Effects of CSN1/CSN2 Mutants in Flavonoid Metabolism on Rice (Oryza sativa L.)
Abstract
1. Introduction
2. Results
2.1. CSN1 and CSN2 Proteins Are Conserved
2.2. Phenotypic Performance of OsCSN1 Mutants
2.3. Phenotypic Performance of OsCSN2 Mutants
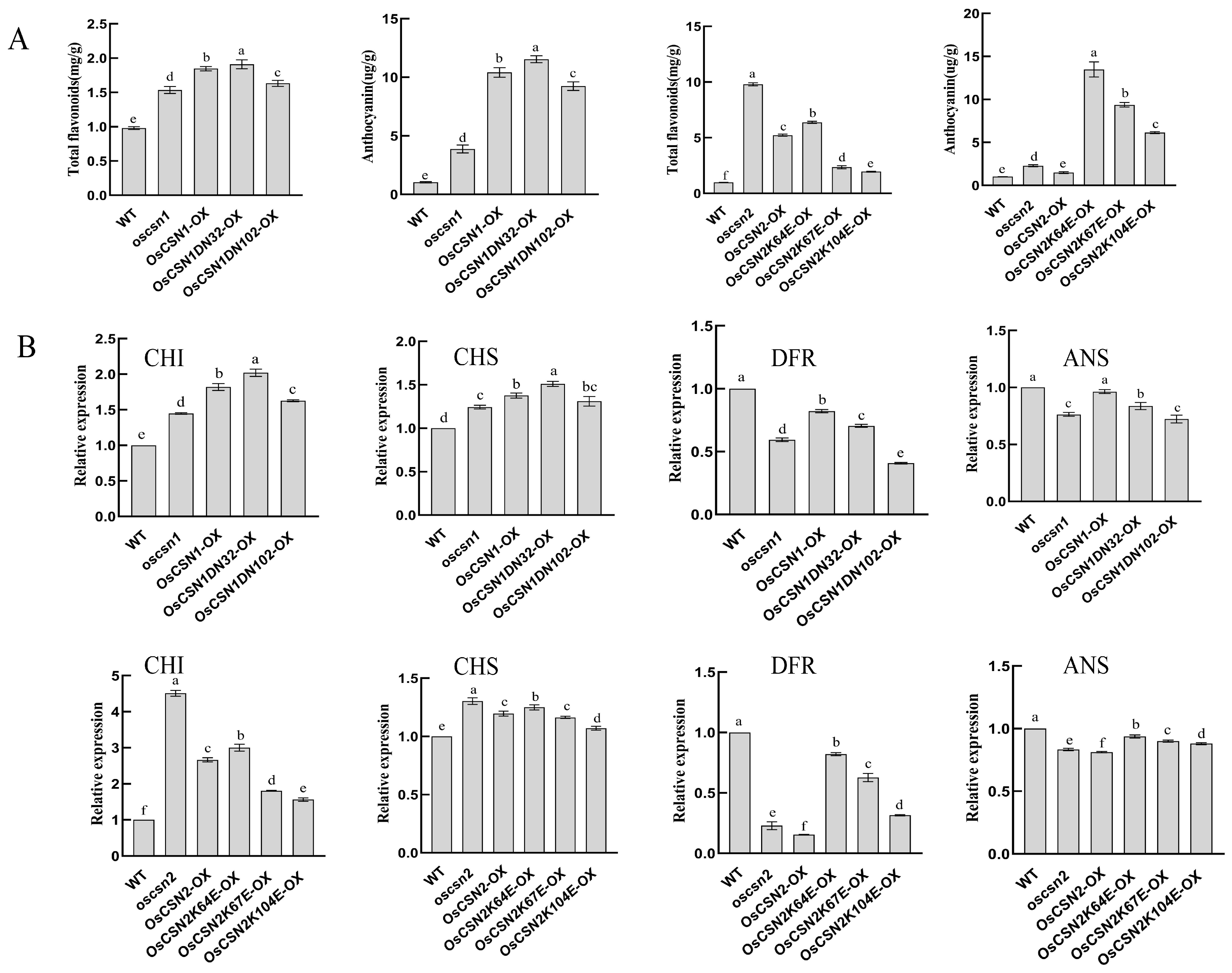
2.4. Total Flavonoids and Anthocyanin Contents of OsCSN1 Mutants Were Significantly Up-Regulated
2.5. Total Flavonoids and Anthocyanin Contents of OsCSN2 Mutants Were Significantly Up-Regulated
2.6. Expression of Flavonoid Biosynthesis OsCHI Gene Was Significantly Up-Regulated and the OsDFR Gene Was Significantly Down-Regulated in OsCSN1 Mutant Glumes
2.7. Expression of Flavonoid Biosynthesis OsCHI Gene Was Significantly Up-Regulated and the OsDFR Gene Was Significantly Down-Regulated in OsCSN2 Mutant Glumes
2.8. OsCSN1/OsCSN2 Interacts with OsCUL4
3. Discussion
4. Materials and Methods
4.1. Rice Materials and Growth Conditions
4.2. Protein Structure and Ubiquitination Site Prediction
4.3. Phenotypic Observation
4.4. Measurement of Total Flavonoid Contents in OsCSN1 and OsCSN2 Mutants
4.5. Measurement of Anthocyanin Contents in OsCSN1 and OsCSN2 Mutants
4.6. Real-Time Quantitative RT-PCR
4.7. Yeast Two-Hybrid Analysis
Author Contributions
Funding
Institutional Review Board Statement
Informed Consent Statement
Data Availability Statement
Acknowledgments
Conflicts of Interest
References
- Shen, N.; Wang, T.; Gan, Q.; Liu, S.; Wang, L.; Jin, B. Plant flavonoids: Classification, distribution, biosynthesis, and antioxidant activity. Food Chem. 2022, 383, 132531. [Google Scholar] [CrossRef]
- Mackon, E.; Jeazet Dongho Epse Mackon, G.C.; Ma, Y.; Haneef Kashif, M.; Ali, N.; Usman, B.; Liu, P. Recent Insights into Anthocyanin Pigmentation, Synthesis, Trafficking, and Regulatory Mechanisms in Rice (Oryza sativa L.) Caryopsis. Biomolecules 2021, 11, 394. [Google Scholar] [CrossRef]
- Yin, Y.C.; Zhang, X.D.; Gao, Z.Q.; Hu, T.; Liu, Y. The Research Progress of Chalcone Isomerase (CHI) in Plants. Mol. Biotechnol. 2019, 61, 32–52. [Google Scholar] [CrossRef] [PubMed]
