The Impact of Steatotic Liver Disease on Cytokine and Chemokine Kinetics During Sepsis
Abstract
1. Introduction
2. Results
2.1. Baseline Patients’ Characteristics
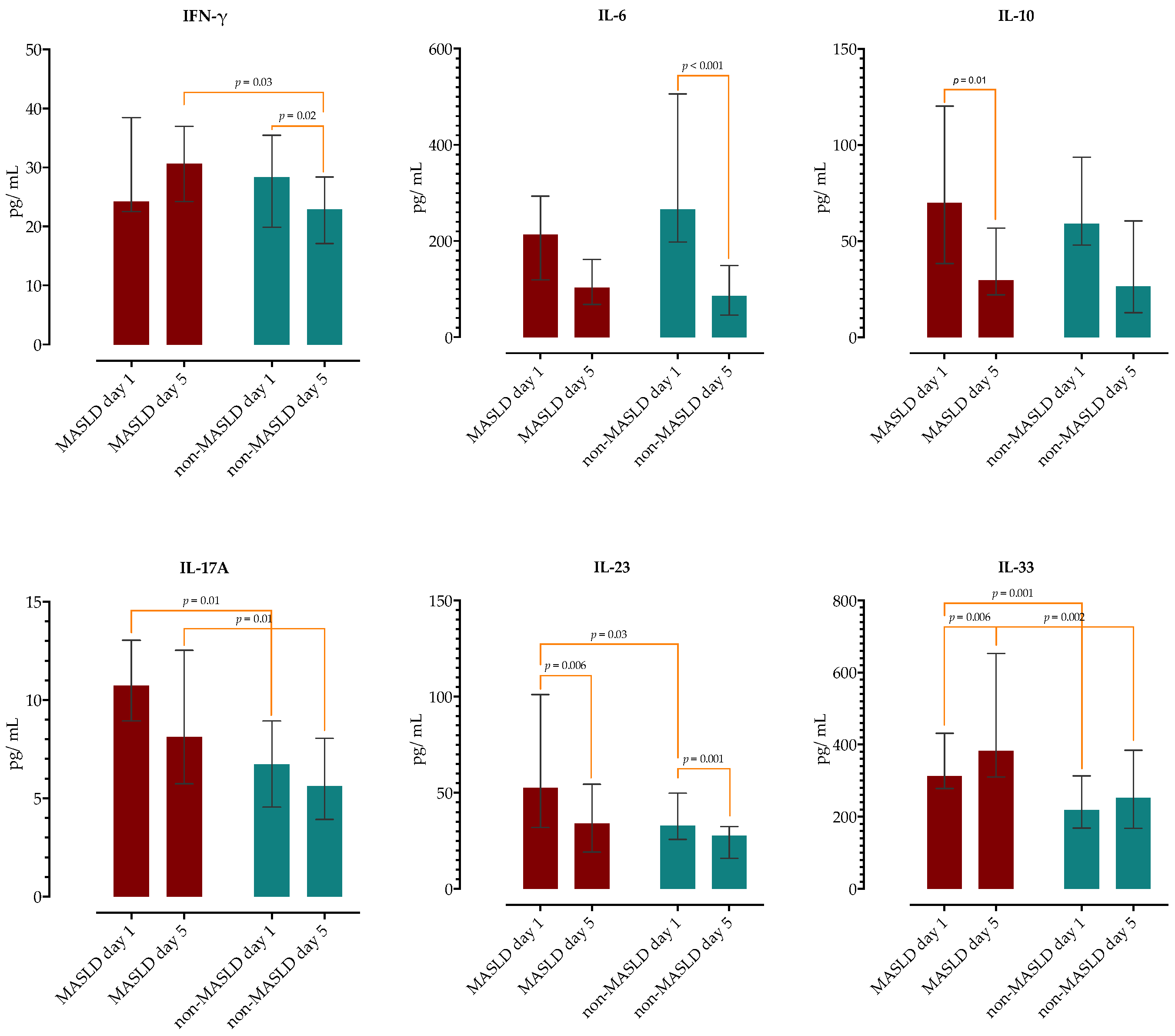
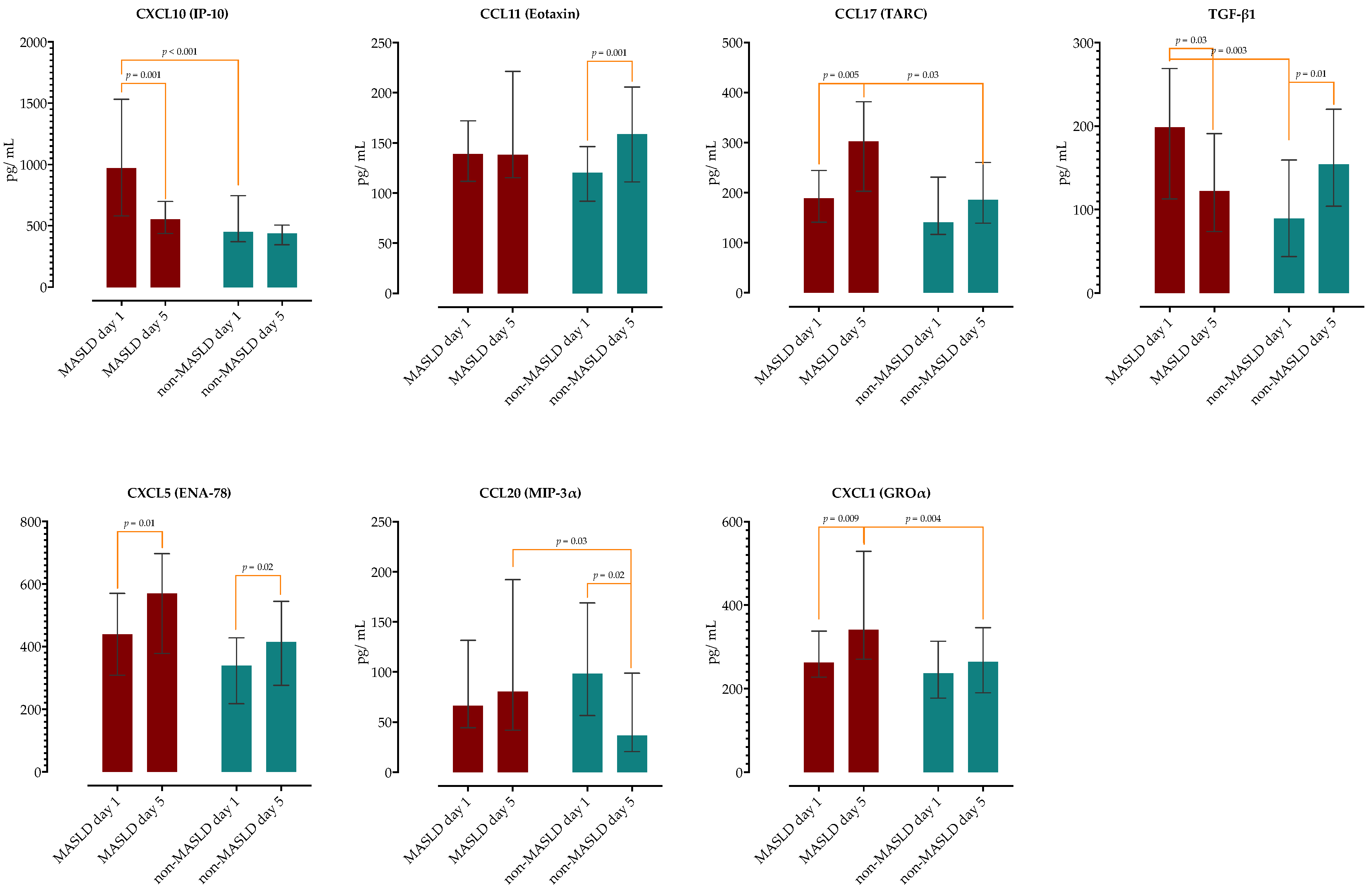
2.2. Analysis of Cytokine and Chemokine Profiles in Septic Patients with MASLD
2.3. Association of Cytokine and Chemokine Serum Concentrations with Sepsis Severity in Patients with and Without MASLD
2.4. Analysis of Cytokine and Chemokine Kinetics with Sepsis Survival in Patients with MASLD
3. Discussion
4. Materials and Methods
4.1. Study Design and Population
4.2. Data Collection and Definitions
4.3. Cytokine and Chemokine Measurement in the Patients’ Sera
4.4. Statistical Analysis
5. Conclusions
Supplementary Materials
Author Contributions
Funding
Institutional Review Board Statement
Informed Consent Statement
Data Availability Statement
Acknowledgments
Conflicts of Interest
Abbreviations
- The following abbreviations are used in this manuscript:
| ALP | Alkaline phosphatase |
| ALT | Alanine aminotransferase |
| APACHE | Acute Physiology and Chronic Health Evaluation |
| AST | Aspartate aminotransferase |
| BMI | Body mass index |
| CAP | Controlled attenuation parameter |
| CCL | Chemokine (C-C motif) ligand |
| CRP | C-reactive protein |
| CXCL | Chemokine (C-X-C motif) ligand |
| FAST | FibroScan-AST score |
| GGT | Gamma-glutamyl transferase |
| HDL | High-density lipoprotein |
| IFN | Interferon |
| IL | Interleukin |
| INR | International normalized ratio |
| IQR | Interquartile ranges |
| LDH | Lactate dehydrogenase |
| LDL | Low-density lipoprotein |
| MASLD | Metabolic dysfunction-associated steatotic liver disease |
| MetS | Metabolic syndrome |
| SOFA | Sequential Organ Failure Assessment |
| T2DM | Diabetes mellitus type 2 |
| TGF-β1 | Transforming growth factor beta |
| WBC | White-blood-cell count |
| WHR | Waist–hip ratio |
| WHtR | Waist–height ratio |
References
- Singer, M.; Deutschman, C.S.; Seymour, C.W.; Shankar-Hari, M.; Annane, D.; Bauer, M.; Bellomo, R.; Bernard, G.R.; Chiche, J.D.; Coopersmith, C.M.; et al. The Third International Consensus Definitions for Sepsis and Septic Shock (Sepsis-3). JAMA 2016, 315, 801–810. [Google Scholar] [CrossRef]
- Arora, J.; Mendelson, A.A.; Fox-Robichaud, A. Sepsis: Network pathophysiology and implications for early diagnosis. Am. J. Physiol. Regul. Integr. Comp. Physiol. 2023, 324, R613–R624. [Google Scholar] [CrossRef] [PubMed]
- Freitas-Lopes, M.A.; Mafra, K.; David, B.A.; Carvalho-Gontijo, R.; Menezes, G.B. Differential Location and Distribution of Hepatic Immune Cells. Cells 2017, 6, 48. [Google Scholar] [CrossRef] [PubMed]
- Rinella, M.E.; Lazarus, J.V.; Ratziu, V.; Francque, S.M.; Sanyal, A.J.; Kanwal, F.; Romero, D.; Abdelmalek, M.F.; Anstee, Q.M.; Arab, J.P.; et al. A multisociety Delphi consensus statement on new fatty liver disease nomenclature. J. Hepatol. 2023, 79, 1542–1556. [Google Scholar] [CrossRef] [PubMed]
- Younossi, Z.M.; Koenig, A.B.; Abdelatif, D.; Fazel, Y.; Henry, L.; Wymer, M. Global epidemiology of nonalcoholic fatty liver disease-Meta-analytic assessment of prevalence, incidence, and outcomes. Hepatology 2016, 64, 73–84. [Google Scholar] [CrossRef]
