Revealing the Role of Beesioside O from Actaea vaginata for the Treatment of Breast Cancer Using Network Pharmacology, Molecular Docking, and Molecular Dynamics Simulation
Abstract
1. Introduction
2. Results
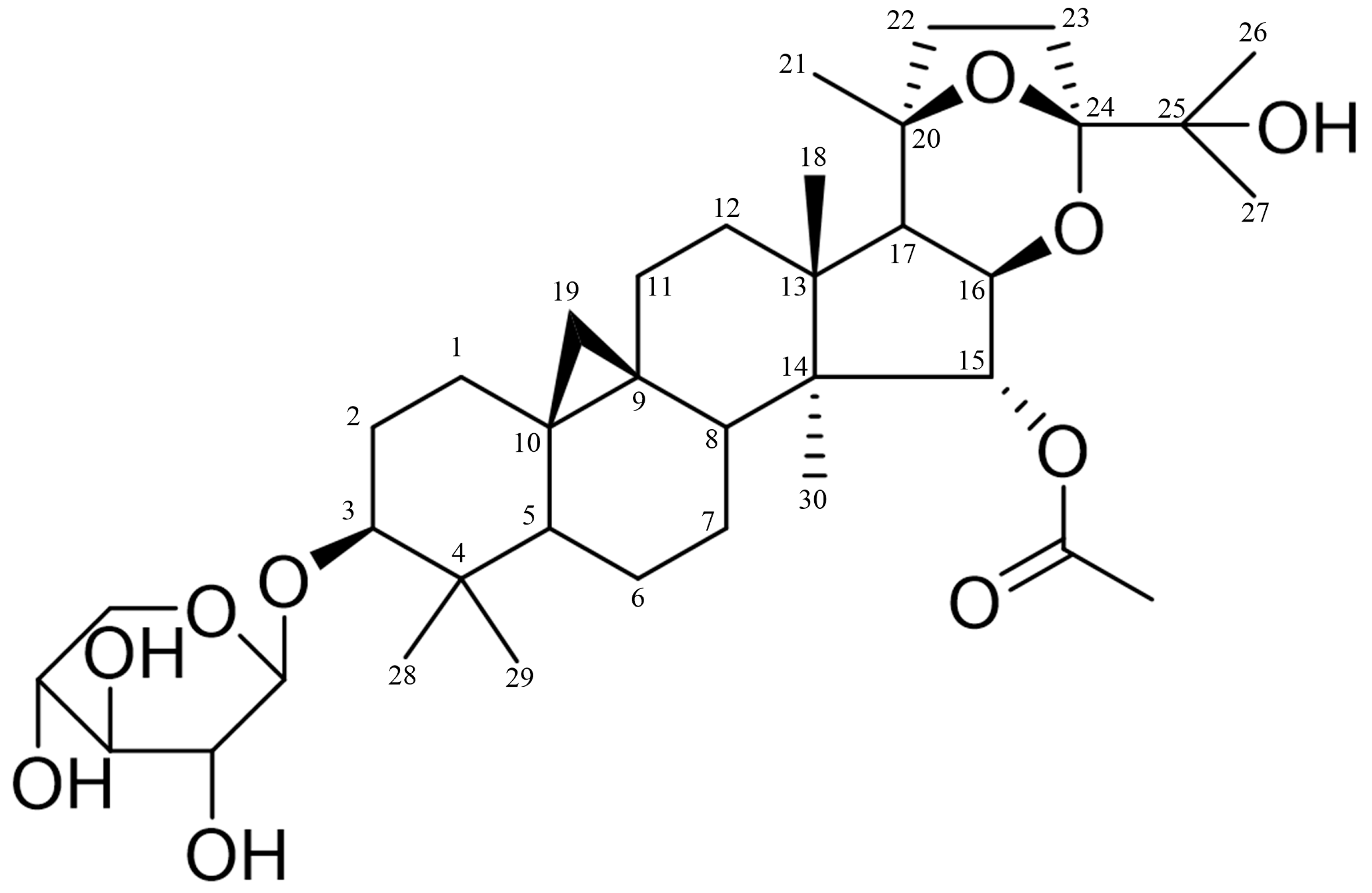
2.1. Chemistry
2.2. ADMET Prediction Results for BO
2.3. Screening of the In Vitro Antitumor Activity of BO
2.4. Verification of BO’s Anti-Breast-Cancer Function in Cellular Models
2.5. Discovery of Targets and Pathways Associated with Breast Cancer
2.6. Recognition of BO-Specific Targets and In-Depth Pathway Examination for Breast Cancer Treatment
2.7. Subcellular Localization Expression Analysis of Key Genes
2.8. Molecular Docking of the Compound and Targets
2.9. Molecular Dynamics Simulation
2.10. Differential Gene Analysis
2.11. Western Blot Verification
3. Materials and Methods
3.1. Reagents
3.2. Cell Lines
3.3. Plant Material
3.4. Separation and Identification of Compounds
3.5. In Silico ADMET Study of BO
3.6. In Vitro Efficacy Screening Assay
3.6.1. Cell Culture Conditions
3.6.2. Cell Cytotoxicity Assay
3.6.3. Colony Formation Assay
3.6.4. Transwell Invasion Assays
3.7. Gathering of BO and Breast-Cancer-Associated Target Genes
3.8. Protein–Protein Interaction (PPI) Network Construction and Central Target Analysis of the BO–Breast Cancer Interaction
3.9. GO and KEGG Pathway Enrichment Analyses
3.10. Pathway Map Analysis of Breast Cancer and BO-Associated Targets
3.11. Assessment of Clinical Significance
3.12. Molecular Docking
3.13. Molecular Dynamics Simulation
3.14. Western Blot
3.15. Statistical Analysis
4. Discussion
5. Conclusions
Supplementary Materials
Author Contributions
Funding
Institutional Review Board Statement
Informed Consent Statement
Data Availability Statement
Acknowledgments
Conflicts of Interest
References
- Arnold, M.; Morgan, E.; Rumgay, H.; Mafra, A.; Singh, D.; Laversanne, M.; Vignat, J.; Gralow, J.R.; Cardoso, F.; Siesling, S.; et al. Current and future burden of breast cancer: Global statistics for 2020 and 2040. Breast 2022, 66, 15–23. [Google Scholar] [CrossRef] [PubMed]
- He, S.; Xia, C.; Li, H.; Cao, M.; Yang, F.; Yan, X.; Zhang, S.; Teng, Y.; Li, Q.; Chen, W. Cancer profiles in China and comparisons with the USA: A comprehensive analysis in the incidence, mortality, survival, staging, and attribution to risk factors. Sci. China Life. Sci. 2024, 67, 122–131. [Google Scholar] [CrossRef]
- Park, M.; Kim, D.; Ko, S.; Kim, A.; Mo, K.; Yoon, H. Breast Cancer Metastasis: Mechanisms and Therapeutic Implications. Int. J. Mol. Sci. 2022, 23, 6806. [Google Scholar] [CrossRef] [PubMed]
- Kim, M.Y. Breast Cancer Metastasis. Adv. Exp. Med. Biol. 2021, 1187, 183–204. [Google Scholar]