- Cheng, A.X.; Zhang, X.; Han, X.J.; Zhang, Y.Y.; Gao, S.; Liu, C.J.; Lou, H.X. Identification of chalcone isomerase in the basal land plants reveals an ancient evolution of enzymatic cyclization activity for synthesis of flavonoids. New Phytol. 2018, 217, 909–924. [Google Scholar] [CrossRef] [PubMed]
- Ralston, L.; Subramanian, S.; Matsuno, M.; Yu, O. Partial reconstruction of flavonoid and isoflavonoid biosynthesis in yeast using soybean type I and type II chalcone isomerases. Plant Physiol. 2005, 137, 1375–1388. [Google Scholar] [CrossRef]
- Reuber, S.; Jende-Strid, B.; Wray, V.; Weissenböck, G. Accumulation of the chalcone isosalipurposide in primary leaves of barley flavonoid mutants indicates a defective chalcone isomerase. Physiol. Plant. 2006, 101, 827–832. [Google Scholar] [CrossRef]
- Zhang, S.X.; Shi, Y.Y.; Wang, C.K.; Zhao, D.R.; Yang, Q.S.; Ma, K.L.; Wu, J.W. Cloning and characterization of chalcone synthase and chalcone isomerase genes in Arisaema heterophyllum. China J. Chin. Mater. Medica 2019, 44, 1799–1807. [Google Scholar] [CrossRef]
- Park, S.I.; Park, H.L.; Bhoo, S.H.; Lee, S.W.; Cho, M.H. Biochemical and Molecular Characterization of the Rice Chalcone Isomerase Family. Plants 2021, 10, 2064. [Google Scholar] [CrossRef]
- Diharce, J.; Bignon, E.; Fiorucci, S.; Antonczak, S. Exploring Dihydroflavonol-4-Reductase Reactivity and Selectivity by QM/MM-MD Simulations. ChemBioChem A Eur. J. Chem. Biol. 2022, 23, e202100553. [Google Scholar] [CrossRef]
- Shi, M.Z.; Xie, D.Y. Biosynthesis and metabolic engineering of anthocyanins in Arabidopsis thaliana. Recent Pat. Biotechnol. 2014, 8, 47–60. [Google Scholar] [CrossRef]
- Zhang, Y.; Butelli, E.; Martin, C. Engineering anthocyanin biosynthesis in plants. Curr. Opin. Plant Biol. 2014, 19, 81–90. [Google Scholar] [CrossRef] [PubMed]
- Zhang, X.; Abrahan, C.; Colquhoun, T.A.; Liu, C.J. A Proteolytic Regulator Controlling Chalcone Synthase Stability and Flavonoid Biosynthesis in Arabidopsis. Plant Cell 2017, 29, 1157–1174. [Google Scholar] [CrossRef] [PubMed]
- Wang, X.; Kang, D.; Feng, S.; Serino, G.; Schwechheimer, C.; Wei, N. CSN1 N-terminal-dependent activity is required for Arabidopsis development but not for Rub1/Nedd8 deconjugation of cullins: A structure-function study of CSN1 subunit of COP9 signalosome. Mol. Biol. Cell 2002, 13, 646–655. [Google Scholar] [CrossRef]
