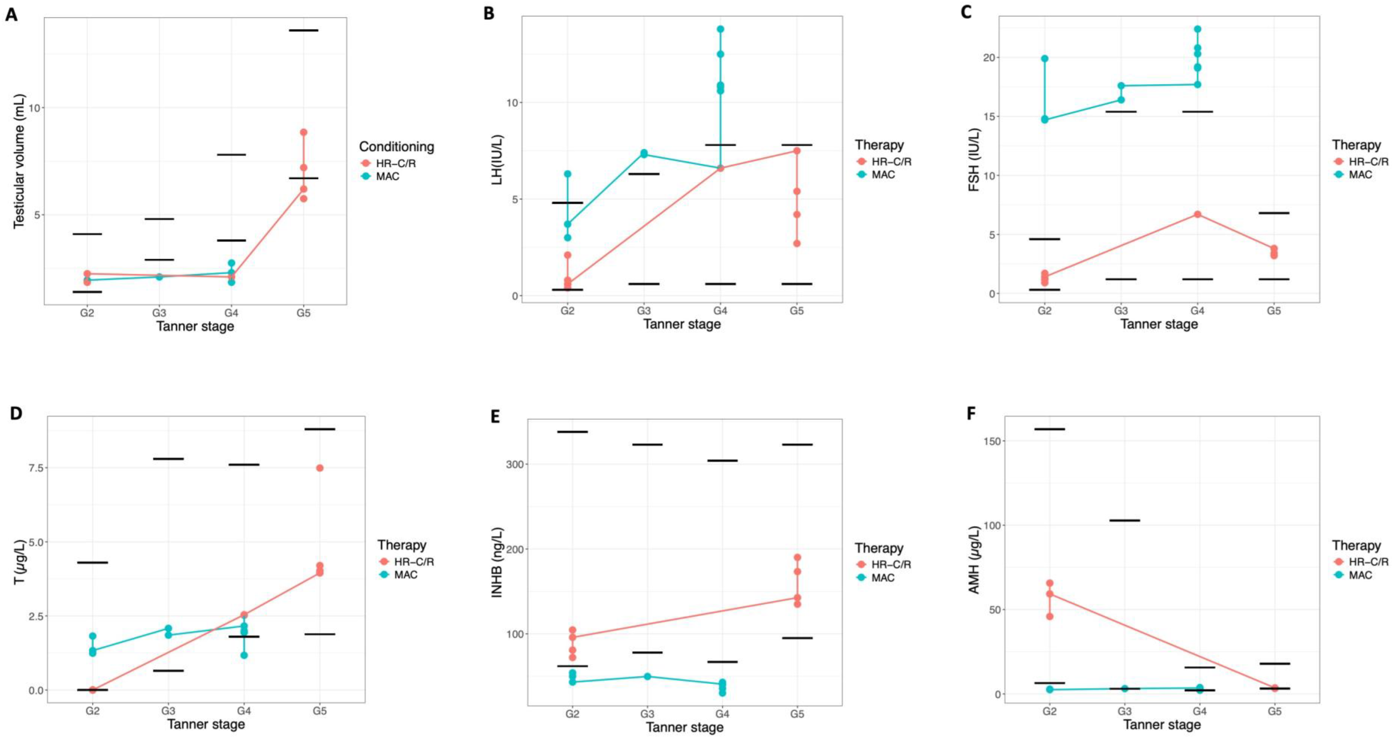
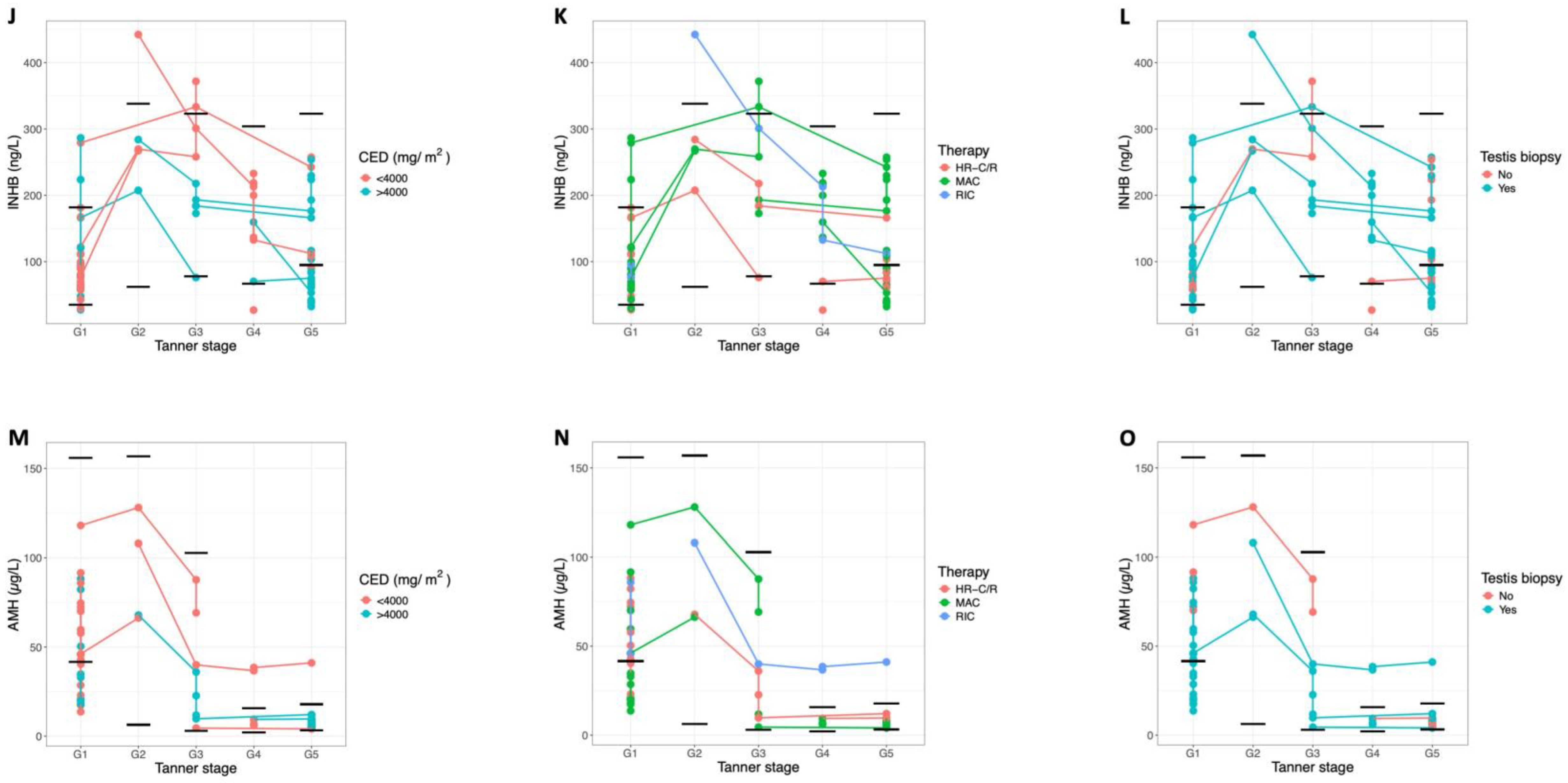
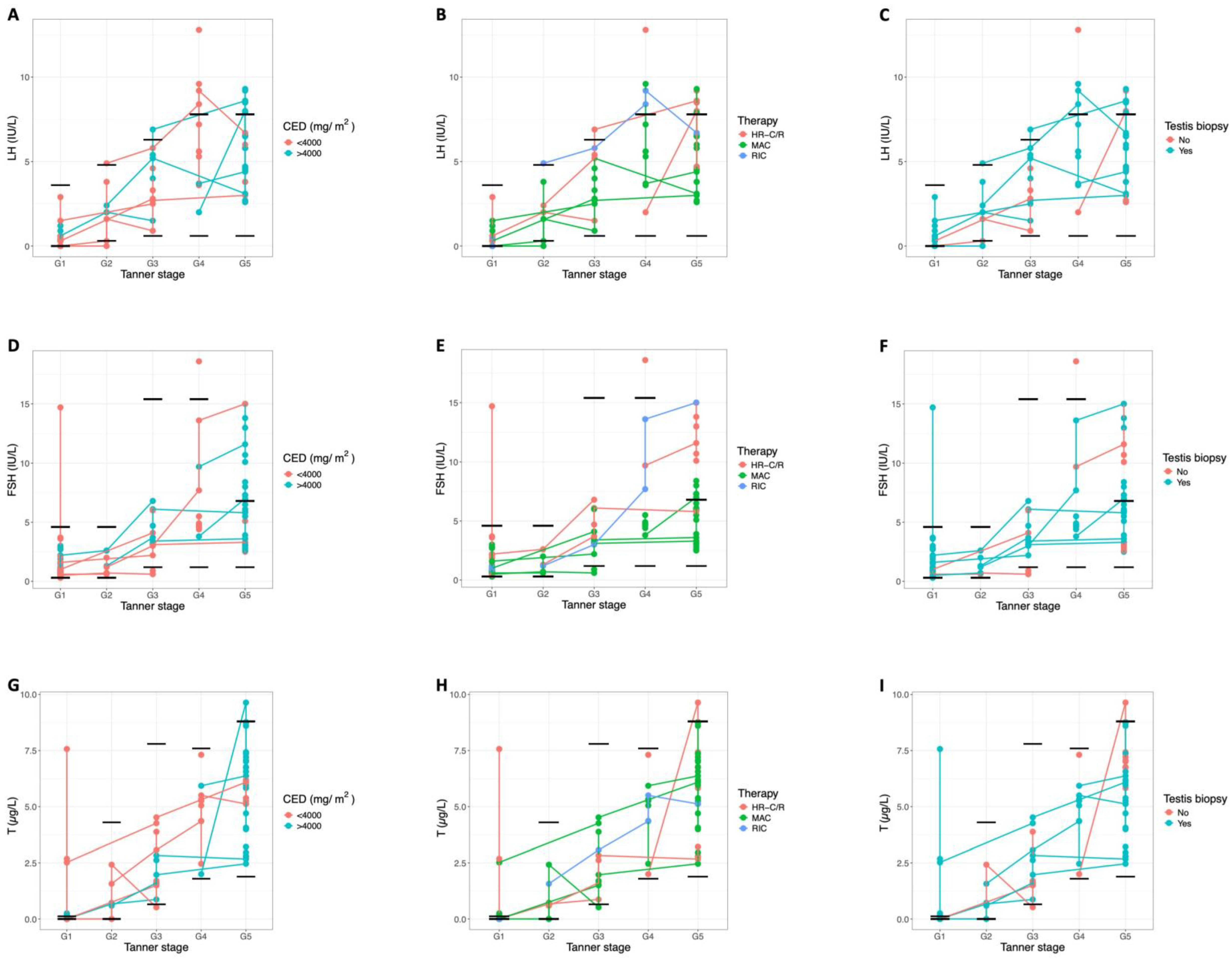
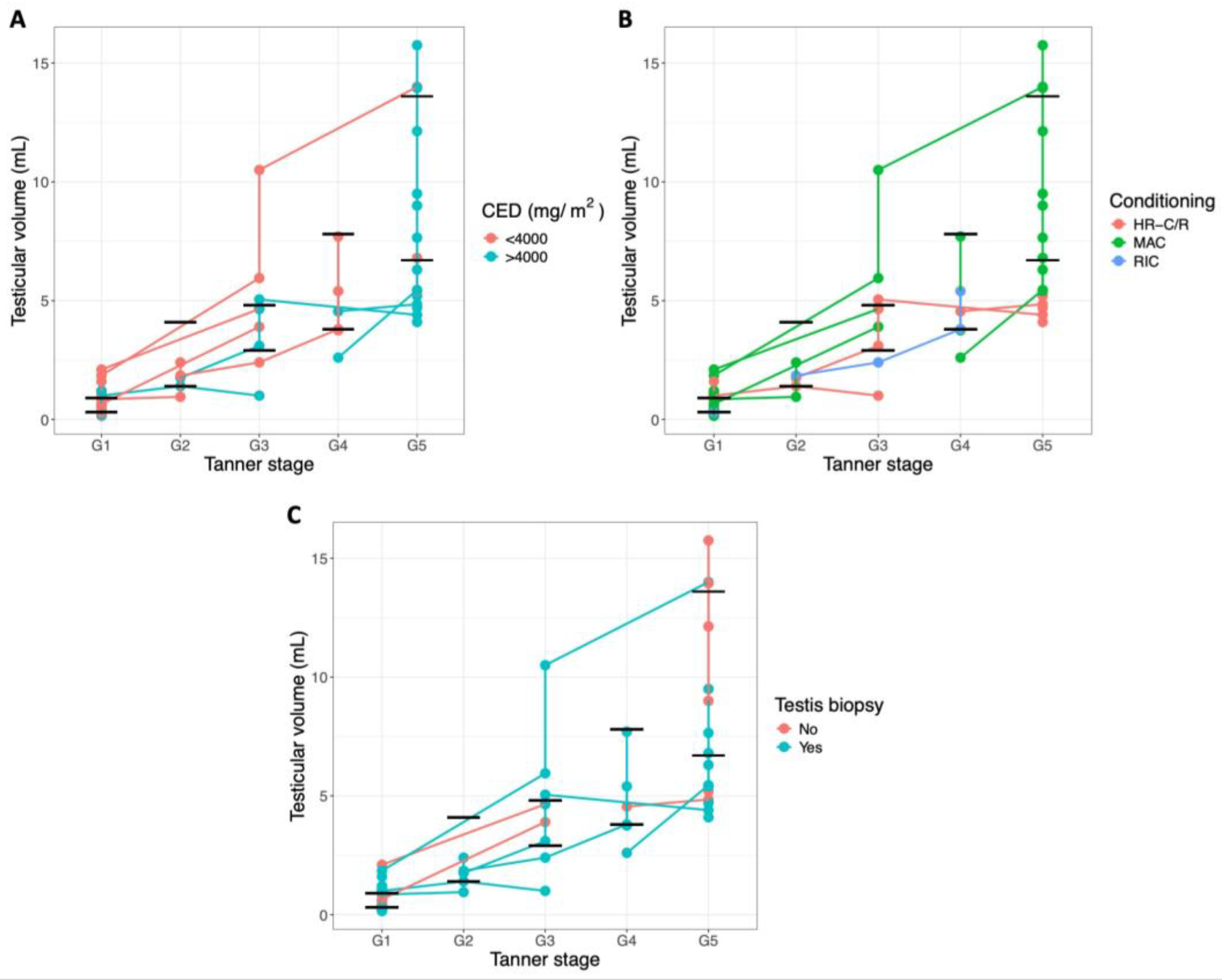
2.2. Testicular Development
2.3. Reproductive Hormone Levels
2.4. Bone Age and Bone Density
3. Discussion
4. Materials and Methods
4.1. Patients
4.2. Interventions
4.2.1. Intake
4.2.2. Fertility Preservation
4.2.3. Follow-Up Assessments
4.3. Statistical Analysis
5. Conclusions
Author Contributions
Funding
Institutional Review Board Statement
Informed Consent Statement
Data Availability Statement
Acknowledgments
Conflicts of Interest
Abbreviations
| GRAD | Genetics, Reproduction and Development |
| VUB | Vrije Universiteit Brussel |
| UZ | Universitair Ziekenhuis |
| TTB | Testicular tissue banking |
| CT-HSCT | Conditioning therapy before haematopoietic stem cell transplantation |
| T | Testosterone |
| FSH | Follicle-stimulating hormone |
| CED | Cyclophosphamide equivalent dose |
| HR-C/R | High-risk chemo- and/or radiotherapy |
| MAC | Myeloablative conditioning |
| RIC | Reduced intensity conditioning |
| HST | Hormone substitution treatment |
| N/R | Not recorded |
| DEXA | Dual-energy X-ray absorptiometry |
| BMI | Body mass index |
| LH | Luteinizing hormone |
| INHB | Inhibin B |
| AMH | Anti-Müllerian hormone |
| HUDERF | Hôpital Universitaire des Enfants Reine Fabiola |
Appendix A
| Tanner Stage | |||||
|---|---|---|---|---|---|
| G1 | G2 | G3 | G4 | G5 | |
| Testicular volume (mL) | 0.3–0.9 | 1.4–4.1 | 2.9–4.7 | 3.8–7.8 | 6.7–13.6 |
| LH (IU/L) | 0.0–3.6 | 0.3–4.8 | 0.6–6.3 | 0.6–7.8 | 0.6–7.8 |
| FSH (IU/L) | 0.3–4.6 | 0.3–4.6 | 1.2–15.4 | 1.2–15.4 | 1.5–6.8 |
| T (µg/L) | <0.1 | <0.1–4.3 | 0.6–7.8 | 1.8–7.6 | 1.9–8.8 |
| INHB (ng/L) | 35.0–182.0 | 62.0–338.0 | 78.0–323.0 | 67.0–304.0 | 95.0–323.0 |
| AMH (µg/L) | 41.6–155.9 | 6.4–156.9 | 3.1–102.8 | 2.1–15.7 | 3.2–17.9 |

References
- Vassal, G.; Schrappe, M.; Pritchard-Jones, K.; Arnold, F.; Basset, L.; Biondi, A.; Bode, G.; Eggert, A.; Hjorth, L.; Kamerić, L.; et al. The SIOPE strategic plan: A European cancer plan for children and adolescents. J. Cancer Policy 2016, 8, 17–32. [Google Scholar] [CrossRef]
- Ohlsen, T.J.D.; Martos, M.R.; Hawkins, D.S. Recent advances in the treatment of childhood cancers. Curr. Opin. Pediatr. 2024, 36, 57–63. [Google Scholar] [CrossRef]
- Loren, A.W.; Senapati, S. Fertility preservation in patients with hematologic malignancies and recipients of hematopoietic cell transplants. Blood 2019, 134, 746–760. [Google Scholar] [CrossRef]
