Novel Oxadiazole-Quinoxalines as Hybrid Scaffolds with Antitumor Activity
Abstract
1. Introduction
2. Results and Discussion
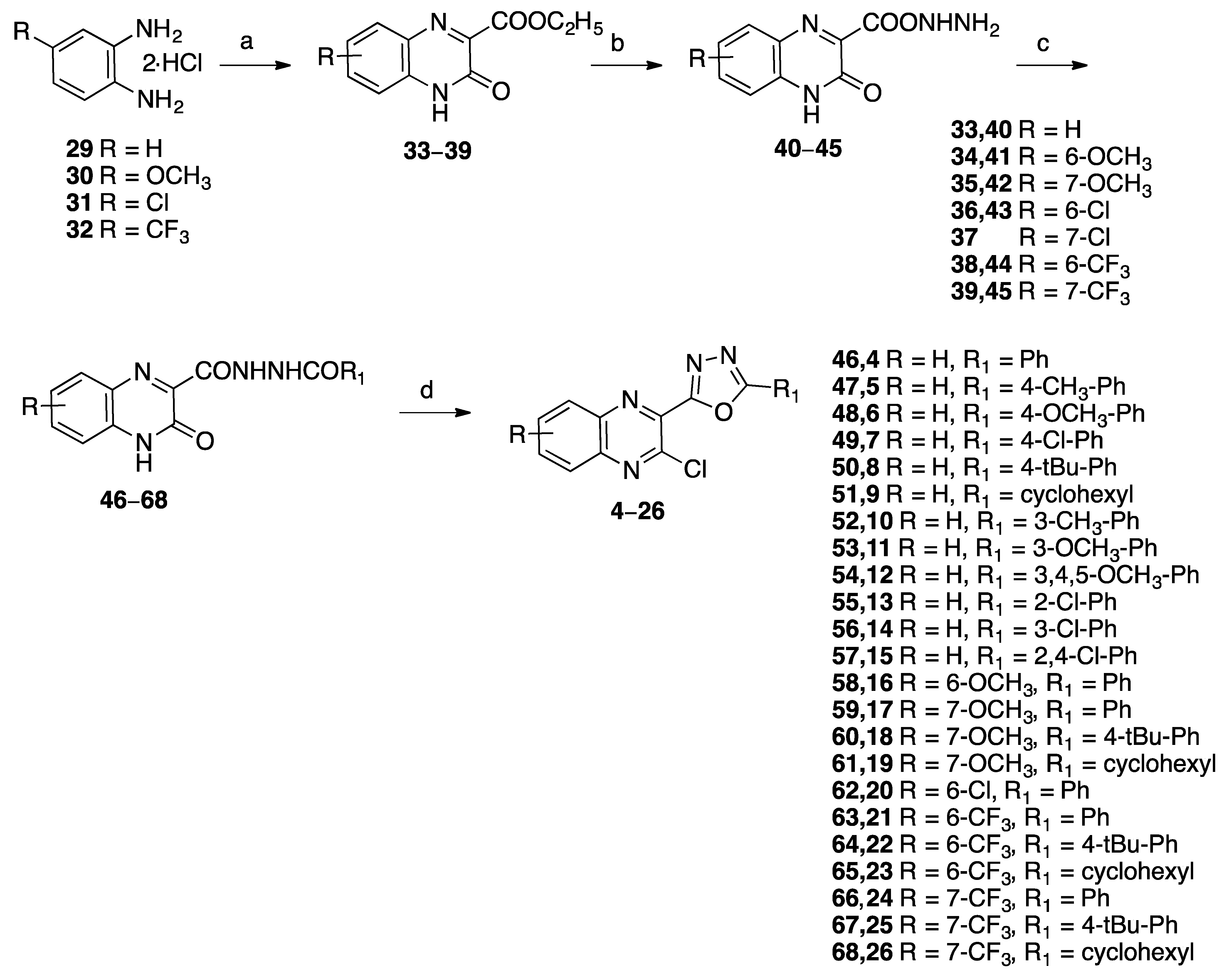
2.1. Synthesis of 1,3,4-oxadiazole-chloroquinoxalines
2.2. Biology
2.2.1. MTS Assay
2.2.2. Flow Cytometry Assay
3. Methods and Materials
3.1. Chemistry
3.1.1. General Methods
3.1.2. General Procedure I: Synthesis of Hydrazides 40–45 and 70
3.1.3. 3-Oxo-3,4-dihydroquinoxaline-2-carbohydrazide (40)
3.1.4. 6-Methoxy-3-oxo-3,4-dihydroquinoxaline-2-carbohydrazide (41)
3.1.5. 7-Methoxy-3-oxo-3,4-dihydroquinoxaline-2-carbohydrazide (42)
3.1.6. 6-Chloro-3-oxo-3,4-dihydroquinoxaline-2-carbohydrazide (43)
3.1.7. 3-Oxo-6-trifluoromethyl-3,4-dihydroquinoxaline-2-carbohydrazide (44)
3.1.8. 3-Oxo-7-trifluoromethyl-3,4-dihydroquinoxaline-2-carbohydrazide (45)
3.1.9. (E)-2-(3-Oxo-3,4-dihydroquinoxalin-2(1H)-ylidene)acetohydrazide (70)
3.1.10. General Method II: Synthesis of Acylhydrazides 46–68 and 71,72
3.1.11. N′-Benzoyl-3-oxo-3,4-dihydroquinoxaline-2-carboidrazide (46)
3.1.12. N′-(4-Methylbenzoyl)-3-oxo-3,4-dihydroquinoxaline-2-carbohydrazide (47)
3.1.13. N′-(4-Methoxybenzoyl)-3-oxo-3,4-dihydroquinoxaline-2-carbohydrazide (48)
3.1.14. N′-4-Chlorobenzoyl-3-oxo-3,4-dihydroquinoxaline-2-carbohydrazide (49)
3.1.15. N′-(4-(tert-Butyl)benzoyl-3-oxo-3,4-dihydroquinoxaline-2-carbohydrazide (50)
3.1.16. N′-(Cyclohexanecarbonyl)-3-oxo-3,4-dihydroquinoxaline-2-carbohydrazide (51)
3.1.17. N′-(3-Methylbenzoyl)-3-oxo-3,4-dihydroquinoxaline-2-carbohydrazide (52)
3.1.18. N′-(3-Methoxybenzoyl)-3-oxo-3,4-dihydroquinoxaline-2-carbohydrazide (53)
3.1.19. 3-Oxo-N′-(3,4,5-trimethoxybenzoyl)-3,4-dihydroquinoxaline-2-carbohydrazide (54)
3.1.20. N′-2-Chlorobenzoyl-3-oxa-3,4-dihydroquinoxaline-2-carbohydrazide (55)
3.1.21. N′-3-Chlorobenzoyl-3-oxo-3,4-dihydroquinoxaline-2-carbohydrazide (56)
3.1.22. N′-2,4-Dichlorobenzoyl-3-oxo-3,4-dihydroquinoxaline-2-carbohydrazide (57)
3.1.23. N′-Benzoyl-6-methoxy-3-oxo-3,4-dihydroquinoxaline-2-carbohydrazide (58)
3.1.24. N′-Benzoyl-7-methoxy-3-oxo-3,4-dihydroquinoxaline-2-carbohydrazide (59)
3.1.25. N′-(4-(tert-Butyl)benzoyl)-7-methoxy-3-oxo-3,4-dihydroquinoxaline-2-carbohydrazide (60)
3.1.26. N′-(Cyclohexanecarbonyl)-7-methoxy-3-oxo-3,4-dihydroquinoxaline-2-carbohydrazide (61)
3.1.27. N′-Benzoyl-6-chloro-3-oxo-3,4-dihydroquinoxaline-2-carbohydrazide (62)
3.1.28. N′-Benzoyl-6-trifluoromethyl-3-oxo-3,4-dihydroquinoxaline-2-carbohydrazide (63)
3.1.29. N′-(4-(tert-Butyl)benzoyl-6-trifluoromethyl-3-oxo-3,4-dihydroquinoxaline-2-carbohydrazide (64)
3.1.30. N′-Cyclohexanecarbonyl-6-trifluoromethyl-3-oxo-3,4-dihydroquinoxaline-2-carbohydrazide (65)
3.1.31. N′-Benzoyl-3-oxo-7-(trifluoromethyl)-3,4-dihydroquinoxaline-2-carbohydrazide (66)