- Schulze-Niemand, E.; Naumann, M. The COP9 signalosome: A versatile regulatory hub of Cullin-RING ligases. Trends Biochem. Sci. 2023, 48, 82–95. [Google Scholar] [CrossRef]
- Wei, N.; Serino, G.; Deng, X.W. The COP9 signalosome: More than a protease. Trends Biochem. Sci. 2008, 33, 592–600. [Google Scholar] [CrossRef] [PubMed]
- Qin, N.; Xu, D.; Li, J.; Deng, X.W. COP9 signalosome: Discovery, conservation, activity, and function. J. Integr. Plant Biol. 2020, 62, 90–103. [Google Scholar] [CrossRef]
- Huang, X.; Hetfeld, B.K.; Seifert, U.; Kähne, T.; Kloetzel, P.M.; Naumann, M.; Bech-Otschir, D.; Dubiel, W. Consequences of COP9 signalosome and 26S proteasome interaction. FEBS J. 2005, 272, 3909–3917. [Google Scholar] [CrossRef]
- Wang, D.; Musazade, E.; Wang, H.; Liu, J.; Zhang, C.; Liu, W.; Liu, Y.; Guo, L. Regulatory Mechanism of the Constitutive Photomorphogenesis 9 Signalosome Complex in Response to Abiotic Stress in Plants. J. Agric. Food Chem. 2022, 70, 2777–2788. [Google Scholar] [CrossRef]
- Gusmaroli, G.; Figueroa, P.; Serino, G.; Deng, X.W. Role of the MPN subunits in COP9 signalosome assembly and activity, and their regulatory interaction with Arabidopsis Cullin3-based E3 ligases. Plant Cell 2007, 19, 564–581. [Google Scholar] [CrossRef]
- Deng, X.W.; Dubiel, W.; Wei, N.; Hofmann, K.; Mundt, K.; Colicelli, J.; Kato, J.; Naumann, M.; Segal, D.; Seeger, M.; et al. Unified nomenclature for the COP9 signalosome and its subunits: An essential regulator of development. Trends Genet. TIG 2000, 16, 202–203. [Google Scholar] [CrossRef]
- Scheel, H.; Hofmann, K. Prediction of a common structural scaffold for proteasome lid, COP9-signalosome and eIF3 complexes. BMC Bioinform. 2005, 6, 71. [Google Scholar] [CrossRef] [PubMed]
- Serino, G.; Deng, X.W. The COP9 signalosome: Regulating plant development through the control of proteolysis. Annu. Rev. Plant Biol. 2003, 54, 165–182. [Google Scholar] [CrossRef]
- Castle, L.A.; Meinke, D.W. A FUSCA gene of Arabidopsis encodes a novel protein essential for plant development. Plant Cell 1994, 6, 25–41. [Google Scholar] [CrossRef]