- ESHRE Fertility Preservation for Boys Working Group. ESHRE good practice recommendations on fertility preservation involving testicular tissue cryopreservation in children receiving gonadotoxic therapies. Hum. Reprod. 2025, 40, 1391–1431. [Google Scholar] [CrossRef] [PubMed]
- Duffin, K.; Neuhaus, N.; Andersen, C.Y.; Barraud-Lange, V.; Braye, A.; Eguizabal, C.; Feraille, A.; Ginsberg, J.P.; Gook, D.; Goossens, E.; et al. A 20-year overview of fertility preservation in boys: New insights gained through a comprehensive international survey. Hum. Reprod. Open 2024, 2024, hoae010. [Google Scholar] [CrossRef] [PubMed]
- Ginsberg, J.P.; Carlson, C.A.; Lin, K.; Hobbie, W.L.; Wigo, E.; Wu, X.; Brinster, R.L.; Kolon, T.F. An experimental protocol for fertility preservation in prepubertal boys recently diagnosed with cancer: A report of acceptability and safety. Hum. Reprod. 2010, 25, 37–41. [Google Scholar] [CrossRef] [PubMed]
- Uijldert, M.; Meißner, A.; de Melker, A.A.; van Pelt, A.M.M.; van de Wetering, M.D.; van Rijn, R.R.; van Wely, M.; van der Veen, F.; Repping, S. Development of the testis in pre-pubertal boys with cancer after biopsy for fertility preservation. Hum. Reprod. 2017, 32, 2366–2372. [Google Scholar] [CrossRef]
- Ming, J.M.; Chua, M.E.; Lopes, R.I.; Maloney, A.M.; Gupta, A.A.; Lorenzo, A.J. Cryopreservation of testicular tissue in pre-pubertal and adolescent boys at risk for infertility: A low risk procedure. J. Pediatr. Urol. 2018, 14, 274.e1–274.e5. [Google Scholar] [CrossRef]
- van Casteren, N.J.; van der Linden, G.H.M.; Hakvoort-Cammel, F.G.A.J.; Hählen, K.; Dohle, G.R.; van den Heuvel-Eibrink, M.M. Effect of childhood cancer treatment on fertility markers in adult male long-term survivors. Pediatr. Blood Cancer 2009, 52, 108–112. [Google Scholar] [CrossRef]
- Borgström, B.; Fridström, M.; Gustafsson, B.; Ljungman, P.; Rodriguez-Wallberg, K.A. A prospective study on the long-term outcome of prepubertal and pubertal boys undergoing testicular biopsy for fertility preservation prior to hematologic stem cell transplantation. Pediatr. Blood Cancer 2020, 67, e28507. [Google Scholar] [CrossRef]
- Kanbar, M.; de Michele, F.; Giudice, M.G.; Desmet, L.; Poels, J.; Wyns, C. Long-term follow-up of boys who have undergone a testicular biopsy for fertility preservation. Hum. Reprod. 2020, 36, 26–39. [Google Scholar] [CrossRef] [PubMed]
- Mathiesen, S.; Sørensen, K.; Ifversen, M.; Hagen, C.P.; Holm Petersen, J.; Juul, A.; Müller, K. Childhood reproductive hormone levels after pediatric hematopoietic stem cell transplantation in relation to adult testicular function. Endocr. Connect. 2021, 10, 1352–1365. [Google Scholar] [CrossRef] [PubMed]