- Duan, Y.; Pan, X.; Luo, J.; Xiao, X.; Li, J.; Bestman, P.L.; Luo, M. Association of Inflammatory Cytokines With Non-Alcoholic Fatty Liver Disease. Front. Immunol. 2022, 13, 880298. [Google Scholar] [CrossRef]
- Nseir, W.B.; Mograbi, J.M.; Amara, A.E.; Abu Elheja, O.H.; Mahamid, M.N. Non-alcoholic fatty liver disease and 30-day all-cause mortality in adult patients with community-acquired pneumonia. QJM 2019, 112, 95–99. [Google Scholar] [CrossRef]
- Gjurasin, B.; Jelicic, M.; Kutlesa, M.; Papic, N. The Impact of Nonalcoholic Fatty Liver Disease on Severe Community-Acquired Pneumonia Outcomes. Life 2022, 13, 36. [Google Scholar] [CrossRef]
- Hegyi, P.J.; Vancsa, S.; Ocskay, K.; Dembrovszky, F.; Kiss, S.; Farkas, N.; Eross, B.; Szakacs, Z.; Hegyi, P.; Par, G. Metabolic Associated Fatty Liver Disease Is Associated With an Increased Risk of Severe COVID-19: A Systematic Review With Meta-Analysis. Front. Med. 2021, 8, 626425. [Google Scholar] [CrossRef]
- Vrsaljko, N.; Samadan, L.; Viskovic, K.; Mehmedovic, A.; Budimir, J.; Vince, A.; Papic, N. Association of Nonalcoholic Fatty Liver Disease With COVID-19 Severity and Pulmonary Thrombosis: CovidFAT, a Prospective, Observational Cohort Study. Open Forum Infect. Dis. 2022, 9, ofac073. [Google Scholar] [CrossRef]
- Nseir, W.; Artul, S.; Nasrallah, N.; Mahamid, M. The association between primary bacteremia of presumed gastrointestinal origin and nonalcoholic fatty liver disease. Dig. Liver Dis. 2016, 48, 343–344. [Google Scholar] [CrossRef] [PubMed]
- Papic, N.; Jelovcic, F.; Karlovic, M.; Maric, L.S.; Vince, A. Nonalcoholic fatty liver disease as a risk factor for Clostridioides difficile infection. Eur. J. Clin. Microbiol. Infect. Dis. 2020, 39, 569–574. [Google Scholar] [CrossRef] [PubMed]
- Samadan, L.; Jelicic, M.; Vince, A.; Papic, N. Nonalcoholic Fatty Liver Disease—A Novel Risk Factor for Recurrent Clostridioides difficile Infection. Antibiotics 2021, 10, 780. [Google Scholar] [CrossRef]
- Nseir, W.; Amara, A.; Farah, R.; Ahmad, H.S.; Mograbi, J.; Mahamid, M. Non-alcoholic Fatty Liver Disease is Associated with Recurrent Urinary Tract Infection in Premenopausal Women Independent of Metabolic Syndrome. Isr. Med. Assoc. J. 2019, 21, 386–389. [Google Scholar] [PubMed]
- Krznaric, J.; Papic, N.; Vrsaljko, N.; Gjurasin, B.; Kutlesa, M.; Vince, A. Steatotic Liver Disease and Sepsis Outcomes—A Prospective Cohort Study (SepsisFAT). J. Clin. Med. 2024, 13, 798. [Google Scholar] [CrossRef]
- Lyu, X.; Liu, B.; Li, Y.; Wang, Y.; Miskovsky, J.; Gaitanis, M.; Promrat, K.; Wu, W.C. Impact of Non-Alcoholic Fatty Liver Disease on Sepsis Inpatient Outcomes: A Nationwide Sample Analysis (2000–2019). J. Clin. Med. 2024, 13, 5737. [Google Scholar] [CrossRef]
- Paik, J.M.; Eberly, K.E.; Kabbara, K.; Harring, M.; Younossi, Y.; Henry, L.; Verma, M.; Younossi, Z.M. Non-alcoholic fatty liver disease is associated with greater risk of 30-day hospital readmission in the United States (U.S.). Ann. Hepatol. 2023, 28, 101108. [Google Scholar] [CrossRef]
- Newsome, P.N.; Sasso, M.; Deeks, J.J.; Paredes, A.; Boursier, J.; Chan, W.K.; Yilmaz, Y.; Czernichow, S.; Zheng, M.H.; Wong, V.W.; et al. FibroScan-AST (FAST) score for the non-invasive identification of patients with non-alcoholic steatohepatitis with significant activity and fibrosis: A prospective derivation and global validation study. Lancet Gastroenterol. Hepatol. 2020, 5, 362–373. [Google Scholar] [CrossRef]