- Miséra, S.; Müller, A.J.; Weiland-Heidecker, U.; Jürgens, G. The FUSCA genes of Arabidopsis: Negative regulators of light responses. Mol. Gen. Genet. 1994, 244, 242–252. [Google Scholar] [CrossRef] [PubMed]
- Kwok, S.F.; Piekos, B.; Misera, S.; Deng, X.W. A complement of ten essential and pleiotropic arabidopsis COP/DET/FUS genes is necessary for repression of photomorphogenesis in darkness. Plant Physiol. 1996, 110, 731–742. [Google Scholar] [CrossRef] [PubMed]
- Pao, K.C.; Wood, N.T.; Knebel, A.; Rafie, K.; Stanley, M.; Mabbitt, P.D.; Sundaramoorthy, R.; Hofmann, K.; van Aalten, D.M.F.; Virdee, S. Activity-based E3 ligase profiling uncovers an E3 ligase with esterification activity. Nature 2018, 556, 381–385. [Google Scholar] [CrossRef]
- Wang, X.; Li, W.; Piqueras, R.; Cao, K.; Deng, X.W.; Wei, N. Regulation of COP1 nuclear localization by the COP9 signalosome via direct interaction with CSN1. Plant J. Cell Mol. Biol. 2009, 58, 655–667. [Google Scholar] [CrossRef]
- Li, W.; Zang, B.; Liu, C.; Lu, L.; Wei, N.; Cao, K.; Deng, X.W.; Wang, X. TSA1 interacts with CSN1/CSN and may be functionally involved in Arabidopsis seedling development in darkness. J. Genet. Genom. 2011, 38, 539–546. [Google Scholar] [CrossRef]
- Lau, O.S.; Deng, X.W. The photomorphogenic repressors COP1 and DET1: 20 years later. Trends Plant Sci. 2012, 17, 584–593. [Google Scholar] [CrossRef]
- Maier, A.; Schrader, A.; Kokkelink, L.; Falke, C.; Welter, B.; Iniesto, E.; Rubio, V.; Uhrig, J.F.; Hülskamp, M.; Hoecker, U. Light and the E3 ubiquitin ligase COP1/SPA control the protein stability of the MYB transcription factors PAP1 and PAP2 involved in anthocyanin accumulation in Arabidopsis. Plant J. Cell Mol. Biol. 2013, 74, 638–651. [Google Scholar] [CrossRef]
- Maier, A.; Hoecker, U. COP1/SPA ubiquitin ligase complexes repress anthocyanin accumulation under low light and high light conditions. Plant Signal. Behav. 2015, 10, e970440. [Google Scholar] [CrossRef] [PubMed]
- Gu, Z.; Men, S.; Zhu, J.; Hao, Q.; Tong, N.; Liu, Z.A.; Zhang, H.; Shu, Q.; Wang, L. Chalcone synthase is ubiquitinated and degraded via interactions with a RING-H2 protein in petals of Paeonia ‘He Xie’. J. Exp. Bot. 2019, 70, 4749–4762. [Google Scholar] [CrossRef] [PubMed]