- Mathiesen, S.; Sørensen, K.; Nielsen, M.M.; Suominen, A.; Ifversen, M.; Grell, K.; Lähteenmäki, P.; Frederiksen, H.; Juul, A.; Müller, K.; et al. Male gonadal function after allogeneic hematopoietic stem cell transplantation in childhood: A cross-sectional, population-based study. Biol. Blood Marrow Transplant. 2020, 26, 1635–1645. [Google Scholar] [CrossRef]
- Delgouffe, E.; Braye, A.; Vloeberghs, V.; Mateizel, I.; Ernst, C.; Ferster, A.; Devalck, C.; Tournaye, H.; Gies, I.; Goossens, E. Spermatogenesis after gonadotoxic childhood treatment: Follow-up of 12 patients. Hum. Reprod. Open 2023, 2023, hoad029. [Google Scholar] [CrossRef] [PubMed]
- Braye, A.; Delgouffe, E.; van der Werff ten Bosch, J.; Gies, I.; Ferster, A.; Goossens, E. Gonadal development and function after immature testicular tissue banking as part of high-risk gonadotoxic treatment. Pediatr. Blood Cancer 2023, 70, e30370. [Google Scholar] [CrossRef]
- Braye, A.; Böhler, S.; Vloeberghs, V.; De Boe, V.; De Schepper, J.; Gies, I.; Goossens, E. Testicular biopsy for fertility preservation in early-diagnosed Klinefelter patients: Patient characteristics and long-term follow-up. Reprod. Biomed. Online 2022, 44, 889–895. [Google Scholar] [CrossRef]
- Duca, Y.; Di Cataldo, A.; Russo, G.; Cannata, E.; Burgio, G.; Compagnone, M.; Alamo, A.; Condorelli, R.A.; La Vignera, S.; Calogero, A.E. Testicular function of childhood cancer survivors: Who is worse? J. Clin. Med. 2019, 8, 2204. [Google Scholar] [CrossRef]
- Stukenborg, J.-B.; Jahnukainen, K.; Hutka, M.; Mitchell, R.T. Cancer Treatment in Childhood and Testicular Function: The Importance of the Somatic Environment. Endocr. Connect. 2018, 7, R69–R87. [Google Scholar] [CrossRef]
- Korhonen, M.; Jahnukainen, K.; Koskela, M. Longitudinal trends in testicular volume z scores from puberty to adulthood, sperm quality, and paternity outcomes after childhood cancer. Cancer 2025, 131, e35623. [Google Scholar] [CrossRef]
- van Santen, H.M.; van den Heuvel-Eibrink, M.M.; van de Wetering, M.D.; Wallace, W.H. Hypogonadism in children with a previous history of cancer: Endocrine management and follow-up. Horm. Res. Paediatr. 2019, 91, 93–103. [Google Scholar] [CrossRef]
- Crofton, P.M.; Thomson, A.B.; Evans, A.E.M.M.; Groome, N.P.; Bath, L.E.; Kelnar, C.J.H.H.; Wallace, W.H.B.B. Is inhibin B a potential marker of gonadotoxicity in prepubertal children treated for cancer? Clin. Endocrinol. 2003, 58, 296–301. [Google Scholar] [CrossRef]