- Papic, N.; Samadan, L.; Vrsaljko, N.; Radmanic, L.; Jelicic, K.; Simicic, P.; Svoboda, P.; Lepej, S.Z.; Vince, A. Distinct Cytokine Profiles in Severe COVID-19 and Non-Alcoholic Fatty Liver Disease. Life 2022, 12, 795. [Google Scholar] [CrossRef]
- Susak, F.; Vrsaljko, N.; Vince, A.; Papic, N. TGF Beta as a Prognostic Biomarker of COVID-19 Severity in Patients with NAFLD-A Prospective Case-Control Study. Microorganisms 2023, 11, 1571. [Google Scholar] [CrossRef]
- van Vught, L.A.; Scicluna, B.P.; Hoogendijk, A.J.; Wiewel, M.A.; Klein Klouwenberg, P.M.; Cremer, O.L.; Horn, J.; Nurnberg, P.; Bonten, M.M.; Schultz, M.J.; et al. Association of diabetes and diabetes treatment with the host response in critically ill sepsis patients. Crit. Care 2016, 20, 252. [Google Scholar] [CrossRef]
- Farooq, N.; Chuan, B.; Mahmud, H.; El Khoudary, S.R.; Nouraie, S.M.; Evankovich, J.; Yang, L.; Dunlap, D.; Bain, W.; Kitsios, G.; et al. Association of the systemic host immune response with acute hyperglycemia in mechanically ventilated septic patients. PLoS ONE 2021, 16, e0248853. [Google Scholar] [CrossRef]
- Schuetz, P.; Yano, K.; Sorasaki, M.; Ngo, L.; St Hilaire, M.; Lucas, J.M.; Aird, W.; Shapiro, N.I. Influence of diabetes on endothelial cell response during sepsis. Diabetologia 2011, 54, 996–1003. [Google Scholar] [CrossRef]
- Kolyva, A.S.; Zolota, V.; Mpatsoulis, D.; Skroubis, G.; Solomou, E.E.; Habeos, I.G.; Assimakopoulos, S.F.; Goutzourelas, N.; Kouretas, D.; Gogos, C.A. The role of obesity in the immune response during sepsis. Nutr. Diabetes 2014, 4, e137. [Google Scholar] [CrossRef]
- Petronilho, F.; Giustina, A.D.; Nascimento, D.Z.; Zarbato, G.F.; Vieira, A.A.; Florentino, D.; Danielski, L.G.; Goldim, M.P.; Rezin, G.T.; Barichello, T. Obesity Exacerbates Sepsis-Induced Oxidative Damage in Organs. Inflammation 2016, 39, 2062–2071. [Google Scholar] [CrossRef] [PubMed]
- de Nooijer, A.H.; Antonakos, N.; Markopoulou, D.; Grondman, I.; Kox, M.; Pickkers, P.; Giamarellos-Bourboulis, E.J.; Netea, M.G. The Role of Obesity and Plasma Adipocytokines in Immune Dysregulation in Sepsis Patients. Shock 2023, 59, 344–351. [Google Scholar] [CrossRef] [PubMed]
- Hillenbrand, A.; Knippschild, U.; Weiss, M.; Schrezenmeier, H.; Henne-Bruns, D.; Huber-Lang, M.; Wolf, A.M. Sepsis induced changes of adipokines and cytokines-septic patients compared to morbidly obese patients. BMC Surg. 2010, 10, 26. [Google Scholar] [CrossRef] [PubMed]
- Hotchkiss, R.S.; Karl, I.E. The pathophysiology and treatment of sepsis. N. Engl. J. Med. 2003, 348, 138–150. [Google Scholar] [CrossRef]
- Wang, H.; Ma, S. The cytokine storm and factors determining the sequence and severity of organ dysfunction in multiple organ dysfunction syndrome. Am. J. Emerg. Med. 2008, 26, 711–715. [Google Scholar] [CrossRef]
- Tsirigotis, P.; Chondropoulos, S.; Gkirkas, K.; Meletiadis, J.; Dimopoulou, I. Balanced control of both hyper and hypo-inflammatory phases as a new treatment paradigm in sepsis. J. Thorac. Dis. 2016, 8, E312–E316. [Google Scholar] [CrossRef]