- Allemani, C.; Weir, H.K.; Carreira, H.; Harewood, R.; Spika, D.; Wang, X.-S.; Bannon, F.; Ahn, J.V.; Johnson, C.J.; Bonaventure, A.; et al. CONCORD Working Group. Global surveillance of cancer survival 1995–2009: Analysis of individual data for 25,676,887 patients from 279 population-based registries in 67 countries (CONCORD-2). Lancet 2015, 385, 977–1010. [Google Scholar] [CrossRef] [PubMed]
- Nthontho, K.C.; Ndlovu, A.K.; Sharma, K.; Kasvosve, I.; Hertz, D.L.; Paganotti, G.M. Pharmacogenetics of Breast Cancer Treatments: A Sub-Saharan Africa Perspective. Pharmgenomics Pers. Med. 2022, 15, 613–652. [Google Scholar] [CrossRef]
- Harbeck, N.; Gnant, M. Breast cancer. Lancet 2017, 389, 1134–1150. [Google Scholar] [CrossRef]
- Tse, T.; Sehdev, S.; Seely, J.; Gravel, D.H.; Clemons, M.; Cordeiro, E.; Arnaout, A. Neoadjuvant Chemotherapy in Breast Cancer: Review of the Evidence and Conditions That Facilitated Its Use during the Global Pandemic. Curr. Oncol. 2021, 28, 1338–1347. [Google Scholar] [CrossRef]
- Montemurro, F.; Nuzzolese, I.; Ponzone, R. Neoadjuvant or adjuvant chemotherapy in early breast cancer? Expert Opin. Pharmacother. 2020, 21, 1071–1082. [Google Scholar] [CrossRef]
- Lev, S. Targeted therapy and drug resistance in triple-negative breast cancer: The EGFR axis. Biochem. Soc. Trans. 2020, 48, 657–665. [Google Scholar] [CrossRef]
- Mu, L.; Xu, H.; Hong, Y.; Zhou, W.; Wang, L.; Liu, P.; Chen, M.; Hu, Y. Chemical compositions of Souliea vaginata (Maxim) Franch rhizome and their potential therapeutic effects on collagen-induced arthritis in rats. J. Ethnopharmacol. 2023, 310, 116416. [Google Scholar] [CrossRef] [PubMed]
- Zou, Q.-Y.; Ma, Y.-H.; Morris-Natschke, S.L.; Li, X.-Y.; Shi, L.-C.; Ma, G.-X.; Xu, X.; Yang, M.; Zhao, Z.-J.; Li, Y.-X.; et al. Recent progress on triterpenoid derivatives and their anticancer potential. Phytochemistry 2025, 229, 114257. [Google Scholar]
- Hu, Z.-Y.; Sui, Q.-H.; Jin, X.; Shan, G.-Y.; Huang, Y.-W.; Yi, Y.-J.; Zeng, D.-J.; Zhao, M.-N.; Zhan, C.; Wang, Q.; et al. IL6-STAT3-C/EBPβ-IL6 positive feedback loop in tumor-associated macrophages promotes the EMT and metastasis of lung adenocarcinoma. J. Exp. Clin. Cancer Res. 2024, 43, 63. [Google Scholar] [CrossRef] [PubMed]
- Zhang, G.-A.; Hou, S.; Li, S.-Y.; Wang, Y.-Q.; Cui, W. Role of STAT3 in cancer cell epithelial-mesenchymal transition (Review). Int. J. Oncol. 2024, 64, 48. [Google Scholar] [CrossRef]
- Fan, Y.; Zhang, R.; Wang, C.; Pan, M.; Geng, F.; Zhong, Y.; Su, H.; Kou, Y.; Mo, X.; Lefai, E.; et al. STAT3 activation of SCAP-SREBP-1 signaling upregulates fatty acid synthesis to promote tumor growth. J. Biol. Chem. 2024, 300, 107351. [Google Scholar] [CrossRef]
- Guanizo, A.C.; Luong, Q.; Jayasekara, W.S.N.; de Geus, E.D.; Inampudi, C.; Xue, V.S.; Chen, J.; de Weerd, N.A.; Matthews, A.Y.; Gantier, M.P.; et al. A STAT3-STING-IFN axis controls the metastatic spread of small cell lung cancer. Nat. Immunol. 2024, 25, 2259–2269. [Google Scholar] [CrossRef]