- Josso, N.; Rey, R.A.; Picard, J.Y. Anti-Müllerian hormone: A valuable addition to the toolbox of the pediatric endocrinologist. Int. J. Endocrinol. 2013, 2013, 674105. [Google Scholar] [CrossRef]
- Laporte, S.; Couto-Silva, A.C.; Trabado, S.; Lemaire, P.; Brailly-Tabard, S.; Espérou, H.; Michon, J.; Baruchel, A.; Fischer, A.; Trivin, C.; et al. Inhibin B and anti-Müllerian hormone as markers of gonadal function after hematopoietic cell transplantation during childhood. BMC Pediatr. 2011, 11, 20. [Google Scholar] [CrossRef]
- Sklar, C. Reproductive physiology and treatment-related loss of sex hormone production. Med. Pediatr. Oncol. 1999, 33, 2–8. [Google Scholar] [CrossRef]
- Goossens, E.; Van Saen, D.; Tournaye, H. Spermatogonial stem cell preservation and transplantation: From research to clinic. Hum. Reprod. 2013, 28, 897–907. [Google Scholar] [CrossRef]
- Erden, M.; Uyanik, E.; Demeestere, I.; Oktay, K.H. Perinatal Outcomes of Pregnancies Following Autologous Cryopreserved Ovarian Tissue Transplantation: A Systematic Review with Pooled Analysis. Am. J. Obstet. Gynecol. 2024, 231, 480–489. [Google Scholar] [CrossRef] [PubMed]
- Green, D.M.; Liu, W.; Kutteh, W.H.; Ke, R.W.; Shelton, K.C.; Sklar, C.A.; Chemaitilly, W.; Pui, C.-H.; Klosky, J.L.; Spunt, S.L.; et al. Cumulative alkylating agent exposure and semen parameters in adult survivors of childhood cancer: A report from the St Jude Lifetime Cohort Study. Lancet Oncol. 2014, 15, 1215–1223. [Google Scholar] [CrossRef] [PubMed]
- Green, D.M.; Nolan, V.G.; Goodman, P.J.; Whitton, J.A.; Srivastava, D.; Leisenring, W.M.; Neglia, J.P.; Sklar, C.A.; Kaste, S.C.; Hudson, M.M.M.; et al. The Cyclophosphamide equivalent dose as an approach for quantifying alkylating agent exposure: A report from the Childhood Cancer Survivor Study. Pediatr. Blood Cancer 2014, 61, 53–67. [Google Scholar] [CrossRef]
- Braye, A.; Tournaye, H.; Goossens, E. Setting up a cryopreservation programme for immature testicular tissue: Lessons learned after more than 15 years of experience. Clin. Med. Insights Reprod. Health 2019, 13, 1179558119886342. [Google Scholar] [CrossRef]
- Marshall, W.A.; Tanner, J.M. Variations in the pattern of pubertal changes in boys. Arch. Dis. Child. 1970, 45, 13–23. [Google Scholar] [CrossRef] [PubMed]
- Sakamoto, H.; Saito, K.; Oohta, M.; Inoue, K.; Ogawa, Y.; Yoshida, H. Testicular volume measurement: Comparison of ultrasonography, orchidometry, and water displacement. Urology 2007, 69, 152–157. [Google Scholar] [CrossRef]