- Giles, D.A.; Moreno-Fernandez, M.E.; Divanovic, S. IL-17 Axis Driven Inflammation in Non-Alcoholic Fatty Liver Disease Progression. Curr. Drug Targets 2015, 16, 1315–1323. [Google Scholar] [CrossRef] [PubMed]
- Vujovic, A.; Isakovic, A.M.; Misirlic-Dencic, S.; Juloski, J.; Mirkovic, M.; Cirkovic, A.; Djelic, M.; Milosevic, I. IL-23/IL-17 Axis in Chronic Hepatitis C and Non-Alcoholic Steatohepatitis-New Insight into Immunohepatotoxicity of Different Chronic Liver Diseases. Int. J. Mol. Sci. 2023, 24, 12483. [Google Scholar] [CrossRef]
- Ahmed Ali, M.; Mikhael, E.S.; Abdelkader, A.; Mansour, L.; El Essawy, R.; El Sayed, R.; Eladawy, A.; Mukhtar, A. Interleukin-17 as a predictor of sepsis in polytrauma patients: A prospective cohort study. Eur. J. Trauma Emerg. Surg. 2018, 44, 621–626. [Google Scholar] [CrossRef] [PubMed]
- Guo, J.; Tao, W.; Tang, D.; Zhang, J. Th17/regulatory T cell imbalance in sepsis patients with multiple organ dysfunction syndrome: Attenuated by high-volume hemofiltration. Int. J. Artif. Organs 2017, 40, 607–614. [Google Scholar] [CrossRef]
- Cauvi, D.M.; Williams, M.R.; Bermudez, J.A.; Armijo, G.; De Maio, A. Elevated expression of IL-23/IL-17 pathway-related mediators correlates with exacerbation of pulmonary inflammation during polymicrobial sepsis. Shock 2014, 42, 246–255. [Google Scholar] [CrossRef]
- Jin, H.; Wei, W.; Zhao, Y.; Ma, A.; Sun, K.; Lin, X.; Liu, Q.; Shou, S.; Zhang, Y. The roles of interleukin-17A in risk stratification and prognosis of patients with sepsis-associated acute kidney injury. Kidney Res. Clin. Pract. 2023, 42, 742–750. [Google Scholar] [CrossRef] [PubMed]
- Assis, P.A.; Allen, R.M.; Schaller, M.A.; Kunkel, S.L.; Bermick, J.R. Metabolic reprogramming and dysregulated IL-17 production impairs CD4 T cell function post sepsis. iScience 2024, 27, 110114. [Google Scholar] [CrossRef]
- Morrow, K.N.; Coopersmith, C.M.; Ford, M.L. IL-17, IL-27, and IL-33: A Novel Axis Linked to Immunological Dysfunction During Sepsis. Front. Immunol. 2019, 10, 1982. [Google Scholar] [CrossRef]
- Alves-Filho, J.C.; Sonego, F.; Souto, F.O.; Freitas, A.; Verri, W.A., Jr.; Auxiliadora-Martins, M.; Basile-Filho, A.; McKenzie, A.N.; Xu, D.; Cunha, F.Q.; et al. Interleukin-33 attenuates sepsis by enhancing neutrophil influx to the site of infection. Nat. Med. 2010, 16, 708–712. [Google Scholar] [CrossRef]
- Sun, Z.; Chang, B.; Gao, M.; Zhang, J.; Zou, Z. IL-33-ST2 Axis in Liver Disease: Progression and Challenge. Mediat. Inflamm. 2017, 2017, 5314213. [Google Scholar] [CrossRef]
- Nascimento, D.C.; Melo, P.H.; Pineros, A.R.; Ferreira, R.G.; Colon, D.F.; Donate, P.B.; Castanheira, F.V.; Gozzi, A.; Czaikoski, P.G.; Niedbala, W.; et al. IL-33 contributes to sepsis-induced long-term immunosuppression by expanding the regulatory T cell population. Nat. Commun. 2017, 8, 14919. [Google Scholar] [CrossRef] [PubMed]
- Deng, Z.; Fan, T.; Xiao, C.; Tian, H.; Zheng, Y.; Li, C.; He, J. TGF-beta signaling in health, disease, and therapeutics. Signal Transduct. Target. Ther. 2024, 9, 61. [Google Scholar] [CrossRef] [PubMed]
- Lodyga, M.; Hinz, B. TGF-beta1—A truly transforming growth factor in fibrosis and immunity. Semin. Cell Dev. Biol. 2020, 101, 123–139. [Google Scholar] [CrossRef]