3.1.32. N′-(4-(tert-Butyl)benzoyl)-3-oxo-7-(trifluoromethyl)-3,4-dihydroquinoxaline-2-carbohydrazide (67)
3.1.33. N′-(Cyclohexanecarbonyl)-3-oxo-7-(trifluoromethyl)-3,4-dihydroquinoxaline-2-carbohydrazide (68)
3.1.34. (E)-N′-(2-(3-Oxo-3,4-dihydroquinoxalin-2(1H)-ylidene)acetyl)benzohydrazide (71)
3.1.35. (E)-4-Chloro-N′-(2-(3-Oxo-3,4-dihydroquinoxalin-2(1H)-ylidene)acetyl)benzohydrazide (72)
3.1.36. General Procedure III: Synthesis of Oxadiazole-Quinoxalines 4–28
3.1.37. 2-(3-Chloroquinoxaline-2-yl)-5-phenyl-1,3,4-oxadiazole (4)
3.1.38. 2-(3-Chloroquinoxaline-2-yl)-5-(p-tolyl)-1,3,4-oxadiazole (5)
3.1.39. 2-(3-Chloroquinoxaline-2-yl)-5-(4-methoxyphenyl)-1,3,4-oxadiazole (6)
3.1.40. 2-(3-Chloroquinoxaline-2-yl)-5-(4-chlorophenyl)-1,3,4-oxadiazole (7)
3.1.41. 2-(3-Chloroquinoxaline-2-yl)-5-(4-(tert-butyl)-phenyl)-1,3,4-oxadiazole (8)
3.1.42. 2-(3-Chloroquinoxaline-2-yl)-5-cyclohexyl-1,3,4-oxadiazole (9)
3.1.43. 2-(3-Chloroquinoxaline-2-yl)-5-(m-tolyl)-1,3,4-oxadiazole (10)
3.1.44. 2-(3-Chloroquinoxaline-2-yl)-5-(3-methoxyphenyl)-1,3,4-oxadiazole (11)
3.1.45. 2-(3-Chloroquinoxaline-2-yl)-5-(trimethoxyphenyl)-1,3,4-oxadiazole (12)
3.1.46. 2-(3-Chloroquinoxaline-2-yl)-5-(2-chlorophenyl)-1,3,4-oxadiazole (13)
3.1.47. 2-(3-Chloroquinoxaline-2-yl)-5-(3-chlorophenyl)-1,3,4-oxadiazole (14)
3.1.48. 2-(3-Chloroquinoxaline-2-yl)-5-(2,4-dichlorophenyl)-1,3,4-oxadiazole (15)
3.1.49. 2-(3-Chloro-6-methoxyquinoxaline-2-il)-5-phenyl-1,3,4-oxadiazole (16)
3.1.50. 2-(3-Chloro-7-methoxyquinoxaline-2-il)-5-phenyl-1,3,4-oxadiazole (17)
3.1.51. 2-(3-Chloro-7-methoxyquinoxaline-2-yl)-(4-(tert-butyl)phenyl)-5-1,3,4-oxadiazole (18)
3.1.52. 2-(3-Chloro-7-metoxyquinoxaline-2-il)-5-cyclohexyl-1,3,4-oxadiazole (19)
3.1.53. 2-(3,6-Dichloroquinoxaline-2-il)-5-phenyl-1,3,4-oxadiazole (20)
3.1.54. 2-(3-Chloro-6-(trifluoromethyl)quinoxaline-2-yl)-5-phenyl-1,3,4-oxadiazole (21)
3.1.55. 2-(3-Chloro-6-(trifluoromethyl)quinoxaline-2-yl)-5-(4-tert-butyl)phenyl)-1,3,4-oxadiazole (22)
3.1.56. 2-(3-Chloro-6-(trifluoromethyl)quinoxaline-2-yl)-5-cyclohexyl-1,3,4-oxadiazole (23)
3.1.57. 2-(3-Chloro-7-(trifluoromethyl)quinoxaline-2-yl)-5-phenyl-1,3,4-oxadiazole (24)
3.1.58. 2-(3-Chloro-7-(trifluoromethyl)quinoxaline-2-yl)-5-(4-tert-butyl)phenyl)-1,3,4-oxadiazole (25)
3.1.59. 2-(3-Chloro-7-(trifluoromethyl)quinoxaline-2-yl)-5-cyclohexyl-1,3,4-oxadiazole (26)
3.1.60. 2-((3-Chloroquinoxaline-2-yl)methyl)-5-phenyl-1,3,4-oxadiazole (27)
3.1.61. 2-((3-Chloroquinoxaline-2-yl)methyl)-5-(4-chlorophenyl)-1,3,4-oxadiazole (28)
3.2. Biological Methods
3.2.1. Cell Cultures
3.2.2. Preparation of Compounds
3.2.3. MTS Assay
3.2.4. Human Lymphocytes Isolation
3.2.5. Flow Cytometry Analysis
3.2.6. Statistical Analysis
4. Conclusions