- Sotos, J.F.; Tokar, N.J. Appraisal of testicular volumes: Volumes matching ultrasound values referenced to stages of genital development. Int. J. Pediatr. Endocrinol. 2017, 2017, 7, Erratum in Int. J. Pediatr. Endocrinol. 2017, 2017, 10. [Google Scholar] [CrossRef] [PubMed]
- Flor-Cisneros, A.; Roemmich, J.N.; Rogol, A.D.; Baron, J. Bone age and onset of puberty in normal Boys. Mol. Cell. Endocrinol. 2006, 254–255, 202–206. [Google Scholar] [CrossRef] [PubMed]
- Shaw, N.; Crabtree, N. Bone density in children: What are we measuring? Arch. Dis. Child. 2019, 104, 1108–1111. [Google Scholar] [CrossRef] [PubMed]




| Patient Number | Number of Visits | Disease | Age at Diagnosis (Years) | Testicular Tissue Banking | Age at Banking (Years) | Treatment Type | Gonadotoxic Treatments |
|---|---|---|---|---|---|---|---|
| 1 | 9 | Medulloblastoma | 3.9 | Hemi-orchiectomy left | 3.9 | MAC | MET-HIT 2000-BIS4 protocol: chemotherapy CED 11,956 mg/m2 and 324 mg/m2 cisplatin |
| 2 | 6 | Neuroblastoma | 0.2 | No | - | HR-C/R | SIOP 2001 Nephroblastoma/Infant Neuroblastoma protocol: chemotherapy CED 2900 mg/m2 and 937 mg/m2 carboplatin |
| 3 | 5 | Neuroblastoma | 2.0 | No | - | MAC | SIOP HR-NBL protocol: chemotherapy CED 4129 mg/m2, and 158 mg/m2 cisplatin, 1452 mg/m2 carboplatin and radiotherapy: 21 Gy right adrenal lodge, 15 Gy vertebral column, 21 Gy left parietal skull |
| 4 | 6 | B cell lymphoma | 3.6 | Hemi-orchiectomy, side N/R | 3.6 | HR-C/R | B-NHL HR protocol: chemotherapy CED 3777 mg/m2 |
| 5 | 3 | Acute lymphoblastic leukaemia | 13.1 | Hemi-orchiectomy right | 13.1 | HR-C/R | EsPhALL VHR protocol: chemotherapy CED 6455 mg/m2 |
| 6 | 6 | Hodgkin lymphoma | 14.9 | Smaller biopsy right | 14.9 | HR-C/R | OEPA/COPDAC protocol: chemotherapy CED 2103 mg/m2 |
| 7 | 1 | Acute promyelocytic leukaemia | 4.0; relapse at 6.9 | No | - | MAC | AIDA/relapse APL protocol: chemotherapy CED 0 mg/m2 and radiotherapy: 12 Gy total body irradiation |
| 8 | 7 | Medulloblastoma | 2.9 | Hemi-orchiectomy left | 3.0 | MAC | SFCE/ACNS 0334 protocol: chemotherapy CED 0 mg/m2 and 2400 mg/m2 carboplatin and local radiotherapy: 50.4 Gy |
| 9 | 3 | Hodgkin lymphoma | 9.9 | Hemi-orchiectomy left | 10.0 | HR-C/R | Euronet PHL C1 protocol: chemotherapy CED 1066 mg/m2 |
| 10 | 6 | Acute lymphoblastic leukaemia | 0.8 | Hemi-orchiectomy left | 0.8 | HR-C/R | Interfant 06 protocol: chemotherapy CED 1395 mg/m2 |
| 11 | 9 | Ewing sarcoma | 3.2 | Smaller biopsy right | 3.2 | HR-C/R | EURO-EWING 99 protocol: chemotherapy CED 30,573 mg/m2 and radiotherapy: 54 Gy anterior of the femur |