- Ju, J.-H.; Lin, G.; Yang, J.-S.; Lu, H.-Y.; Ma, B.-N.; Nie, S.-Q.; Zhang, X. Structures and pharmacological activities of beesiosides O and P. Yao Xue Xue Bao 2002, 37, 788–792. [Google Scholar]
- Xiong, G.; Wu, Z.; Yi, J.; Fu, L.; Yang, Z.; Hsieh, C.; Yin, M.; Zeng, X.; Wu, C.; Lu, A.; et al. ADMETlab 2.0: An integrated online platform for accurate and comprehensive predictions of ADMET properties. Nucleic Acids Res. 2021, 49, W5–W14. [Google Scholar] [CrossRef]
- Zhang, Y.; Li, S.; Cui, X.-G.; Wang, Y.-L. microRNA-944 inhibits breast cancer cell proliferation and promotes cell apoptosis by reducing SPP1 through inactivating the PI3K/Akt pathway. Apoptosis 2023, 28, 1546–1563. [Google Scholar] [CrossRef]
- Dong, C.; Wu, J.; Chen, Y.; Nie, J.-Y.; Chen, C.-S. Activation of PI3K/AKT/mTOR Pathway Causes Drug Resistance in Breast Cancer. Front. Pharmacol. 2021, 12, 628690. [Google Scholar]
- Alves, C.L.; Ditzel, H.J. Drugging the PI3K/AKT/mTOR Pathway in ER+ Breast Cancer. Int. J. Mol. Sci. 2023, 24, 4522. [Google Scholar] [CrossRef] [PubMed]
- Kachamakova-Trojanowska, N.; Podkalicka, P.; Bogacz, T.; Barwacz, S.; Józkowicz, A.; Dulak, J.; Łoboda, A. HIF-1 stabilization exerts anticancer effects in breast cancer cells in vitro and in vivo. Biochem. Pharmacol. 2020, 175, 113922. [Google Scholar] [CrossRef]
- Zheng, Z.-Y.; Xu, T.; Liu, Z.-Y.; Tian, W.-Y.; Jiang, Z.-H.; Zhu, G.-Y.; Li, T.; Gao, J.; Bai, L.-P. Cryptolepine suppresses breast adenocarcinoma via inhibition of HIF-1 mediated glycolysis. Biomed. Pharmacother. 2022, 153, 113319. [Google Scholar] [CrossRef] [PubMed]
- Balamurugan, K.; Mendoza-Villanueva, D.; Sharan, S.; Summers, G.H.; Dobrolecki, L.E.; Lewis, M.T.; Sterneck, E. C/EBPδ links IL-6 and HIF-1 signaling to promote breast cancer stem cell-associated phenotypes. Oncogene 2018, 38, 3765–3780. [Google Scholar] [CrossRef]
- Wang, T.; Wang, P.-H.; Wang, S.; Ma, Y.; Zhao, Z.-Q.; Long, F.-Y. Wogonin Diminishes Radioresistance of Breast Cancer via Inhibition of the Nrf2/HIF-1 Pathway. Am. J. Chin. Med. 2023, 51, 2243–2262. [Google Scholar] [CrossRef] [PubMed]
- Vaganova, A.N.; Maslennikova, D.D.; Konstantinova, V.V.; Kanov, E.V.; Gainetdinov, R.R. The Expression of Trace Amine-Associated Receptors (TAARs) in Breast Cancer Is Coincident with the Expression of Neuroactive Ligand-Receptor Systems and Depends on Tumor Intrinsic Subtype. Biomolecules 2023, 13, 1361. [Google Scholar] [CrossRef]
- Mikó, E.; Kovács, T.; Sebő, É.; Tóth, J.; Csonka, T.; Ujlaki, G.; Sipos, A.; Szabó, J.; Méhes, G.; Bai, P. Microbiome-Microbial Metabolome-Cancer Cell Interactions in Breast Cancer-Familiar, but Unexplored. Cells 2019, 8, 293. [Google Scholar] [CrossRef]