Supplementary Materials
Author Contributions
Funding
Institutional Review Board Statement
Informed Consent Statement
Data Availability Statement
Acknowledgments
Conflicts of Interest
References
- Nehra, B.B.; Mathew, P.A.; Chawla, A. Medicinal Chemist’s perspective towards structure activity relationship of heterocycle based anticancer agents. Curr. Top. Med. Chem. 2022, 22, 493–528. [Google Scholar] [CrossRef] [PubMed]
- Iralde-Lorente, L.; Tassone, G.; Clementi, L.; Franci, L.; Munier, C.C.; Cau, Y.; Mori, M.; Chiariello, M.; Angelucci, A.; Perry, M.W.D.; et al. Identification of Phosphate-Containing Compounds as New Inhibitors of 14-3-3/c-Abl Protein−Protein Interaction. ACS Chem. Biol. 2020, 15, 1026–1035. [Google Scholar] [CrossRef] [PubMed]
- Tariq, S.; Somakala, K.; Amir, M. Quinoxaline: An insight into the recent pharmacological advances. Eur. J. Med. Chem. 2018, 143, 542–557. [Google Scholar] [CrossRef]
- Feng, L.S.; Gao, C.; Liu, F.W.; Wang, X.P.; Zhang, Z.L. Recent updates on the anticancer activity of quinoxaline hybrids (Jan. 2017–Jan 2022). Curr. Top. Med. Chem. 2022, 22, 1426–1441. [Google Scholar] [CrossRef]
- Suthar, S.K.; Chundawat, N.S.; Singh, G.P.; Padròn, J.M.; Jhala, Y.K. Quinoxaline: A comprehension of current pharmacological advancement in medicinal chemistry. Eur. J. Med. Chem. Rep. 2022, 5, 100040. [Google Scholar] [CrossRef]
- Verma, G.M.; Khan, F.; Akhtar, W.; Alam, M.M.; Akhter, M.; Shaquiquzzaman, M. A review exploring therapeutic worth of 1,3,4-oxadiazole tailored compounds. Mini Rev. Med. Chem. 2019, 19, 477–509. [Google Scholar] [CrossRef] [PubMed]
- Desai, N.; Monapara, J.; Jethawa, A.; Khedkar, V.; Shingate, B. Oxadiazoles: A highly versatile scaffold in drug discovery. Arch. Pharm. 2022, 355, e2200123. [Google Scholar] [CrossRef] [PubMed]
- Kumar, D.; Aggarwal, N.; Deep, A.; Kumar, H.; Chopra, H.; Marwaha, R.K.; Cavalu, S. An understanding of mechanism-based approaches for 1,3,4-oxadiazoles scaffolds as cytotoxic agents and enzyme inhibitors. Pharmaceuticals 2023, 16, 254. [Google Scholar] [CrossRef] [PubMed]
- Nieddu, V.; Pinna, G.; Marchesi, I.; Sanna, L.; Asproni, B.; Pinna, G.A.; Bagella, L.; Murineddu, G. Synthesis and Antineoplastic Evaluation of Novel Unsymmetrical 1,3,4-Oxadiazoles. J. Med. Chem. 2016, 59, 10451–10469. [Google Scholar] [CrossRef] [PubMed]
- Weidong, L.; Sanna, L.; Bordoni, V.; Tiansheng, Z.; Chengxun, L.; Murineddu, G.; Pinna, G.A.; Kelvin, D.J.; Bagella, L. Target identification of a Novel Unsymmetrical 1,3,4-Oxadiazole derivative with antiproliferative properties. J. Cell. Physiol. 2020, 236, 3789–3799. [Google Scholar] [CrossRef]