| 12 | 8 | Clear cell sarcoma | 1.4 | Hemi-orchiectomy right | 1.5 | HR-C/R | SIOP 2001 protocol: chemotherapy CED 6500 mg/m2 and radiotherapy: 10 Gy |
| 13 | 5 | Acute lymphoblastic leukaemia | 3.3 | No | - | HR-C/R | EORTC 58081 AR1 protocol: chemotherapy CED 3266 mg/m2 |
| 14 | 6 | Hodgkin lymphoma | 8.1 | Hemi-orchiectomy right | 8.1 | HR-C/R | Euronet PHL C1 protocol: chemotherapy CED 2632 mg/m2 |
| 15 | 4 | Burkitt lymphoma | 6.9 | No | - | HR-C/R | UKCCSG 2003 B protocol: chemotherapy CED 4432 mg/m2 |
| 16 | 4 | Myelodysplastic syndrome | 0.8 | Hemi-orchiectomy right | 0.8 | RIC | Personalised conditioning protocol: chemotherapy CED 0 mg/m2 |
| 17 | 5 | Hodgkin lymphoma | 5.0; relapse at 8.6 | Hemi-orchiectomy left | 5.0 | HR-C/R | Euronet PHL C1/relapse protocol: chemotherapy CED 18,984 mg/m2 and 11,454 mg/m2 cisplatin |
| 18 | 2 | Sickle cell disease | 0.0 | Orchiectomy right | 6.0 | MAC | Bu/Cy conditioning protocol: chemotherapy CED 8860 mg/m2 and 4.5 years hydroxyurea before banking |
| 19 | 5 | Acute lymphoblastic leukaemia | 2.1; relapse at 4.6 | Hemi-orchiectomy right | 4.9 | MAC | EORTC 58081 protocol before banking/IntReALL HR protocol: chemotherapy CED 3997 mg/m2 |
| 20 | 5 | Severe medullary aplasia | 7.9 | Hemi-orchiectomy right | 8.3 | 2 × RIC | Personalised conditioning protocol: chemotherapy CED 15,500 mg/m2 and radiotherapy: 2 Gy total body irradiation |
| 21 (HST) | 24 | Acute lymphoblastic leukaemia | 3.0 | No | - | MAC | EORTC 58951 VHR protocol: chemotherapy CED 1527 mg/m2 and radiotherapy: 12 Gy total body irradiation |
| 22 (HST) | 1 | Optic pathway glioma | 5.5 | No | - | HR-C/R | SIOP-LGG 2004 protocol: chemotherapy CED 1539 mg/m2 and 64 mg/m2 cisplatin and radiotherapy: 50.4 Gy |
| 23 (HST) | 13 | Optic pathway glioma | 0.8 | No | - | HR-C/R | SIOP-LGG 2001 protocol: chemotherapy CED 0 mg/m2 and 7196 mg/m2 carboplatin |
| Patient Number | Age (Years) | Tanner Stage | BMI (kg/m2)/ Z-Score | Testicular Volume Left/Right (mL) | LH (IU/L) | FSH (IU/L) | T (µg/L) | INHB (ng/L) | AMH (µg/L) | Bone Age (Years) | Total Bone Density (mg/mL)/Z-Score |
|---|---|---|---|---|---|---|---|---|---|---|---|
| 1 | 8.0 | G1 | 13.1/−2.3 | 0.3 */0.2 | <0.3 | 0.6 | <0.1 | 27.6 | 50.4 | 8.0 | 259.0/−1.0 |
| 14.0 | G3 | 14.4/−2.3 | 1.2 */0.8 | 1.5 | 6.8 | 0.9 | 76.1 | - | 13.5 | 297.9/0.1 | |
| 2 | 12.4 | G1 | 16.9/−0.4 | 2.3/1.9 | <0.3 | 0.6 | <0.1 | 122.2 | 118.0 | 13.0 | - |
| 14.7 | G3 | - | - | 3.3 | 0.9 | 3.9 | 371.8 | 69.2 | - | - | |
| 3 | 14.4 | G4 | 15.4/−2.1 | 6.0/3.1 | 2.0 | 9.7 | 2.0 | 70.3 | 9.4 | 14.0 | - |