- Xu, X.; Zhang, X.; Shi, Y.; Wang, H.; Feng, B.; Li, X.; Huang, Q.; Song, L.; Guo, D.; He, Y.; et al. A Point Mutation in an F-Box Domain-Containing Protein Is Responsible for Brown Hull Phenotype in Rice. Rice Sci. 2016, 23, 1–8. [Google Scholar] [CrossRef]
- Musazade, E.; Liu, Y.; Ren, Y.; Wu, M.; Zeng, H.; Han, S.; Gao, X.; Chen, S.; Guo, L. OsCSN1 Regulates the Growth and Development of Rice Seedlings through the Degradation of SLR1 in the GA Signaling Pathway. Agronomy 2022, 12, 2946. [Google Scholar] [CrossRef]
- Han, S.; Liu, Y.; Bao, A.; Zeng, H.; Huang, G.; Geng, M.; Zhang, C.; Zhang, Q.; Lu, J.; Wu, M.; et al. OsCSN1 regulates the growth of rice seedlings through the GA signaling pathway in blue light. J. Plant Physiol. 2023, 280, 153904. [Google Scholar] [CrossRef]
- Han, S.; Yue, W.; Bao, A.; Jiao, T.; Liu, Y.; Zeng, H.; Song, K.; Wu, M.; Guo, L. OsCSN2 orchestrates Oryza sativa L. growth and development through modulation of the GA and BR pathways. Funct. Integr. Genom. 2024, 24, 39. [Google Scholar] [CrossRef]
- Zhang, G.; Yang, J.; Zhang, M.; Li, Q.; Wu, Y.; Zhao, X.; Zhang, H.; Wang, Y.; Wu, J.; Wang, W. Wheat TaPUB1 Regulates Cd Uptake and Tolerance by Promoting the Degradation of TaIRT1 and TaIAA17. J. Agric. Food Chem. 2021, 69, 5818–5829. [Google Scholar] [CrossRef]







| Primer | Sequence (5′-3′) |
|---|---|
| GAPDHF | AAGCCAGCATCCTATGATCAGATT |
| GAPDHR | CGTAACCCAGAATACCCTTGAGTTT |
| Dye-CHIF | CGGACAAGGTGACGGAGAACTG |
| Dye-CHIR | CACCGACGAGTCCTTGGAGAAC |
| Dye-DFRF | CTCCTACGACCACGACGACTG |
| Dye-DFRR | GCCTTCTCCGCCAATGACTTG |
| ID | Position | Code | Kinase | Peptide | Score | Cutoff |
|---|---|---|---|---|---|---|
| LOC4331403 | 77 | K | Cullin RING | EALRMAYDEIKRGEDTMFHRE | 0.6771 | 0.5356 |
| LOC4331404 | 99 | K | Cullin RING | TNKINGRLGPKYALDQAWTDS | 0.7814 | 0.5356 |
| LOC4331405 | 118 | K | Cullin RING | DSVNRRAEQRKEKLESELNGY | 0.7521 | 0.5356 |
| LOC4331406 | 120 | K | Cullin RING | VNRRAEQRKEKLESELNGYRT | 0.8576 | 0.5356 |
| LOC4331407 | 215 | K | Cullin RING | PDTLDPIIVAKLRAAAGLAYL | 0.6024 | 0.5356 |
| LOC4331408 | 228 | K | Cullin RING | AAAGLAYLATKKYKLAARKFV | 0.8792 | 0.5356 |