- Abbas, H.A.S.; Al-Marhabi, A.R.M.; Ammar, Y.A. Design, synthesis and biological evaluation of 2,3-disubtistituted and fused quinoxalines as potential anticancer and antimicrobial agents. Acta Pol. Pharm. 2017, 74, 445–458. [Google Scholar] [PubMed]
- Vaidya, A.; Pathak, D.; Shah, K. 1,3,4-oxadiazole and its derivatives: A review on recent progress in anticancer activities. Chem. Biol. Drug Des. 2021, 97, 572–591. [Google Scholar] [CrossRef] [PubMed]
- Sampath Kumar, H.M.; Herrmann, L.; Tsogoeva, S.B. Structural hybridization as a facile approach to new drug candidates. Bioorg. Med. Chem. Lett. 2020, 30, 127514. [Google Scholar] [CrossRef] [PubMed]
- Piras, S.; Carta, A.; Briguglio, I.; Corona, P.; Paglietti, G.; Luciani, R.; Costi, M.P.; Ferrari, S. 2-[N-Alkyl(R-phenyl)-aminomethyl]-3-phenyl-7-trifluoromethylquinoxalines as anticancer agents inhibitors of folate enzymes. Eur. J. Med. Chem. 2014, 75, 169–183. [Google Scholar] [CrossRef] [PubMed]
- Kandukuri, P.; Dasari, G.; Nukala, S.K.; Bandari, S.; Juluru, B. Design and synthesis of some new quinoxaline containing 1,3,4-oxadiazole hybrids and evaluation of their anti-cancer activity. Russ. J. Bioor. Chem. 2023, 49, 139–146. [Google Scholar] [CrossRef]
- Solomon, V.R.; Pundir, S.; Lee, H. Examination of novel 4-aminoquinoline derivatives designed and synthesized by a hybrid pharmacophore approach to enhance their anticancer activities. Sci. Rep. 2019, 9, 6315. [Google Scholar] [CrossRef] [PubMed]
- Abu-Ashem, A.A. Synthesis, reaction and biological activity of quinoxaline derivatives. Am. J. Org. Chem. 2015, 4, 14–56. [Google Scholar] [CrossRef]
- Kawanishi, E.; Matsumura, T. Tri-Substituted Pyrimidine Compounds and Their Use as PDE10 Inhibitors. U.S. Patent CA2736281, 20 August 2013. [Google Scholar]
- Takano, Y.; Shiga, F.; Asano, J.; Ando, N.; Uchiki, H.; Fukuchi, K.; Anraku, T. Design, synthesis, and AMPA receptor antagonistic activity of a novel 6-nitro-3-oxoquinoxaline-2-carboxylic acid with a substituted phenyl group at the 7 position. Bioorg. Med. Chem. 2005, 13, 5841–5863. [Google Scholar] [CrossRef] [PubMed]
- Sanna, P.; Carta, A.; Loriga, M.; Zanetti, S.; Sechi, L. Synthesis of substituted 2-ethoxycarbonyl- and 2-carboxyquinoxalin-3-ones for evaluation of antimicrobial and anticancer activity. Il Farm. 1998, 53, 455–461. [Google Scholar] [CrossRef] [PubMed]
- Yavari, I.; Souri, S.; Sirouspour, M.; Bayat, M.J. An Efficient Synthesis of Functionalized 6,10-Dioxo-6,10-dihydro-5H-pyrido[1,2-a]quinoxalines and 6,10-Dioxo-6,10-dihydropyrido[2,1-c][1,4]benzoxazines. Synlett 2009, 12, 1921–1922. [Google Scholar] [CrossRef]
- National Cancer Institute. NCI-60 Screening Methodology. Available online: https://dtp.cancer.gov/discovery_development/nci-60/methodology.htm (accessed on 15 September 2024).