- Chanmee, T.; Ontong, P.; Izumikawa, T.; Higashide, M.; Mochizuki, N.; Chokchaitaweesuk, C.; Khansai, M.; Nakajima, K.; Kakizaki, I.; Kongtawelert, P.; et al. Hyaluronan Production Regulates Metabolic and Cancer Stem-like Properties of Breast Cancer Cells via Hexosamine Biosynthetic Pathway-coupled HIF-1 Signaling. J. Biol. Chem. 2016, 291, 24105–24120. [Google Scholar] [CrossRef]
- Liu, X.-X.; Xie, P.-L.; Hao, N.; Zhang, M.; Liu, Y.; Liu, P.-J.; Semenza, G.L.; He, J.-J.; Zhang, H.-M. HIF-1-regulated expression of calreticulin promotes breast tumorigenesis and progression through Wnt/β-catenin pathway activation. Proc. Natl. Acad. Sci. USA 2021, 118, e2109144118. [Google Scholar] [CrossRef]
- Yang, H.; Geng, Y.-H.; Wang, P.; Zhang, H.-Q.; Fang, W.-G.; Tian, X.-X. Extracellular ATP promotes breast cancer chemoresistance via HIF-1α signaling. Cell Death Dis. 2022, 13, 199. [Google Scholar] [CrossRef]
- Jahangiri, A.; Dadmanesh, M.; Ghorban, K. Suppression of STAT3 by S31-201 to reduce the production of immunoinhibitory cytokines in a HIF1-α-dependent manner: A study on the MCF-7 cell line. Vitr. Cell. Dev. Biol. Anim. 2018, 54, 743–748. [Google Scholar] [CrossRef]
- Pawlus, M.R.; Wang, L.; Hu, C.-J. STAT3 and HIF1α cooperatively activate HIF1 target genes in MDA-MB-231 and RCC4 cells. Oncogene 2014, 33, 1670–1679. [Google Scholar] [CrossRef] [PubMed]
- Liang, H.-Y.; Yin, G.-L.; Shi, G.-X.; Liu, Z.-Y.; Liu, X.-F.; Li, J.-W. Echinacoside regulates PI3K/AKT/HIF-1α/VEGF cross signaling axis in proliferation and apoptosis of breast cancer. Anal. Biochem. 2024, 684, 115360. [Google Scholar] [CrossRef]
- Dogan Unlu, M.; Asci, S.; Asci, H.; Agirca Tasan, S.; Ozmen, O.; Taner, R.; Demirci, S. Lercanidipine ameliorated doxorubicin-induced neuroinflammation and maintained the expressions of choline acetyltransferase via enhancing the levels of PI3K/AKT/HIF1-α expressions. Mol. Biol. Rep. 2024, 51, 300. [Google Scholar] [CrossRef]
- Wang, Y.-F.; Wang, X.; Wang, H.-Z.; Bao, J.-F.; Jia, N.; Huang, H.-M.; Li, A.-Q. PTEN protects kidney against acute kidney injury by alleviating apoptosis and promoting autophagy via regulating HIF1-α and mTOR through PI3K/Akt pathway. Exp. Cell Res. 2021, 406, 112729. [Google Scholar] [CrossRef] [PubMed]
- Siersbæk, R.; Scabia, V.; Nagarajan, S.; Chernukhin, I.; Papachristou, E.K.; Broome, R.; Johnston, S.J.; Joosten, S.E.P.; Green, A.R.; Kumar, S. IL6/STAT3 Signaling Hijacks Estrogen Receptor α Enhancers to Drive Breast Cancer Metastasis. Cancer Cell 2020, 38, 412–423. [Google Scholar] [CrossRef] [PubMed]
- Huseni, M.A.; Wang, L.-F.; Klementowicz, J.E.; Yuen, K.; Breart, B.; Orr, C.; Liu, L.-F.; Li, Y.-J.; Gupta, V.; Li, C.-F.; et al. CD8+ T cell-intrinsic IL-6 signaling promotes resistance to anti-PD-L1 immunotherapy. Cell Rep. Med. 2023, 4, 100878. [Google Scholar] [CrossRef]