| LOC4331409 | 229 | K | Cullin RING | AAGLAYLATKKYKLAARKFVE | 0.7519 | 0.5356 |
| LOC4331410 | 231 | K | Cullin RING | GLAYLATKKYKLAARKFVETG | 0.6438 | 0.5356 |
| LOC4331411 | 236 | K | Cullin RING | ATKKYKLAARKFVETGHELGN | 0.7294 | 0.5356 |
| LOC4331412 | 315 | K | Cullin RING | RYGSCLEHLEKLKTNLLLDIH | 0.5609 | 0.5356 |
| LOC4331413 | 340 | K | Cullin RING | VETLYMDIRHKAIIQYTLPFI | 0.7818 | 0.5356 |
| LOC4331414 | 370 | K | Cullin RING | AFMTSVSMLEKELAALITENK | 0.8171 | 0.5356 |
| LOC4331415 | 380 | K | Cullin RING | KELAALITENKIQARIDSHNK | 0.7234 | 0.5356 |
| LOC4331416 | 390 | K | Cullin RING | KIQARIDSHNKILYARHADQR | 0.8165 | 0.5356 |
| LOC4331417 | 419 | K | Cullin RING | QTGNEFERDVKSLLLRANLIK | 0.6202 | 0.5356 |
| LOC4331418 | 429 | K | Cullin RING | KSLLLRANLIKHDFNQRAGQR | 0.7637 | 0.5356 |
| ID | Position | Peptide | Score |
|---|---|---|---|
| LOC4326902 | 34 | DYGFEYSDDEPEEQDVDIENQYYNSKGMVETDPEGALAGFDQVVRMEPEKA | 0.8427517 |
| LOC4326902 | 58 | SKGMVETDPEGALAGFDQVVRMEPEKAEWGFKALKQTVKLYYKLGKYKEMM | 0.9471813 |
| LOC4326902 | 64 | TDPEGALAGFDQVVRMEPEKAEWGFKALKQTVKLYYKLGKYKEMMDAYREM | 0.9540104 |
| LOC4326902 | 67 | EGALAGFDQVVRMEPEKAEWGFKALKQTVKLYYKLGKYKEMMDAYREMLTY | 0.96993667 |
| LOC4326902 | 71 | AGFDQVVRMEPEKAEWGFKALKQTVKLYYKLGKYKEMMDAYREMLTYIKSA | 0.95967704 |
| LOC4326902 | 75 | QVVRMEPEKAEWGFKALKQTVKLYYKLGKYKEMMDAYREMLTYIKSAVTRN | 0.94204646 |
| LOC4326902 | 78 | RMEPEKAEWGFKALKQTVKLYYKLGKYKEMMDAYREMLTYIKSAVTRNYSE | 0.9319285 |
| LOC4326902 | 80 | EPEKAEWGFKALKQTVKLYYKLGKYKEMMDAYREMLTYIKSAVTRNYSEKC | 0.9422908 |
| LOC4326902 | 94 | TVKLYYKLGKYKEMMDAYREMLTYIKSAVTRNYSEKCINNIMDFVSGSASQ | 0.8650559 |
| LOC4326902 | 104 | YKEMMDAYREMLTYIKSAVTRNYSEKCINNIMDFVSGSASQNFSLLQEFYQ | 0.82782507 |
| LOC4326902 | 133 | NIMDFVSGSASQNFSLLQEFYQTTLKALEEAKNERLWFKTNLKLCKIWFDM | 0.41705105 |
| LOC4326902 | 139 | SGSASQNFSLLQEFYQTTLKALEEAKNERLWFKTNLKLCKIWFDMGEYGRM | 0.3682126 |
| LOC4326902 | 146 | FSLLQEFYQTTLKALEEAKNERLWFKTNLKLCKIWFDMGEYGRMSKILKEL | 0.28996027 |
| LOC4326902 | 150 | QEFYQTTLKALEEAKNERLWFKTNLKLCKIWFDMGEYGRMSKILKELHKSC | 0.32226065 |
| LOC4326902 | 153 | YQTTLKALEEAKNERLWFKTNLKLCKIWFDMGEYGRMSKILKELHKSCQRE | 0.30983567 |
| LOC4326902 | 166 | ERLWFKTNLKLCKIWFDMGEYGRMSKILKELHKSCQREDGSDDQKKGTQLL | 0.3631861 |