| 17.5 | G5 | 18.0/−1.5 | - | 9.2 | 15.0 | 6.7 | 70.9 | 9.7 | - | - | |
| 4 | 8.6 | G1 | 28.7/2.8 | 1.2/0.9 | <0.3 | 0.9 | <0.1 | 90.4 | 59.7 | 10.0 | 243.3/−1.5 |
| 13.6 | G2 | 32.1/2.3 | 3.3/1.5 | 3.8 | 2.0 | 0.7 | 267.1 | 66.3 | 14.0 | 265.5/−0.8 | |
| 5 | 16.7 | G5 | - | 7.3/5.3 * | 6.6 | 7.3 | 3.9 | 116.7 | 7.9 | 18.0 | - |
| 17.8 | G5 | 30.9/2.3 | - | 6.5 | 5.9 | 4.7 | 83.6 | 6.3 | - | - | |
| 6 | 15.7 | G4 | 17.3/−1.4 | 4.0/3.5 * | 3.6 | 4.6 | 2.5 | 136.7 | 9.2 | - | 282.3/−0.9 |
| 17.6 | G4 | - | - | 5.6 | 4.9 | 5.3 | 232.9 | 6.3 | - | - | |
| 7 | 18.0 | G4 | 16/−3.0 | - | 12.8 | 18.6 | 7.3 | 27.1 | - | - | - |
| - | - | - | - | - | - | - | - | - | - | - | |
| 8 | 8.0 | G1 | 15.4/−0.3 | 0.2 */0.2 | <0.3 | 1.6 | <0.1 | 62.5 | 42.8 | 6.0–7.0 | 252.0/−1.4 |
| 13.1 | G1 | 18.8/0.2 | 1.6 */1.6 | 2.9 | 14.7 | 2.7 | 167.5 | 40.4 | 13.0 | 264.7/−0.8 | |
| 9 | 16.0 | G5 | 20.0/0.1 | 4.8 */6.0 | 3.8 | 6.0 | 5.4 | 89.3 | 5.0 | 18.0 | 299.7/−0.8 |
| 18.1 | G5 | - | 5.0 */8.6 | - | - | - | - | - | - | - | |
| 10 | 4.9 | G1 | 15.6/0.1 | 0.2 */0.2 | <0.3 | 0.3 | <0.1 | 29.8 | 13.7 | - | - |
| 9.0 | G1 | 17.1/0.5 | - | <0.3 | 0.7 | <0.1 | 89.5 | 28.6 | - | - | |
| 11 | 13.5 | G4 | 14.2/−2.7 | 3.8/1.4 * | 3.7 | 3.8 | 5.9 | 159.7 | - | 13.0–13.5 | - |
| 17.6 | G5 | 17.1/−2.0 | 15.0/4.0 * | 9.3 | 6.5 | 8.7 | 38.1 | - | - | 276.3/−1.9 | |
| 12 | 5.3 | G1 | - | 0.2/0.2 * | <0.3 | 0.7 | <0.1 | - | - | - | - |
| 10.8 | G1 | 14.1/−1.8 | 1.7/0.6 * | 0.9 | 2.7 | 0.2 | 223.7 | 17.9 | 11.0 | 275.8/−0.4 | |
| 13 | 8.6 | G1 | 15.6/−0.3 | 0.4/0.4 | <0.3 | 0.8 | <0.1 | 58.0 | 70.1 | 9.0 | 283.0/−0.3 |
| 13.9 | G3 | 21.0/0.9 | 3.4/4.3 | 4.6 | 6.0 | 1.7 | - | - | 13.0 | 284.1/−0.2 | |
| 14 | 13.7 | G1 | 18.6/0.0 | 1.6/2.1 * | 1.5 | 1.6 | 2.5 | 279.1 | - | 11.5 | 263.1/−0.6 |
| 17.7 | G5 | 20.2/−0.3 | 20.2/7.8 * | 6.0 | 3.3 | 6.2 | 257.4 | 5.3 | - | - | |
| 15 | 14.3 | G5 | 19.3/0.1 | 8.0/10.0 | 2.6 | 2.6 | 7.1 | 223.8 | 5.1 | 15.0 | 251.1/−1.2 |
| 17.5 | G5 | 22.1/0.5 | 16.0/15.5 | 4.7 | 2.8 | 7.2 | 193.0 | 5.0 | 18.0 | - | |
| 16 | 4.1 | G1 | - | 0.3/0.3 * | 0.4 | 1.1 | <0.1 | 95.1 | 45.9 | - | - |
| 6.7 | G1 | - | - | <0.3 | 0.9 | <0.1 | - | - | - | 252.1/−1.4 | |
| 17 | 12.3 | G1 | 27.7/2.1 | - | 4.0 | 3.2 | 1.5 | 172.8 | - | - | - |
| 16.1 | G5 | - | - | 8.6 | 8.4 | 3.0 | 229.7 | - | - | - | |
| 18 | 16.7 | G5 | 27.3/1.7 | 9.4/0.0 * | 4.7 | 13.0 | 2.8 | 84.4 | 12.0 | 17.0–18.0 | 304.2/−1.1 |
| 17.7 | G5 | 28.4/1.9 | 8.2/0.0 * | 8.5 | 13.8 | 3.2 | 61.3 | 9.6 | 18.0 | - | |
| 19 | 11.4 | G2 | 23.1/1.5 | 2.4/1.1 * | 2.4 | 1.3 | 0.6 | 284.0 | 67.9 | 13.0 | 214.4/−2.1 |