- Wu, H.P.; Chen, C.K.; Chung, K.; Jiang, B.Y.; Yu, T.J.; Chuang, D.Y. Plasma transforming growth factor-beta1 level in patients with severe community-acquired pneumonia and association with disease severity. J. Formos. Med. Assoc. 2009, 108, 20–27. [Google Scholar] [CrossRef]
- de Pablo, R.; Monserrat, J.; Reyes, E.; Diaz, D.; Rodriguez-Zapata, M.; la Hera, A.; Prieto, A.; Alvarez-Mon, M. Sepsis-induced acute respiratory distress syndrome with fatal outcome is associated to increased serum transforming growth factor beta-1 levels. Eur. J. Intern. Med. 2012, 23, 358–362. [Google Scholar] [CrossRef]
- Yeh, F.L.; Shen, H.D.; Fang, R.H. Deficient transforming growth factor beta and interleukin-10 responses contribute to the septic death of burned patients. Burns 2002, 28, 631–637. [Google Scholar] [CrossRef] [PubMed]
- Angurana, S.K.; Bansal, A.; Muralidharan, J.; Aggarwal, R.; Singhi, S. Cytokine Levels in Critically Ill Children With Severe Sepsis and Their Relation With the Severity of Illness and Mortality. J. Intensive Care Med. 2021, 36, 576–583. [Google Scholar] [CrossRef]
- Zheng, R.; Fu, Z.; Zhao, Z. Association of Transforming Growth Factor beta1 Gene Polymorphisms and Inflammatory Factor Levels with Susceptibility to Sepsis. Genet. Test. Mol. Biomarkers 2021, 25, 187–198. [Google Scholar] [CrossRef]
- Lekkou, A.; Mouzaki, A.; Siagris, D.; Ravani, I.; Gogos, C.A. Serum lipid profile, cytokine production, and clinical outcome in patients with severe sepsis. J. Crit. Care 2014, 29, 723–727. [Google Scholar] [CrossRef]
- Casanova, J.L.; MacMicking, J.D.; Nathan, C.F. Interferon-gamma and infectious diseases: Lessons and prospects. Science 2024, 384, eadl2016. [Google Scholar] [CrossRef]
- Kim, E.Y.; Ner-Gaon, H.; Varon, J.; Cullen, A.M.; Guo, J.; Choi, J.; Barragan-Bradford, D.; Higuera, A.; Pinilla-Vera, M.; Short, S.A.; et al. Post-sepsis immunosuppression depends on NKT cell regulation of mTOR/IFN-gamma in NK cells. J. Clin. Investig. 2020, 130, 3238–3252. [Google Scholar] [CrossRef] [PubMed]
- Giamarellos-Bourboulis, E.J.; Antonelli, M.; Bloos, F.; Kotsamidi, I.; Psarrakis, C.; Dakou, K.; Thomas-Ruddel, D.; Montini, L.; Briegel, J.; Damoraki, G.; et al. Interferon-gamma driven elevation of CXCL9: A new sepsis endotype independently associated with mortality. EBioMedicine 2024, 109, 105414. [Google Scholar] [CrossRef] [PubMed]
- Huang, H.; Zhou, H.; Wang, W.; Dai, X.; Li, W.; Chen, J.; Bai, Z.; Pan, J.; Li, X.; Wang, J.; et al. Prediction of acute kidney injury, sepsis and mortality in children with urinary CXCL10. Pediatr. Res. 2022, 92, 541–548. [Google Scholar] [CrossRef] [PubMed]
- Punyadeera, C.; Schneider, E.M.; Schaffer, D.; Hsu, H.Y.; Joos, T.O.; Kriebel, F.; Weiss, M.; Verhaegh, W.F. A biomarker panel to discriminate between systemic inflammatory response syndrome and sepsis and sepsis severity. J. Emerg. Trauma Shock 2010, 3, 26–35. [Google Scholar] [CrossRef]
- Gudowska-Sawczuk, M.; Mroczko, B. What Is Currently Known about the Role of CXCL10 in SARS-CoV-2 Infection? Int. J. Mol. Sci. 2022, 23, 3673. [Google Scholar] [CrossRef]
- Herzig, D.S.; Luan, L.; Bohannon, J.K.; Toliver-Kinsky, T.E.; Guo, Y.; Sherwood, E.R. The role of CXCL10 in the pathogenesis of experimental septic shock. Crit. Care 2014, 18, R113. [Google Scholar] [CrossRef]