| LOC4326902 | 169 | WFKTNLKLCKIWFDMGEYGRMSKILKELHKSCQREDGSDDQKKGTQLLEVY | 0.36047456 |
| LOC4326902 | 173 | NLKLCKIWFDMGEYGRMSKILKELHKSCQREDGSDDQKKGTQLLEVYAIEI | 0.4616534 |
| LOC4326902 | 185 | EYGRMSKILKELHKSCQREDGSDDQKKGTQLLEVYAIEIQMYTETKNNKKL | 0.65546364 |
| LOC4326902 | 186 | YGRMSKILKELHKSCQREDGSDDQKKGTQLLEVYAIEIQMYTETKNNKKLK | 0.6424286 |
| LOC4326902 | 205 | GSDDQKKGTQLLEVYAIEIQMYTETKNNKKLKELYTKALSIKSAIPHPRIM | 0.45315334 |
| LOC4326902 | 208 | DQKKGTQLLEVYAIEIQMYTETKNNKKLKELYTKALSIKSAIPHPRIMGII | 0.5273396 |
| LOC4326902 | 209 | QKKGTQLLEVYAIEIQMYTETKNNKKLKELYTKALSIKSAIPHPRIMGIIR | 0.49585915 |
| LOC4326902 | 211 | KGTQLLEVYAIEIQMYTETKNNKKLKELYTKALSIKSAIPHPRIMGIIREC | 0.51503855 |
| LOC4326902 | 216 | LEVYAIEIQMYTETKNNKKLKELYTKALSIKSAIPHPRIMGIIRECGGKMH | 0.69291687 |
| LOC4326902 | 221 | IEIQMYTETKNNKKLKELYTKALSIKSAIPHPRIMGIIRECGGKMHMAERQ | 0.74461395 |
| LOC4326902 | 239 | YTKALSIKSAIPHPRIMGIIRECGGKMHMAERQWADAATDFFEAFKNYDEA | 0.85383016 |
| LOC4326902 | 259 | RECGGKMHMAERQWADAATDFFEAFKNYDEAGNPRRIQCLKYLVLANMLME | 0.8266524 |
| LOC4326902 | 274 | DAATDFFEAFKNYDEAGNPRRIQCLKYLVLANMLMESEVNPFDGQEAKPYK | 0.7578653 |
| LOC4326902 | 296 | QCLKYLVLANMLMESEVNPFDGQEAKPYKNDPEILAMTNLIAAYQKNDIME | 0.513242 |
| LOC4326902 | 299 | KYLVLANMLMESEVNPFDGQEAKPYKNDPEILAMTNLIAAYQKNDIMEFEK | 0.5149573 |
| LOC4326902 | 316 | DGQEAKPYKNDPEILAMTNLIAAYQKNDIMEFEKILKSNRRTIMDDPFIRN | 0.7506085 |
| LOC4326902 | 324 | KNDPEILAMTNLIAAYQKNDIMEFEKILKSNRRTIMDDPFIRNYIEDLLKN | 0.6468158 |
| LOC4326902 | 327 | PEILAMTNLIAAYQKNDIMEFEKILKSNRRTIMDDPFIRNYIEDLLKNIRT | 0.6118461 |
| LOC4326902 | 348 | EKILKSNRRTIMDDPFIRNYIEDLLKNIRTQVLLKLIKPYTRIRIPFISQE | 0.6197059 |
| LOC4326902 | 357 | TIMDDPFIRNYIEDLLKNIRTQVLLKLIKPYTRIRIPFISQELNFPEKDVE | 0.7839972 |
| LOC4326902 | 360 | DDPFIRNYIEDLLKNIRTQVLLKLIKPYTRIRIPFISQELNFPEKDVEQLL | 0.72942513 |
| LOC4326902 | 379 | VLLKLIKPYTRIRIPFISQELNFPEKDVEQLLVSLILDNRIQGHIDQVNKL | 0.425254 |
| LOC4326902 | 403 | EKDVEQLLVSLILDNRIQGHIDQVNKLLERGDRSKGMRKYQAIDKWNTQLK | 0.6757849 |
| LOC4326902 | 412 | SLILDNRIQGHIDQVNKLLERGDRSKGMRKYQAIDKWNTQLKNIYQTVSNR | 0.7673166 |
| LOC4326902 | 416 | DNRIQGHIDQVNKLLERGDRSKGMRKYQAIDKWNTQLKNIYQTVSNRVGXX | 0.84536606 |