- Su, G.; Burant, C.F.; Beecher, C.W.; Athey, B.D.; Meng, F. Integrated metabolome and transriptome analysis of the NCI60 dataset. BMC Bioinform. 2011, 12 (Suppl. S1), S36. [Google Scholar] [CrossRef] [PubMed]
- Søkilde, R.; Kaczkowski, B.; Podolska, A.; Cirera, S.; Gorodkin, J.; Moller, S.; Litman, T. Global microRNA analysis of the NCI-60 cancer cell panel. Mol. Cancer Ther. 2011, 10, 375–384. [Google Scholar] [CrossRef] [PubMed]
- Park, E.S.; Rabinovsky, R.; Carey, M.; Hennessy, B.T.; Agarwal, R.; Liu, W.; Ju, V.; Deng, W.; Lu, Y.; Woo, H.G.; et al. Integrative analysis of proteomic signatures, mutations, and drug responsiveness in the NCI 60 cancer cell lines set. Mol. Cancer Ther. 2010, 9, 257–267. [Google Scholar] [CrossRef] [PubMed]
- Covell, D.G.; Huang, R.; Wallqvist, A. Anticancer medicines in development: Assessment of bioactivity profiles within the National Cancer Institute anticancer screening data. Mol. Cancer Therap. 2007, 6, 2261–2270. [Google Scholar] [CrossRef]
- Shoemaker, R.H. The NCI60 human tumor cell line anticancer drug screen. Nat. Rev. Cancer 2006, 6, 813–823. [Google Scholar] [CrossRef] [PubMed]
- Phillips, L.R.; Hill, K.D.; Majerova, E. Liquid chromatographic determination of NSC 737664 (ABT-888: An inhibitor of poly(ADP-ribose) polymerase (PARP)) in plasma and urine in a phase 0 clinical trial. J. Liq. Chromatogr. Relat. Technol. 2009, 32, 261–272. [Google Scholar] [CrossRef]
- Boyd, M.R.; Paull, K.D. Some Practical Considerations and Applications of the National Cancer Institute In Vitro Anticancer Drug Discovery Screen. Drug Dev. Res. 1995, 34, 91–109. [Google Scholar] [CrossRef]
- Grever, M.R.; Schepartz, S.A.; Chabner, B.A. The National Cancer Institute: Cancer Drug Discovery and Development Program. Semin. Oncol. 1992, 19, 622–638. [Google Scholar] [PubMed]
- Alley, M.C.; Scudiero, D.A.; Monks, P.A.; Hursey, M.L.; Czerwinski, M.J.; Fine, D.L.; Abbott, B.J.; Mayo, J.G.; Shoemaker, R.H.; Boyd, M.R. Feasibility of Drug Screening with Panels of Human Tumor Cell Lines Using a Microculture Tetrazolium Assay. Cancer Res. 1988, 48, 589–601. [Google Scholar]
- Monks, A.; Scudiero, D.; Skean, P.; Shoemaker, R.; Poull, K.; Vistica, D.; Hose, C.; Langley, J.; Cronise, P.; Vaigro-Wolff, A.; et al. Feasibility of High-Flux Anticancer Drug Screen Using a Diverse Panel of Cultured Human Tumor Cell Lines. J. Natl. Cancer Inst. 1991, 83, 757–766. [Google Scholar] [CrossRef]
- Weinstein, J.N.; Myers, T.G.; O’Connor, P.M.; Friend, S.H.; Fornance, A.J., Jr.; Kohn, K.W.; Fojo, T.; Bates, S.E.; Rubistein, L.V.; Anderson, N.L.; et al. An information-intensive approach to the molecular pharmacology of cancer. Science 1997, 275, 343–349. [Google Scholar] [CrossRef]












| Compound | ![]() | ||