- Nagata, N.; Chen, G.; Xu, L.; Ando, H. An Update on the Chemokine System in the Development of NAFLD. Medicina 2022, 58, 761. [Google Scholar] [CrossRef]
- Mohlenberg, M.; Terczynska-Dyla, E.; Thomsen, K.L.; George, J.; Eslam, M.; Gronbaek, H.; Hartmann, R. The role of IFN in the development of NAFLD and NASH. Cytokine 2019, 124, 154519. [Google Scholar] [CrossRef]
- Tarantino, G.; Costantini, S.; Citro, V.; Conforti, P.; Capone, F.; Sorice, A.; Capone, D. Interferon-alpha 2 but not Interferon-gamma serum levels are associated with intramuscular fat in obese patients with nonalcoholic fatty liver disease. J. Transl. Med. 2019, 17, 8. [Google Scholar] [CrossRef]
- Lupancu, T.J.; Eivazitork, M.; Hamilton, J.A.; Achuthan, A.A.; Lee, K.M. CCL17/TARC in autoimmunity and inflammation-not just a T-cell chemokine. Immunol. Cell Biol. 2023, 101, 600–609. [Google Scholar] [CrossRef]
- Molinaro, R.; Pecli, C.; Guilherme, R.F.; Alves-Filho, J.C.; Cunha, F.Q.; Canetti, C.; Kunkel, S.L.; Bozza, M.T.; Benjamim, C.F. CCR4 Controls the Suppressive Effects of Regulatory T Cells on Early and Late Events during Severe Sepsis. PLoS ONE 2015, 10, e0133227. [Google Scholar] [CrossRef] [PubMed][Green Version]
- Jin, L.; Batra, S.; Douda, D.N.; Palaniyar, N.; Jeyaseelan, S. CXCL1 contributes to host defense in polymicrobial sepsis via modulating T cell and neutrophil functions. J. Immunol. 2014, 193, 3549–3558. [Google Scholar] [CrossRef]
- Paudel, S.; Baral, P.; Ghimire, L.; Bergeron, S.; Jin, L.; DeCorte, J.A.; Le, J.T.; Cai, S.; Jeyaseelan, S. CXCL1 regulates neutrophil homeostasis in pneumonia-derived sepsis caused by Streptococcus pneumoniae serotype 3. Blood 2019, 133, 1335–1345. [Google Scholar] [CrossRef] [PubMed]
- Klaus, D.A.; Seemann, R.; Roth-Walter, F.; Einwallner, E.; Motal, M.C.; Tudor, B.; Lebherz-Eichinger, D.; Wiegele, M.; Krenn, C.G.; Roth, G.A. Plasma levels of chemokine ligand 20 and chemokine receptor 6 in patients with sepsis: A case control study. Eur. J. Anaesthesiol. 2016, 33, 348–355. [Google Scholar] [CrossRef] [PubMed]
- Li, Y.; Zhao, Y.; Qiu, C.; Yang, Y.; Liao, G.; Wu, X.; Zhang, X.; Zhang, Q.; Zhang, R.; Wang, Z. Role of eotaxin-1/CCL11 in sepsis-induced myocardial injury in elderly patients. Aging 2020, 12, 4463–4473. [Google Scholar] [CrossRef]
- Jekarl, D.W.; Kim, J.Y.; Ha, J.H.; Lee, S.; Yoo, J.; Kim, M.; Kim, Y. Diagnosis and Prognosis of Sepsis Based on Use of Cytokines, Chemokines, and Growth Factors. Dis. Markers 2019, 2019, 1089107. [Google Scholar] [CrossRef]
- Fan, Z.; Sun, X.; Chen, X.; Liu, H.; Miao, X.; Guo, Y.; Xu, Y.; Li, J.; Zou, X.; Li, Z. C-C motif chemokine CCL11 is a novel regulator and a potential therapeutic target in non-alcoholic fatty liver disease. JHEP Rep. 2023, 5, 100805. [Google Scholar] [CrossRef]
- Tacke, F.; Horn, P.; Wong, V.W.-S.; Ratziu, V.; Bugianesi, E.; Francque, S.; Zelber-Sagi, S.; Valenti, L.; Roden, M.; Schick, F.; et al. EASL-EASD-EASO Clinical Practice Guidelines on the management of metabolic dysfunction-associated steatotic liver disease (MASLD). J. Hepatol. 2024, 81, 492–542. [Google Scholar] [CrossRef]
- Lee, J.; Vali, Y.; Boursier, J.; Spijker, R.; Anstee, Q.M.; Bossuyt, P.M.; Zafarmand, M.H. Prognostic accuracy of FIB-4, NAFLD fibrosis score and APRI for NAFLD-related events: A systematic review. Liver Int. 2021, 41, 261–270. [Google Scholar] [CrossRef]