- You, Y.-T.; Chen, X.-M.; Chen, X.-H.; Li, H.; Zhou, R.-S.; Zhou, J.; Chen, M.-L.; Peng, B.-Z.; Ji, S.; Kwan, H.Y. Jiawei Yanghe Decoction suppresses breast cancer by regulating immune responses via JAK2/STAT3 signaling pathway. J. Ethnopharmacol. 2023, 316, 116358. [Google Scholar] [CrossRef]
- Lin, J.-C.; Fang, W.-S.; Xiang, Z.; Wang, Q.-Q.; Cheng, H.-P.; Chen, S.-M.; Fang, J.; Liu, J.; Wang, Q.; Lu, Z.-M. Glycolytic enzyme HK2 promotes PD-L1 expression and breast cancer cell immune evasion. Front. Immunol. 2023, 14, 1189953. [Google Scholar] [CrossRef]
- Xu, F.-F.; Sun, H.-M.; Fang, R.-P.; Zhang, L.; Shi, H.; Wang, X.; Fu, X.-L.; Li, X.-M.; Shi, X.-H.; Wu, Y.; et al. The modulation of PD-L1 induced by the oncogenic HBXIP for breast cancer growth. Acta. Pharmacol. Sin. 2021, 43, 429–445. [Google Scholar] [CrossRef]
- Liu, L.-W.; Yang, M.-Y.; Zhou, M.; Li, J.-J.; Liu, B.; Pan, Y.-Y. Improvement of cytotoxicity of autologous CIKs from patients with breast cancer to MCF-7 cells by suppressed PD-1 expression. Cancer Biomark. 2017, 20, 609–615. [Google Scholar] [CrossRef] [PubMed]
- Dong, X.; Dai, H.; Lin, Y.; Sheng, X.; Li, Y.; Wang, Y.; Zhang, X.; Jiang, S.H.; Yin, W.; Lu, J. TIMELESS upregulates PD-L1 expression and exerts an immunosuppressive role in breast cancer. J. Transl. Med. 2023, 21, 400. [Google Scholar] [CrossRef]
- Courtnay, R.; Ngo, D.C.; Malik, N.; Ververis, K.; Tortorella, S.M.; Karagiannis, T.C. Cancer metabolism and the Warburg effect: The role of HIF-1 and PI3K. Mol. Biol. Rep. 2015, 42, 841–851. [Google Scholar] [CrossRef]
- Zeng, L.; Morinibu, A.; Kobayashi, M.; Zhu, Y.; Wang, X.; Goto, Y.; Yeom, C.J.; Zhao, T.; Hirota, K.; Shinomiya, K.; et al. Aberrant IDH3α expression promotes malignant tumor growth by inducing HIF-1-mediated metabolic reprogramming and angiogenesis. Oncogene 2014, 34, 4758–4766. [Google Scholar] [CrossRef] [PubMed]
- Cao, L.; Wang, M.; Dong, Y.; Xu, B.; Chen, J.; Ding, Y.; Qiu, S.; Li, L.; Zaharieva, E.K.; Zhou, X.; et al. Circular RNA circRNF20 promotes breast cancer tumorigenesis and Warburg effect through miR-487a/HIF-1α/HK2. Cell Death Dis. 2020, 11, 145. [Google Scholar] [CrossRef]
- de Heer, E.C.; Jalving, M.; Harris, A.L. HIFs, angiogenesis, and metabolism: Elusive enemies in breast cancer. J. Clin. Investig. 2020, 130, 5074–5087. [Google Scholar] [CrossRef] [PubMed]
- Chen, F.; Chen, J.; Yang, L.; Liu, J.; Zhang, X.; Zhang, Y.; Tu, Q.; Yin, D.; Lin, D.; Wong, P.-P.; et al. Extracellular vesicle-packaged HIF-1α-stabilizing lncRNA from tumour-associated macrophages regulates aerobic glycolysis of breast cancer cells. Nat. Cell. Biol. 2019, 21, 498–510. [Google Scholar] [CrossRef]
- Mastromarino, M.; Lacivita, E.; Colabufo, N.A.; Leopoldo, M. G-Protein Coupled Receptors Involved in the Resolution of Inflammation: Ligands and Therapeutic Perspectives. Mini. Rev. Med. Chem. 2020, 20, 2090–2103. [Google Scholar] [CrossRef]