|---|---|---|---|
| n | R | R1 | |
| 4 | 0 | H | ![]() |
| 5 | 0 | H | ![]() |
| 6 | 0 | H | ![]() |
| 7 | 0 | H | ![]() |
| 8 | 0 | H | ![]() |
| 9 | 0 | H | ![]() |
| 10 | 0 | H | ![]() |
| 11 | 0 | H | ![]() |
| 12 | 0 | H | ![]() |
| 13 | 0 | H | ![]() |
| 14 | 0 | H | ![]() |
| 15 | 0 | H | ![]() |
| 16 | 0 | 6-OCH3 | ![]() |
| 17 | 0 | 7-OCH3 | ![]() |
| 18 | 0 | 7-OCH3 | ![]() |
| 19 | 0 | 7-OCH3 | ![]() |
| 20 | 0 | 6-Cl | ![]() |
| 21 | 0 | 6-CF3 | ![]() |
| 22 | 0 | 6-CF3 | ![]() |
| 23 | 0 | 6-CF3 | ![]() |
| 24 | 0 | 7-CF3 | ![]() |
| 25 | 0 | 7-CF3 | ![]() |
| 26 | 0 | 7-CF3 | ![]() |
| 27 | 1 | H | ![]() |
| 28 | 1 | H | ![]() |
| Breast Cancer/Cell Line | Compound | ||||||||
|---|---|---|---|---|---|---|---|---|---|
| 4 | 8 | 9 | 10 | 11 | 18 | 19 | 20 | 23 a | |
| MCF-7 | 49.25 | −65.85 | 62.61 | 53.05 | 49.84 | 85.90 | – | – | 88.36 |
| HS578T | – | −8.86 | – b | – | – | 65.24 | – | – | – |
| T-47D | – | −70.52 | – | 42.45 | – | −2.23 | – | 40.65 | 73.70 |
| MDA-MB-468 | 87.48 | 92.88 | 92.89 | 82.26 | – | −65.17 | 53.38 | – | −59.26 |
| Compound | Leukemia/Cell Line | ||||
|---|---|---|---|---|---|
| 23 | CCRF-CEM | HL-60(TB) | K-562 | MOLT-4 | RPMI-8226 |
| 98.77 | −37.25 | 90.41 | −15.49 | 62.45 | |
| Panel/Cell Line | Compound | ||
|---|---|---|---|
![]() | ![]() | ![]() | |
| Leukemia | |||
| CCRF-CEM | 4.21 × 10−6 | 4.12 × 10−6 | 8.01 × 10−6 |
| HL-60(TB) | 3.01 × 10−6 | 2.12 × 10−5 | 1.52 × 10−5 |
| K-562 | 5.11 × 10−6 | 2.35 × 10−5 | 7.83 × 10−6 |
| MOLT-4 | 3.34 × 10−6 | 3.99 × 10−6 | 4.07 × 10−6 |
| RPMI-8226 | 3.71 × 10−6 | 1.76 × 10−5 | 1.52 × 10−5 |
| SR | 1.18 × 10−5 | 2.66 × 10−6 | 2.70 × 10−6 |
| Non-Small Cell Lung Cancer | |||
| A549/ATCC | 1.86 × 10−5 | >1.00 × 10−4 | >1.00 × 10−4 |
| EKVX | 1.40 × 10−5 | 5.22 × 10−5 | 1.65 × 10−5 |
| HOP-62 | 1.63 × 10−5 | 1.90 × 10−5 | 1.42 × 10−5 |
| HOP-92 | 5.60 × 10−6 | 1.27 × 10−5 | 1.53 × 10−5 |
| NCI-H226 | 1.70 × 10−5 | 1.30 × 10−5 | 1.22 × 10−5 |
| NCI-H23 | 1.54 × 10−5 | 1.85 × 10−5 | 1.52 × 10−5 |
| NCI-H322M | 1.10 × 10−5 | 1.75 × 10−5 | 1.44 × 10−5 |
| NCI-H460 | 1.43 × 10−5 | 1.84 × 10−5 | 1.63 × 10−5 |
| NCI-H522 | 1.47 × 10−5 | 1.62 × 10−5 | 1.51 × 10−5 |
| Colon Cancer | |||
| COLO 205 | 1.68 × 10−5 | 2.43 × 10−5 | 1.30 × 10−5 |
| HCC-2998 | 8.76 × 10−6 | 2.10 × 10−5 | 1.38 × 10−5 |
| HCT-116 | 9.09 × 10−6 | 2.05 × 10−5 | 6.61 × 10−6 |
| HCT-15 | 5.79 × 10−6 | 2.59 × 10−5 | 8.77 × 10−6 |
| HT29 | 1.56 × 10−5 | 2.08 × 10−5 | 1.67 × 10−5 |
| KM12 | 1.79 × 10−5 | 1.75 × 10−5 | 1.56 × 10−5 |
| SW-620 | 1.49 × 10−5 | 1.88 × 10−5 | 1.16 × 10−5 |
| CNS Cancer | |||
| SF-268 | 1.67 × 10−5 | 1.65 × 10−5 | 1.41 × 10−5 |
| SF-295 | 1.70 × 10−5 | >1.00 × 10−4 | 2.34 × 10−5 |
| SF-539 | 1.60 × 10−5 | 1.70 × 10−5 | 1.59 × 10−5 |