| MASLD (n = 68) | Non-MASLD (n = 56) | p-Value | |
|---|---|---|---|
| Age, median (IQR) | 65 (58–74) | 64 (46–74) | 0.461 |
| Male, No. (%) | 31 (46%) | 25 (45%) | 1.000 |
| BMI (kg/m2) | 32 (27–39) | 25 (22–28) | <0.001 |
| CAP, db/m | 302 (271–360) | 193 (162–210) | <0.001 |
| Liver stiffness, kPa | 6.6 (5.5–11) | 6.2 (4.2–9.6) | 0.140 |
| Comorbidities | |||
| Diabetes Mellitus | 21 (31%) | 11 (20%) | 0.216 |
| Dyslipidemia | 18 (26%) | 10 (18%) | 0.286 |
| Arterial Hypertension | 43 (63%) | 26 (46%) | 0.071 |
| COPD | 6 (9%) | 2 (4%) | 0.292 |
| Gastritis/GERD | 3 (4%) | 7 (12%) | 0.183 |
| Cardiovascular Disease | 19 (28%) | 15 (27%) | 1.000 |
| Chronic Kidney Disease | 5 (7%) | 3 (5%) | 0.728 |
| Peripheral Vascular Disease | 5 (7%) | 8 (14%) | 0.248 |
| Neurological disease | 7 (10%) | 8 (14%) | 0.584 |
| Smoking | 12 (18%) | 14 (25%) | 0.378 |
| Source of sepsis | |||
| Respiratory Tract | 24 (35%) | 23 (41.07%) | 0.0853 |
| Urinary Tract | 11 (16%) | 12 (21.43%) | |
| GI Tract | 7 (10%) | 3 (5.36%) | |
| Skin | 14 (21%) | 9 (16.07%) | |
| Other ** | 9 (13%) | 7 (13%) | |
| Unknown | 3 (4%) | 2 (4%) | |
| Clinical severity on admission | |||
| SOFA | 3.5 (2–6.8) | 3 (1–6) | 0.434 |
| APACHE II score | 16 (10–23) | 15 (7.8–22) | 0.336 |
| MASLD (n = 68) | Non-MASLD (n = 56) | p-Value | |
|---|---|---|---|
| CRP, mg/L | 236 (158–313) | 224 (137–293) | 0.655 |
| Procalcitonin, µg/L | 1.9 (0.34–25) | 1.7 (0.28–13) | 0.583 |
| Fibrinogen, g/L | 6.1 (5.1–8.3) | 6 (5.1–7.9) | 0.762 |
| Lactate, mmol/L | 1.3 (1.1–3.2) | 1.9 (1.4–2.8) | 0.326 |
| WBC, ×109/L | 14 (8.3–17) | 14 (9.9–19) | 0.757 |
| Lymphocyte count, % | 83 (77–90) | 86 (81–91) | 0.334 |
| Neutrophil count, % | 8.7 (3.8–13) | 6.5 (3.1–11) | 0.248 |
| Neutrophil-lymphocyte ratio | 9.5 (5.7–23) | 13 (6.8–29) | 0.368 |
| Hemoglobin, g/L | 125 (114–138) | 117 (105–131) | 0.087 |
| Platelets, ×109/L | 202 (141–260) | 211 (138–305) | 0.591 |
| Glucose, mmol/L | 7.4 (6.4–9.9) | 7 (5.9–9.5) | 0.182 |
| Urea, mmol/L | 8 (5–13) | 6.9 (5.4–13) | 0.862 |
| Creatinine, µmol/L | 95 (69–175) | 81 (62–138) | 0.313 |
| Sodium, mEq/L | 139 (135–141) | 138 (134–142) | 0.522 |
| Bilirubin, µmol/L | 16 (9.8–19) | 11 (9–19) | 0.097 |
| AST, IU/L | 48 (23–98) | 35 (21–62) | 0.118 |
| ALT, IU/L | 35 (20–72) | 26 (17–62) | 0.282 |
| GGT, IU/L | 69 (34–130) | 34 (22–69) | 0.002 |
| ALP, IU/L | 71 (60–102) | 79 (57–100) | 0.894 |
| LDH, IU/L | 234 (187–352) | 225 (181–330) | 0.384 |
| Albumins, g/L | 31 (27–35) | 32 (28–38) | 0.133 |
| INR | 1.0 (0.96–1.2) | 1.1 (0.99–1.3) | 0.278 |
| D-dimer, mg/L | 2.4 (1.1–4.2) | 2.7 (1.1–4.2) | 0.904 |
| Total cholesterol, mmol/L | 4 (3.3–5.4) | 3.7 (2.8–4.7) | 0.523 |
| LDL, mmol/L | 2.3 (1.9–3.1) | 2.2 (1.5–2.7) | 0.155 |
| HDL, mmol/L | 0.7 (0.4–0.95) | 0.8 (0.6–0.9) | 0.888 |
| Triglycerides, mmol/L | 1.8 (1.4–2.8) | 1.5 (1.0–2.1) | 0.019 |
| SOFA Score | ||||||||
|---|---|---|---|---|---|---|---|---|
| MASLD | Non-MASLD | |||||||
| Day 1 | Day 5 | Day 1 | Day 5 | |||||
| r * | p-Value | r | p-Value | r | p-Value | r | p-Value | |
| IL-1β | −0.05 | 0.33 | −0.07 | 0.30 | −0.12 | 0.19 | −0.45 | <0.01 |