- Vanessa, G.; Margot, L.; Charlène, T.; Kévin, B.; Isabelle, G.; Lyssia, B.; Géraldine, T.; Caroline, M.; Virginie, T.; Christophe, B.; et al. Triggering the resolution of inflammation with agonistic anti-ChemR23 antibody dampens inflammation-driven carcinogenesis. Cancer Res. 2021, 81, 1766. [Google Scholar]
- Zhou, Z.-H.; Xu, N.-B.; Matei, N.; McBride, D.W.; Ding, Y.; Liang, H.; Tang, J.-P.; Zhang, J.H. Sodium butyrate attenuated neuronal apoptosis via GPR41/Gβγ/PI3K/Akt pathway after MCAO in rats. J. Cereb. Blood Flow Metab. 2020, 41, 267–281. [Google Scholar] [CrossRef]
- Gao, D.; Jin, N.; Fu, Y.; Zhu, Y.; Wang, Y.; Wang, T.; Chen, Y.; Zhang, M.; Xiao, Q.; Huang, M.; et al. Rational drug design of benzothiazole-based derivatives as potent signal transducer and activator of transcription 3 (STAT3) signaling pathway inhibitors. Eur. J. Med. Chem. 2021, 216, 113333. [Google Scholar] [CrossRef] [PubMed]
- Niu, Z.-Q.; Liu, Y.-N.; Zhou, D.-Y.; Feng, J.-L.; Hu, Y.-Y.; He, Z.-L.; Shen, T.; Piao, J.-P.; Wu, H.-F.; Hu, W.-C. Ginsenoside F2 from the leaves of Panax ginseng alleviates DSS-induced ulcerative colitis: An in silico analysis and in vivo investigation. Ind. Crops Prod. 2025, 225, 120458. [Google Scholar] [CrossRef]
- Zeng, S.; Li, X.; Zhao, Z.; Lin, Y.; Zhu, Y.; Ma, G.; Zhao, X.; Xu, X.; Wu, M.; Wu, H.; et al. Two new cycloartane triterpenoid glycosides from the rhizomes of Actaea vaginata. Nat. Prod. Res. 2023, 37, 99–106. [Google Scholar] [CrossRef]
- Wu, H.; Yang, Q.; Li, X.; Zhu, Y.; Dong, Z.; Ma, G.; Xu, X.; Chen, G.; Ai, X.; Zou, Q.; et al. Soulieoside U, a new cycloartane triterpene glycoside from Actaea vaginata. Nat. Prod. Res. 2022, 36, 560–565. [Google Scholar] [CrossRef]
- Dinakar, Y.H.; Kumar, H.; Mudavath, S.L.; Jain, R.; Ajmeer, R.; Jain, V. Role of STAT3 in the initiation, progression, proliferation and metastasis of breast cancer and strategies to deliver JAK and STAT3 inhibitors. Life Sci. 2022, 309, 120996. [Google Scholar] [CrossRef] [PubMed]
- Zhou, X.; Zhao, J.; Yan, T.; Ye, D.; Wang, Y.; Zhou, B.; Liu, D.; Wang, X.; Zheng, W.; Zheng, B.; et al. ANXA9 facilitates S100A4 and promotes breast cancer progression through modulating STAT3 pathway. Cell Death Dis. 2024, 15, 260. [Google Scholar] [CrossRef]
- Yang, Q.; Zhao, S.; Shi, Z.; Cao, L.; Liu, J.; Pan, T.; Zhou, D.; Zhang, J. Chemotherapy-elicited exosomal miR-378a-3p and miR-378d promote breast cancer stemness and chemoresistance via the activation of EZH2/STAT3 signaling. J. Exp. Clin. Cancer Res. 2021, 40, 120. [Google Scholar] [CrossRef]
- Zhang, J.; Li, Y.; Wang, J.-G.; Feng, J.; Huang, G.; Luo, C. Dihydroartemisinin Affects STAT3/DDA1 Signaling Pathway and Reverses Breast Cancer Resistance to Cisplatin. Am. J. Chin. Med. 2023, 51, 445–459. [Google Scholar] [CrossRef]