| SNB-19 | 1.59 × 10−5 | 2.11 × 10−5 | 1.68 × 10−5 |
| SNB-75 | 4.22 × 10−6 | 1.54 × 10−5 | 1.44 × 10−5 |
| U251 | 1.76 × 10−5 | 1.69 × 10−5 | 1.66 × 10−5 |
| Melanoma | |||
| LOX IMVI | 1.21 × 10−5 | 1.99 × 10−5 | 3.31 × 10−6 |
| MALME-3M | 1.53 × 10−5 | 1.63 × 10−5 | 1.39 × 10−5 |
| M14 | 1.57 × 10−5 | 1.85 × 10−5 | 1.55 × 10−5 |
| MDA-MB-435 | 1.50 × 10−5 | 1.66 × 10−5 | 1.52 × 10−5 |
| SK-MEL-2 | n.t. a | 1.81 × 10−5 | 1.51 × 10−5 |
| SK-MEL-28 | 6.06 × 10−6 | 1.67 × 10−5 | 1.56 × 10−5 |
| SK-MEL-5 | 1.72 × 10−5 | 1.40 × 10−5 | 1.34 × 10−5 |
| UACC-257 | 1.55 × 10−5 | 1.88 × 10−5 | 1.69 × 10−5 |
| UACC-62 | 1.53 × 10−5 | 1.54 × 10−5 | 1.44 × 10−5 |
| Ovarian Cancer | |||
| IGROV1 | 6.40 × 10−6 | 1.71 × 10−5 | 1.51 × 10−5 |
| OVCAR-3 | 2.22 × 10−6 | 1.57 × 10−5 | 9.78 × 10−6 |
| OVCAR-4 | 1.05 × 10−5 | 1.48 × 10−5 | 1.40 × 10−5 |
| OVCAR-5 | 1.77 × 10−5 | 1.63 × 10−5 | 1.57 × 10−5 |
| OVCAR-8 | n.t. | 2.10 × 10−5 | 1.57 × 10−5 |
| NCI-ADR-RES | 1.29 × 10−5 | 2.16 × 10−5 | 1.61 × 10−5 |
| SK-OV-3 | 1.71 × 10−5 | 2.22 × 10−5 | 1.52 × 10−5 |
| Renal Cancer | |||
| 786-0 | 1.61 × 10−5 | 1.76 × 10−5 | 1.74 × 10−5 |
| A498 | 1.57 × 10−5 | >1.00 × 10−4 | >1.00 × 10−4 |
| ACHN | 1.66 × 10−5 | 1.70 × 10−5 | 1.66 × 10−5 |
| CAKI-1 | 1.75 × 10−5 | 1.50 × 10−5 | 1.37 × 10−5 |
| RXF 393 | 3.54 × 10−6 | 1.53 × 10−5 | 1.21 × 10−5 |
| SN12C | 1.33 × 10−5 | 1.57 × 10−5 | 1.39 × 10−5 |
| TK-10 | 1.65 × 10−5 | 1.73 × 10−5 | 1.87 × 10−5 |
| UO-31 | 1.51 × 10−5 | 1.56 × 10−5 | 1.25 × 10−5 |
| Prostate Cancer | |||
| PC-3 | 4.34 × 10−6 | 1.73 × 10−5 | 1.54 × 10−5 |
| DU-145 | 7.52 × 10−6 | 1.72 × 10−5 | 1.43 × 10−5 |
| Breast Cancer | |||
| MCF7 | 1.85 × 10−6 | 1.67 × 10−5 | 3.31 × 10−6 |
| MDA-MB-231/ATCC | 4.33 × 10−6 | 1.73 × 10−5 | 1.39 × 10−5 |
| HS 578T | 4.31 × 10−6 | 1.71 × 10−5 | 1.25 × 10−5 |
| BT-549 | 1.32 × 10−5 | 1.43 × 10−5 | 1.06 × 10−5 |
| T-47D | 2.28 × 10−6 | 1.53 × 10−5 | 4.48 × 10−6 |
| MDA-MB-468 | 1.95 × 10−6 | 1.16 × 10−5 | 6.64 × 10−6 |
| Panel/Cell Line | Compound | ||
|---|---|---|---|
| 24 | 25 | 26 | |
| Leukemia | −5.34 | −5.07 | −5.13 |
| Non-Small Cell Lung Cancer | −4.87 | −4.64 | −4.73 |
| Colon Cancer | −4.93 | −4.68 | −4.93 |
| CNS Cancer | −4.87 | −4.63 | −4.78 |
| Melanoma | 4.87 | −4.77 | −4.90 |
| Ovarian Cancer | 4.37 | −4.74 | −4.84 |
| Renal Cancer | 4.88 | −4.69 | −4.73 |
| Prostate Cancer | −5.24 | −4.76 | −4.83 |
| Breast Cancer | −5.45 | −4.81 | −5.12 |
| MG_MID | −5.02 | −4.75 | −4.88 |
| Leukemia Cell Line | Compound | ||||||||
|---|---|---|---|---|---|---|---|---|---|
| 24 | 25 | 26 | |||||||
| A | B | C | A | B | C | A | B | C | |
| CCRF-CEM | −5.38 | −4.54 | >−4.00 | −5.38 | >−4.00 | >−4.00 | −5.10 | >−4.00 | >−4.00 |