| IFN-α | 0.30 | 0.06 | 0.23 | 0.04 | 0.10 | 0.22 | −0.00 | 0.49 |
| IFN-γ | −0.08 | 0.26 | 0.12 | 0.18 | −0.25 | 0.03 | −0.37 | <0.01 |
| TNF-α | 0.13 | 0.16 | 0.03 | 0.41 | 0.01 | 0.46 | −0.22 | 0.05 |
| IL-6 | 0.25 | 0.02 | 0.37 | <0.01 | 0.20 | 0.07 | 0.13 | 0.18 |
| IL-8 | 0.25 | 0.01 | −0.05 | 0.35 | 0.27 | 0.02 | 0.26 | 0.03 |
| IL-10 | 0.24 | 0.03 | 0.11 | 0.23 | 0.04 | 0.40 | −0.34 | 0.01 |
| IL-12p70 | −0.02 | 0.45 | −0.08 | 0.38 | 0.05 | 0.40 | −0.11 | 0.32 |
| IL-17A | 0.14 | 0.21 | 0.11 | 0.26 | −0.13 | 0.24 | −0.21 | 0.14 |
| IL-18 | 0.13 | 0.13 | 0.21 | 0.04 | 0.23 | 0.04 | −0.07 | 0.29 |
| IL-23 | −0.17 | 0.14 | −0.31 | 0.03 | −0.22 | 0.10 | −0.44 | <0.01 |
| IL-33 | −0.23 | 0.05 | −0.33 | 0.01 | −0.16 | 0.17 | −0.19 | 0.14 |
| IP-10 | −0.00 | 0.49 | −0.10 | 0.21 | −0.17 | 0.11 | −0.22 | 0.05 |
| Eotaxin | −0.02 | 0.43 | −0.27 | 0.01 | −0.18 | 0.09 | −0.23 | 0.04 |
| TARC | −0.19 | 0.06 | −0.15 | 0.13 | −0.26 | 0.03 | −0.31 | 0.01 |
| MCP-1 | 0.21 | 0.04 | 0.07 | 0.28 | −0.05 | 0.34 | −0.07 | 0.31 |
| MIP-1α | 0.03 | 0.42 | −0.04 | 0.41 | 0.21 | 0.11 | −0.02 | 0.45 |
| MIG | −0.13 | 0.15 | 0.00 | 0.47 | 0.13 | 0.17 | 0.06 | 0.34 |
| ENA-78 | −0.20 | 0.04 | −0.19 | 0.06 | −0.40 | <0.01 | −0.25 | 0.03 |
| MIP-3α | 0.07 | 0.28 | 0.07 | 0.28 | 0.15 | 0.13 | 0.05 | 0.36 |
| GROα | 0.03 | 0.40 | 0.06 | 0.30 | −0.17 | 0.09 | −0.19 | 0.08 |
| I-TAC | −0.21 | 0.04 | −0.11 | 0.20 | −0.07 | 0.29 | −0.13 | 0.18 |
| MIP-1β | −0.10 | 0.21 | 0.35 | <0.01 | −0.03 | 0.40 | −0.06 | 0.32 |
| TGF-β1 | 0.07 | 0.31 | −0.23 | 0.04 | 0.06 | 0.34 | −0.03 | 0.43 |
Disclaimer/Publisher’s Note: The statements, opinions and data contained in all publications are solely those of the individual author(s) and contributor(s) and not of MDPI and/or the editor(s). MDPI and/or the editor(s) disclaim responsibility for any injury to people or property resulting from any ideas, methods, instructions or products referred to in the content. |
© 2025 by the authors. Licensee MDPI, Basel, Switzerland. This article is an open access article distributed under the terms and conditions of the Creative Commons Attribution (CC BY) license (https://creativecommons.org/licenses/by/4.0/).
Share and Cite
Vrsaljko, N.; Radmanic Matotek, L.; Zidovec-Lepej, S.; Vince, A.; Papic, N. The Impact of Steatotic Liver Disease on Cytokine and Chemokine Kinetics During Sepsis. Int. J. Mol. Sci. 2025, 26, 2226. https://doi.org/10.3390/ijms26052226
Vrsaljko N, Radmanic Matotek L, Zidovec-Lepej S, Vince A, Papic N. The Impact of Steatotic Liver Disease on Cytokine and Chemokine Kinetics During Sepsis. International Journal of Molecular Sciences. 2025; 26(5):2226. https://doi.org/10.3390/ijms26052226
Chicago/Turabian StyleVrsaljko, Nina, Leona Radmanic Matotek, Snjezana Zidovec-Lepej, Adriana Vince, and Neven Papic. 2025. "The Impact of Steatotic Liver Disease on Cytokine and Chemokine Kinetics During Sepsis" International Journal of Molecular Sciences 26, no. 5: 2226. https://doi.org/10.3390/ijms26052226
APA StyleVrsaljko, N., Radmanic Matotek, L., Zidovec-Lepej, S., Vince, A., & Papic, N. (2025). The Impact of Steatotic Liver Disease on Cytokine and Chemokine Kinetics During Sepsis. International Journal of Molecular Sciences, 26(5), 2226. https://doi.org/10.3390/ijms26052226