- Chen, W.; Wang, H.; Cheng, M.; Ni, L.; Zou, L.; Yang, Q.; Cai, X.; Jiao, B. Isoharringtonine inhibits breast cancer stem-like properties and STAT3 signaling. Biomed. Pharmacother. 2018, 103, 435–442. [Google Scholar] [CrossRef]
- Zhao, G.; Ren, Y.; Yan, J.; Zhang, T.; Lu, P.; Lei, J.; Rao, H.; Kang, X.; Cao, Z.; Peng, F. Neoprzewaquinone A Inhibits Breast Cancer Cell Migration and Promotes Smooth Muscle Relaxation by Targeting PIM1 to Block ROCK2/STAT3 Pathway. Int. J. Mol. Sci. 2023, 24, 5464. [Google Scholar] [CrossRef]
- Huang, R.; Xu, M.; Guo, W.; Cheng, M.; Dong, R.; Tu, J.; Xu, S.; Zou, C. Network pharmacology and experimental verification-based strategy for exploring the mechanisms of luteolin in the treatment of osteosarcoma. Cancer Cell Int. 2023, 23, 213. [Google Scholar] [CrossRef] [PubMed]
- Zhang, T.; Zhou, C.; Lv, M.; Yu, J.; Cheng, S.; Cui, X.; Wan, X.; Ahmad, M.; Xu, B.; Qin, J.; et al. Trifluoromethyl quinoline derivative targets inhibiting HDAC1 for promoting the acetylation of histone in cervical cancer cells. Eur. J. Pharm. Sci. 2024, 194, 106706. [Google Scholar] [CrossRef] [PubMed]
- Zhou, H.; Bai, L.; Xu, R.; Zhao, Y.; Chen, J.; McEachern, D.; Chinnaswamy, K.; Wen, B.; Dai, L.-P.; Kumar, P. Structure-Based Discovery of SD-36 as a Potent, Selective, and Efficacious PROTAC Degrader of STAT3 Protein. J. Med. Chem. 2019, 62, 11280–11300. [Google Scholar] [CrossRef] [PubMed]
- Jia, H.; Wang, X.; Liu, W.; Qin, X.; Hu, B.; Ma, Q.; Lv, C.; Lu, J. Cimicifuga dahurica extract inhibits the proliferation, migration and invasion of breast cancer cells MDA-MB-231 and MCF-7 in vitro and in vivo. J. Ethnopharmacol. 2021, 277, 114057. [Google Scholar] [CrossRef]
- Li, X.; Wang, W.; Fan, Y.; Wei, Y.; Yu, L.-Q.; Wei, J.-F.; Wang, Y.-F. Anticancer efficiency of cycloartane triterpenoid derivatives isolated from Cimicifuga yunnanensis Hsiao on triple-negative breast cancer cells. Cancer Manag. Res. 2018, 10, 6715–6729. [Google Scholar] [CrossRef]













| Cell Line | IC50 (μM) |
|---|---|
| SW480 | >100 |
| Huh7 | >100 |
| 4T1 | 32.14 |
| SHSY5Y | 86.91 |
| HepG2 | 21.17 |
| MCF-7 | 13.83 |
| MDA-MB-231 | 16.52 |
| Gene Name | Breast Cancer Cell Lines | Main Location |
|---|---|---|
| HSP90AA1 | MCF-7, MDA-MB-231, SK-BR-3, et (n = 62) | Cytosol |
| HSP90AB1 | MCF-7, MDA-MB-231, SK-BR-3, et (n = 62) | Cytosol |
| STAT3 | MCF-7, MDA-MB-231, SK-BR-3, et (n = 62) | Nucleoplasm, Cytosol |
| PIK3CA | MCF-7, MDA-MB-231, SK-BR-3, et (n = 62) | Primary cilium, Cytosol, Microtubules, Mitochondria |
| HIF1A | MCF-7, MDA-MB-231, SK-BR-3, et (n = 62) | Nucleoplasm, Nuclear bodies |
| MTOR | MCF-7, MDA-MB-231, SK-BR-3, et (n = 62) | Golgi apparatus, Cytosol |
| NFKB1 | MCF-7, MDA-MB-231, SK-BR-3, et (n = 62) | Nucleoplasm, Cytosol |
| Gene Name | PDB-ID | Energy kcal/mol |
|---|---|---|
| HIF1A | 4H6J | −5.53 |
| STAT3 | 6NUQ | −6.78 |
| HSP90AA1 | 2YK9 | >0 |
| HSP90AB1 | 3NUQ | >0 |