| HL-60(TB) | −5.52 | −4.69 | >−4.00 | −4.67 | −4.35 | −4.03 | −4.82 | −4.27 | >−4.00 |
| K-562 | −5.29 | >−4.00 | >−4.00 | −4.63 | −4.02 | >−4.00 | −5.11 | >−4.00 | >−4.00 |
| MOLT-4 | −5.48 | −4.46 | >−4.00 | −5.40 | −4.38 | >−4.00 | −5.39 | −4.04 | >−4.00 |
| RPMI-8226 | −5.43 | −4.66 | >−4.00 | −4.76 | −4.28 | >−4.00 | −4.82 | >−4.00 | >−4.00 |
| SR | −4.93 | −4.21 | >−4.00 | −5.58 | −4.95 | >−4.00 | −5.57 | >−4.00 | >−4.00 |
| Compound | Cell Cycle Analysis | |||
|---|---|---|---|---|
| Apoptosis | G0/G1 | S | G2/M | |
| CTR | 9.8 ± 5.3 | 96.7 ± 0.9 | 1.4 ± 0.6 | 1.9 ± 0.4 |
| 11 | 24.4 ± 6.3 | 95.2 ± 1.8 | 3.3 ± 1.4 | 1.5 ± 0.4 |
| 24 | 31.1 ± 2.4 * | 86.1 ± 4.4 # | 9.4 ± 3.2 §§ | 4.5 ± 1.7 $ |
| 25 | 57.5 ± 7.6 ** | 92.1 ± 2.9 | 6.5 ± 2.3 § | 1.4 ± 0.3 |
| 26 | 23.8 ± 6.3 | 95.6 ± 0.4 | 2.9 ± 0.5 | 1.5 ± 0.1 |
Disclaimer/Publisher’s Note: The statements, opinions and data contained in all publications are solely those of the individual author(s) and contributor(s) and not of MDPI and/or the editor(s). MDPI and/or the editor(s) disclaim responsibility for any injury to people or property resulting from any ideas, methods, instructions or products referred to in the content. |
© 2025 by the authors. Licensee MDPI, Basel, Switzerland. This article is an open access article distributed under the terms and conditions of the Creative Commons Attribution (CC BY) license (https://creativecommons.org/licenses/by/4.0/).
Share and Cite
Corona, P.; Gessi, S.; Ibba, R.; Merighi, S.; Mirandola, P.; Pinna, G.A.; Nigro, M.; Pozzi, G.; Asproni, B.; Travagli, A.; et al. Novel Oxadiazole-Quinoxalines as Hybrid Scaffolds with Antitumor Activity. Int. J. Mol. Sci. 2025, 26, 1439. https://doi.org/10.3390/ijms26041439
Corona P, Gessi S, Ibba R, Merighi S, Mirandola P, Pinna GA, Nigro M, Pozzi G, Asproni B, Travagli A, et al. Novel Oxadiazole-Quinoxalines as Hybrid Scaffolds with Antitumor Activity. International Journal of Molecular Sciences. 2025; 26(4):1439. https://doi.org/10.3390/ijms26041439
Chicago/Turabian StyleCorona, Paola, Stefania Gessi, Roberta Ibba, Stefania Merighi, Prisco Mirandola, Gérard Aimè Pinna, Manuela Nigro, Giulia Pozzi, Battistina Asproni, Alessia Travagli, and et al. 2025. "Novel Oxadiazole-Quinoxalines as Hybrid Scaffolds with Antitumor Activity" International Journal of Molecular Sciences 26, no. 4: 1439. https://doi.org/10.3390/ijms26041439
APA StyleCorona, P., Gessi, S., Ibba, R., Merighi, S., Mirandola, P., Pinna, G. A., Nigro, M., Pozzi, G., Asproni, B., Travagli, A., Piras, S., Carta, A., Caria, P., & Murineddu, G. (2025). Novel Oxadiazole-Quinoxalines as Hybrid Scaffolds with Antitumor Activity. International Journal of Molecular Sciences, 26(4), 1439. https://doi.org/10.3390/ijms26041439






