| 15.4 | G5 | 27.4/1.8 | 6.3/2.5 * | 8.6 | 5.8 | 2.7 | 166.1 | 12.1 | 17.0 | 293.7/−1.0 | |
| 20 | 14.0 | G1 | 19.8/0.1 | 3.2/0.5 * | 4.9 | 1.2 | 1.6 | 442.3 | 108.0 | 11.5–12.5 | - |
| 17.9 | G5 | - | - | 6.7 | 15.0 | 5.1 | 112.3 | 41.1 | 16.0–17.0 | - | |
| 21 (HST) | 13.4 # | G2 | 22.9/1.2 | 1.7/2.2 | 6.3 | 19.9 | 1.8 | 50.0 | 2.8 | 13.0 | - |
| 18.2 # | G5 | - | 2.6/2.9 | 12.5 | 19.1 | 1.2 | 35.7 | 2.2 | - | 186.7/−2.0 | |
| 22 (HST) | 17.0 | G5 | 20.6/0.0 | 6.0/5.5 | 5.4 | 3.8 | 7.5 | 135.0 | - | - | 313.5/−1.0 |
| - | - | - | - | - | - | - | - | - | - | - | |
| 23 (HST) | 9.9 # | G2 | 23.0/1.7 | 1.6/2.1 | 2.1 | 1.7 | <0.1 | 72.2 | 65.7 | 11.5 | 263.1/−0.6 |
| 15.5 | G5 | 24.9/1.4 | 5.8/11.9 | 4.2 | 3.4 | 4.0 | 190.1 | - | 17.0 | 197.1/−0.5 |
Disclaimer/Publisher’s Note: The statements, opinions and data contained in all publications are solely those of the individual author(s) and contributor(s) and not of MDPI and/or the editor(s). MDPI and/or the editor(s) disclaim responsibility for any injury to people or property resulting from any ideas, methods, instructions or products referred to in the content. |
© 2026 by the authors. Licensee MDPI, Basel, Switzerland. This article is an open access article distributed under the terms and conditions of the Creative Commons Attribution (CC BY) license.
Share and Cite
Delgouffe, E.; Regin, M.; Vloeberghs, V.; Ernst, C.; Tournaye, H.; Gies, I.; Goossens, E. Pubertal Development Following Paediatric Gonadotoxic Treatment and Immature Testicular Tissue Banking. Int. J. Mol. Sci. 2026, 27, 2139. https://doi.org/10.3390/ijms27052139
Delgouffe E, Regin M, Vloeberghs V, Ernst C, Tournaye H, Gies I, Goossens E. Pubertal Development Following Paediatric Gonadotoxic Treatment and Immature Testicular Tissue Banking. International Journal of Molecular Sciences. 2026; 27(5):2139. https://doi.org/10.3390/ijms27052139
Chicago/Turabian StyleDelgouffe, Emily, Marius Regin, Veerle Vloeberghs, Caroline Ernst, Herman Tournaye, Inge Gies, and Ellen Goossens. 2026. "Pubertal Development Following Paediatric Gonadotoxic Treatment and Immature Testicular Tissue Banking" International Journal of Molecular Sciences 27, no. 5: 2139. https://doi.org/10.3390/ijms27052139
APA StyleDelgouffe, E., Regin, M., Vloeberghs, V., Ernst, C., Tournaye, H., Gies, I., & Goossens, E. (2026). Pubertal Development Following Paediatric Gonadotoxic Treatment and Immature Testicular Tissue Banking. International Journal of Molecular Sciences, 27(5), 2139. https://doi.org/10.3390/ijms27052139