| LOC4326902 | 422 | HIDQVNKLLERGDRSKGMRKYQAIDKWNTQLKNIYQTVSNRVGXXXXXXXX | 0.88162065 |
| LOC4326902 | 428 | KLLERGDRSKGMRKYQAIDKWNTQLKNIYQTVSNRVGXXXXXXXXXXXXXX | 0.90721816 |
| ID | Position | Peptide | Score | Cut-off |
|---|---|---|---|---|
| LOC4334588 | 216 | ARVSQLLKAESTGDV | 0.8946 | 0.7 |
| dfr | 9–13 | GEAVKGPVVVTGASGFVGS | 0.8681 | 0.85 |
| dfr | 6 | MGEAVKGPVVVTG | 0.8163 | 0.72 |
| dfr | 372 | AETEALVK | 0.8137 | 0.72 |
| dfr | 9–13 | VGSWLVMKLLQAGYT | 0.7571 | 0.72 |
| dfr | 9–13 | DPENEVVKPTVEGML | 0.725 | 0.72 |
Disclaimer/Publisher’s Note: The statements, opinions and data contained in all publications are solely those of the individual author(s) and contributor(s) and not of MDPI and/or the editor(s). MDPI and/or the editor(s) disclaim responsibility for any injury to people or property resulting from any ideas, methods, instructions or products referred to in the content. |
© 2025 by the authors. Licensee MDPI, Basel, Switzerland. This article is an open access article distributed under the terms and conditions of the Creative Commons Attribution (CC BY) license (https://creativecommons.org/licenses/by/4.0/).
Share and Cite
Yu, X.; Yue, W.; Jia, X.; Zeng, H.; Liu, Y.; Xu, M.; Wu, M.; Guo, L. Effects of CSN1/CSN2 Mutants in Flavonoid Metabolism on Rice (Oryza sativa L.). Int. J. Mol. Sci. 2025, 26, 2677. https://doi.org/10.3390/ijms26062677
Yu X, Yue W, Jia X, Zeng H, Liu Y, Xu M, Wu M, Guo L. Effects of CSN1/CSN2 Mutants in Flavonoid Metabolism on Rice (Oryza sativa L.). International Journal of Molecular Sciences. 2025; 26(6):2677. https://doi.org/10.3390/ijms26062677
Chicago/Turabian StyleYu, Xinhai, Weijie Yue, Xinyue Jia, Hua Zeng, Yanxi Liu, Miao Xu, Ming Wu, and Liquan Guo. 2025. "Effects of CSN1/CSN2 Mutants in Flavonoid Metabolism on Rice (Oryza sativa L.)" International Journal of Molecular Sciences 26, no. 6: 2677. https://doi.org/10.3390/ijms26062677
APA StyleYu, X., Yue, W., Jia, X., Zeng, H., Liu, Y., Xu, M., Wu, M., & Guo, L. (2025). Effects of CSN1/CSN2 Mutants in Flavonoid Metabolism on Rice (Oryza sativa L.). International Journal of Molecular Sciences, 26(6), 2677. https://doi.org/10.3390/ijms26062677