| PIK3CA | 5DXT | >0 |
| MTOR | 4JSX | >0 |
| NFKB1 | 1SVC | −6.55 |
| Differences (Complex–Receptor–Ligand): | |||
|---|---|---|---|
| Energy Component | Average | Std. Dev. | Std. Err. of the Mean |
| VDWAALS | −30.78 | 2.56 | 0.25 |
| EEL | −15.04 | 6.20 | 0.62 |
| EGB | 24.96 | 3.93 | 0.39 |
| ESURF | −3.84 | 0.33 | 0.03 |
| DELTA G gas | −45.83 | 7.14 | 0.71 |
| DELTA G solv | 21.12 | 3.70 | 0.37 |
| DELTA TOTAL | −24.71 | 3.94 | 0.39 |
| Differences (Complex–Receptor–Ligand): | |||
|---|---|---|---|
| Energy Component | Average | Std. Dev. | Std. Err. of the Mean |
| VDWAALS | −30.78 | 2.56 | 0.25 |
| EEL | −15.04 | 6.20 | 0.62 |
| EPB | 28.03 | 3.88 | 0.39 |
| ENPOLAR | −3.45 | 0.14 | 0.01 |
| DELTA G gas | −45.83 | 7.14 | 0.71 |
| DELTA G solv | 24.58 | 3.80 | 0.38 |
| DELTA TOTAL | −21.25 | 4.56 | 0.45 |
Disclaimer/Publisher’s Note: The statements, opinions and data contained in all publications are solely those of the individual author(s) and contributor(s) and not of MDPI and/or the editor(s). MDPI and/or the editor(s) disclaim responsibility for any injury to people or property resulting from any ideas, methods, instructions or products referred to in the content. |
© 2025 by the authors. Licensee MDPI, Basel, Switzerland. This article is an open access article distributed under the terms and conditions of the Creative Commons Attribution (CC BY) license (https://creativecommons.org/licenses/by/4.0/).
Share and Cite
Li, S.; Lu, J.; Xue, H.; Lou, Y.; Liu, J.; Wang, Y.; Wu, H.; Chen, X. Revealing the Role of Beesioside O from Actaea vaginata for the Treatment of Breast Cancer Using Network Pharmacology, Molecular Docking, and Molecular Dynamics Simulation. Int. J. Mol. Sci. 2025, 26, 2283. https://doi.org/10.3390/ijms26052283
Li S, Lu J, Xue H, Lou Y, Liu J, Wang Y, Wu H, Chen X. Revealing the Role of Beesioside O from Actaea vaginata for the Treatment of Breast Cancer Using Network Pharmacology, Molecular Docking, and Molecular Dynamics Simulation. International Journal of Molecular Sciences. 2025; 26(5):2283. https://doi.org/10.3390/ijms26052283
Chicago/Turabian StyleLi, Shuyang, Juan Lu, Hongwei Xue, Yang Lou, Jia Liu, Yutian Wang, Haifeng Wu, and Xi Chen. 2025. "Revealing the Role of Beesioside O from Actaea vaginata for the Treatment of Breast Cancer Using Network Pharmacology, Molecular Docking, and Molecular Dynamics Simulation" International Journal of Molecular Sciences 26, no. 5: 2283. https://doi.org/10.3390/ijms26052283
APA StyleLi, S., Lu, J., Xue, H., Lou, Y., Liu, J., Wang, Y., Wu, H., & Chen, X. (2025). Revealing the Role of Beesioside O from Actaea vaginata for the Treatment of Breast Cancer Using Network Pharmacology, Molecular Docking, and Molecular Dynamics Simulation. International Journal of Molecular Sciences, 26(5), 2283. https://doi.org/10.3390/ijms26052283

